Nanopore Structure and Multifractal Characteristics of Continental Shale Oil Reservoir: A Case Study from Ziliujing Shales in the Sichuan Basin
Abstract
:1. Introduction
2. Experiments and Methods
2.1. Sample Preparation
2.2. TOC Measurement, XRD Analysis, and QEMSCAN
2.3. Low-Temperature Nitrogen Adsorption Measurements
2.4. Multifractal Analysis
3. Results and Discussion
3.1. TOC Content and Mineral Compositions of Shale Samples
3.2. Meso- and Macropore Characteristics of the Shale Samples
3.3. Effect of Mineral Compositions on Meso- and Macropore Structures
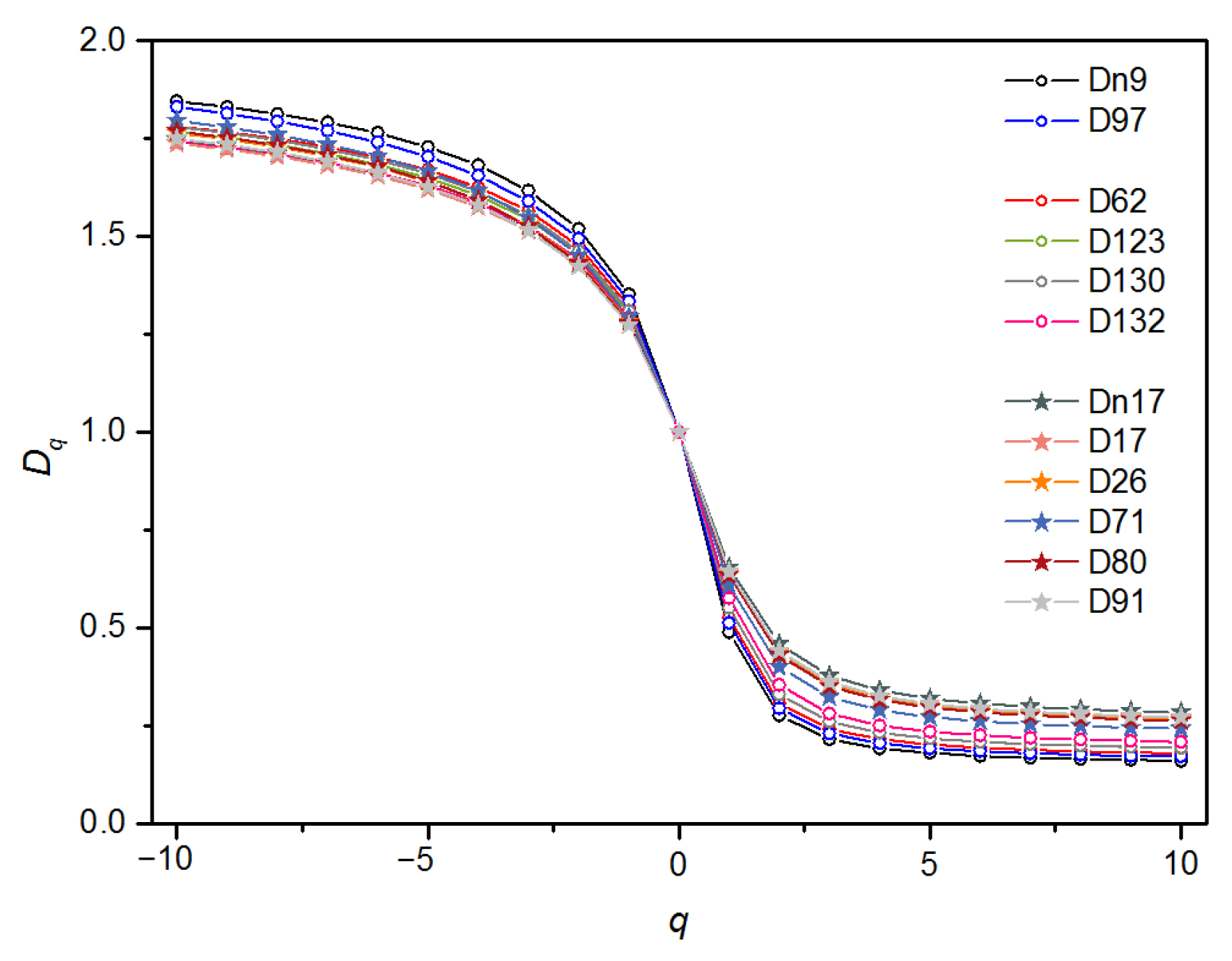
3.4. Multifractal Characteristics of Meso- and Macropore Structures
3.5. Relationships of Pore Parameters, Mineral Compositions, TOC, and Multifractal Parameters from N2 Adsorption
3.6. Comparision of Multifractal Parameters of N2 Adsorption among Different Shale Oil Reservoirs
4. Conclusions
Author Contributions
Funding
Institutional Review Board Statement
Informed Consent Statement
Data Availability Statement
Acknowledgments
Conflicts of Interest
References
- Xu, Y.; Lun, Z.M.; Pan, Z.J.; Wang, H.T.; Zhou, X.; Zhao, C.P.; Zhang, D.F. Occurrence space and state of shale oil: A review. J. Pet. Sci. Eng. 2022, 211, 110183. [Google Scholar] [CrossRef]
- Yu, Y.J.; Wang, H.Y.; Liu, D.X.; Zhao, Q.; Li, X.B.; Wu, J.; Xia, Z.Y. Development Status and Feasibility Evaluation Index System of Continental Shale Oil Demonstration Area in China. Earth Sci. 2023, 48, 191–205, (In Chinese with English abstract). [Google Scholar]
- Zou, C.N.; Ma, F.; Pan, S.Q.; Zhang, X.S.; Wu, S.T.; Fu, G.Y.; Wang, H.J.; Yang, Z. Formation and distribution potential of global shale oil and the development of continental shale oil theory and technology in China. Earth Sci. Front. 2023, 30, 128–142, (In Chinese with English abstract). [Google Scholar]
- Du, J.H.; Hu, S.Y.; Pang, Z.L.; Lin, S.H.; Hou, L.H.; Zhu, R.K. The types, potentials and prospects of continental shale oil in China. China Pet. Explor. 2019, 24, 560–568, (In Chinese with English abstract). [Google Scholar]
- Jin, Z.Y.; Wang, G.P.; Liu, G.X.; Gao, B.; Liu, Q.Y.; Wang, H.L.; Liang, X.P.; Wang, R.Y. Research progress and key scientific issues of continental shale oil in China. Acta Pet. Sin. 2021, 42, 821–835, (In Chinese with English abstract). [Google Scholar]
- Sun, L.D.; He, W.Y.; Feng, Z.H.; Zeng, H.S.; Jiang, H.; Pan, Z.J. Shale oil and gas generation process and pore fracture system evolution mechanisms of the continental Gulong Shale, Songliao Basin, China. Energy Fuels 2022, 36, 6893–6905. [Google Scholar] [CrossRef]
- Guo, Q.L.; Pan, S.Q.; Yang, F.; Yao, Y.; Zheng, H. Characterizing shale oil occurrence in the Yanchang formation of the Ordos Basin, Assisted by Petrophysical and Geochemical Approaches. Energy Fuels 2022, 36, 370–381. [Google Scholar] [CrossRef]
- Lv, J.H.; Jiang, F.J.; Hu, T.; Zhang, C.X.; Huang, R.D.; Hu, M.L.; Xue, J.; Huang, L.L.; Wu, Y.P. Control of complex lithofacies on the shale oil potential in ancient alkaline lacustrine basins: The Fengcheng Formation, Mahu Sag, Junggar basin. Geoenergy Sci. Eng. 2023, 224, 211501. [Google Scholar] [CrossRef]
