Assessing Efficacy of “Eco-Friendly” and Traditional Copper-Based Antifouling Materials in a Highly Wave-Exposed Environment
Abstract
1. Introduction
2. Materials and Methods
2.1. Study Site, Environmental Variables
2.2. Mooring, Testing Frames, and Monitoring Schedule
2.3. Materials and Antifouling Treatments
2.4. Successional Treatments and Monitoring Protocol
2.5. Data Analyses
2.6. Biofouling Biomass
2.7. Biofouling Cover
2.8. Biofouling Community Analyses
3. Results
3.1. Biofouling Biomass
3.2. Biofouling Cover and Dominant Species
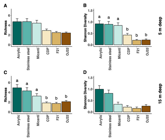
3.3. Biofouling Community
4. Discussion
5. Conclusions
Supplementary Materials
Author Contributions
Funding
Institutional Review Board Statement
Informed Consent Statement
Data Availability Statement
Acknowledgments
Conflicts of Interest
References
- Callow, J.A.; Callow, M.E. Trends in the Development of Environmentally Friendly Fouling-Resistant Marine Coatings. Nat. Commun. 2011, 2, 244. [Google Scholar] [CrossRef] [PubMed]
- Wahl, M. Marine Epibiosis. I. Fouling and Antifouling: Some Basic Aspects. Mar. Ecol. Prog. Ser. 1989, 58, 175–189. [Google Scholar] [CrossRef]
- Berlow, E.L.; Navarrete, S.A. Spatial and Temporal Variation in Rocky Intertidal Community Organization: Lessons from Repeating Field Experiments. J. Exp. Mar. Biol. Ecol. 1997, 214, 195–229. [Google Scholar] [CrossRef]
- Paine, R.T. Food Webs: Linkage, Interaction Strength and Community Infrastructure. J. Anim. Ecol. 1980, 49, 666. [Google Scholar] [CrossRef]
- Yebra, D.M.; Kiil, S.; Dam-Johansen, K. Antifouling Technology—Past, Present and Future Steps towards Efficient and Environmentally Friendly Antifouling Coatings. Prog. Org. Coat. 2004, 50, 75–104. [Google Scholar] [CrossRef]
- Dafforn, K.A.; Lewis, J.A.; Johnston, E.L. Antifouling Strategies: History and Regulation, Ecological Impacts and Mitigation. Mar. Pollut. Bull. 2011, 62, 453–465. [Google Scholar] [CrossRef]
- von Ammon, U.; Wood, S.A.; Laroche, O.; Zaiko, A.; Tait, L.; Lavery, S.; Inglis, G.; Pochon, X. The Impact of Artificial Surfaces on Marine Bacterial and Eukaryotic Biofouling Assemblages: A High-Throughput Sequencing Analysis. Mar. Environ. Res. 2018, 133, 57–66. [Google Scholar] [CrossRef]
- Schultz, M.P.; Bendick, J.A.; Holm, E.R.; Hertel, W.M. Economic Impact of Biofouling on a Naval Surface Ship. Biofouling 2011, 27, 87–98. [Google Scholar] [CrossRef]
- Titah-Benbouzid, H.; Benbouzid, M. Marine Renewable Energy Converters and Biofouling: A Review on Impacts and Prevention. In Proceedings of the 11th European Wave and Tidal Energy Conference (EWTEC 2015), Nantes, France, 15 September 2015. [Google Scholar]
- Gule, N.P.; Begum, N.M.; Klumperman, B. Advances in Biofouling Mitigation: A Review. Crit. Rev. Environ. Sci. Technol. 2016, 46, 535–555. [Google Scholar] [CrossRef]
- Lewis, J.A. Marine Biofouling and Its Prevention on Underwater Surfaces. Mater. Forum 1998, 22, 41–61. [Google Scholar]
- Singh, N.; Turner, A. Leaching of Copper and Zinc from Spent Antifouling Paint Particles. Environ. Pollut. 2009, 157, 371–376. [Google Scholar] [CrossRef] [PubMed]
- Salta, M.; Wharton, J.A.; Stoodley, P.; Dennington, S.P.; Goodes, L.R.; Werwinski, S.; Mart, U.; Wood, R.J.K.; Stokes, K.R. Designing Biomimetic Antifouling Surfaces. Phil. Trans. R. Soc. A 2010, 368, 4729–4754. [Google Scholar] [CrossRef] [PubMed]
- Turner, A. Marine Pollution from Antifouling Paint Particles. Mar. Pollut. Bull. 2010, 60, 159–171. [Google Scholar] [CrossRef]
