Carbon Fiber Composites for Large-Scale Wind Turbine Blades: Applicability Study and Comprehensive Evaluation in China
Abstract
1. Introduction
2. Application of Carbon Fiber Composites in Large-Scale Wind Turbine Blades
3. Analysis of the Geographical Distribution Characteristics of Wind Resources in China
4. Analysis and Evaluation of the Energy Efficiency and Economics of Large-Scale Carbon Fiber Wind Turbine Blades
4.1. Energy Efficiency Model
4.1.1. Model for Annual Effective Wind Energy Time
4.1.2. Model for Single-Unit Power Generation
4.2. Economic Evaluation Model
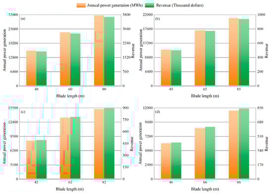
4.3. Analysis and Evaluation of Energy Efficiency and Economy
5. Supply and Demand Structure of Carbon Fibers in China
6. Manufacturing Technology for Wind Turbine Blade with Carbon Fiber Composite in China
7. Government Incentives and Development Prospects
8. Conclusions
- China is rich in wind resources, which is conducive to developing the wind power industry. With the development of large-scale blades, the traditional glass fiber composite blades have difficulty meeting actual needs. Carbon fiber composite wind turbine blades will be an inevitable trend in the future. At present, some Chinese enterprises have begun to use carbon fiber composites in the main spar area of wind turbine blades.
- According to the wind energy density, China’s central wind resources are distributed in the following four regions: the southeast coast and its islands; Inner Mongolia and northern Gansu; Heilongjiang, eastern Jilin, and the Liaodong Peninsula Sea; and the northern part of the Qinghai–Tibet Plateau: three northern regions and the coast. Due to the different feed-in tariffs and subsidies given by the state to different regions with wind energy resources, it is found through mathematical model calculations that the economic revenues of using carbon fibers in large wind turbine blades in different regions with wind energy resources are not largely different, which shows that it is feasible to use carbon fiber composites for wind turbine blades in different wind resource regions in China.
- Taking the 6 MW wind turbines of the Nan’ao offshore wind farm as an example, if a 40 m long blade is replaced by an 80 m long blade, the annual energy production of each wind turbine will increase by 100%, in theory. Meanwhile, national support for offshore wind power projects and the feed-in tariff for offshore wind power are very high. In addition, the Nan’ao wind farm is near the coast. Due to the harsh conditions of the sea, high-strength, corrosion-resistant carbon fiber composites in wind turbine blades can extend their service life. Therefore, adopting carbon fiber composite wind turbine blades in offshore wind farms has the best economics and the highest energy efficiency, in theory.
- Compared with traditional glass fiber composite wind turbine blades, carbon fiber composite wind turbine blades can significantly reduce the quality and material costs, but the embodied energy and carbon footprint are increased. In this study, based on the comprehensive analysis of the embodied energy, carbon footprint, cost, and revenue obtained from the mathematical model, it is recommended to use carbon fiber composites to make the main spar and glass fiber composites for the rest of the blade parts in China.
- In China, at present, the carbon fiber industry is experiencing explosive growth. With the Chinese strategy of “carbon peak and carbon neutralization”, China is gradually introducing several incentive policies, vigorously developing the construction of zero-carbon energy, and promoting the application of carbon fiber composites in the field of wind turbine blades.
- In terms of manufacturing technology for carbon fiber composite wind turbine blades in China, there are still some challenges, such as high porosity and low fiber content in the main spar area, which seriously limit the application of carbon fibers in wind turbine blades. Accelerating the development of the carbon fiber composite pultrusion process will be the future trend for manufacturing technology for wind turbine blades in China.