- Zhi, D.M.; Xiang, B.L.; Zhou, N.; Li, E.T.; Zhang, C.J.; Wang, Y.C.; Cao, J. Contrasting shale oil accumulation in the upper and lower sweet spots of the lacustrine Permian Lucaogou Formation, Junggar Basin, China. Mar. Pet. Geol. 2023, 150, 106178. [Google Scholar] [CrossRef]
- Meng, M.M.; Peng, J.C.; Ge, H.K.; Ji, W.M.; Li, X.M.; Wang, Q.Y. Rock fabric of lacustrine shale and its influence on residual oil distribution in the Upper Cretaceous Qingshankou Formation, Songliao Basin. Energy Fuels 2023, 37, 7151–7160. [Google Scholar] [CrossRef]
- Yang, Y.M.; Yang, J.J.; Yang, G.; Tao, S.Z.; Ni, C.; Zhang, B.; He, X.D.; Lin, J.P.; Huang, D.; Liu, M.; et al. New research progress of Jurassic tight oil in central Sichuan Basin. Pet. Explor. Dev. 2016, 43, 873–882, (In Chinese with English abstract). [Google Scholar] [CrossRef]
- Cheng, S.J.; Zhang, H.X.; Lu, J.G.; Yang, Y.M.; Liu, C.W.; Li, W.; Zou, X.L.; Yang, J.J.; Tang, H.P.; Yao, Y.T.; et al. Controlling factors of Jurassic Da’anzhai Member tight oil accumulation and high production in central Sichuan Basin, SW China. Pet. Explor. Dev. 2015, 42, 186–193, (In Chinese with English abstract). [Google Scholar]
- Wenyuan, H.; Xuefeng, B.A.; Qi’an, M.; Junhui, L.; Dazhi, Z.; Youzhi, W. Accumulation geological characteristics and major discoveries of lacustrine shale oil in Sichuan Basin. Acta Pet. Sin. 2022, 43, 885–898, (In Chinese with English abstract). [Google Scholar]
- Li, Z.; Lei, Z.; Shen, W.; Martyushev, D.A.; Hu, X. A comprehensive review of the oil flow mechanism and numerical simulations in shale oil reservoirs. Energies 2023, 16, 3516. [Google Scholar] [CrossRef]
- Liu, B.; Wang, Y.; Tian, S.S.; Guo, Y.L.; Wang, L.; Yasin, Q.; Yang, J.G. Impact of thermal maturity on the diagenesis and porosity of lacustrine oil-prone shales: Insights from natural shale samples with thermal maturation in the oil generation window. Int. J. Coal Geol. 2022, 261, 104079. [Google Scholar] [CrossRef]
- Chalmers, G.R.; Bustin, R.M.; Power, I.M. Characterization of gas shale pore systems by porosimetry, pycnometry, surface area, and field emission scanning electron microscopy transmission electron microscopy image. AAPG Bull. 2012, 96, 1099–1119. [Google Scholar] [CrossRef]
- Martyushev, D.A.; Ponomareva, I.N.; Osovetsky, B.M.; Kazymov, K.P.; Tomilina, E.M.; Lebedeva, A.S.; Chukhlov, A.S. Study of the structure and development of oil deposits in carbonate reservoirs using field data and X-ray microtomography. Georesursy 2022, 24, 114–124. [Google Scholar]
- Sun, M.D.; Zhao, J.L.; Pan, J.Z.; Hu, Q.H.; Yu, B.S.; Tan, Y.L.; Sun, L.W.; Bai, L.F.; Wu, C.M.; Blach, T.P.; et al. Pore characterization of shales: A review of small angle scattering technique. J. Nat. Gas Sci. Eng. 2020, 78, 103294. [Google Scholar] [CrossRef]
- Meng, M.; Ge, H.; Shen, Y.; Ji, W.; Li, Z. Insight into water occurrence and pore size distribution by nuclear magnetic resonance in marine shale reservoirs, southern China. Energy Fuels 2023, 37, 319–327. [Google Scholar] [CrossRef]
