Experimental and CFD Assessment of Harmonic Characteristics of Point-Absorber Wave-Energy Converters with Nonlinear Power Take-Off System
Abstract
:1. Introduction
2. Mathematical Theories and Paired PA-WECs Model
2.1. Problem Description of Paired PA-WECs
2.2. Experimental Setup
2.2.1. Layout of the Experiment
2.2.2. Physical Test Conditions
2.3. Numerical Hydraulic PTO System Simulation
2.4. CFD Approach
2.4.1. Flow Field Model
2.4.2. Computational Domain and Boundary Conditions
2.4.3. Numerical Wave Generation
2.4.4. 6 DoF-Solver
3. Convergence Study
3.1. Wave Generation Test
3.2. Mesh Convergence Tests
3.3. Time Step Convergence Tests
3.4. CFD Model Validation
4. Results and Discussion
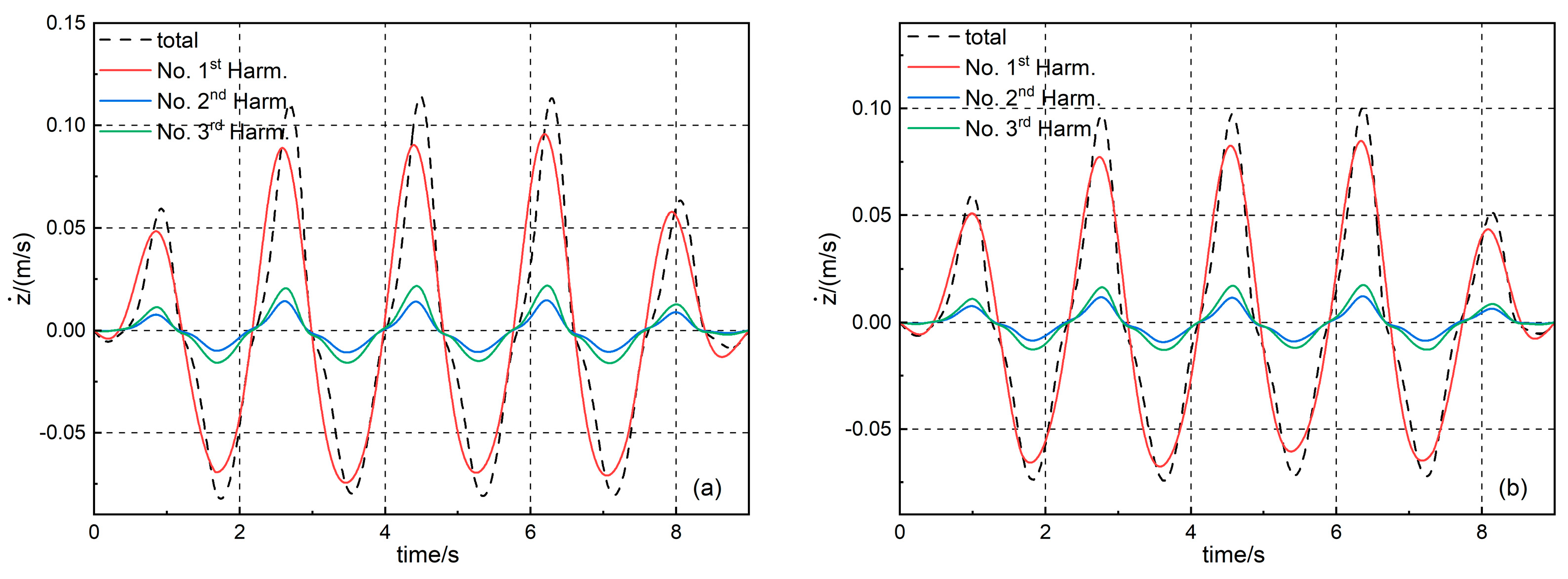
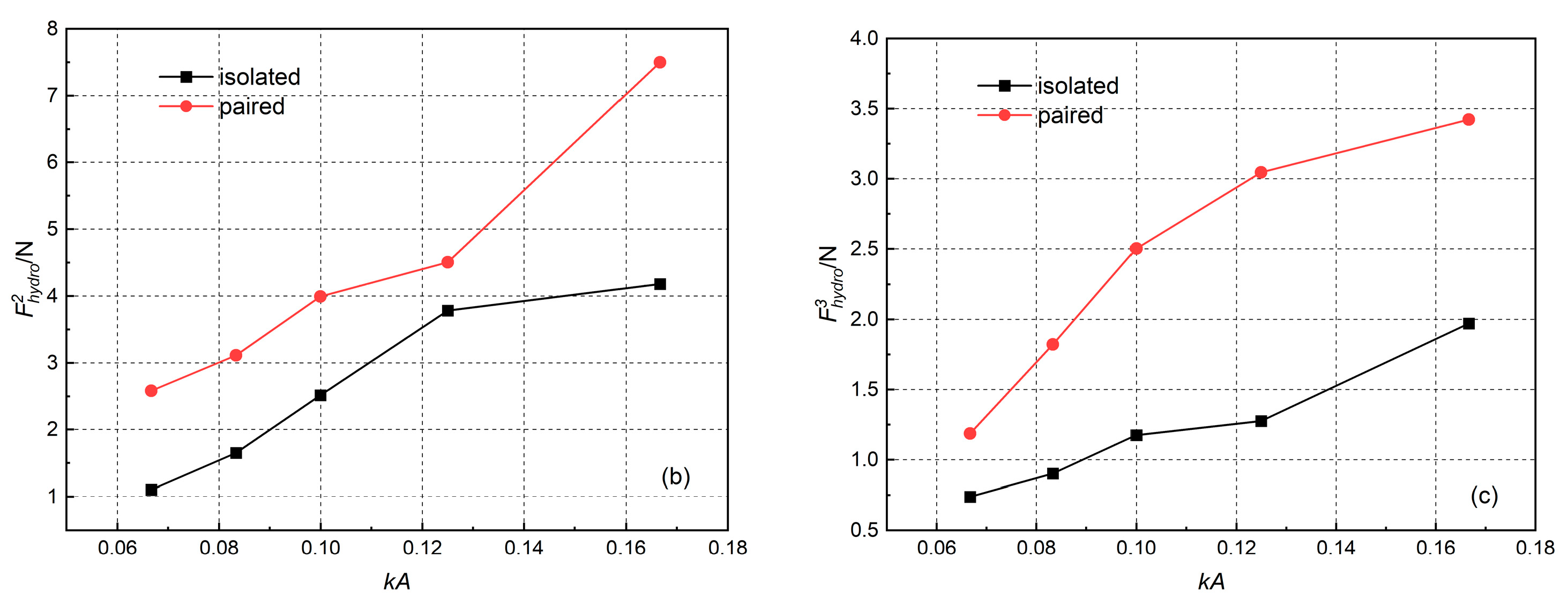
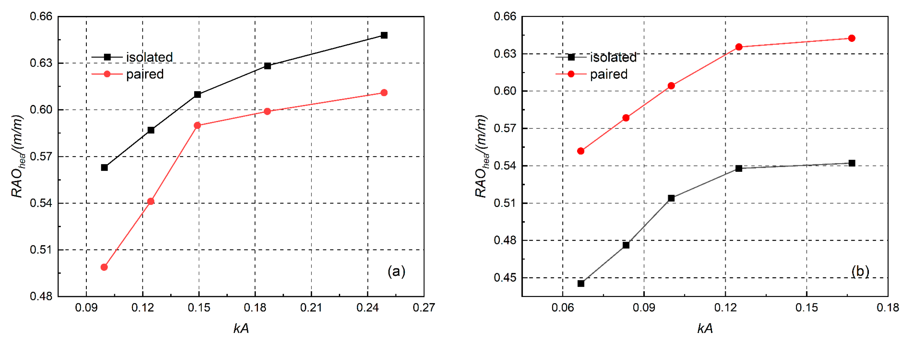
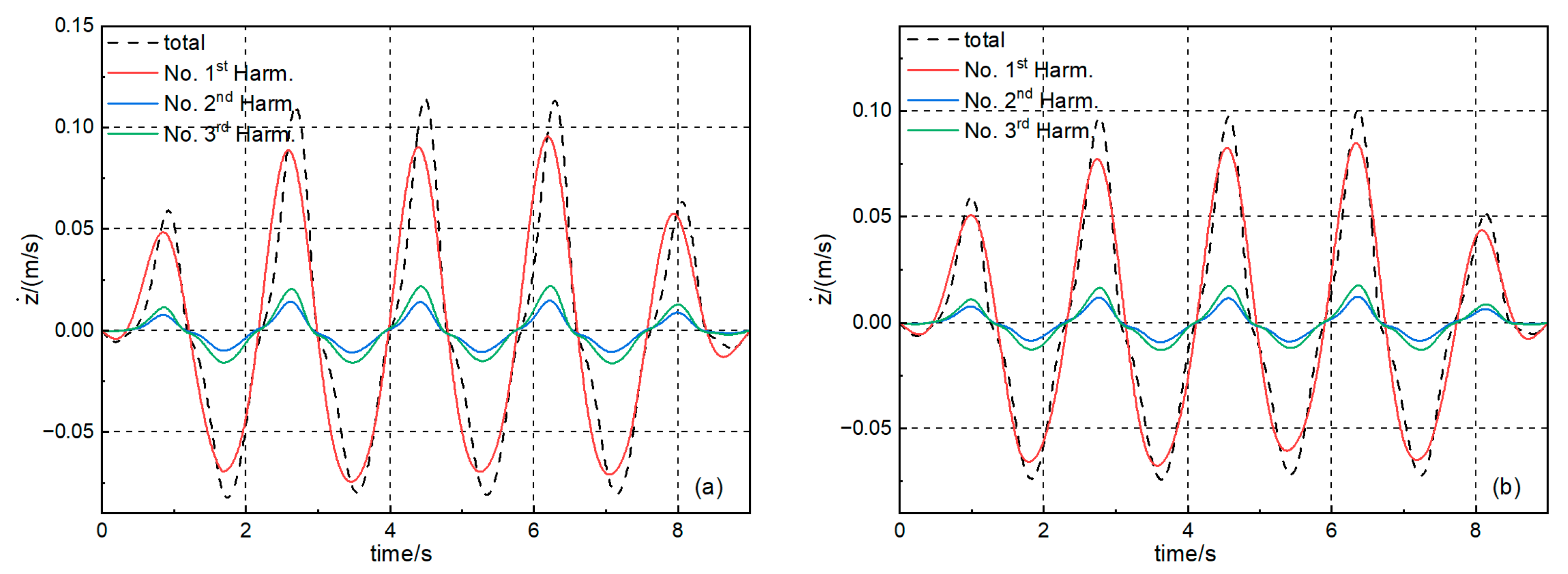
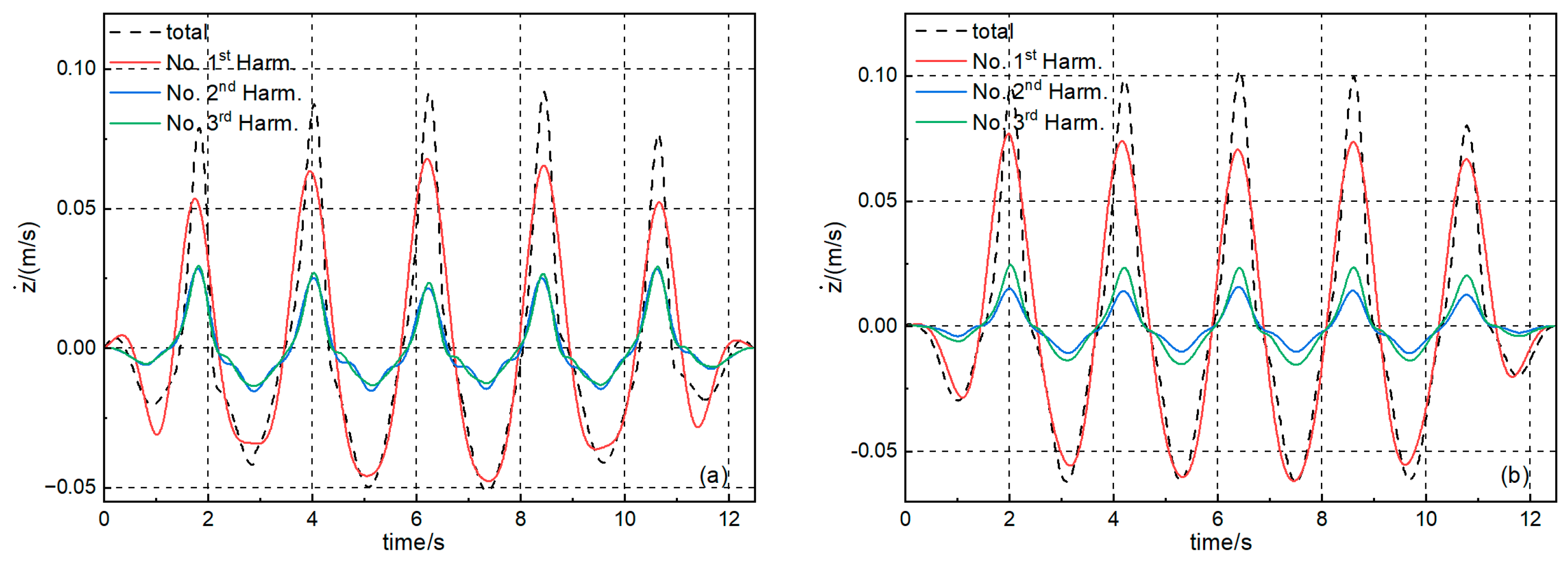
4.1. Higher Harmonic Components in Hydrodynamics
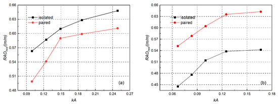
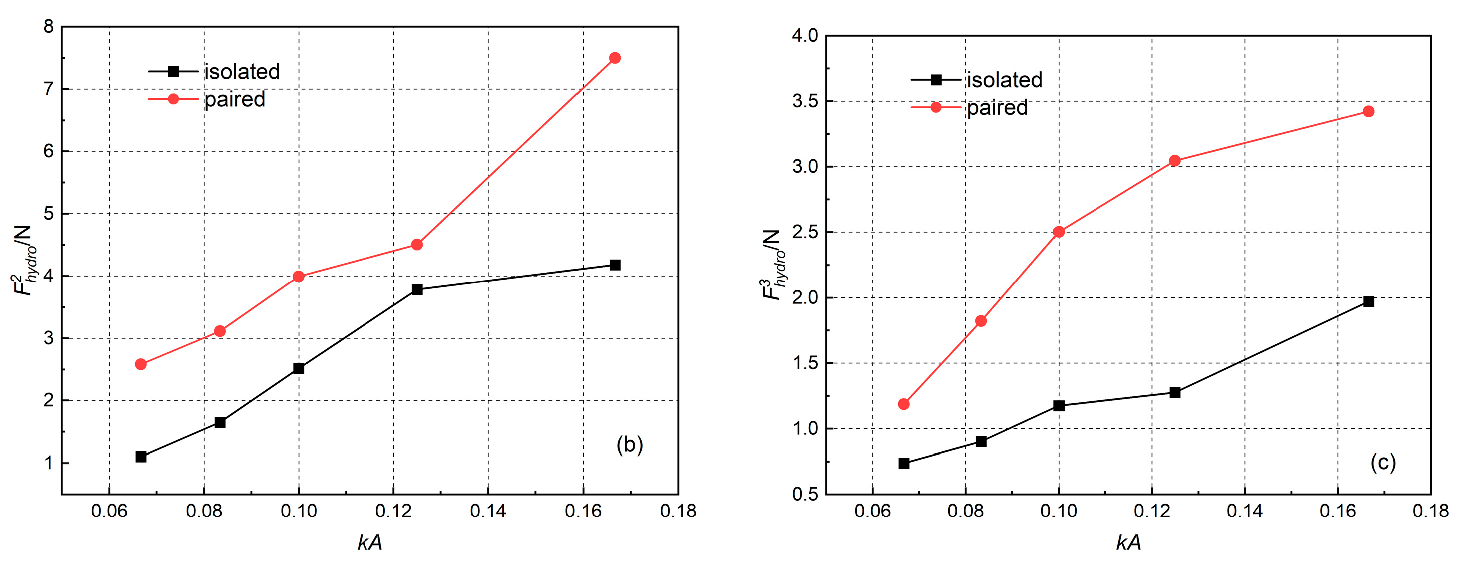
4.2. The Influence of Increasing Wave Steepness on Higher Harmonics
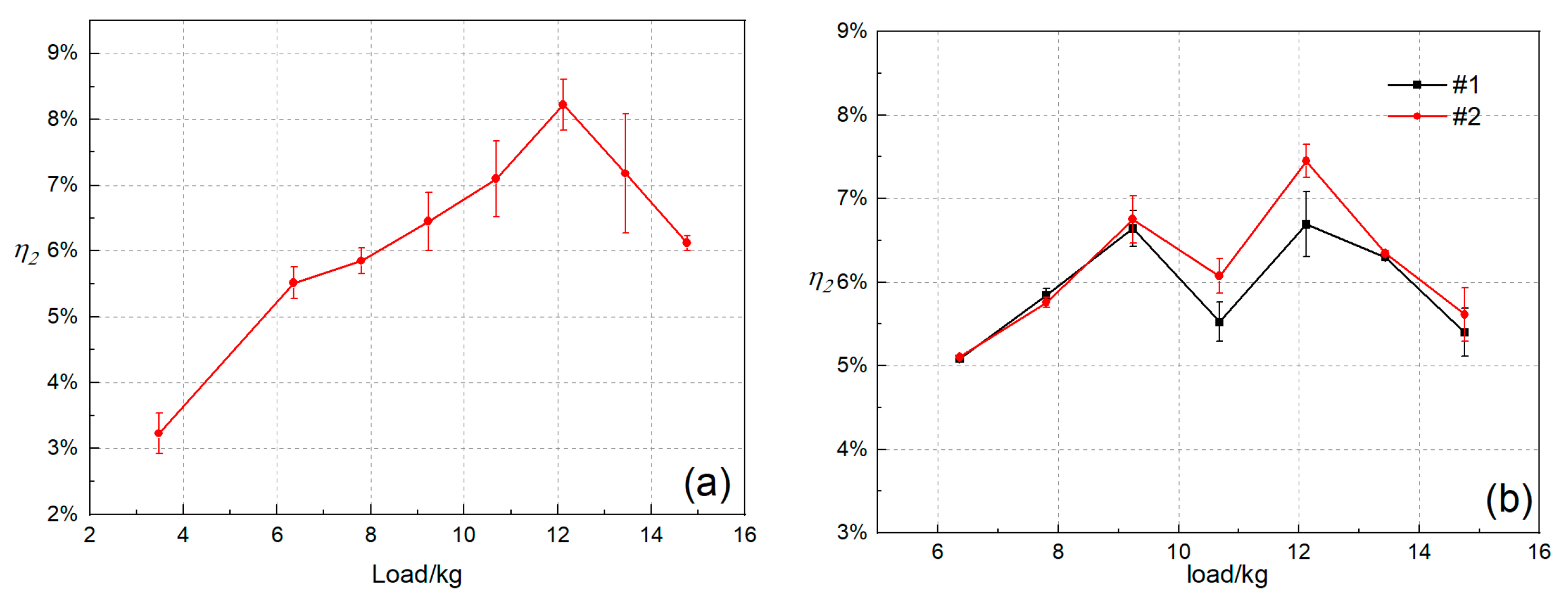
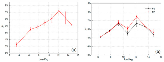
4.3. Power Performance of the PA-WECs
5. Conclusions
Author Contributions
Funding
Institutional Review Board Statement
Informed Consent Statement
Data Availability Statement
Conflicts of Interest
References