- Fitridge, I.; Dempster, T.; Guenther, J.; de Nys, R. The Impact and Control of Biofouling in Marine Aquaculture: A Review. Biofouling 2012, 28, 649–669. [Google Scholar] [CrossRef] [PubMed]
- Soroldoni, S.; Abreu, F.; Castro, Í.B.; Duarte, F.A.; Pinho, G.L.L. Are Antifouling Paint Particles a Continuous Source of Toxic Chemicals to the Marine Environment? J. Hazard. Mater. 2017, 330, 76–82. [Google Scholar] [CrossRef]
- Thomas, K.V.; Brooks, S. The Environmental Fate and Effects of Antifouling Paint Biocides. Biofouling 2010, 26, 73–88. [Google Scholar] [CrossRef]
- Blossom, N. Copper in the Ocean Environment. Deerfield, IL. Am. Chemet. Corp. 2007, 1–8. [Google Scholar]
- Kyei, S.K.; Darko, G.; Akaranta, O. Chemistry and Application of Emerging Ecofriendly Antifouling Paints: A Review. J. Coat. Technol. Res. 2020, 17, 315–332. [Google Scholar] [CrossRef]
- Adeleye, A.S.; Conway, J.R.; Garner, K.; Huang, Y.; Su, Y.; Keller, A.A. Engineered Nanomaterials for Water Treatment and Remediation: Costs, Benefits, and Applicability. Chem. Eng. J. 2016, 286, 640–662. [Google Scholar] [CrossRef]
- Miller, R.J.; Adeleye, A.S.; Page, H.M.; Kui, L.; Lenihan, H.S.; Keller, A.A. Nano and Traditional Copper and Zinc Antifouling Coatings: Metal Release and Impact on Marine Sessile Invertebrate Communities. J. Nanopart. Res. 2020, 22, 129. [Google Scholar] [CrossRef]
- Muthukrishnan, T.; Abed, R.M.M.; Dobretsov, S.; Kidd, B.; Finnie, A.A. Long-Term Microfouling on Commercial Biocidal Fouling Control Coatings. Biofouling 2014, 30, 1155–1164. [Google Scholar] [CrossRef]
- Atalah, J.; Newcombe, E.M.; Zaiko, A. Biocontrol of Fouling Pests: Effect of Diversity, Identity and Density of Control Agents. Mar. Environ. Res. 2016, 115, 20–27. [Google Scholar] [CrossRef]
- Atalah, J.; Newcombe, E.M.; Hopkins, G.A.; Forrest, B.M. Potential Biocontrol Agents for Biofouling on Artificial Structures. Biofouling 2014, 30, 999–1010. [Google Scholar] [CrossRef] [PubMed]
- Marzinelli, E.M.; Underwood, A.J.; Coleman, R.A. Modified Habitats Influence Kelp Epibiota via Direct and Indirect Effects. PLoS ONE 2011, 6, e21936. [Google Scholar] [CrossRef] [PubMed]
- Lodeiros, C. The Use of Sea Urchins to Control Fouling during Suspended Culture of Bivalves. Aquaculture 2004, 231, 293–298. [Google Scholar] [CrossRef]
- Ross, K.A.; Thorpe, J.P.; Brand, A.R. Biological Control of Fouling in Suspended Scallop Cultivation. Aquaculture 2004, 229, 99–116. [Google Scholar] [CrossRef]
- Sterling, A.M.; Cross, S.F.; Pearce, C.M. Co-Culturing Green Sea Urchins (Strongylocentrotus Droebachiensis) with Mussels (Mytilus Spp.) to Control Biofouling at an Integrated Multi-Trophic Aquaculture Site. Aquaculture 2016, 464, 253–261. [Google Scholar] [CrossRef]
- Davis, A.R.; Benkendorff, K.; Ward, D.W. Responses of Common SE Australian Herbivores to Three Suspected Invasive Caulerpa spp. Mar. Biol. 2005, 146, 859–868. [Google Scholar] [CrossRef]
- Dumont, C.P.; Urriago, J.D.; Abarca, A.; Gaymer, C.F.; Thiel, M. The Native Rock Shrimp Rhynchocinetes Typus as a Biological Control of Fouling in Suspended Scallop Cultures. Aquaculture 2009, 292, 74–79. [Google Scholar] [CrossRef]
- Atalah, J.; Hopkins, G.A.; Forrest, B.M. Augmentative Biocontrol in Natural Marine Habitats: Persistence, Spread and Non-Target Effects of the Sea Urchin Evechinus Chloroticus. PLoS ONE 2013, 8, e80365. [Google Scholar] [CrossRef]
- Navarrete, S.; Parragué, M.; Osiadacz, N.; Rojas, F.; Bonicelli, J.; Fernandez, M.; Arboleda-Baena, C.; Baldanzi, S. Susceptibility of Different Materials and Antifouling Coating to Macrofouling Organisms in a High Wave-Energy Environment. J. Ocean. Technol. 2020, 15, 72–91. [Google Scholar]