- Martyushev, D.A.; Ponomareva, I.N.; Chukhlov, A.S.; Davoodi, S.; Osovetsky, B.M.; Kazymov, K.P.; Yang, Y. Study of void space structure and its influence on carbonate reservoir properties: X-ray microtomography, electron microscopy, and well testing. Mar. Pet. Geol. 2023, 151, 106192. [Google Scholar] [CrossRef]
- Liu, Q.; Sun, M.D.; Sun, X.D.; Liu, B.; Ostadhassan, M.; Huang, W.X.; Chen, X.X.; Pan, Z.J. Pore network characterization of shale reservoirs through state-of-the-art X-ray computed tomography: A review. Gas Sci. Eng. 2023, 113, 204967. [Google Scholar] [CrossRef]
- Jiang, F.J.; Chen, D.; Wang, Z.F.; Xu, Z.Y.; Chen, J.; Liu, L.; Huyan, Y.Y.; Liu, Y. Pore characteristic analysis of a lacustrine shale: A case study in the Ordos Basin, NW China. Mar. Pet. Geol. 2016, 73, 554–571. [Google Scholar] [CrossRef]
- Zhao, J.H.; Jin, Z.J.; Hu, Q.H.; Jin, Z.K.; Barber, T.J.; Zhang, Y.X.; Bleuel, M. Integrating SANS and fluid-invasion methods to characterize pore structure of typical American shale oil reservoirs. Sci. Rep. 2017, 7, 15413. [Google Scholar] [CrossRef]
- Zhang, P.F.; Lu, S.F.; Li, J.Q. Characterization of pore size distributions of shale oil reservoirs: A case study from Dongying sag, Bohai Bay basin, China. Mar. Pet. Geol. 2019, 100, 297–308. [Google Scholar] [CrossRef]
- Hou, L.H.; Wu, S.T.; Jing, Z.H.; Jiang, X.H.; Yu, Z.C.; Hua, G.L.; Su, L.; Yu, C.; Liao, F.R.; Tian, H. Effects of types and content of clay minerals on reservoir effectiveness for lacustrine organic matter rich shale. Fuel 2022, 327, 125043. [Google Scholar] [CrossRef]
- Zheng, H.; Yang, F.; Guo, Q.L.; Pan, S.Q.; Jiang, S.; Wang, H. Multi-scale pore structure, pore network and pore connectivity of tight shale oil reservoir from Triassic Yanchang Formation, Ordos Basin. J. Pet. Sci. Eng. 2022, 212, 110283. [Google Scholar] [CrossRef]
- Clarkson, C.R.; Solano, N.; Bustin, R.M.; Bustin, A.M.M.; Chalmers, G.R.L.; He, L.; Melnichenko, Y.B.; Radliński, A.P.; Blach, T.P. Pore structure characterization of North American shale gas reservoirs using USANS/SANS, gas adsorption, and mercury intrusion. Fuel 2013, 103, 606–616. [Google Scholar] [CrossRef]
- Mastalerz, M.; Hampton, L.; Drobniak, A.; Loope, H. Significance of analytical particle size in low-pressure N2 and CO2 adsorption of coal and shale. Int. J. Coal Geol. 2017, 178, 122–131. [Google Scholar] [CrossRef]
- Yang, F.; Ning, Z.F.; Liu, H.Q. Fractal characteristics of shales from a shale gas reservoir in the Sichuan Basin, China. Fuel 2014, 115, 378–384. [Google Scholar] [CrossRef]
- Liang, L.X.; Xiong, J.; Liu, X.J. An investigation of the fractal characteristics of the Upper Ordovician Wufeng Formation shale using nitrogen adsorption analysis. Mar. Pet. Geol. 2015, 27, 402–409. [Google Scholar] [CrossRef]
- Sun, L.N.; Tuo, J.C.; Zhang, M.F.; Wu, C.J.; Chai, S.Q. Pore structures and fractal characteristics of nano-pores in shale of Lucaogou formation from Junggar Basin during water pressure-controlled artificial pyrolysis. J. Anal. Appl. Pyrolysis 2019, 140, 404–412. [Google Scholar] [CrossRef]
