Next Article in Journal
Total Water Level Mitigation Related to Fringing Reef and Upperbeach Vegetation Status at a Hurricane Exposed Coast
Next Article in Special Issue
Analysis of the Influence of Seasonal Water Column Dynamics on the Relationship between Marine Viruses and Microbial Food Web Components Using an Artificial Neural Network
Previous Article in Journal
Maximizing Green Hydrogen Production from Water Electrocatalysis: Modeling and Optimization
Previous Article in Special Issue
The Effect of Husbandry and Original Location on the Fouling of Transplanted Panels
 
 
Font Type:
Arial Georgia Verdana
Font Size:
Aa Aa Aa
Line Spacing:
Column Width:
Background:
Article

Fouling Community on Pinna nobilis Larval Collectors in the Adriatic—Impact of Invasive Species

by
Tatjana Bakran-Petricioli
1,*,
Dajana Kujundžić
1,
Martina Naranđa
1,
Donat Petricioli
2,
Lucija Petricioli
3 and
Silvija Kipson
1,4
1
Department of Biology, Faculty of Science, University of Zagreb, Rooseveltov Trg 6, 10000 Zagreb, Croatia
2
D.I.I.V. for Marine, Freshwater and Subterranean Ecology, Sali IV 2, 23281 Sali, Croatia
3
Department of Electronic Systems and Information Processing, Faculty of Electrical Engineering and Computing, University of Zagreb, Unska 3, 10000 Zagreb, Croatia
4
SEAFAN—Marine Research and Consultancy, Voltino 14, 10000 Zagreb, Croatia
*
Author to whom correspondence should be addressed.
J. Mar. Sci. Eng. 2023, 11(3), 618; https://doi.org/10.3390/jmse11030618
Submission received: 27 February 2023 / Revised: 11 March 2023 / Accepted: 14 March 2023 / Published: 15 March 2023
(This article belongs to the Special Issue Feature Papers in Marine Biology)

Abstract

In the last few years, the endemic Mediterranean bivalve Pinna nobilis has been exposed to dramatic mortality in its entire area, which could lead to the extinction of the species. Throughout the Mediterranean, a lot of effort is being put into finding ways of preserving it. One of the methods used to monitor recruitment and juveniles’ survival is the installation of collectors for bivalve larvae. We installed collectors at two locations: in Brijuni National Park (North Adriatic) and Luka Cove (central Adriatic). Our aim was to compare the fouling community on the collectors in two consecutive years (2019 and 2020), especially because the installation of collectors in 2020 coincided with mass mortality events of P. nobilis in the area. The number and size of juvenile P. nobilis and the qualitative and quantitative composition of the fouling communities were determined. The results show a reduction in the number and size of juvenile P. nobilis and an explosion of the invasive bivalve Anadara transversa population on collectors in the second year. In Luka Cove, another invasive species—the ascidian Styela plicata—also seriously affected other organisms on the collectors to the point of preventing analysis of the fouling community.

1. Introduction

Pinna nobilis Linnaeus, 1758, the noble pen shell, is the largest and best-known endemic Mediterranean bivalve. People have known and used it since ancient times, primarily for food, but also for the production of jewelry (pearls, mother-of-pearl from shells) and for making special fabrics from byssus threads. It mainly inhabits sedimentary bottoms, often in seagrass meadows [1,2,3,4,5], and it was recorded at depths of 0.5 m to 60 m, in a temperature range of 7 to 28 °C, and salinity range of 34–40 PSU [5,6]. In the Adriatic Sea, in Croatia, it was generally widespread, to the point of being exceptionally numerous at depths between 2 and 20 m in some places since 2005 to the onset of mass mortality (Petricioli D. and Bakran-Petricioli T., personal observation).
The noble pen shell is a successive hermaphrodite with asynchronous maturation of gametes; its fertilization is external, and its larvae are pelagic [7]. The bivalve reproduces from June onwards and the larvae spend ten to twenty days in plankton [8].
In the last six years, the noble pen shell has been exposed to dramatic mass mortalities, up to 100%, in its entire area. Mass mortalities were first recorded in the fall of 2016 in the Western Mediterranean [9]. At the beginning of 2019, mass mortalities were also recorded in the southern part of the Adriatic [10], and by the fall of 2019, they had affected two-thirds of the Adriatic Sea. During 2020, mass mortalities of the noble pen shell reached the northern Adriatic.
Pinna nobilis populations have previously declined due to anthropogenic activities, including illegal shellfish harvesting, shell-damaging recreational and commercial fishing, bottom net and trawl fishing, and incidental killing by anchoring [11]. However, recent mass mortalities of this species are associated with pathogens: Haplosporidium pinnae, which was identified as a previously unknown species of the genus Haplosporidium [12] and bacteria of the genus Mycobacterium, which also have a lethal effect on the noble pen shell [13,14]. Haplosporids are highly pathogenic to marine and freshwater invertebrates, resulting in high mortality rates. These parasites attack the digestive glands, which interferes with food absorption and causes severe dysfunction and ultimately the death of the host [14,15]. Residual sea surface currents may play an important role in spreading the pathogen(s) [16].
The noble pen shell is a species strictly protected by law throughout the Mediterranean. Due to recent mass mortalities, it has been rated as a critically endangered species [8]. Scientists across the Mediterranean are monitoring the state of the remaining populations/individuals in order to learn more about the biology of the species and to better understand the spread of the disease. Only a few refugia still exist in paralic environments of coastal lagoons and estuaries across the Mediterranean with remaining unaffected or less affected P. nobilis populations, e.g., Mar Menor lagoon and parts of the Ebro estuary in Spain or parts of Venice Lagoon in Italy [16,17,18,19,20]. Protective actions are carried out, dealing with transporting found live specimens to controlled conditions for monitoring and treatment of any infected individuals to try and help them recover [17,21]. Transplantation of adult individuals from areas of high mortality to areas of lower mortality was already proposed as a conservation measure [22], but right now, due to a small number of surviving P. nobilis in nature and the probable presence of pathogens in the sea water, this option is not feasible.
One of the methods used in an effort to preserve the species is the installation of collectors for bivalve larvae to monitor recruitment and juveniles’ survival throughout the Mediterranean [21]. This approach already contributed to the knowledge about the spread of mass mortality and potential factors that play a role in it [17]. Furthermore, the huge Mediterranean collaborative network [21] has already shown a worrisome disruption in P. nobilis larval recruitment. We joined the network and started monitoring in the northern Adriatic in 2019, before the mortality reached the area (part of the results are presented in this paper). The North Adriatic is very important because mass mortalities were recorded there last, so there is still a higher probability of finding a few live adult noble pen shells in nature potentially resistant to pathogens.
In Croatia, the initiative “PinnAdriaNet“ (collecting juvenile Pinna nobilis through larvae collectors and transporting them alive to closed system aquaria) was started by Silvija Kipson. Since 2020, this action has been financed by the project “Noble pen shell preservation in the Adriatic Sea” coordinated by the Croatian Ministry of Economy and Sustainable Development and funded by the Environmental Protection and Energy Efficiency Fund [23,24]. The project involves a network of partners from academic, research, and public institutions, as well as NGOs throughout Croatia, including Aquarium Pula, which became the leading institution in Croatia responsible for keeping young and adult Pinna nobilis individuals in controlled (ex situ) conditions [25].
The aim of this research was to compare the fouling community on larval collectors in Brijuni National Park between two years: 2019 and 2020, especially because the installation of collectors in 2020 coincided with the mass mortality of P. nobilis in Brijuni National Park, which started in June 2020. We also noted the appearance of invasive species on larval collectors in Brijuni National Park and Luka Cove in the central Adriatic Sea, which seriously affected other fouling organisms.