- Qiu, S.; Liu, K.; Wang, D.; Ye, J.; Liang, F. A Comprehensive Review of Ocean Wave Energy Research and Development in China. Renew. Sustain. Energy Rev. 2019, 113, 109271. [Google Scholar] [CrossRef]
- Al Shami, E.; Zhang, R.; Wang, X. Point Absorber Wave Energy Harvesters: A Review of Recent Developments. Energies 2018, 12, 47. [Google Scholar] [CrossRef]
- Legaz, M.J.; Coronil, D.; Mayorga, P.; Fernández, J. Study of a Hybrid Renewable Energy Platform: W2Power. In Proceedings of the 37th International Conference on Ocean, Offshore and Arctic Engineering, Madrid, Spain, 17–22 June 2018. [Google Scholar]
- Ghafari, H.R.; Ghassemi, H.; Abbasi, A.; Vakilabadi, K.A.; Yazdi, H.; He, G. Novel Concept of Hybrid Wavestar- Floating Offshore Wind Turbine System with Rectilinear Arrays of WECs. Ocean Eng. 2022, 262, 112253. [Google Scholar] [CrossRef]
- Tran, N.; Sergiienko, N.Y.; Cazzolato, B.S.; Ghayesh, M.H.; Arjomandi, M. Design Considerations for a Three-Tethered Point Absorber Wave Energy Converter with Nonlinear Coupling between Hydrodynamic Modes. Ocean Eng. 2022, 254, 111351. [Google Scholar] [CrossRef]
- Yang, I.; Tezdogan, T.; Incecik, A. Numerical Investigations of a Pivoted Point Absorber Wave Energy Converter Integrated with Breakwater Using CFD. Ocean Eng. 2023, 274, 114025. [Google Scholar] [CrossRef]
- Zhang, Y.; Teng, B.; Gou, Y. Nonlinear Modelling of a Point-Absorber Wave Energy Converter Based on the Weak-Scatterer Approximation. Ocean Eng. 2021, 239, 109924. [Google Scholar] [CrossRef]