- Martyushev, D.A.; Chalova, P.O.; Davoodi, S.; Ashraf, U. Evaluation of facies heterogeneity in reef carbonate reservoirs: A case study from the oil field, Perm Krai, Central-Eastern Russia. Geoenergy Sci. Eng. 2023, 227, 211814. [Google Scholar] [CrossRef]
- Friesen, W.I.; Mikula, R.J. Mercury porosimetry of coals: Pore volume distribution and compressibility. Fuel 1988, 67, 1516–1520. [Google Scholar] [CrossRef]
- Wang, M.; Xue, H.T.; Tian, S.S.; Wilkins, R.W.T.; Wang, Z.W. Fractal characteristics of upper Cretaceous lacustrine shale from the Songliao Basin, NE China. Mar. Pet. Geol. 2015, 67, 144–153. [Google Scholar] [CrossRef]
- Yang, R.; He, S.; Yi, J.Z.; Hu, Q.H. Nano-scale pore structure and fractal dimension of organic-rich Wufeng-Longmaxi shale from Jiaoshiba area, Sichuan Basin Investigations using FE-SEM, gas adsorption and helium pycnometry. Mar. Pet. Geol. 2016, 70, 27–45. [Google Scholar] [CrossRef]
- Guan, M.; Liu, X.P.; Jin, Z.J.; Lai, J.; Sun, B.; Zhang, P.P.; Chen, K.F. The evolution of pore structure heterogeneity during thermal maturation in lacustrine shale pyrolysis. J. Anal. Appl. Pyrolysis 2022, 163, 105501. [Google Scholar] [CrossRef]
- Lopes, P.; Betrouni, F. Fractal and multifractal analysis: A review. Med. Image Anal. 2009, 13, 634–649. [Google Scholar] [CrossRef]
- Liu, K.Q.; Ostadhassan, M. Quantification of the microstructures of Bakken shale reservoirs using multi-fractal and lacunarity analysis. J. Nat. Gas Sci. Eng. 2017, 39, 62–71. [Google Scholar] [CrossRef]
- Zhang, P.F.; Yin, Y.J.; Lu, S.F.; Li, J.Q.; Chang, X.C.; Zhang, J.J.; Pang, Y.M.; Chen, G.; Liu, Y.Q.; Li, Z. Insights into pore structures and multifractal characteristics of shale oil reservoirs: A case study from Dongying Sag, Bohai Bay Basin, China. Energy Fuels 2022, 36, 8224–8237. [Google Scholar] [CrossRef]
- Lu, C.G.; Xiao, X.M.; Xue, Z.Q.; Chen, Z.X.; Li, G.; Feng, Y. Fractal and multifractal characteristics of nanopores and their controlling factors in marine-continental transitional shales and their kerogens from Qinshui Basin, Northern China. Nat. Resour. Res. 2023, 32, 2313–2336. [Google Scholar] [CrossRef]
- Liu, K.; Ostadhassan, M.; Zou, J.; Gentzis, T.; Rezaee, R.; Bubach, B.; Carvajal-Ortiz, H. Multifractal analysis of gas adsorption isotherms for pore structure characterization of the Bakken Shale. Fuel 2018, 219, 296–311. [Google Scholar] [CrossRef]
- Liu, K.Q.; Ostadhassan, M.; Gentzis, T.; Fowler, H. Image analysis of the pore structures: An intensive study for Middle Bakken. J. Nat. Gas Sci. Eng. 2019, 61, 32–45. [Google Scholar] [CrossRef]
- Zhang, P.F.; Lu, S.F.; Li, J.Q.; Chang, X.C.; Li, J.J.; Li, W.B.; Chen, G.; Wang, S.Y.; Feng, W.J. Broad ion beam-scanning electron microscopy pore microstructure and multifractal characterization of shale oil reservoir: A case sample from Dongying sag, Bohai Bay basin, China. Energy Explor. Exploit. 2020, 38, 613–628. [Google Scholar] [CrossRef]