2. Materials and Methods

2.1. Study Area

The research was conducted within Brijuni National Park in North Adriatic at two locations: in Javorike Cove (44°54′13.54″ N and 13°45′41.47″ E) on Veliki (Veli) Brijun Island and in Pisak Cove (44°55′54.35″ N and 13°44′12.61″ E) on Mali Brijun Island, and in Luka Cove on Dugi Otok Island in the Central Adriatic (43°58′55.02” N and 15°5′34.38″ E) (Figure 1). Collectors for bivalve larvae were placed in the infralittoral of both studied areas. Before the onset of mass mortality, both areas harbored numerous and apparently healthy Pinna nobilis populations.
Brijuni National Park is a Croatian marine protected area in the northern part of the Adriatic Sea. It consists of 14 islands and islets with a total area of 33.9 km2. The two largest and most indented islands are Veliki Brijun and Mali Brijun (Figure 1).
Luka Cove on Dugi Otok Island is not a protected area. Luka is a fishing village (approx. 130 inhabitants) in an indented bay that provides shelter for fishing boats and support boats for nearby fish aquaculture (one 4 km northwest from the Luka port with an annual production of 1000 t seabass and seabream, and the other 3 km northeast from the port with an annual production of 3000 t of fish) (Figure 1).

2.2. Larval Collectors

The collectors for bivalve larvae were made from 60 × 40 cm mesh polypropylene bags for vegetable storage (commercially available and affordable common mesh bag) (described in [21]). An individual collector bag consisted of three slightly wrinkled bags inserted into one bag. The bags were then tied to a rope with a stone at the bottom as an anchor and an empty plastic bottle at the surface as a float to keep the rope with bags in a vertical position. Such collectors with exact distances from bag to bag (to obtain the final desired depth) were preset on land and then adjusted to the right depth in the sea (Figure 2).
In Javorike Cove in 2019, three collectors were set up with collector bags placed at 6, 8, and 10 m of depth (a total of 9 collector bags). The collectors were installed in the sea on 5 June 2019, and taken out of the sea on 23 October 2019.
In Javorike Cove in 2020, three collectors were set up with collector bags placed at 2, 4, 6, 8, and 10 m of depth (a total of 15 collector bags), and in Pisak Cove, three collectors were set up with collector bags at a depth of 2 and 4 m (six collector bags in total). A total of 21 collector bags were installed at both locations. The collectors were installed in Javorike Cove on 14 June 2020, and taken out of the sea on 18 to 20 December 2020 (they spent a little over 6 months in the sea). In Pisak Cove collectors were installed on 10 June 2020, and taken out of the sea on 20 December 2020.
In Luka Cove in 2020, 3 collectors were set up with collector bags placed at 2, 4, 6, 8 and 10 m of depth (a total of 15 collector bags). The collectors were installed in the sea on 29 May 2020, and taken out of the sea on 2 February 2021.
After being taken out of the sea, each collector bag was carefully put separately in a plastic tub filled with sea water (in order not to damage Pinna juveniles).

2.3. Extraction of Organisms from Collectors, Species Separation and Determination

Immediately after being taken out of the sea, all collector bags were carefully inspected for living Pinna juveniles (Figure 3), which when found, were cut out from the mesh with scissors and carefully separated into clean seawater, measured, and transported within 24 h to Aquarium Pula in strong plastic bags with seawater supplemented with pure oxygen.
All the other organisms on the collector bags were collected, fixed in 96% ethyl alcohol, and stored in separate containers. Further processing of samples was conducted in the laboratory: separation and determination of species, measurement, and counting. The validity of the species names was checked in the World Register of Marine Species [26].

2.4. Data Analysis

The data were first stored in Microsoft Excel [27] worksheets. They were then cleaned, consistently formatted, and separated into documents of CSV format. Further cleaning and shaping were performed using the programming language R [28]. Afterwards, R scripts for calculation automation were written. Most graphs were drawn using R’s ggplot2 package [29], whereas some were drawn using Microsoft Excel.
In order to compare the diversity of the fouling communities on the collectors, Shannon’s diversity index ( H ), Simpson’s diversity index ( D ), and Simpson’s evenness index (E) were calculated.
The Shannon index (H) is used to quantify specific biodiversity. The index considers the number of taxa observed in the sample (species richness) and the relative number of individuals of each individual taxa in the sample. It can be interpreted as the uncertainty of which species an individual randomly selected from the population will be. The more uniform the number of individuals of each species in a population is, it is less likely the randomly selected individual’s species can be predicted [30]. The formula for calculating the index is as follows:
H = i = 1 S p i * ln p i
where S is the number of different species found at one location, and p i is calculated in the following manner:
p i = n i N ,   i = 1 ,   2 ,   ,   S
where n i is the number of one species’ individuals, and N is the number of all individuals found at the location being observed.
Simpson’s index of diversity (D) was also used to quantify biodiversity. It represents the probability that two individuals randomly chosen from a population belong to different species [30,31], and is calculated as follows:
D = 1 i = 1 S p i 2
where S and p i correspond to the definitions and formulas previously stated.
Finally, Simpson’s evenness (E) was calculated. Evenness indicates the relationship between each of the species’ proportions—if there are a similar number of individuals of each species, the population is fairly even, and evenness is high. On the other hand, if the number of one species’ individuals dominates the rest, evenness is low [30,31]. Simpson’s evenness is calculated as follows:
E = 1 S * i = 1 S p i 2
where S and p i correspond to the definitions and formulas previously stated.

2.5. Sea Temperature Measurement

The sea temperature was measured in Javorike Cove on Veli Brijun at 12 m depth within the Cymodocea seagrass meadow from May 2018 to June 2020 within the framework of the project MERCES. The small temperature dataloggers HOBO® UA-002-64 Data Logger Pendant® Temperature/Light 64K (Onset® Computers, Bourne, MA, USA) were used for the measurement. The loggers measured sea temperature every hour.

3. Results

3.1. Brijuni National Park

3.1.1. Composition and Abundance of Organisms on Larval Collectors

In 2019, 36 taxa of macrobenthic species in total were identified on the collectors for Pinna nobilis larvae in Javorike Cove on Veli Brijun Island in Brijuni National Park (Table S1 in Supplementary materials). In 2020, 42 taxa of macrobenthos were identified in Javorike Cove (Table S2 in Supplementary materials) and 38 taxa in Pisak Cove on Mali Brijun (Table S3 in Supplementary materials). Bivalves dominated the collectors in both their number of species and individuals (Figure 4). Crustaceans were the second most abundant group and gastropods the third (but they were only present in higher abundance in Pisak Cove). Other organisms in the fouling on the collectors were sparse, with a small number of taxa and individuals (Tables S1–S3 In Supplementary Materials).
In 2019 in Javorike Cove, there were 17 species of bivalves (2793 individuals) and 11 taxa of crustaceans (879 individuals) (Figure 4). The total abundance of organisms on all collectors was 3731 individuals (1223 at 6 m depth, 1357 at 8 m and 1151 at 10 m). The average number per collector bag was 414.6 ± 102.9 individuals (in the range from 283 individuals on bag 1 at 10 m depth to 658 on bag 2 at 8 m depth, Table S1).
In 2020 in Javorike Cove, there were 17 species of bivalves (11,379 individuals) and 8 taxa of crustaceans (1111 individuals) (Figure 4). The total abundance on all collectors was 12,667 individuals (6685 at 2 m depth, 3541 at 4 m, 1186 at 6 m, 918 at 8 m, and 337 at 10 m; Table S2). The average number per collector bag was 904.8 ± 877.4 individuals. The average number of individuals on collectors by depth was: 2228.3 at 2 m, 1180.3 at 4 m, 395.3 at 6 m, 306 at 8 m, and 168.5 individuals at 10 m.
In 2020 in Pisak Cove there were 15 species of bivalves (4472 individuals), 2 gastropod species (329 individuals), and 9 taxa of crustaceans (229 individuals) (Figure 4). The total abundance on all collectors was 5098 individuals (3993 individuals at 2 m and 1105 at 4 m of depth; Table S3). The average number of individuals per collector bag was 849.7 ± 866.5, while the average number was 1331 individuals at 2 m and 368.3 at 4 m.
The most numerous gastropod species in Javorike Cove in 2019 were Palaemon elegans Rathke, 1836 (389 individuals in total) and Pisidia longicornis (Linnaeus, 1767) (351 individuals) (Table S1 in Supplementary Materials), while in Javorike Cove in 2020, Pisidia longicornis (774 individuals) and Pilumnus hirtellus (Linnaeus, 1761) (235 individuals) were the most abundant (Table S2 in Supplementary Materials). In Pisak Cove in 2020, a considerable number of gastropods were noted: mostly the species Bittium reticulatum (da Costa, 1778) (328 individuals) (Figure 4, Table S3 in Supplementary Materials).