- Ko, H.S.; Poguluri, S.K.; Shin, J.-H.; Bae, Y.H. Numerical Study for Nonlinear Hydrodynamic Coefficients of an Asymmetric Wave Energy Converter. Renew. Energy 2023, 214, 185–193. [Google Scholar] [CrossRef]
- Tran, N.; Sergiienko, N.Y.; Cazzolato, B.S.; Ding, B.; Wuillaume, P.-Y.; Ghayesh, M.H.; Arjomandi, M. On the Importance of Nonlinear Hydrodynamics and Resonance Frequencies on Power Production in Multi-Mode WECs. Appl. Ocean Res. 2021, 117, 102924. [Google Scholar] [CrossRef]
- Zhou, Y.; Ning, D.; Liang, D.; Cai, S. Nonlinear Hydrodynamic Analysis of an Offshore Oscillating Water Column Wave Energy Converter. Renew. Sustain. Energy Rev. 2021, 145, 111086. [Google Scholar] [CrossRef]
- Xu, C.; Huang, Z. Three-Dimensional CFD Simulation of a Circular OWC with a Nonlinear Power-Takeoff: Model Validation and a Discussion on Resonant Sloshing inside the Pneumatic Chamber. Ocean Eng. 2019, 176, 184–198. [Google Scholar] [CrossRef]
- Schubert, B.W.; Robertson, W.S.P.; Cazzolato, B.S.; Ghayesh, M.H. Linear and Nonlinear Hydrodynamic Models for Dynamics of a Submerged Point Absorber Wave Energy Converter. Ocean Eng. 2020, 197, 106828. [Google Scholar] [CrossRef]
- Windt, C.; Davidson, J.; Ransley, E.J.; Greaves, D.; Jakobsen, M.; Kramer, M.; Ringwood, J.V. Validation of a CFD-Based Numerical Wave Tank Model for the Power Production Assessment of the Wavestar Ocean Wave Energy Converter. Renew. Energy 2020, 146, 2499–2516. [Google Scholar] [CrossRef]