Author Contributions
Funding
Institutional Review Board Statement
Informed Consent Statement
Data Availability Statement
Acknowledgments
Conflicts of Interest
Nomenclature
| Wind speed (m/s) | Air temperature gradient (kg/m) | ||
| Average wind speed (m/s) | Altitude (m) | ||
| Rated wind speed (m/s) | Rotor swept area (m2) | ||
| Cut-in wind speed (m/s) | Blade rotational speed (rpm) | ||
| Cut-out wind speed (m/s) | Spar mass (kg) | ||
| Effective wind energy time (h) | Shell mass (kg) | ||
| Actual turbine output (MW) | Blade mass (kg) | ||
| Theoretical annual output of wind turbine (MW) | Carbon fiber blade mass (kg) | ||
| Power factor of wind turbine | Glass fiber blade mass (kg) | ||
| Transmission chain efficiency | Fatigue strength of material (MPa) | ||
| Turbine efficiency | CO2 | Carbon footprint of material (kg) | |
| Air density under standard state (kg/m3) | EE | Embodied energy of material (MJ) | |
| Air density at altitude H | CO | Cost of materials (kg) | |
| Density of material (kg/m3) | Carbon footprint per unit weight (kg/kg) | ||
| Radius of wind wheel (m) | Embodied energy per unit weight (MJ/kg) | ||
| Absolute temperature (K) | Cost per unit weight (USD/kg) |
References
- Trisos, C.H.; Merow, C.; Pigot, A.L. The projected timing of abrupt ecological disruption from climate change. Nature 2020, 580, 496–501. [Google Scholar] [CrossRef] [PubMed]
- UNFCCC. Adoption of the Paris Agreement; FCCC/CP/2015/L.9/; UNFCCC: Bonn, Germany, 2015. [Google Scholar]
- Dai, J.C.; Yang, X.; Wen, L. Development of wind power industry in China: A comprehensive assessment. Renew Sustain. Energy Rev. 2018, 97, 156–164. [Google Scholar] [CrossRef]
- Bp p.l.c. Statistical Review of World Energy 2021 70th Edition. 2023. Available online: https://www.bp.com/en/global/corporate/energy-economics/statistical-review-of-world-energy.html/ (accessed on 7 February 2023).
- Chen, G.Q.; Yang, Q.; Zhao, Y.H. Renewability of wind power in China: A case study of nonrenewable energy cost and greenhouse gas emission by a plant in Guangxi. Renew. Sustain. Energy Rev. 2011, 15, 2322–2329. [Google Scholar] [CrossRef]
- Reddy, S.S.P.; Suresh, R.; Hanamantraygouda, M.B.; Shivakumar, B.P. Use of composite materials and hybrid composites in wind turbine blades. Mater. Today Proc. 2021, 46, 2827–2830. [Google Scholar] [CrossRef]
- Mishnaevsky, L.; Branner, K.; Petersen, H.N.; Beauson, J.; Mcgugan, M.; Sorensen, B.F. Materials for Wind Turbine Blades: An Overview. Materials 2017, 10, 1285. [Google Scholar] [CrossRef] [PubMed]
- Industrial WindAction Group. Wind Turbine Failures Becoming More Frequent. 2023. Available online: https://www.windaction.org/posts/54462 (accessed on 7 February 2023).
- Industrial Wind Action Group. New Blade Break Hits Flagship GE Wind Turbine. 2022. Available online: https://www.windaction.org/posts/53829 (accessed on 7 February 2023).