3.1.2. The Most Abundant Bivalve Species on Larval Collectors

The numbers of the most abundant bivalve species found on larval collectors are shown in Table 1, Table 2 and Table 3 (Table 1 for Javorike 2019, Table 2 for Javorike 2020 and Table 3 for Pisak 2020). In 2020, the species Anadara transversa (Say, 1882) highly outnumbered other species present on shallow collectors (at 2 and 4 m in Javorike and at 2 m in Pisak)—it was more than 10 times more numerous than the next most abundant species (Table 2).

3.1.3. Pinna nobilis Juveniles on Collectors

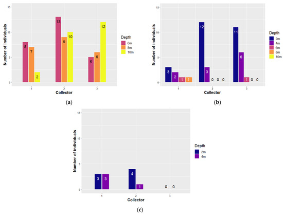
In Javorike Cove in 2019, a total of 72 juveniles of Pinna nobilis were isolated from larval collectors (only 70 individuals could be measured as 2 were too damaged). Out of these, 37% (26 individuals) were up to 2 cm in length, 43% (30 individuals) were between 2 and 4 cm, and 20% (14 individuals) were larger than 4 cm (Figure 5a). The largest measured shell length was 6.3 cm, whereas the smallest was 0.4 cm. The number of juvenile Pinna nobilis found on collector bags at different depths is shown in Figure 6a. There were, on average, 7.78 noble pen shell juveniles per collector bag in 2019 in Javorike Cove.
In 2020, 40 juvenile noble pen shells were found on larval collectors in Javorike Cove, 11 of which were damaged and could not be measured. Out of 29 undamaged individuals, 96.6% were up to 2 cm in length (14 individuals were found to be smaller than 1 cm in length, the smallest was 0.4 cm, and 14 individuals were between 1 and 2 cm), whereas only 1 individual was larger than 2 cm, more precisely 2.5 cm (Figure 5b). The number of juvenile Pinna nobilis found on collector bags at different depths is shown in Figure 6b.
Of the three collectors that were placed in Javorike Cove in 2020, one collector sank to the bottom and was not usable for analysis. On average, there were 2.86 juvenile noble pen shells per collector bag in 2020 in Javorike Cove.
In Pisak Cove in 2020, 11 juvenile noble pen shells were found on the collectors, 4 of which were damaged and could not be measured. Out of these, 71% were up to 2 cm in length (one individual was smaller than 1 cm in length (0.8 cm), four individuals were between 1 and 2 cm) and two (29%) were between 2 and 4 cm in length, being 2.8 and 3.4 cm, respectively (Figure 5c). The number of juvenile Pinna nobilis found on collector bags at different depths is shown in Figure 6c.
Two of the six (3 × 2) collectors placed in Pisak Cove sank to the bottom and were not usable for analysis. Therefore, four collectors could be analyzed. There were, on average, 2.75 juvenile noble pen shells per collector bag in Pisak Cove in 2020.

3.1.4. Invasive Bivalve Anadara transversa on Larval Collectors

In 2020, the fouling of collectors at both locations in Brijuni National Park was dominated by the invasive bivalve Anadara transversa (Say, 1882). While in 2019 it did not stand out among the other bivalves (a total of 404 individuals on all collector bags, Table 1), in 2020, its number grew exponentially, to 8988 individuals in total on the Javorike collectors (Table 2) and 4093 individuals on the Pisak collectors (Table 3). It is important to note that shallow collector bags contained the highest number of this bivalve: in Javorike, 5832 individuals at 2 m and 2677 individuals at 4 m (Table S2 in Supplementary Materials); in Pisak, 3524 individuals at 2 m (Table S3 in Supplementary Materials). Some of the collector bags at shallow depths were almost completely covered with this invasive bivalve (Figure 7).
A graphical representation of the number of Anadara transversa and Pinna nobilis individuals found on collectors in Javorike Cove in 2019 and 2020 can be seen in Figure 8. We used it as an aid in determining any overlap between the two species’ preferred habitat depth. The Y axis was plotted in a logarithmic scale (base 10) to accommodate the immense number of A. transversa individuals in 2020.

3.1.5. Diversity of Fouling Communities

The diversity and uniformity of the fouling community on larval collectors for Javorike Cove in 2019 is shown in Table 4, for Javorike Cove in 2020 in Table 5, and for Pisak Cove in 2020 in Table 6. The indices were calculated for each location for the whole fouling community, and then for each depth separately. Table 7. shows indices when all species were taken into account (7a) and when Anadara transversa was excluded from calculations (7b).

3.1.6. Sea Temperature

The sea temperature in Javorike Cove at 12 m depth in a Cymodocea seagrass meadow, close to the location where the larval collectors were set up, is shown on Figure 9. The temperatures reached 22 °C in 2018 and 2019 in mid-June. Temperatures above 25 °C started to appear in both years at the beginning of August, and it dropped below 25 °C in both years at the beginning of September. By the end of September in both years, temperature dropped below 22 °C.

3.2. Luka Cove

One of the larval collectors in Luka Cove was completely missing, and the other two were heavily fouled with invasive ascidian Styela plicata (Lesueur, 1823) (Figure 10). Due to heavy fouling, one collector sunk to the bottom and the lower collector bags on the other one were touching the bottom. On the collector bag from 2 m depth there were around 120 ascidians of approximately the same size (age) (Figure 10), and the wet weight of the bag was over 8 kg.
Aside from Styela plicata, another solitary ascidian was commonly present on the larval collectors—Phallusia mammillata (Cuvier, 1815) (Figure 11). Moreover, two more invasive species were noticed on larval collectors in Luka Cove: the bryozoan Bugula neritina (Linnaeus, 1758) (Figure 11) and the sponge Paraleucilla magna Klautau, Monteiro & Borojevic, 2004 (Figure 12).
We carefully inspected the larval collectors in Luka Cove, but no Pinna nobilis juveniles were found and it was not possible to analyze them in the same way as the collectors in Brijuni National Park were.