- Yu, T.; Li, T.; Shi, H.; Zhang, Z.; Chen, X. Experimental Investigation on the Wave-Oscillating Buoy Interaction and Wave Run-up on the Buoy. Ocean Eng. 2023, 270, 113631. [Google Scholar] [CrossRef]
- Cheng, Y.; Ji, C.; Zhai, G. Fully Nonlinear Analysis Incorporating Viscous Effects for Hydrodynamics of an Oscillating Wave Surge Converter with Nonlinear Power Take-off System. Energy 2019, 179, 1067–1081. [Google Scholar] [CrossRef]
- Wendt, F.; Nielsen, K.; Yu, Y.-H.; Bingham, H.; Eskilsson, C.; Kramer, M.; Babarit, A.; Bunnik, T.; Costello, R.; Crowley, S.; et al. Ocean Energy Systems Wave Energy Modelling Task: Modelling, Verification and Validation of Wave Energy Converters. J. Mar. Sci. Eng. 2019, 7, 379. [Google Scholar] [CrossRef]
- Zeng, X.; Shi, W.; Feng, X.; Shao, Y.; Li, X. Investigation of Higher-Harmonic Wave Loads and Low-Frequency Resonance Response of Floating Offshore Wind Turbine under Extreme Wave Groups. Mar. Struct. 2023, 89, 103401. [Google Scholar] [CrossRef]
- Agamloh, E.B.; Wallace, A.K.; von Jouanne, A. Application of Fluid–Structure Interaction Simulation of an Ocean Wave Energy Extraction Device. Renew. Energy 2008, 33, 748–757. [Google Scholar] [CrossRef]
- Sun, K.; Yi, Y.; Zheng, X.; Cui, L.; Zhao, C.; Liu, M.; Rao, X. Experimental Investigation of Semi-Submersible Platform Combined with Point-Absorber Array. Energy Convers. Manag. 2021, 245, 114623. [Google Scholar] [CrossRef]