- Guan, M.; Liu, X.P.; Jin, Z.J.; Lai, J. The heterogeneity of pore structure in lacustrine shales: Insights from multifractal analysis using N2 adsorption and mercury intrusion. Mar. Pet. Geol. 2020, 114, 104150. [Google Scholar] [CrossRef]
- Bai, X.F.; Huang, S.P.; Wang, X.D.; Wang, Z.G.; Wang, Y.Z.; Ma, W.Q.; Zhu, Y.P.; Sun, M.D.; Liu, B.; Cheng, L.J.; et al. Microscopic Analysis of Natural Fracture Properties in Organic-Rich Continental Shale Oil Reservoirs: A Case Study from the Lower Jurassic in the Sichuan Basin, China. J. Mar. Sci. Eng. 2023, 11, 1036. [Google Scholar] [CrossRef]
- GB/T 19145–2003; Determination of total organic carbon in sedimentary. General Administration of Quality Supervision, Inspection and Quarantine of the People’s Republic of China: Beijing, China, 2003.
- SY/T 5163–2018; Analysis Method for Clay Minerals and Ordinary Non-Clay Minerals in Sedimentary Rocks by the X-ray Diffraction. National Energy Administration: Beijing, China, 2018.
- SY/T 6189–2018; Quantitative Analysis Method for Rock Minerals by X-ray Energy Spectrum. National Energy Administration: Beijing, China, 2018.
- Anovitz, L.M.; Cole, D.R. Characterization and Analysis of Porosity and Pore Structure. Rev. Miner. Geochem. 2015, 80, 61–164. [Google Scholar] [CrossRef]
- Vidal Vázquez, E.; Paz Ferreiro, J.; Miranda, J.G.V.; Paz González, A. Multifractal analysis of pore size distributions as affected by simulated rainfall. Vadose Zone J. 2008, 7, 500–511. [Google Scholar] [CrossRef]
- Li, W.; Liu, H.F.; Song, X.X. Multifractal analysis of Hg pore size distributions of tectonically deformed coals. Int. J. Coal Geol. 2015, 144–145, 138–152. [Google Scholar] [CrossRef]
- Caniego, F.J.; Martín, M.A.; San José, F. Singularity features of pore-size soil distribution: Singularity strength analysis and entropy spectrum. Fractals 2001, 9, 305–316. [Google Scholar] [CrossRef]
- Paz Ferreiro, J.; Vidal Vázquez, E. Multifractal analysis of Hg pore size distributions in soils with contrasting structural stability. Geoderma 2010, 160, 64–73. [Google Scholar] [CrossRef]
- Riedi, R.H.; Crouse, M.S.; Ribeiro, V.J.; Baraniuk, R.G. A multifractal wavelet model with application to network traffic. IEEE Trans. Inf. Theory 1999, 45, 992–1019. [Google Scholar] [CrossRef]
- San José, M.F.; Martín, M.A.; Caniego, F.J.; Tuller, M.; Guber, A.; Pachepsky, Y.; García-Gutiérrez, C. Multifractal analysis of discretized X-ray CT images for the characterization of soil macropore structures. Geoderma 2010, 156, 32–42. [Google Scholar] [CrossRef]
- Wang, G.C.; Carr, T.R. Methodology of organic-rich shale lithofacies identification and prediction: A case study from Marcellus Shale in the Appalachian basin. Comput. Geosci. 2012, 49, 151–163. [Google Scholar] [CrossRef]
- Wang, G.C.; Carr, T.R. Organic-rich Marcellus shale lithofacies modeling and distribution pattern analysis in the Appalachian basin. AAPG Bull. 2013, 97, 2173–2205. [Google Scholar] [CrossRef]