4. Discussion

Bivalves dominated the fouling community on larval collectors in Brijuni National Park. Their proportion in the total number of organisms was 74.8% in 2019 and 89.8% and 87.7% in 2020 (Figure 4). They also dominated in species richness: in Javorike Cove in 2019, there were 17 bivalve species among 36 taxa in total (47.2%); in Javorike Cove in 2020, there were 17 bivalve species among 42 taxa (40.5%); and in Pisak Cove in 2020, there were 15 bivalve species among 38 taxa of fouling organisms (39.5%) (Tables S1–S3 in Supplementary Materials).
The most abundant autochthonous bivalve species on collectors at both locations in Brijuni NP were Limaria hians (Gmelin, 1791), Limaria tuberculata (Olivi, 1792), and Parvicardium exiguum (Gmelin, 1791) (Table 1, Table 2 and Table 3), which could be connected to the structure of collectors. The collector bags’ mesh provided the perfect substrate on which bivalves of the genus Limaria could successfully build their nests of byssal threads that bind them together.
The fouling on collectors with a lot of bivalves is a suitable habitat for mobile fauna, especially crustaceans, which use bivalves as food or shelter. This explains the abundance of Palaemon elegans Rathke, 1836, Pisidia longicornis (Linnaeus, 1767) and Pilumnus hirtellus (Linnaeus, 1761) in Javorike Cove in both years (Tables S1 and S2 in Supplementary Materials). A considerable number of the gastropod Bittium reticulatum (da Costa, 1778) in Pisak Cove (Figure 4, Table S3 in Supplementary Materials) can be explained by the fact that the collector that the gastropods were recorded on ended up touching the bottom, at 5.5 m depth, covered in algae. This is also the reason why no collectors were installed deeper than 4 m in Pisak Cove.
The average number of individuals per collector bag was 414.6 ± 102.9 in Javorike Cove in 2019 and 904.8 ± 877.4 in Javorike Cove in 2020. The average number per collector bag in Pisak Cove in 2020 was 849.7 ± 866.5 individuals. The average number of individuals per collector bag more than doubled, and the total number of individuals even tripled, in only one year in Javorike Cove (Tables S1 and S2 in Supplementary Materials). Such an increase was exclusively due to the species Anadara transversa. It was present on collectors in 2019 (Table 1) but it did not stand out in abundance, while in 2020 it became the most abundant species (Table 2 and Table 3), especially on collector bags at shallow depths (2 and 4 m) (Figure 7).
Anadara transversa is an invasive bivalve species that was first recorded in the Mediterranean in 1972 in Turkey as Arca (Scapharca) amygdalum Philippi, 1847 [32]. Since then, it has been spreading in the Mediterranean Sea and has already reached the Adriatic Sea [33]. In Croatia, it was recorded in 2011 for the first time, on the muddy bottom of Lim Bay (north Adriatic) at a depth of 4.4 m [34] and later, it was found successfully integrated into the biofouling community of northern Adriatic mariculture areas [35]. A very high quantity of Anadara transversa on bivalve larval collectors in northwestern Adriatic was also reported recently, in the summer–autumn period [36], negatively impacting the collection of targeted bivalve larvae. This species is considered to have been introduced as a nontarget species among bivalve mollusks reared in mariculture and/or as part of fouling on ship hulls and/or as larvae in ballast water [37]. It is an opportunistic species that can adapt to degraded habitats and even contaminated areas such as harbors [38]. In fouling, this species competes for food more successfully than autochthonous species [39].
Our results show that such a high number of Anadara transversa on collectors reduces diversity and increases uniformity in the fouling community. The Shannon (H) and Simpson diversity (D) indices in Javorike in 2019 show that the fouling community was rather diverse (H = 2.47 and D = 0.89). Both indices, as well as the Simpson evenness index €, did not vary among depths in 2019 (Table 4). However, their values were much smaller in 2020 (H = 1.29 and D = 0.49 for Javorike; H = 0.98 and D = 0.35 for Pisak) and varied considerably according to depth (Table 5 and Table 6). On deeper collector bags (6, 8, and 10 m), where A. transversa was not so numerous, the difference does diminish. The impact of A. transversa on the indices can be seen in Table 7. Namely, if the indices are calculated excluding A. transversa, there is almost no difference in diversity and uniformity of fouling community at both locations and in both years (Table 7b).
The reduction in the number of juvenile noble pen shells found on collectors in just one year from an average of 7.78 individuals (2019) to only 2.86 and 2.75 individuals per collector bag (2020), and the reduction in maximal size they reached—from 6.3 cm (2019) to 2.5 and 3.4 cm (2020), respectively—indicates that there were fewer adult breeding individuals in the environment in 2020 and that the juveniles on collectors in 2020 grew slower. It is important to stress that the collectors were in the sea for 4,5 months in 2019 and 6 months in 2020. In June 2020, the time we put the collectors in the sea, we were witnessing the deaths of adult P. nobilis in Brijuni National Park. The tissue from a dying animal in Veli Brijun Port proved to be Haplosporidium pinnae-positive [40].
The number of P. nobilis juveniles on collectors according to depth in both studied coves shows that larvae are more often present on shallow collector bags (Figure 6b,c), which is in accordance with the finding of [41] that noble pen shell larvae prefer collectors at shallower depths.
The sea temperature measured in 2018 and 2019 showed a similar seasonal profile in both years (Figure 9); it reached 22 °C in mid-June. This temperature is known to provoke spawning in P. nobilis in experimental conditions [42]. However, in 2019, the abundant P. nobilis population in Brijuni National Park was apparently healthy, while in 2020, it was already dying from the beginning of June onwards. The mass mortality affected the Croatian part of the northern Adriatic and the south and west part of Istria, including Brijuni National Park.
The huge number of the invasive bivalve Anadara transversa on collectors (Table 1, Table 2 and Table 3; Tables S1–S3 in Supplementary Materials), especially at shallow depths, may have contributed to the slower growth of juvenile noble pen shells on collectors. This is possible because, as can be seen in Figure 8 (especially evident in the 2020 graph), the two species overlap in their preferred habitat depth, which could result in an added pressure on the already fragile Pinna population, as the two species most likely compete for both food and location. It is known that the starting period of growth is extremely important for juvenile P. nobilis because they grow the fastest until the first year of life [7]. However, stunted growth could further be a consequence of the disease. Out of a total of 51 P. nobilis juveniles isolated from collectors in Javorike and Pisak Coves in Brijuni National Park in 2020, only 19 individuals were alive, and they were carefully transferred to Aquarium Pula. Unfortunately, by the end of the summer of 2021, all the juveniles had died, and analysis showed that they were all infected with Haplosporidium pinnae [43].
Larval collectors in Luka Cove in the central Adriatic were heavily fouled by invasive organisms (Figure 10, Figure 11 and Figure 12), and no juveniles of noble pen shell could be recorded on them. The most numerous invasive species was Styela plicata (Lesueur, 1823). It is a solitary ascidian distributed worldwide, and it is especially common on human structures in the sea such as marinas, buoys, docks, and maricultural sites. It can withstand a wide range of environmental conditions, especially salinity and temperature [44], and even polluted waters. These opportunistic characteristics together with its prolonged reproductive period [45,46] give it a competitive advantage and potential for invasion. The huge number of ascidians on the collectors (approx. 120 individuals per collector bag, weight estimated at 8 kg) caused some of them to sink to the bottom, making them all unsuitable for the analysis of fouling (like we carried out in Brijuni National Park). Styela plicata was also noted in huge numbers on ropes in nearby Luka port, as well as in Sali (Dugi Otok Island) and Zadar ports in the wider surroundings.
Aside from Styela plicata, two more invasive species were noticed on larval collectors in Luka Cove: the sponge Paraleucilla magna Klautau, Monteiro & Borojevic, 2004 (Figure 12) and bryozoans Bugula neritina (Linnaeus, 1758) (Figure 11).
The calcareous sponge Paraleucilla magna Klautau, Monteiro & Borojevic, 2004 is considered to be an alien invasive species in the Mediterranean [47]. This species shows strong seasonal variability in biomass, and it is probable that the main vectors for its spreading are shipping traffic and bivalve mariculture. In 2007, it was first reported that according to fishermen, it had already settled in southern Adriatic several decades ago [47]. Subsequently, it was found in the port of Ploče, southern Adriatic [48] and on Brač Island, Central Adriatic [49]. We found it at shallow depths in the northern Adriatic during a fouling survey on the Isabela gas platform [50]. The sponge was noted there as rare in March 2015, abundant in November 2015, and common in September 2017.
The bryozoan Bugula neritina (Linnaeus, 1758) has been identified as a species complex of unknown tropical-warm-temperate origin. The species in the complex could only be distinguished by molecular methods [51]. Bugula neritina often fouls aquaculture installations [52], causing problems in maintenance and/or reducing recruitment of target species. In our research, this species was found on collector bags as well as on ropes and buoys of larval collectors. We noted that it was also present on boat hulls in nearby Luka port and in Sali port in the wider surroundings (Dugi Otok Island, central Adriatic).
Human artificial structures such as piers, mariculture installations, gas platforms, etc., are prone to fouling, and therefore represent a hotspot for the settling of nonindigenous species, often opportunistic and potentially invasive. They can outcompete autochthonous communities, resulting in a disturbance of the whole ecosystem [37,53,54]. The high number of invasive species’ individuals found on the collectors placed in Luka cove can in part be attributed to the proximity of aquaculture sites. Due to heavy fouling, this location is obviously not suitable for P. nobilis recruitment monitoring with bivalve larval collectors. However, monitoring fouling communities on bivalve larval collectors can provide an early alert for invasion [55].
This research confirms that bivalve larvae collectors cannot save Pinna nobilis from extinction, due to the small number of available juveniles and their poor survival in enclosed aquaria to date. However, larval collectors can provide valuable information about whether there are adult noble pen shells reproducing in the environment. Moreover, collectors are, in a way, a probe for environmental conditions, especially for the progress of invasive species, such as in this case Anadara transversa, which, through competition for food and space, endangers the noble pen shell and other (commercially important) bivalves in their juvenile stages.