- Li, X.; Xiao, Q.; Zhou, Y.; Ning, D.; Incecik, A.; Nicoll, R.; McDonald, A.; Campbell, D. Coupled CFD-MBD Numerical Modeling of a Mechanically Coupled WEC Array. Ocean Eng. 2022, 256, 111541. [Google Scholar] [CrossRef]
- Hu, J.; Zhou, B.; Vogel, C.; Liu, P.; Willden, R.; Sun, K.; Zang, J.; Geng, J.; Jin, P.; Cui, L.; et al. Optimal Design and Performance Analysis of a Hybrid System Combing a Floating Wind Platform and Wave Energy Converters. Appl. Energy 2020, 269, 114998. [Google Scholar] [CrossRef]
- Zang, Z.; Zhang, Q.; Qi, Y.; Fu, X. Hydrodynamic Responses and Efficiency Analyses of a Heaving-Buoy Wave Energy Converter with PTO Damping in Regular and Irregular Waves. Renew. Energy 2018, 116, 527–542. [Google Scholar] [CrossRef]
- Yang, W. A Finite Volume Method for Ferrohydrodynamic Problems Coupled with Microscopic Magnetization Dynamics. Appl. Math. Comput. 2023, 441, 127704. [Google Scholar] [CrossRef]
- Simcenter STAR-CCM+. Available online: https://plm.sw.siemens.com/en-US/simcenter/fluids-thermal-simulation/star-ccm/ (accessed on 22 September 2023).
- Hirt, C.W.; Nichols, B.D. Volume of Fluid (VOF) Method for the Dynamics of Free Boundaries. J. Comput. Phys. 1981, 39, 201–225. [Google Scholar] [CrossRef]
- Liu, S.; Ong, M.C.; Obhrai, C.; Gatin, I.; Vukčević, V. Influences of Free Surface Jump Conditions and Different K−ω SST Turbulence Models on Breaking Wave Modelling. Ocean Eng. 2020, 217, 107746. [Google Scholar] [CrossRef]