- Guo, X.W.; Qin, Z.J.; Yang, R.; Dong, T.; He, S.; Hao, F.; Yi, J.Z.; Shu, Z.G.; Bao, H.Y.; Liu, K.Y. Comparison of pore systems of clay-rich and silica-rich gas shales in the lower Silurian Longmaxi formation from the Jiaoshiba area in the eastern Sichuan Basin, China. Mar. Pet. Geol. 2019, 101, 265–280. [Google Scholar] [CrossRef]
- Feng, Z.Q.; Zhou, S.W.; Wu, W.; Tian, J.Q.; Xie, C.; Cai, Y.W. Pore characteristics and methane adsorption capacity of different lithofacies of the Wufeng formation-Longmaxi formation shales, Southern Sichuan Basin. Energy Fuels 2020, 34, 8046–8062. [Google Scholar] [CrossRef]
- Xia, P.; Li, H.N.; Fu, Y.; Qiao, W.L.; Guo, C.; Yang, Z.; Huang, J.Q.; Mou, Y.L. Effect of lithofacies on pore structure of the Cambrian organic-rich shale in northern Guizhou, China. Geol. J. 2021, 56, 1130–1142. [Google Scholar] [CrossRef]
- Kruk, M.; Jaroniec, M. Gas Adsorption Characterization of Ordered Organic-Inorganic Nanocomposite Materials. Chem. Mater. 2001, 13, 3169–3183. [Google Scholar] [CrossRef]
- Sing, K.S.W.; Everett, D.H.; Haul, R.A.W.; Moscou, L.; Pierotti, R.A.; Rouquerol, J.; Siemieniewska, T. Reporting physisorption data for gas/solid systems with special reference to the determination of surface area and porosity. Pure Appl. Chem. 1985, 57, 603–619. [Google Scholar] [CrossRef]
- Loucks, R.G.; Reed, R.M.; Ruppel, S.C.; Hammes, U. Spectrum of pore types and networks in mudrocks and a descriptive classification for matrix-related mudrock pores. AAPG Bull. 2012, 96, 1071–1098. [Google Scholar] [CrossRef]
- Bu, H.L.; Ju, Y.W.; Tan, J.Q.; Wang, G.C.; Li, X.S. Fractal characteristics of pores in non-marine shales from the Huainan coalfield, eastern China. J. Nat. Gas Sci. Eng. 2015, 24, 166–177. [Google Scholar] [CrossRef]
- Rexer, T.F.; Mathia, E.J.; Aplin, A.C.; Mark Thomas, K. High-pressure methane adsorption and characterization of pores in Posidonia shales and isolated kerogens. Energy Fuels 2014, 28, 2886–2901. [Google Scholar] [CrossRef]
- Ambrose, R.J. Shale gas-in-place calculations Part I: New pore-scale considerations. SPE J. 2012, 17, 219–229. [Google Scholar] [CrossRef]
- Liu, X.J.; Xiong, J.; Liang, L.X. Investigation of pore structure and fractal characteristics of organic-rich Yanchang formation shale in central China by nitrogen adsorption/desorption analysis. J. Nat. Gas Sci. Eng. 2015, 22, 62–72. [Google Scholar] [CrossRef]
- Wu, J.S.; Yu, B.S.; Zhang, J.C.; Li, Y.X. Pore characteristics and controlling factors in the organic-rich shale of the Lower Silurian Longmaxi Formation revealed by samples from a well in southeastern Chongqing. Earth Sci. Front. 2013, 20, 260–269. [Google Scholar]
- Zhang, P.F.; Lu, S.F.; Li, J.Q.; Chen, C.; Xue, H.T.; Zhang, J. Petrophysical characterization of oil-bearing shales by low-field nuclear magnetic resonance (NMR). Mar. Pet. Geol. 2018, 89, 775–785. [Google Scholar] [CrossRef]
- Liu, K.Q.; Ostadhassan, M.; Sun, L.W.; Zou, J.; Yuan, Y.J.; Gentzis, T.; Zhang, Y.X.; Carvajal-Ortiz, H.; Rezaee, R. A comprehensive pore structure study of the Bakken Shale with SANS, N2 adsorption and mercury intrusion. Fuel 2019, 245, 274–285. [Google Scholar] [CrossRef]