- Hamill, L.; Hofmann, D.C.; Nutt, S. Galvanic Corrosion and Mechanical Behavior of Fiber Metal Laminates of Metallic Glass and Carbon Fiber Composites. Adv. Energy Mater. 2018, 20, 1700711. [Google Scholar] [CrossRef]
- Nachtane, M.; Tarfaoui, M.; Saifaoui, D.; El Moumen, A.; Hassoon, O.H.; Benyahia, H. Evaluation of durability of composite materials applied to renewable marine energy: Case of ducted tidal turbine. Energy Rep. 2018, 4, 31–40. [Google Scholar] [CrossRef]
- Liu, P.; Meng, F.; Barlow, C.Y. Wind turbine blade end-of-life options: An economic comparison. Resour. Conserv. Recy. 2022, 180, 106202. [Google Scholar] [CrossRef]
- Yu, Y.; Li, H.; Che, Y.; Zheng, Q. The price evolution of wind turbines in China: A study based on the modified multi-factor learning curve. Renew. Energy 2017, 103, 522–536. [Google Scholar] [CrossRef]
- Yu, Y.; Wu, S.; Yu, J.; Xu, Y.; Song, L.; Xu, W. A hybrid multi-criteria decision-making framework for offshore wind turbine selection: A case study in China. Appl. Energ. 2022, 328, 120173. [Google Scholar] [CrossRef]
- Li, C.; Liu, Y.; Li, G.; Li, J.; Zhu, D.; Jia, W.; Li, G.; Zhi, Y.; Zhai, X. Evaluation of wind energy resource and wind turbine characteristics at two locations in China. Technol. Soc. 2016, 47, 121–128. [Google Scholar] [CrossRef]
- Liu, P.F.; Chen, H.Y.; Wu, T.; Liu, J.W.; Leng, J.X.; Wang, C.Z.; Jiao, L. Fatigue Life Evaluation of Offshore Composite Wind Turbine Blades at Zhoushan Islands of China Using Wind Site Data. Appl. Compos. Mater. 2023. [Google Scholar] [CrossRef]
- Upadhyayula, V.K.K.; Venkataramana Gadhamshetty Athanassiadis, D.; Tysklind, M.; Meng, F.; Pan, Q.; Cullen, J.M.; Yacout, D.M.M. Wind Turbine Blades Using Recycled Carbon Fibers: An Environmental Assessment. Environ. Sci. Technol. 2022, 56, 1267–1277. [Google Scholar] [CrossRef]
- Pugh, K.; Nash, J.W.; Reaburn, G.; Stack, M.M. On analytical tools for assessing the raindrop erosion of wind turbine blades. Renew. Sustain. Energy Rev. 2021, 137, 110611. [Google Scholar] [CrossRef]
- Wang, X.F.; Zeng, X.W.; Li, J.L.; Yang, X.U.; Wang, H.J. A review on recent advancements of substructures for offshore wind turbines. Energy Convers. Manag. 2018, 158, 103–119. [Google Scholar] [CrossRef]
- Herring, R.; Dyer, K.; Martin, F.; Ward, C. The increasing importance of leading edge erosion and a review of existing protection solutions. Renew. Sustain. Energy Rev. 2019, 115, 109382. [Google Scholar] [CrossRef]
- Jiang, Z. Installation of offshore wind turbines: A technical review. Renew. Sustain. Energy Rev. 2021, 139, 110576. [Google Scholar] [CrossRef]
- Al-Khayat, M.; Al-Rasheedi, M.; Gueymard, C.A.; Haupt, S.E.; Kosović, B.; Al-Qattan, A.; Lee, J.A. Performance analysis of a 10-MW wind farm in a hot and dusty desert environment. Part 2: Combined dust and high-temperature effects on the operation of wind turbines. Sustain. Energy Technol. Assess. 2021, 47, 101461. [Google Scholar] [CrossRef]
- Vilder, G.D.; Harakosan Co., Ltd. Blade for a Wind Turbine. Chinese Patent CN 101265874A, 17 September 2008. [Google Scholar]
- Lars, F.A.; Grabau, P. Wind Turbine Blade with Carbon Fibre Tip. Chinese Patent CN 03806411.1, 26 March 2008. [Google Scholar]
- Kaj, O.; Peter, G.; Flemming, M.L. Lightning Protection for Wind Turbine Blade. U.S. Patent 6457943B1, 1 October 2002. [Google Scholar]
- Hancock, O. Wind Turbine Blade and Method for Manufacturing Same. Chinese Patent CN 1294353C, 10 January 2007. [Google Scholar]
- Gao, Y.; Ma, S.X.; Wang, T.; Wang, T.L.; Gong, Y.L.; Peng, F.; Tsunekawa, A. Assessing the wind energy potential of China in considering its variability/intermittency. Energy Convers. Manag. 2020, 226, 113580. [Google Scholar] [CrossRef]