5. Conclusions

On the bivalve larval collectors installed in Brijuni National Park (North Adriatic), primarily aimed at Pinna nobilis juvenile collection, diverse and abundant fouling communities developed in both studied years. Bivalves dominated in number of species and abundance. The reduction in the number of juvenile pen shells and the reduction in their maximal size (i.e., their slower growth) that we recorded from 2019 to 2020 might be connected to the mass mortality of adult P. nobilis in the surrounding area (i.e., presence of pathogens) and could further be influenced by the explosion of the invasive bivalve Anadara transversa population. The extreme abundance of A. transversa on collectors in 2020 affected community diversity and may have had an effect on the attachment of juvenile pen shells.
Another invasive species, namely the ascidian Styela plicata, appeared on larval collectors installed in Luka Cove (central Adriatic). The fouling on these collectors almost entirely consisted of this species, and its abundance was so high that the fouling could not be analyzed in the same way that the collectors in Brijuni National Park were. Aside from Styela plicata, two additional invasive species were present in Luka Cove: the bryozoan Bugula neritina and the sponge Paraleucilla magna. This large number of invasive species found on collectors might be connected to the nearby aquaculture, but more research is needed for confirmation.
Even though the presence of invasive species on bivalve larval collectors may interfere with the attachment of P. nobilis juveniles, the collectors are a very convenient method for monitoring the appearance and progression of invasive species.

Supplementary Materials

The following supporting information can be downloaded at: https://www.mdpi.com/article/10.3390/jmse11030618/s1, Table S1: Organisms recorded on bivalve larvae collectors in 2019 in Javorike Cove in Brijuni National Park; Table S2: Organisms recorded on bivalve larvae collectors in 2020 in Javorike Cove in Brijuni National Park; Table S3: title: Organisms recorded on bivalve larvae collectors in 2020 in Pisak Cove in Brijuni National Park.

Author Contributions

T.B.-P.: research, conceptualization, data curation, formal analysis, writing—original draft, supervision, funding acquisition, project administration; D.K.: formal analysis, methodology, writing—review and editing; M.N.: formal analysis, writing—review and editing; D.P.: research, methodology, writing—review and editing; L.P.: data curation, formal analysis, visualization, validation, writing—review and editing; S.K.: research, conceptualization, methodology, writing—review and editing, funding acquisition. All authors have read and agreed to the published version of the manuscript.

Funding

This research was initiated within the EC Horizon 2020 project “Marine Ecosystem Restoration in Changing European Seas“ (MERCES, GA 689518) in which T.B.-P. and S.K. actively participated. S.K. was supported by a postdoctoral contract (EC Horizon 2020 project MERCES) and by the Croatian Environmental Protection and Energy Efficiency Fund (the project “Noble pen shell preservation in the Adriatic Sea” coordinated by the Croatian Ministry of Economy and Sustainable Development). This research also received a donation of City of Crikvenica, Croatia, in 2020 for the action “Save the noble pen shell”; the donation covered a part of the research.

Institutional Review Board Statement

Not applicable.

Informed Consent Statement

Not applicable.

Data Availability Statement

Data are contained within the article or supplementary material.

Acknowledgments

The authors acknowledge the logistic support of the authority and the staff of Brijuni National Park. Thanks are due to Mirko Belošević for assistance in the field. This research was carried out with explicit permissions given by relevant national authorities of the Republic of Croatia to work with strictly protected species and within a protected area. The authors would also like to thank the three anonymous reviewers for their useful comments which helped improve the manuscript.

Conflicts of Interest

The authors declare no conflict of interest. The funders had no role in the design of the study; in the collection, analyses, or interpretation of data; in the writing of the manuscript; or in the decision to publish the results.