- Navarrete, S.A.; Parragué, M.; Osiadacz, N.; Rojas, F.; Bonicelli, J.; Fernández, M.; Arboleda-Baena, C.; Perez-Matus, A.; Finke, R. Abundance, Composition and Succession of Sessile Subtidal Assemblages in High Wave-Energy Environments of Central Chile: Temporal and Depth Variation. J. Exp. Mar. Biol. Ecol. 2019, 512, 51–62. [Google Scholar] [CrossRef]
- Want, A.; Bell, M.C.; Harris, R.E.; Hull, M.Q.; Long, C.R.; Porter, J.S. Sea-Trial Verification of a Novel System for Monitoring Biofouling and Testing Anti-Fouling Coatings in Highly Energetic Environments Targeted by the Marine Renewable Energy Industry. Biofouling 2021, 37, 433–451. [Google Scholar] [CrossRef] [PubMed]
- Want, A.; Crawford, R.; Kakkonen, J.; Kiddie, G.; Miller, S.; Harris, R.E.; Porter, J.S. Biodiversity Characterisation and Hydrodynamic Consequences of Marine Fouling Communities on Marine Renewable Energy Infrastructure in the Orkney Islands Archipelago, Scotland, UK. Biofouling 2017, 33, 567–579. [Google Scholar] [CrossRef] [PubMed]
- Narváez, D.A.; Poulin, E.; Leiva, G.; Hernández, E.; Castilla, J.C.; Navarrete, S.A. Seasonal and Spatial Variation of Nearshore Hydrographic Conditions in Central Chile. Cont. Shelf Res. 2004, 24, 279–292. [Google Scholar] [CrossRef]
- Tapia, F.J.; Navarrete, S.A.; Castillo, M.; Menge, B.A.; Castilla, J.C.; Largier, J.; Wieters, E.A.; Broitman, B.L.; Barth, J.A. Thermal Indices of Upwelling Effects on Inner-Shelf Habitats. Prog. Oceanogr. 2009, 83, 278–287. [Google Scholar] [CrossRef]
- Wieters, E.; Kaplan, D.; Navarrete, S.; Sotomayor, A.; Largier, J.; Nielsen, K.; Véliz, F. Alongshore and Temporal Variability in Chlorophyll a Concentration in Chilean Nearshore Waters. Mar. Ecol. Prog. Ser. 2003, 249, 93–105. [Google Scholar] [CrossRef]
- Bonicelli, J.; Moffat, C.; Navarrete, S.A.; Largier, J.L.; Tapia, F.J. Spatial Differences in Thermal Structure and Variability within a Small Bay: Interplay of Diurnal Winds and Tides. Cont. Shelf Res. 2014, 88, 72–80. [Google Scholar] [CrossRef]
- Bonicelli, J.; Tapia, F.J.; Navarrete, S.A. Wind-Driven Diurnal Temperature Variability across a Small Bay and the Spatial Pattern of Intertidal Barnacle Settlement. J. Exp. Mar. Biol. Ecol. 2014, 461, 350–356. [Google Scholar] [CrossRef]
- Kaplan, D.M.; Largier, J.L.; Navarrete, S.; Guiñez, R.; Castilla, J.C. Large Diurnal Temperature Fluctuations in the Nearshore Water Column. Estuar. Coast. Shelf Sci. 2003, 57, 385–398. [Google Scholar] [CrossRef]
- Lagos, N.; Navarrete, S.; Véliz, F.; Masuero, A.; Castilla, J. Meso-Scale Spatial Variation in Settlement and Recruitment of Intertidal Barnacles along the Coast of Central Chile. Mar. Ecol. Prog. Ser. 2005, 290, 165–178. [Google Scholar] [CrossRef]
- Navarrete, S.; Largier, J.; Vera, G.; Tapia, F.; Parragué, M.; Ramos, E.; Shinen, J.; Stuardo, C.; Wieters, E. Tumbling under the Surf: Wave-Modulated Settlement of Intertidal Mussels and the Continuous Settlement-Relocation Model. Mar. Ecol. Prog. Ser. 2015, 520, 101–121. [Google Scholar] [CrossRef]
- Piñones, A.; Valle-Levinson, A.; Narváez, D.A.; Vargas, C.A.; Navarrete, S.A.; Yuras, G.; Castilla, J.C. Wind-Induced Diurnal Variability in River Plume Motion. Estuar. Coast. Shelf Sci. 2005, 65, 513–525. [Google Scholar] [CrossRef]
- Cifuentes, M.; Krueger, I.; Dumont, C.P.; Lenz, M.; Thiel, M. Does Primary Colonization or Community Structure Determine the Succession of Fouling Communities? J. Exp. Mar. Biol. Ecol. 2010, 395, 10–20. [Google Scholar] [CrossRef]