- Yang, R.; Jia, A.Q.; Hu, Q.H.; Guo, X.W.; Sun, M.D. Particle size effect on water vapor sorption measurement of organic shale: One example from Dongyuemiao Member of Lower Jurassic Ziliujing Formation in Jiannan Area of China. Adv. Geo-Energy Res. 2020, 4, 207–218. [Google Scholar] [CrossRef]
- Zhao, J.L.; Sun, M.D.; Pan, Z.J.; Liu, B.; Ostadhassan, M.; Hu, Q.H. Effects of pore connectivity and water saturation on matrix permeability of deep gas shale. Adv. Geo-Energy Res. 2022, 6, 54–68. [Google Scholar] [CrossRef]
- Khurshid, I.; Al-Shalabi, E.W.; Afgan, I.; Al-Attar, H. A numerical approach to investigate the impact of acid-asphaltene sludge formation on Worm-holing during carbonate acidizing. J. Energy Resour. Technol. 2022, 144, 063001. [Google Scholar] [CrossRef]










| Samples | Depth (m) | TOC (%) | Mineral Contents (%) | |||||||
|---|---|---|---|---|---|---|---|---|---|---|
| Q | FS | PC | CA | SR | PY | MC | CL | |||
| Dn9 | 1866.5 | 1.138 | 18.1 | 1.6 | 2.3 | 53.8 | 0.6 | 3.8 | 1.2 | 18.6 |
| D97 | 2006.9 | 0.396 | 16.2 | 1.3 | 2.1 | 57.9 | 0.4 | 2.1 | 1.0 | 19.0 |
| D62 | 1997.4 | 1.646 | 29.2 | 1.6 | 2.6 | 29.6 | 1.0 | 5.8 | 1.2 | 29.0 |
| D123 | 2014.7 | 1.011 | 27.8 | 0.0 | 1.8 | 35.3 | 2.7 | 3.4 | 0.8 | 28.2 |
| D130 | 2016.6 | 0.744 | 30.7 | 2.0 | 2.9 | 28.8 | 0.9 | 4.5 | 0.7 | 29.5 |
| D132 | 2017.0 | 1.889 | 30.1 | 2.1 | 3.9 | 26.9 | 1.0 | 5.0 | 1.5 | 29.5 |
| Dn17 | 1890.5 | 0.427 | 26.8 | 2.5 | 3.8 | 2.4 | 1.4 | 5.1 | 1.9 | 56.1 |
| D17 | 1983.9 | 1.459 | 25.2 | 2.6 | 4.9 | 2.4 | 1.3 | 2.4 | 2.2 | 59.0 |
| D26 | 1986.8 | 0.731 | 29.6 | 3.1 | 3.4 | 2.0 | 0.6 | 4.0 | 1.3 | 56.0 |
| D71 | 1999.7 | 2.417 | 27.6 | 2.0 | 4.0 | 4.6 | 1.6 | 7.2 | 1.8 | 51.2 |
| D80 | 2002.8 | 1.719 | 26.3 | 2.8 | 4.1 | 3.7 | 3.3 | 2.5 | 1.6 | 55.7 |
| D91 | 2005.6 | 1.843 | 30.7 | 2.7 | 4.3 | 1.1 | 1.4 | 2.1 | 2.7 | 55.0 |
| Samples | Shale Type | SBET (m2/g) | Pore Volume (cm3/g) | APS (nm) | ||
|---|---|---|---|---|---|---|
| VT | Vmeso | Vmacro | ||||
| Dn9 | carbonate | 2.32 | 0.0125 | 0.0083 | 0.0041 | 14.01 |
| D97 | 2.23 | 0.0109 | 0.0073 | 0.0036 | 14.99 | |
| D62 | mixed | 3.68 | 0.0181 | 0.0124 | 0.0057 | 12.07 |
| D123 | 2.71 | 0.0115 | 0.0075 | 0.0041 | 11.43 | |
| D130 | 3.50 | 0.0146 | 0.0094 | 0.0052 | 11.97 | |
| D132 | 3.66 | 0.0143 | 0.0099 | 0.0044 | 11.03 | |
| Dn17 | argillaceous | 7.46 | 0.0277 | 0.0206 | 0.0071 | 10.09 |
| D17 | 8.07 | 0.0376 | 0.0265 | 0.0111 | 11.98 | |
| D26 | 7.62 | 0.0310 | 0.0227 | 0.0083 | 10.92 | |
| D71 | 6.48 | 0.0246 | 0.0181 | 0.0065 | 10.15 | |
| D80 | 7.52 | 0.0338 | 0.0254 | 0.0085 | 11.27 | |
| D91 | 7.77 | 0.0319 | 0.0237 | 0.0083 | 10.85 | |
| Shales | Samples | D0 | D1 | H | D10 | D−10 | D0–D10 | D−10–D0 | D−10–D10 |
|---|---|---|---|---|---|---|---|---|---|
| carbonate | Dn9 | 1.000 | 0.489 | 0.638 | 0.160 | 1.846 | 0.840 | 0.846 | 1.686 |
| D97 | 1.000 | 0.512 | 0.647 | 0.171 | 1.831 | 0.829 | 0.831 | 1.660 | |
| mixed | D62 | 1.000 | 0.526 | 0.654 | 0.179 | 1.781 | 0.821 | 0.781 | 1.602 |
| D123 | 1.000 | 0.552 | 0.665 | 0.193 | 1.768 | 0.807 | 0.768 | 1.575 | |