References

  1. Acarli, S.; Acarli, D.; Kale, S. Current Status of Critically Endangered Fan Mussel Pinna nobilis (Linnaeus 1758) Population in Çanakkale Strait, Turkey. Mar. Sci. Technol. Bull. 2020, 10, 62–70. [Google Scholar] [CrossRef]
  2. Box, A.; Capó, X.; Tejada, S.; Catanese, G.; Grau, A.; Deudero, S.; Sureda, A.; Valencia, J.M. Reduced Antioxidant Response of the Fan Mussel Pinna nobilis Related to the Presence of Haplosporidium pinnae. Pathogens 2020, 9, 932. [Google Scholar] [CrossRef] [PubMed]
  3. García-March, J.R.; García-Carrascosa, A.M.; Peña Cantero, A.L.; Wang, Y.-G. Population structure, mortality and growth of Pinna nobilis Linnaeus, 1758 (Mollusca, Bivalvia) at different depths in Moraira bay (Alicante, Western Mediterranean). Mar. Biol. 2007, 150, 861–871. [Google Scholar] [CrossRef]
  4. Rabaoui, L.; Tlig-Zouari, S.; Katsanevakis, S.; Belgacem, W.; Ben Hassine, O.K. Differences in absolute and relative growth between two shell forms of Pinna nobilis (Mollusca: Bivalvia) along the Tunisian coastline. J. Sea Res. 2011, 66, 95–103. [Google Scholar] [CrossRef]
  5. Zavodnik, D.; Hrs-Brenko, M.; Legac, M. Synopsis on the fan shell Pinna nobilis L. in the eastern Adriatic Sea. In Les Espècies Marines à Protéger en Méditerranée; Boudouresque, C.F., Avon, M., Gravez, V., Eds.; GIS Posidonie publications: Marseille, France, 1991; pp. 169–178. [Google Scholar]
  6. Butler, A.J.; Vicente, N.; De Gaulejac, B. Ecology of the pteroid bivalves Pinna bicolor Gmelin and Pinna nobilis Linnaeus. Mar. Life 1993, 3, 37–45. [Google Scholar]
  7. Basso, L.; Vázquez-Luis, M.; García-March, J.R.; Deudero, S.; Alvarez, E.; Vicente, N.; Duarte, C.M.; Hendriks, I.E. The Pen Shell, Pinna nobilis: A Review of Population Status and Recommended Research Priorities in the Mediterranean Sea. Adv. Mar. Biol. 2015, 71, 109–160. [Google Scholar] [CrossRef] [PubMed]
  8. Kersting, D.; Benabdi, M.; Čižmek, H.; Grau, A.; Jimenez, C.; Katsanevakis, S.; Öztürk, B.; Tuncer, S.; Tunesi, L.; Vázquez-Luis, M.; et al. Pinna nobilis. The IUCN Red List of Threatened Species 2019. E.T160075998A160081499. IUCN, Gland. 2019. Available online: https://doi.org/10.2305/IUCN.UK.2019-3.RLTS.T160075998A160081499.en (accessed on 22 March 2020).
  9. Vázquez-Luis, M.; Álvarez, E.; Barrajón, A.; García-March, J.R.; Grau, A.; Hendriks, I.E.; Jiménez, S.; Kersting, D.; Moreno, D.; Pérez, M.; et al. Pinna nobilis: A Mass Mortality Event in Western Mediterranean Sea. Front. Mar. Sci. 2017, 4, 220. [Google Scholar] [CrossRef]
  10. Čižmek, H.; Čolić, B.; Gračan, R.; Grau, A.; Catanese, G. An emergency situation for pen shells in the Mediterranean: The Adriatic Sea, one of the last Pinna nobilis shelters, is now affected by a mass mortality event. J. Invertebr. Pathol. 2020, 173, 107388. [Google Scholar] [CrossRef]
  11. Vicente, N.; Moreteau, J.C. Status of Pinna nobilis L. en Méditerranée (Mollusque Eulamellibranche). In Les Espèces Marines à Protéger en Méditerranée; Boudouresque, C.F., Avon, M., Gravez, V., Eds.; GIS Posidonie Publications: Marseille, France, 1991; pp. 159–168. [Google Scholar]
  12. Catanese, V.; Grau, A.; Valencia, J.M.; Garcia-March, J.R.; Vazquez-Luis, M.; Alvarez, E.; Deudero, S.; Darriba, S.; Carballal, M.J.; Villalba, A. Haplosporidium pinnae sp. nov. a haplosporidan parasite associated with mass mortalities of the fan mussel, Pinna nobilis, in the Western Mediterranean Sea. J. Invertebr. Pathol. 2018, 157, 9–24. [Google Scholar] [CrossRef]
  13. Carella, F.; Aceto, S.; Pollaro, F.; Miccio, A.; Iaria, C.; Carrasco, N.; Prado, P.; De Vico, G. A mycobacterial disease is associated with the silent mass mortality of the pen shell Pinna nobilis along the Tyrrhenian coastline of Italy. Sci. Rep. 2019, 9, 2725. [Google Scholar] [CrossRef]
  14. Carella, F.; Antuofermo, E.; Farina, S.; Salati, F.; Mandas, D.; Prado, P.; Panarese, R.; Marino, F.; Fiocchi, E.; Pretto, T.; et al. In the Wake of the Ongoing Mass Mortality Events: Co-occurrence of Mycobacterium, Haplosporidium and Other Pathogens in Pinna nobilis Collected in Italy and Spain (Mediterranean Sea). Front. Mar. Sci. 2020, 7, 48. [Google Scholar] [CrossRef]
  15. Darriba, S. First haplosporidan parasite reported infecting a member of the Superfamily Pinnoidea (Pinna nobilis) during a mortality event in Alicante (Spain, Western Mediterranean). J. Invertebr. Pathol. 2017, 148, 14–19. [Google Scholar] [CrossRef] [PubMed]
  16. Cabanellas-Reboredo, M.; Deudero, S.; Alós, J.; Valencia, J.M.; March, D.; Hendriks, I.E.; Álvarez, E. Recruitment of Pinna nobilis (Mollusca: Bivalvia) on artificial structures. Mar. Biodivers. Rec. 2009, 2, e126. [Google Scholar] [CrossRef]
  17. García-March, J.R.; Tena, J.; Henandis, S.; Vázquez-Luis, M.; López, D.; Téllez, C.; Prado, P.; Navas, J.I.; Bernal, J.; Catanese, G.; et al. Can we save a marine species affected by a highly infective, highly lethal, waterborne disease from extinction? Biol. Conserv. 2020, 243, 108498. [Google Scholar] [CrossRef]
  18. Prado, P.; Andree, K.B.; Trigos, S.; Carrasco, N.; Caiola, N.; García-March, J.R.; Tena, J.; Fernández-Tejedor, M.; Carella, F. Breeding, planktonic and settlement factors shape recruitment patterns of one of the last remaining major population of Pinna nobilis within Spanish waters. Hydrobiologia 2020, 847, 771–786. [Google Scholar] [CrossRef]
  19. Nebot-Colomer, E.; Álvarez, E.; Belando, M.D.; Deudero, S.; Catanese, G.; Bernardeau-Esteller, J.; García-Muñoz, R.; Ramos-Segura, A.; Ruiz, J.M.; Vázquez-Luis, M. Living under threat: Will one of the last Pinna nobilis populations be able to survive? Aquat. Conserv. Mar. Freshw. Ecosyst. 2021, 32, 1–13. [Google Scholar] [CrossRef]
  20. Peyran, C.; Boissin, E.; Morage, T.; Nebot-Colomer, E.; Iwankow, G.; Planes, S. Investigating population dynamics from parentage analysis in the highly endangered fan mussel Pinna nobilis. Ecol. Evol. 2022, 12, e8482. [Google Scholar] [CrossRef]
  21. Kersting, D.K.; Vázquez-Luis, M.; Mourre, B.; Belkhamssa, F.Z.; Álvarez, E.; Bakran-Petricioli, T.; Barberá, C.; Barrajón, A.; Cortés, E.; Deudero, S.; et al. Recruitment Disruption and the Role of Unaffected Populations for Potential Recovery After the Pinna nobilis Mass Mortality Event. Front. Mar. Sci. 2020, 7, 594378. [Google Scholar] [CrossRef]
  22. Katsanevakis, S. Transplantation as a conservation action to protect the Mediterranean fan mussel Pinna nobilis. Mar. Ecol. Prog. Ser. 2016, 546, 113–122. [Google Scholar] [CrossRef]
  23. Project “Noble Pen Shell Preservation in the Adriatic Sea” Coordinated by the Croatian Ministry of Economy and Sustainable Development and Funded by the Environmental Protection and Energy Efficiency Fund. Available online: https://www.haop.hr/hr/projekti (accessed on 10 January 2023).
  24. Project “Noble Pen Shell Preservation in the Adriatic Sea” Coordinated by the Croatian Ministry of Economy and Sustainable Development and Funded by the Environmental Protection and Energy Efficiency Fund. Available online: https://www.haop.hr/hr/tematska-podrucja/prirodne-vrijednosti-stanje-i-ocuvanje/bioraznolikost/morske-vrste/plemenita (accessed on 10 January 2023).
  25. Aquarium Pula—The Leading Institution in Croatia Responsible for Keeping Young and Adult Pinna nobilis Individuals in Controlled (ex-situ) Conditions. Available online: http://aquarium.hr/nobel-sanctuary (accessed on 15 January 2023).
  26. World Register of Marine Species (WoRMS). Available online: www.marinespecies.org (accessed on 20 December 2022).
  27. Microsoft Excel. Available online: https://www.microsoft.com/en-us/microsoft-365/excel (accessed on 1 February 2023).
  28. Programming Language R. Available online: https://www.r-project.org/ (accessed on 1 February 2023).
  29. R’s ggplot2 Package. Available online: https://ggplot2.tidyverse.org/ (accessed on 1 February 2023).
  30. Morris, E.K.; Caruso, T.; Buscot, F.; Fischer, M.; Hancock, C.; Maier, T.S.; Meiners, T.; Muller, C.; Obermaier, E.; Prati, D.; et al. Choosing and using diversity indices: Insights for ecological applications from the German Biodiversity Exploratories. Ecol. Evol. 2014, 4, 3514–3524. [Google Scholar] [CrossRef]
  31. Washington, H.G. Diversity, biotic and similarity indices, A review with special relevance to aquatic ecosystems. Water Res. 1984, 18, 653–694. [Google Scholar] [CrossRef]
  32. Demir, M. On the presence of Arca (Scapharca) amygdalum Philippi, 1847 (Mollusca: Bivalvia) in the harbour of Izmir, Turkey. Istanb. Univ. Fen Fak. Mecm. 1977, B 42, 197–202. [Google Scholar]
  33. Albano, P.G.; Rinaldi, E.; Evangelisti, F.; Kuan, M.; Sabelli, B. On the identity and origin of Anadara demiri (Bivalvia: Arcidae). J. Mar. Biol. Assoc. United Kingd. 2009, 89, 1289–1298. [Google Scholar] [CrossRef]
  34. Nerlović, V.; Dogan, A.; Perić, L. First record of Anadara transversa (Mollusca: Bivalvia: Arcidae) in Croatian Water (Adriatic Sea). Acta Adriat. 2012, 53, 139–144. [Google Scholar]
  35. Nerlović, V.; Perić, L.; Slišković, M.; Jelić Mrčelić, G. The invasive Anadara transversa (Say, 1822) (Mollusca: Bivalvia) in the biofouling community of northern Adriatic mariculture areas. Manag. Biol. Invasions 2018, 9, 239–251. [Google Scholar] [CrossRef]
  36. Marčeta, T.; Marin, M.G.; Codognotto, V.F.; Bressan, M. Settlement of Bivalve Spat on Artificial Collectors (Net Bags) in Two Commercial Mussel Parks in the North-Western Adriatic Sea. J. Mar. Sci. Eng. 2022, 10, 210. [Google Scholar] [CrossRef]
  37. Crocetta, F.; Renda, W.; Colamonaco, C. New distributional and ecological data of some marine alien molluscs along the southern Italian coasts. Mar. Biodivers. Rec. 2009, 2, e23. [Google Scholar] [CrossRef]
  38. Zenetos, A. Scapharca demiri (Piani, 1981): First finding in the North Aegean Sea. La Conchiglia 1994, 271, 37–38. [Google Scholar]
  39. Fernández-Rodríguez, I.; Bañón, R.; Anadon, N.; Arias, A. First record of Anadara transversa (Say, 1822) (Bivalvia: Arcidae) in the Bay of Biscay. Cah. De Biol. Mar. 2016, 57, 277–280. [Google Scholar]
  40. Župan, I.; Šarić, T. (University of Zadar, Department of Ecology, Agronomy and Aquaculture, Zadar, Croatia). Personal communication. 2020. [Google Scholar]
  41. Kersting, D.K.; García-March, J.R. Long-term assessment of recruitment, early stages and population dynamics of the endangered Mediterranean fan mussel Pinna nobilis in the Columbretes Islands (NW Mediterranean). Mar. Environ. Res. 2017, 130, 282–292. [Google Scholar] [CrossRef]
  42. Garcia March, J.R.; Tena Medialdea, J. (Institute of Environment and Marine Science Research, IMEDMAR, Calpe, Spain). Personal communication. 2022. [Google Scholar]
  43. Bel Dajković, A.; Mičić, M. (Aquarium Pula, Pula, Croatia). Internal report of Aquarium Pula. 2021. [Google Scholar]
  44. Thiyagarajan, V.; Qian, P.-Y. Effect of temperature, salinity and delayed attachment on development of the solitary ascidian Styela plicata (Lesueur). J. Exp. Mar. Biol. Ecol. 2003, 290, 133–146. [Google Scholar] [CrossRef]
  45. Pineda, M.-C.; Lopez-Legentil, S.; Turon, X. The Whereabouts of an Ancient Wanderer: Global Phylogeography of the Solitary Ascidian Styela plicata. PLoS ONE 2011, 6, e25495. [Google Scholar] [CrossRef] [PubMed]