- Cifuentes, M.; Kamlah, C.; Thiel, M.; Lenz, M.; Wahl, M. Effects of Temporal Variability of Disturbance on the Succession in Marine Fouling Communities in Northern-Central Chile. J. Exp. Mar. Biol. Ecol. 2007, 352, 280–294. [Google Scholar] [CrossRef]
- Valdivia, N.; Heidemann, A.; Thiel, M.; Molis, M.; Wahl, M. Effects of Disturbance on the Diversity of Hard-Bottom Macrobenthic Communities on the Coast of Chile. Mar. Ecol. Prog. Ser. 2005, 299, 45–54. [Google Scholar] [CrossRef]
- Kuehl, R.O. Design of Experiments: Statistical Principles of Research Design and Analysis, 2nd ed.; Duxbury/Thomson Learning: Pacific Grove, CA, USA, 2000. [Google Scholar]
- Abelson, R.P.; Prentice, D.A. Contrast Tests of Interaction Hypothesis. Psychol. Methods 1997, 2, 315. [Google Scholar] [CrossRef]
- Escobar, J.; Navarrete, S. Risk Recognition and Variability in Escape Responses among Intertidal Molluskan Grazers to the Sun Star Heliaster Helianthus. Mar. Ecol. Prog. Ser. 2011, 421, 151–161. [Google Scholar] [CrossRef]
- Racine, J.S. RStudio: A Platform-Independent IDE for R and Sweave. 2012. Available online: https://posit.co (accessed on 1 August 2022).
- Core Team, C. R: A Language and Environment for Statistical Computing. 2013. Available online: https://www.r-project.org (accessed on 1 August 2022).
- Anderson, M.J.; Walsh, D.C.I. PERMANOVA, ANOSIM, and the Mantel Test in the Face of Heterogeneous Dispersions: What Null Hypothesis Are You Testing? Ecol. Monogr. 2013, 83, 557–574. [Google Scholar] [CrossRef]
- Benjamini, Y.; Hochberg, Y. Controlling the False Discovery Rate: A Practical and Powerful Approach to Multiple Testing. J. R. Stat. Soc. Ser. B Methodol. 1995, 57, 289–300. [Google Scholar] [CrossRef]
- Oksanen, J.; Blanchet, F.G.; Friendly, M.; Kindt, R.; Legendre, P.; McGlinn, D.; Minchin, P.; O’Hara, R.; Simpson, G.; Solymos, P. Vegan: Community Ecology Package. R Package Version 2.5-7. 2020. 2021. Available online: https://cran.r-project.org/web/packages/vegan/vegan.pdf (accessed on 1 September 2022).
- Costerton, W.; Lewandowski, Z. Microbial Biofilms. Annu. Rev. Microbiol. 1995, 49, 711–745. [Google Scholar] [CrossRef] [PubMed]
- Instituto de Fomento Pesquero, IFOP. Evaluación de Los Efectos de Las Pinturas Anti-Incrustantes en Las Comunidades Bentónicas Del Medio Marino; Instituto De Fomento Pesquero(IFOP): Valparaíso, Chile, 2017; p. 362. [Google Scholar]
- Lagerström, M.; Wrange, A.-L.; Oliveira, D.R.; Granhag, L.; Larsson, A.I.; Ytreberg, E. Are Silicone Foul-Release Coatings a Viable and Environmentally Sustainable Alternative to Biocidal Antifouling Coatings in the Baltic Sea Region? Mar. Pollut. Bull. 2022, 184, 114102. [Google Scholar] [CrossRef]
- Swain, G.; Herpe, S.; Ralston, E.; Tribou, M. Short-Term Testing of Antifouling Surfaces: The Importance of Colour. Biofouling 2006, 22, 425–429. [Google Scholar] [CrossRef]
- Arboleda-Baena, C.; Pareja, C.B.; Pla, I.; Logares, R.; De la Iglesia, R.; Navarrete, S.A. Hidden Interactions in the Intertidal Rocky Shore: Variation in Pedal Mucus Microbiota among Marine Grazers That Feed on Epilithic Biofilm Communities. PeerJ 2022, 10, e13642. [Google Scholar] [CrossRef] [PubMed]
- Bram, J.B.; Page, H.M.; Dugan, J.E. Spatial and Temporal Variability in Early Successional Patterns of an Invertebrate Assemblage at an Offshore Oil Platform. J. Exp. Mar. Biol. Ecol. 2005, 317, 223–237. [Google Scholar] [CrossRef]