- Zeng, X.; Shi, W.; Michailides, C.; Zhang, S.; Li, X. Numerical and Experimental Investigation of Breaking Wave Forces on a Monopile-Type Offshore Wind Turbine. Renew. Energy 2021, 175, 501–519. [Google Scholar] [CrossRef]
- Oliveira, D.; Lopes de Almeida, J.P.P.G.; Santiago, A.; Rigueiro, C. Development of a CFD-Based Numerical Wave Tank of a Novel Multipurpose Wave Energy Converter. Renew. Energy 2022, 199, 226–245. [Google Scholar] [CrossRef]
- Menter, F. Zonal Two Equation K-w Turbulence Models for Aerodynamic Flows. In Proceedings of the 23rd Fluid Dynamics, Plasmadynamics, and Lasers Conference, Orlando, FL, USA, 6–9 July 1993. [Google Scholar] [CrossRef]
- Fenton, J.D. A Fifth-Order Stokes Theory for Steady Waves. J. Waterw. Port Coast. Ocean. Eng. 1985, 111, 216–234. [Google Scholar] [CrossRef]
- Feng, X.; Lin, Y.; Zhang, G.; Li, D.; Liu, H.; Wang, B. Influence of Combined Motion of Pitch and Surge with Phase Difference on Aerodynamic Performance of Floating Offshore Wind Turbine. J. Mar. Sci. Eng. 2021, 9, 699. [Google Scholar] [CrossRef]





























| Item | Value | Unit |
|---|---|---|
| Diameter | 0.4 | m |
| Draft | 0.25 | m |
| Absorber spacing | 0.5 | m |
| Displacement | 14.65 | kg |
| Number | Item | Model | PTO Load | Wave Period |
|---|---|---|---|---|
| 1 | Resonance period | Isolated PA-WEC | 0 | 1.2–2.2 s |
| 2 | Optimal PTO load | Isolated/Paired PA-WEC | 3.48–14.76 kg | 1.2–2.2 s |
| 3 | Power performance | 12.12 kg | 1.2–2.2 s |
| Mesh Type | Nodes in a Wavelength | Aspect Ratio | Grids Number | Time Step |