- Li, Y.; Huang, X.; Tee, K.F.; Li, Q.; Wu, X.-P. Comparative study of onshore and offshore wind characteristics and wind energy potentials: A case study for southeast coastal region of China. Sustain. Energy Technol. Assess. 2020, 39, 100711. [Google Scholar] [CrossRef]
- Pishgar-Komleh, S.H.; Keyhani, A.; Sefeedpari, P. Wind speed and power density analysis based on Weibull and Rayleigh distributions (a case study: Firouzkooh county of Iran). Renew. Sustain. Energy Rev. 2015, 42, 313–322. [Google Scholar] [CrossRef]
- Adaramola, M.S.; Agelin-Chaab, M.; Paul, S.S. Assessment of wind power generation along the coast of Ghana. Energy Convers. Manag. 2014, 6177, 61–69. [Google Scholar] [CrossRef]
- Zhao, P.; Zhong, X.H. The Blade Length Design of Wind Turbine and the Influence Factor. Electr. Eng. 2009, 8, 71–74. (In Chinese) [Google Scholar] [CrossRef]
- Heikal, H.A.; Abu-Elyazeed, O.S.M.; Nawar, M.a.A.; Attai, Y.A.; Mohamed, M.M.S. On the actual power coefficient by theoretical developing of the diffuser flange of wind-lens turbine. Renew. Energy 2018, 125, 295–305. [Google Scholar] [CrossRef]
- Liang, Y.S.; Ji, X.D.; Wu, C.B.; He, J.J.; Qin, Z.H. Estimation of the influences of air density on wind energy assessment: A case study from China. Energy Convers. Manag. 2020, 224, 113371. [Google Scholar] [CrossRef]
- Pan, H.H.; Li, Y. Study on the Selection for the Rated Wind Speed of Wind Turbines. J. Shanghai Univ. Electr Power 2013, 29, 107–110. (In Chinese) [Google Scholar]
- Rashedi, A.; Sridhar, I.; Tseng, K.J. Multi-objective material selection for wind turbine blade and tower: Ashby’s approach. Mater. Des. 2012, 37, 521–532. [Google Scholar] [CrossRef]
- Yao, S.S.; Jin, F.L.; Rhee, K.Y.; Hui, D.; Park, S.J. Recent advances in carbon-fiber-reinforced thermoplastic composites: A review. Compos. B 2018, 142, 241–250. [Google Scholar] [CrossRef]
- Hanchi, J.; Eiss, N. Dry sliding friction and wear of short carbon-fiber-reinforced polyetheretherketone (PEEK) at elevated temperatures. Wear 1997, 203–204, 380–386. [Google Scholar] [CrossRef]
- Kiran, M.D.; Govindaraju, H.K.; Yadhav, B.R.L.; Suresha, B.; Keerthi Kumar, N. Fracture toughness study of epoxy composites reinforced with carbon fibers with various thickness. Mater. Today Proc. 2021, 46, 2630–2634. [Google Scholar] [CrossRef]
- Shams, S.S.; El-Hajjar, R.F. Overlay patch repair of scratch damage in carbon fiber/epoxy laminated composites. Compos. A 2013, 49, 148–156. [Google Scholar] [CrossRef]
- Tehrani, M.; Boroujeni, A.Y.; Hartman, T.B.; Haugh, T.P.; Case, S.W.; Al-Haik, M.S. Mechanical characterization and impact damage assessment of a woven carbon fiber reinforced carbon nanotube–epoxy composite. Compos. Sci. Technol. 2013, 75, 42–48. [Google Scholar] [CrossRef]
- Stepashkin, A.A.; Chukov, D.I.; Senatov, F.S.; Salimon, A.I.; Korsunsky, A.M.; Kaloshkin, S.D. 3D-printed PEEK-carbon fiber (CF) composites: Structure and thermal properties. Compos. Sci. Technol. 2018, 164, 319–326. [Google Scholar] [CrossRef]
- Li, C.S.; Vannabouathong, C.; Sprague, S.; Bhandari, M. The Use of Carbon-Fiber-Reinforced (CFR) PEEK Material in Orthopedic Implants: A Systematic Review. Clin. Med. Insights Arthr. Musculoskelet. Disord. 2015, 8, 33–45. [Google Scholar] [CrossRef] [PubMed]
- Tilak, S.R.; Shuib Pasha, S.A.; Nayeem Ahmed, M.; Daniel, S. An experimental investigation of flexural and inter laminar shear stress on hybrid polymer based composites (E glass fibre–Kevlar fibre with Epoxy resin 5052) for different thickness. Mater. Today Proc. 2021, 46, 8991–8994. [Google Scholar] [CrossRef]
- CES EduPack. Version 2018 [Software]. 2018. Available online: https://www.ansys.com/products/materials/granta-edupack (accessed on 7 March 2023).