| D130 | 1.000 | 0.551 | 0.665 | 0.193 | 1.781 | 0.807 | 0.781 | 1.588 | |
| D132 | 1.000 | 0.575 | 0.677 | 0.208 | 1.743 | 0.792 | 0.743 | 1.535 | |
| argillaceous | Dn17 | 1.000 | 0.655 | 0.729 | 0.284 | 1.748 | 0.716 | 0.748 | 1.464 |
| D17 | 1.000 | 0.638 | 0.717 | 0.264 | 1.738 | 0.736 | 0.738 | 1.474 | |
| D26 | 1.000 | 0.638 | 0.719 | 0.269 | 1.765 | 0.731 | 0.765 | 1.496 | |
| D71 | 1.000 | 0.609 | 0.700 | 0.242 | 1.796 | 0.758 | 0.796 | 1.554 | |
| D80 | 1.000 | 0.634 | 0.715 | 0.263 | 1.796 | 0.737 | 0.796 | 1.533 | |
| D91 | 1.000 | 0.643 | 0.721 | 0.272 | 1.750 | 0.728 | 0.750 | 1.478 |
| D1 | H | D0–D10 | D−10–D10 | D−10–D0 | |
|---|---|---|---|---|---|
| VT | 0.875 ** | 0.893 ** | −0.895 ** | −0.782 * | −0.414 |
| Vmeso | 0.886 ** | 0.906 ** | −0.909 ** | −0.782 * | −0.392 |
| Vmacro | 0.807 ** | 0.820 ** | −0.819 ** | −0.754 * | −0.463 |
| carbonate | −0.952 ** | −0.946 ** | 0.941 ** | 0.912 ** | 0.646 † |
| clay | 0.966 ** | 0.974 ** | −0.974 ** | −0.879 ** | −0.525 |
| QF | 0.645 † | 0.601 † | −0.582 † | −0.744 * | −0.764 * |
| TOC | 0.442 | 0.415 | −0.398 | −0.416 | −0.394 |
Disclaimer/Publisher’s Note: The statements, opinions and data contained in all publications are solely those of the individual author(s) and contributor(s) and not of MDPI and/or the editor(s). MDPI and/or the editor(s) disclaim responsibility for any injury to people or property resulting from any ideas, methods, instructions or products referred to in the content. |
© 2023 by the authors. Licensee MDPI, Basel, Switzerland. This article is an open access article distributed under the terms and conditions of the Creative Commons Attribution (CC BY) license (https://creativecommons.org/licenses/by/4.0/).
Share and Cite
Wang, Y.; Li, W.; Wang, X.; Wang, Z.; Ma, W.; Zhu, Y.; Sun, M.; Liu, B.; Cheng, L.; Fu, X. Nanopore Structure and Multifractal Characteristics of Continental Shale Oil Reservoir: A Case Study from Ziliujing Shales in the Sichuan Basin. J. Mar. Sci. Eng. 2023, 11, 1989. https://doi.org/10.3390/jmse11101989
Wang Y, Li W, Wang X, Wang Z, Ma W, Zhu Y, Sun M, Liu B, Cheng L, Fu X. Nanopore Structure and Multifractal Characteristics of Continental Shale Oil Reservoir: A Case Study from Ziliujing Shales in the Sichuan Basin. Journal of Marine Science and Engineering. 2023; 11(10):1989. https://doi.org/10.3390/jmse11101989
Chicago/Turabian StyleWang, Youzhi, Wei Li, Xiandong Wang, Zhiguo Wang, Weiqi Ma, Yanping Zhu, Mengdi Sun, Bo Liu, Lijuan Cheng, and Xiaofei Fu. 2023. "Nanopore Structure and Multifractal Characteristics of Continental Shale Oil Reservoir: A Case Study from Ziliujing Shales in the Sichuan Basin" Journal of Marine Science and Engineering 11, no. 10: 1989. https://doi.org/10.3390/jmse11101989
APA StyleWang, Y., Li, W., Wang, X., Wang, Z., Ma, W., Zhu, Y., Sun, M., Liu, B., Cheng, L., & Fu, X. (2023). Nanopore Structure and Multifractal Characteristics of Continental Shale Oil Reservoir: A Case Study from Ziliujing Shales in the Sichuan Basin. Journal of Marine Science and Engineering, 11(10), 1989. https://doi.org/10.3390/jmse11101989