|---|---|---|---|---|
| Corse | 25 | 1/2 | 18,528 | 0.025733 |
| Medium | 50 | 1/4 | 115,358 | 0.012867 |
| Fine | 100 | 1/8 | 1,163,566 | 0.006672 |
| Extra Fine | 135 | 1/16 | 8,477,988 | 0.003336 |
| Mesh Type | Time Step/s | Iterations in a Step | Boundary Layer | Grid Length | Grid Numbers | ||
|---|---|---|---|---|---|---|---|
| Layers | Height/m | Off-Body/m | Near-Body/m | ||||
| Mesh1 | 0.005 | 10 | 5 | 0.004 | 0.04 | 0.02 | 1,537,152 |
| Mesh2 | 0.005 | 10 | 10 | 0.004 | 0.02 | 0.01 | 2,126,418 |
| Mesh3 | 0.005 | 10 | 20 | 0.004 | 0.01 | 0.005 | 6,134,235 |
| Mesh4 | 0.005 | 10 | 40 | 0.004 | 0.005 | 0.0025 | 31,982,971 |
| Mesh Type | Time Step/s | Iterations in a Step | Boundary Layer | Grid Length | Grid Numbers | ||
|---|---|---|---|---|---|---|---|
| Layers | Height/m | Off-Body/m | Near-Body/m | ||||
| Mesh3 | 0.001 | 20 | 20 | 0.004 | 0.01 | 0.005 | 6,134,235 |
| Mesh3 | 0.003 | 15 | 20 | 0.004 | 0.01 | 0.005 | 6,134,235 |
| Mesh3 | 0.005 | 10 | 20 | 0.004 | 0.01 | 0.005 | 6,134,235 |
| Mesh3 | 0.01 | 5 | 20 | 0.004 | 0.01 | 0.005 | 6,134,235 |
Disclaimer/Publisher’s Note: The statements, opinions and data contained in all publications are solely those of the individual author(s) and contributor(s) and not of MDPI and/or the editor(s). MDPI and/or the editor(s) disclaim responsibility for any injury to people or property resulting from any ideas, methods, instructions or products referred to in the content. |