- Yuan, J.; Na, C.; Xu, Y.; Zhao, C. Wind turbine manufacturing in China: A review. Renew. Sustain. Energy Rev. 2015, 51, 1235–1244. [Google Scholar] [CrossRef]










| Advantages | Description | Disadvantages | Description |
|---|---|---|---|
| Compared with glass fiber, the density is about 30% lower, the strength is 40% higher, and the modulus is 3–8 times higher, which improves the blade wear resistance and prolongs the blade life |
| The cost of carbon fiber is relatively high |
| Improves the aerodynamic performance of the blade, reduces the pressure on the tower and axle, and improves the energy output and use efficiency. |
| Prepreg molding process requires high, long molding cycle |
| Making super-large-scale blades and using low-wind-speed blades to reduce power generation cost |
| The transparency of carbon fiber is very low, so it is difficult to detect the inside of the product |
| It is feasible and can realize lightning protection through grounding |
| It is not easy to make complex surfaces, and the performance of the fiber is reduced after deformation |
| The blade is lightweight, which can save some transportation and installation costs |
| During the transportation, storage, and use of carbon fiber, environmental temperature and humidity requirements are high |
| The resonance between natural frequency and tower can be avoided |
| Poorer permeability than glass fiber, surface treatment required |
| Materials | Density (kg/m3) | Fatigue Strength (MPa) | Cost Per Unit Weight (USD/kg) | Carbon Footprint Per Unit Weight (kg/kg) | Embodied Energy Per Unit Weight (MJ/kg) |
|---|---|---|---|---|---|
| PEEK/IM carbon fiber | 1.55 × 103 | 1.58 × 103 | 107.23 | 50 | 745 |
| Epoxy/HS carbon fiber | 1.55 × 103 | 1.20 × 103 | 38.15 | 46 | 690 |
| Epoxy/E-glass fiber | 1.95 × 103 | 2.658 × 102 | 33 | 6.98 | 120 |
| Regions | Average Wind Speed (m/s) | Average Elevation (m) | Air Density (kg/m3) | Unit Capacity (MW) | Rotation Rate (rpm) | Blade Length (m) |
|---|---|---|---|---|---|---|
| Guangdong Nan’ao wind farm | 10 | 0 | 1.29 | 6 | 21 | 40 |
| 16 | 60 | |||||
| 12 | 80 | |||||
| Inner Mongolia Huitengxile wind farm | 8.8 | 1400 | 1.07 | 4.5 | 16 | 45 |
| 13 | 65 | |||||
| 11 | 85 | |||||
| Jilin Baicheng wind farm | 7.8 | 160 | 1.27 | 3.3 | 19 | 42 |
| 15 | 62 | |||||
| 12 | 82 | |||||
| Qinghai–Tibet Plateau wind farm | 7.5 | 3000 | 0.94 | 1.5 | 16 | 46 |
| 13 | 66 | |||||
| 11 | 86 |
| Incentive Policy | Issuing Authority | Main Influences |
|---|---|---|
| The “13th Five-Year” plan for national science and technology innovation | The State Council | It must focus on developing carbon fiber and its composites and superalloys and achieve breakthroughs in the core key technologies for preparation, evaluation, and application. |
| Petrochemical and chemical industry development plan | Ministry of Industry and Information Technology | Focus on breakthroughs in the technology for the low-cost and large-scale production of high-strength carbon fibers, and accelerate the industrialization of high-strength and medium- and high-modulus carbon fibers. |
| Development plan of strategic emerging industries in the “13th Five-Year” plan | The State Council | Focus on breakthroughs in domestic low-cost carbon fiber preparation technology and high-end carbon fiber preparation technology, and establish the chain structure of the carbon fiber industry with Chinese characteristics. |
| Guiding Catalogue of Key Products and Services of Strategic Emerging Industries | National Development and Reform Commission | Take high-performance carbon fibers as an essential product of strategic emerging industry. |
| Development guide of new material industry | Ministry of industry and information technology | The development direction of essential strategic materials such as high-performance fiber and composite materials is put forward to realize industrialization and scale application. |