  46. Pineda, M.-C.; Lopez-Legentil, S.; Turon, X. Year-round reproduction in a seasonal sea: Biological cycle of the introduced ascidian Styela plicata in the Western Mediterranean. Mar. Biol. 2013, 160, 221–230. [Google Scholar] [CrossRef]
  47. Longo, C.; Mastrototaro, F.; Corriero, G. Occurrence of Paraleucilla magna (Porifera: Calcarea) in the Mediterranean Sea. J. Mar. Biol. Assoc. UK 2007, 87, 1749–1755. [Google Scholar] [CrossRef]
  48. Cvitković, I.; Despalatović, M.; Grubelić, I.; Nikolić, V.; Pleše, B.; Žuljević, A. Occurrence of Paraleucilla magna (Porifera: Calcarea) in the eastern Adriatic Sea. Acta Adriat. 2013, 54, 93–99. [Google Scholar]
  49. Klautau, M.; Imešek, M.; Azevedo, F.; Pleše, B.; Nikolić, V.; Ćetković, H. Adriatic calcarean sponges (Porifera, Calcarea), with the description of six new species and a richness analysis. Eur. J. Taxon. 2016, 178, 1–52. [Google Scholar] [CrossRef]
  50. Bakran-Petricioli, T.; Smital, T.; Petricioli, D. Report: Biological Analysis of Fouling on Izabela Gas Platform—Quantitative and Qualitative Analysis and Expert Opinion; Faculty of Science Zagreb University and Ruđer Bošković Institut Zagreb for ED-INA Ltd.: Zagreb, Croatia, 2017; 85p. [Google Scholar]
  51. Fofonoff, P.W.; Ruiz, G.M.; Steves, B.; Simkanin, C.; Carlton, J.T. National Exotic Marine and Estuarine Species Information System. 2018. Available online: http://invasions.si.edu/nemesis (accessed on 10 February 2023).
  52. Hodson, S.L.; Lewis, T.E.; Burke, C.M. Biofouling of fish-cage netting: Efficacy and problems of in situ cleaning. Aquaculture 1997, 152, 77–90. [Google Scholar] [CrossRef]
  53. Zenetos, A.; Koutsoubas, D.; Vardala-Theodorou, E. Origin and vectors of introduction of exotic molluscs in Greek waters. Belg. J. Zool. 2005, 135, 279–286. [Google Scholar]
  54. Galil, B.S. Loss or gain? Invasive aliens and biodiversity in the Mediterranean Sea. Mar. Pollut. Bull. 2007, 22, 314–322. [Google Scholar] [CrossRef]
  55. Kersting, D.K.; Hendriks, I. On the lookout for the endangered, only to find the invasive. Front. Ecol. Environ. 2021, 19, 442. [Google Scholar] [CrossRef]
Figure 1. Locations of study sites. (a)—a general position in the Adriatic Sea, (b)—locations in Javorike and Pisak Coves within Brijuni National Park, (c)—location in Luka Cove, Central Adriatic (two nearby aquaculture sites are marked with an asterisk).
Figure 1. Locations of study sites. (a)—a general position in the Adriatic Sea, (b)—locations in Javorike and Pisak Coves within Brijuni National Park, (c)—location in Luka Cove, Central Adriatic (two nearby aquaculture sites are marked with an asterisk).
Jmse 11 00618 g001
Figure 2. The collectors were assembled on land with exact distances from bag to bag (in this case, 2 m along the line from one bag to the other) ((a), photo Tatjana Bakran-Petricioli) and then adjusted in the sea to obtain the final desired depth ((b), photo Silvija Kipson).
Figure 2. The collectors were assembled on land with exact distances from bag to bag (in this case, 2 m along the line from one bag to the other) ((a), photo Tatjana Bakran-Petricioli) and then adjusted in the sea to obtain the final desired depth ((b), photo Silvija Kipson).
Jmse 11 00618 g002
Figure 3. Juvenile Pinna nobilis on the mesh of a collector bag. It was cut out with the piece of mesh it was attached to in order not to damage its byssus gland.
Figure 3. Juvenile Pinna nobilis on the mesh of a collector bag. It was cut out with the piece of mesh it was attached to in order not to damage its byssus gland.
Jmse 11 00618 g003
Figure 4. The proportion of different groups of organisms (in percentages) in the total number of organisms on larval collectors in Javorike and Pisak Coves in 2019 and 2020.
Figure 4. The proportion of different groups of organisms (in percentages) in the total number of organisms on larval collectors in Javorike and Pisak Coves in 2019 and 2020.
Jmse 11 00618 g004
Figure 5. Length of juvenile individuals of noble pen shell from collectors (a) in Javorike Cove in 2019 (n = 70), (b) in Javorike Cove in 2020 (n = 29), and (c) in Pisak Cove in 2020 (n = 7). n is the number of bivalves suitable for measurement; damaged shells were excluded.
Figure 5. Length of juvenile individuals of noble pen shell from collectors (a) in Javorike Cove in 2019 (n = 70), (b) in Javorike Cove in 2020 (n = 29), and (c) in Pisak Cove in 2020 (n = 7). n is the number of bivalves suitable for measurement; damaged shells were excluded.
Jmse 11 00618 g005
Figure 6. Number of juvenile Pinna nobilis on larval collectors according to depth (a) in Javorike Cove in 2019 (n = 72), (b) in Javorike Cove in 2020 (n = 40) and (c) in Pisak Cove in 2020 (n = 11); all Pinnas found on collectors were taken into account.
Figure 6. Number of juvenile Pinna nobilis on larval collectors according to depth (a) in Javorike Cove in 2019 (n = 72), (b) in Javorike Cove in 2020 (n = 40) and (c) in Pisak Cove in 2020 (n = 11); all Pinnas found on collectors were taken into account.
Jmse 11 00618 g006
Figure 7. A collector bag from Javorike Cove that was placed at a shallow depth almost completely covered by invasive bivalve Anadara transversa (photo Tatjana Bakran-Petricioli).
Figure 7. A collector bag from Javorike Cove that was placed at a shallow depth almost completely covered by invasive bivalve Anadara transversa (photo Tatjana Bakran-Petricioli).
Jmse 11 00618 g007
Figure 8. Number of Pinna nobilis individuals in relation to number of Anadara transversa on larval collectors in 2019 and 2020 in Javorike Cove. Note that there were no larval collectors installed at 2 and 4 m depth in 2019.
Figure 8. Number of Pinna nobilis individuals in relation to number of Anadara transversa on larval collectors in 2019 and 2020 in Javorike Cove. Note that there were no larval collectors installed at 2 and 4 m depth in 2019.
Jmse 11 00618 g008
Figure 9. Seawater temperature in Javorike Cove at a depth of 12 m in Cymodocea seagrass meadow, recorded by permanent temperature recorder over a period of two years, from May 2018 to June 2020 (1 h recording interval).
Figure 9. Seawater temperature in Javorike Cove at a depth of 12 m in Cymodocea seagrass meadow, recorded by permanent temperature recorder over a period of two years, from May 2018 to June 2020 (1 h recording interval).
Jmse 11 00618 g009
Figure 10. Collector bag from 2 m depth in Luka Cove completely covered with invasive ascidian Styela plicata (Lesueur, 1823).
Figure 10. Collector bag from 2 m depth in Luka Cove completely covered with invasive ascidian Styela plicata (Lesueur, 1823).
Jmse 11 00618 g010
Figure 11. A larval collector bag from Luka Cove full and almost completely covered with invasive ascidian Styela plicata. The central part houses a solitary ascidian, Phallusia mammillata, on which the invasive bryozoan Bugula neritina can be seen.
Figure 11. A larval collector bag from Luka Cove full and almost completely covered with invasive ascidian Styela plicata. The central part houses a solitary ascidian, Phallusia mammillata, on which the invasive bryozoan Bugula neritina can be seen.
Jmse 11 00618 g011
Figure 12. Another collector bag from Luka Cove on which, aside from ascidians, two big and some small individuals of the invasive sponge Paraleucilla magna can be seen.
Figure 12. Another collector bag from Luka Cove on which, aside from ascidians, two big and some small individuals of the invasive sponge Paraleucilla magna can be seen.
Jmse 11 00618 g012
Table 1. The most abundant bivalve species on larval collectors in Javorike Cove in 2019.
Table 1. The most abundant bivalve species on larval collectors in Javorike Cove in 2019.
Species6 m8 m10 mTotal
Limaria hians (Gmelin, 1791)33323395661
Parvicardium exiguum (Gmelin, 1791)126158195479
Flexopecten glaber (Linnaeus, 1758)144141125410
Anadara transversa (Say, 1882)45196163404
Limaria tuberculata (Olivi, 1792)12060120300
Ostrea edulis Linnaeus, 17586813169268
Table 2. The most abundant bivalve species on larval collectors in Javorike Cove in 2020.
Table 2. The most abundant bivalve species on larval collectors in Javorike Cove in 2020.
Species2 m4 m6 m8 m10 mTotal
Anadara transversa (Say, 1882)5832567733814108988
Limaria tuberculata (Olivi, 1792)10713023924580801
Musculus costulatus (Risso, 1826)18298757447476
Parvicardium exiguum (Gmelin, 1791)7980662738290
Limaria hians (Gmelin, 1791)4885753830276
Table 3. The most abundant bivalve species on larval collectors in Pisak Cove in 2020.
Table 3. The most abundant bivalve species on larval collectors in Pisak Cove in 2020.
Species2 m4 mTotal
Anadara transversa (Say, 1882)35245694093
Limaria hians (Gmelin, 1791)3284116
Limaria tuberculata (Olivi, 1792)215172
Parvicardium exiguum (Gmelin, 1791)284371
Musculus costulatus (Risso, 1826)19322
Table 4. Diversity and uniformity of the fouling community on larval collectors in Javorike Cove in 2019.
Table 4. Diversity and uniformity of the fouling community on larval collectors in Javorike Cove in 2019.
IndexTotal 6 m8 m10 m
Shannon diversity index (H)2.472.312.402.49
Simpson diversity index (D)0.890.860.890.90
Simpson evenness index (E)0.260.270.350.36
Table 5. Diversity and uniformity of the fouling community on larval collectors in Javorike Cove in 2020.
Table 5. Diversity and uniformity of the fouling community on larval collectors in Javorike Cove in 2020.
IndexTotal 2 m4 m6 m8 m10 m
Shannon diversity index (H)1.290.691.132.142.092.14
Simpson diversity index (D)0.490.240.420.830.840.86
Simpson evenness index (E)0.060.060.070.250.340.44
Table 6. Diversity and uniformity of the fouling community on larval collectors in Pisak Cove in 2020.
Table 6. Diversity and uniformity of the fouling community on larval collectors in Pisak Cove in 2020.
IndexTotal 2 m 4 m
Shannon diversity index (H)0.980.671.74
Simpson diversity index (D)0.350.220.69
Simpson evenness index (E)0.050.040.13
Table 7. Diversity and uniformity of the fouling community on larval collectors (a) when all species were taken into account and (b) when Anadara transversa was excluded.
Table 7. Diversity and uniformity of the fouling community on larval collectors (a) when all species were taken into account and (b) when Anadara transversa was excluded.
(a) Indices When All Species Were Taken into Account:
Location and YearShannon DiversitySimpson DiversitySimpson Evenness
Javorike 20192.470.890.26
Javorike 20201.290.490.06
Pisak 20200.980.350.05
(b) Indices When Anadara transversa Was Not Taken into Account:
Location and YearShannon DiversitySimpson DiversitySimpson Evenness
Javorike 20192.390.880.24
Javorike 20202.380.870.23
Pisak 20202.480.850.22
Disclaimer/Publisher’s Note: The statements, opinions and data contained in all publications are solely those of the individual author(s) and contributor(s) and not of MDPI and/or the editor(s). MDPI and/or the editor(s) disclaim responsibility for any injury to people or property resulting from any ideas, methods, instructions or products referred to in the content.