© 2023 by the authors. Licensee MDPI, Basel, Switzerland. This article is an open access article distributed under the terms and conditions of the Creative Commons Attribution (CC BY) license (https://creativecommons.org/licenses/by/4.0/).
Share and Cite
Yi, Y.; Sun, K.; Liu, Y.; Ma, G.; Zhao, C.; Zhang, F.; Zhang, J. Experimental and CFD Assessment of Harmonic Characteristics of Point-Absorber Wave-Energy Converters with Nonlinear Power Take-Off System. J. Mar. Sci. Eng. 2023, 11, 1860. https://doi.org/10.3390/jmse11101860
Yi Y, Sun K, Liu Y, Ma G, Zhao C, Zhang F, Zhang J. Experimental and CFD Assessment of Harmonic Characteristics of Point-Absorber Wave-Energy Converters with Nonlinear Power Take-Off System. Journal of Marine Science and Engineering. 2023; 11(10):1860. https://doi.org/10.3390/jmse11101860
Chicago/Turabian StyleYi, Yang, Ke Sun, Yongqian Liu, Gang Ma, Chuankai Zhao, Fukang Zhang, and Jianhua Zhang. 2023. "Experimental and CFD Assessment of Harmonic Characteristics of Point-Absorber Wave-Energy Converters with Nonlinear Power Take-Off System" Journal of Marine Science and Engineering 11, no. 10: 1860. https://doi.org/10.3390/jmse11101860
APA StyleYi, Y., Sun, K., Liu, Y., Ma, G., Zhao, C., Zhang, F., & Zhang, J. (2023). Experimental and CFD Assessment of Harmonic Characteristics of Point-Absorber Wave-Energy Converters with Nonlinear Power Take-Off System. Journal of Marine Science and Engineering, 11(10), 1860. https://doi.org/10.3390/jmse11101860