| The “13th Five-Year” plan for science and technology innovation in materials field | Ministry of Science and Technology | It is proposed to work toward breakthroughs in critical standard technology with high-performance fibers, composite materials, and superalloys as the core to enhance advanced structural materials’ supportability and international competitiveness. |
| Industry key generic technology development guide | Ministry of Industry and Information Technology | The standard critical technologies for priority development are put forward, such as “dry jet wet spinning high-performance carbon-fiber technology”. |
| Three-year action plan to enhance the core competitiveness of manufacturing industry | National Development and Reform Commission | It is pointed out that the production and application level of advanced composites should be improved, and the development of high-performance carbon fiber and its application should be emphasized. |
| New material standard pilot action plan | National Development and Reform Commission | The technical standards for preparing T800 grade and m55j grade and above industrial-grade carbon fibers are proposed to promote the broad application of domestic carbon fibers. |
| Guide Catalogue for Application Demonstration of the First Batch of Key New Materials | Ministry of Industry and Information Technology | Publish the catalog of critical strategic materials, including fiber materials such as high-performance carbon fibers. |
| Guidance Catalogue for Industrial Development and Transfer | Ministry of Industry and Information Technology | Shanghai, Jiangsu, and other places accelerate the development of carbon fibers, high-performance composite materials, special functional materials, and other materials. |
| Special policy of 15 items of carbon fiber | Shanghai Science Committee | Guide and support the high-quality development of the carbon fiber industry. |
| Pilot work of insurance compensation mechanism for the first batch of key new materials in 2020 | Ministry of Industry and Information Technology | For the production of new material products in the guidance catalog for the first application demonstration of vital new materials (2019), the production company can apply for a premium subsidy. |
Disclaimer/Publisher’s Note: The statements, opinions and data contained in all publications are solely those of the individual author(s) and contributor(s) and not of MDPI and/or the editor(s). MDPI and/or the editor(s) disclaim responsibility for any injury to people or property resulting from any ideas, methods, instructions or products referred to in the content. |
© 2023 by the authors. Licensee MDPI, Basel, Switzerland. This article is an open access article distributed under the terms and conditions of the Creative Commons Attribution (CC BY) license (https://creativecommons.org/licenses/by/4.0/).
Share and Cite
Teng, H.; Li, S.; Cao, Z.; Li, S.; Li, C.; Ko, T.J. Carbon Fiber Composites for Large-Scale Wind Turbine Blades: Applicability Study and Comprehensive Evaluation in China. J. Mar. Sci. Eng. 2023, 11, 624. https://doi.org/10.3390/jmse11030624
Teng H, Li S, Cao Z, Li S, Li C, Ko TJ. Carbon Fiber Composites for Large-Scale Wind Turbine Blades: Applicability Study and Comprehensive Evaluation in China. Journal of Marine Science and Engineering. 2023; 11(3):624. https://doi.org/10.3390/jmse11030624
Chicago/Turabian StyleTeng, Hanwei, Shujian Li, Zheng Cao, Shuang Li, Changping Li, and Tae Jo Ko. 2023. "Carbon Fiber Composites for Large-Scale Wind Turbine Blades: Applicability Study and Comprehensive Evaluation in China" Journal of Marine Science and Engineering 11, no. 3: 624. https://doi.org/10.3390/jmse11030624
APA StyleTeng, H., Li, S., Cao, Z., Li, S., Li, C., & Ko, T. J. (2023). Carbon Fiber Composites for Large-Scale Wind Turbine Blades: Applicability Study and Comprehensive Evaluation in China. Journal of Marine Science and Engineering, 11(3), 624. https://doi.org/10.3390/jmse11030624