Share and Cite

MDPI and ACS Style

Bakran-Petricioli, T.; Kujundžić, D.; Naranđa, M.; Petricioli, D.; Petricioli, L.; Kipson, S. Fouling Community on Pinna nobilis Larval Collectors in the Adriatic—Impact of Invasive Species. J. Mar. Sci. Eng. 2023, 11, 618. https://doi.org/10.3390/jmse11030618

AMA Style

Bakran-Petricioli T, Kujundžić D, Naranđa M, Petricioli D, Petricioli L, Kipson S. Fouling Community on Pinna nobilis Larval Collectors in the Adriatic—Impact of Invasive Species. Journal of Marine Science and Engineering. 2023; 11(3):618. https://doi.org/10.3390/jmse11030618

Chicago/Turabian Style

Bakran-Petricioli, Tatjana, Dajana Kujundžić, Martina Naranđa, Donat Petricioli, Lucija Petricioli, and Silvija Kipson. 2023. "Fouling Community on Pinna nobilis Larval Collectors in the Adriatic—Impact of Invasive Species" Journal of Marine Science and Engineering 11, no. 3: 618. https://doi.org/10.3390/jmse11030618

APA Style

Bakran-Petricioli, T., Kujundžić, D., Naranđa, M., Petricioli, D., Petricioli, L., & Kipson, S. (2023). Fouling Community on Pinna nobilis Larval Collectors in the Adriatic—Impact of Invasive Species. Journal of Marine Science and Engineering, 11(3), 618. https://doi.org/10.3390/jmse11030618

Note that from the first issue of 2016, this journal uses article numbers instead of page numbers. See further details here.

Article Metrics

Back to TopTop