- Glasby, T.; Connell, S. Orientation and Position of Substrata Have Large Effects on Epibiotic Assemblages. Mar. Ecol. Prog. Ser. 2001, 214, 127–135. [Google Scholar] [CrossRef]
- Denny, M.W. Life in the Maelstrom: The Biomechanics of Wave-Swept Rocky Shores. Trends Ecol. Evol. 1987, 2, 61–66. [Google Scholar] [CrossRef] [PubMed]
- Thiel, M.; Macaya, E.; Acuña, E.; Arntz, W.; Bastias, H.; Brokordt, K.; Camus, P.; Castilla, J.; Castro, L.; Cortés, M.; et al. The Humboldt Current System of Northern and Central Chile: Oceanographic Processes, Ecological Interactions And Socioeconomic Feedback. In Oceanography and Marine Biology: An Annual Review; Gibson, R., Atkinson, R., Gordon, J., Eds.; CRC Press: Boca Raton, FL, USA, 2007; Volume 45, pp. 195–344. ISBN 978-1-4200-5093-6. [Google Scholar] [CrossRef]
- Baldanzi, S.; Vargas, I.T.; Armijo, F.; Fernández, M.; Navarrete, S.A. Experimental Assessment of a Conducting Polymer (PEDOT) and Microbial Biofilms as Deterrents and Facilitators of Macro-Biofouling: Larval Settlement of the Barnacle Notobalanus Flosculus (Darwin, 1854) from Central Chile. J. Mar. Sci. Eng. 2021, 9, 82. [Google Scholar] [CrossRef]








| Treatment | Main Effects Hypotheses | Planned Contrasts |
|---|---|---|
| Exposure time | Biomass accumulation means are different between early and late succession | First6 and Second6 versus Yearly |
| Biomass accumulation means are different between the first and second parts of the experiment | First6 versus Second6 | |
| Traditional maritime industry materials and AF coatings | Traditional materials are different from copper-based, not eco-friendly, AF coatings | Acrylic and SS316 versus OJ33 and F21 |
| “Eco-friendly” strategies and copper-based, not eco-friendly, AF coatings | “Eco-friendly” strategies are different from copper-based, not eco-friendly AF coatings | Micanti and CDP versus OJ33 and F21 |
| “Eco-friendly” AF strategies | The two “eco-friendly” strategies are different | Micanti versus CDP |
Disclaimer/Publisher’s Note: The statements, opinions and data contained in all publications are solely those of the individual author(s) and contributor(s) and not of MDPI and/or the editor(s). MDPI and/or the editor(s) disclaim responsibility for any injury to people or property resulting from any ideas, methods, instructions or products referred to in the content. |
© 2023 by the authors. Licensee MDPI, Basel, Switzerland. This article is an open access article distributed under the terms and conditions of the Creative Commons Attribution (CC BY) license (https://creativecommons.org/licenses/by/4.0/).
Share and Cite
Arboleda-Baena, C.; Osiadacz, N.; Parragué, M.; González, A.E.; Fernández, M.; Finke, G.R.; Navarrete, S.A. Assessing Efficacy of “Eco-Friendly” and Traditional Copper-Based Antifouling Materials in a Highly Wave-Exposed Environment. J. Mar. Sci. Eng. 2023, 11, 217. https://doi.org/10.3390/jmse11010217
Arboleda-Baena C, Osiadacz N, Parragué M, González AE, Fernández M, Finke GR, Navarrete SA. Assessing Efficacy of “Eco-Friendly” and Traditional Copper-Based Antifouling Materials in a Highly Wave-Exposed Environment. Journal of Marine Science and Engineering. 2023; 11(1):217. https://doi.org/10.3390/jmse11010217
Chicago/Turabian StyleArboleda-Baena, Clara, Nicole Osiadacz, Mirtala Parragué, Andrés E. González, Miriam Fernández, Gerhard R. Finke, and Sergio A. Navarrete. 2023. "Assessing Efficacy of “Eco-Friendly” and Traditional Copper-Based Antifouling Materials in a Highly Wave-Exposed Environment" Journal of Marine Science and Engineering 11, no. 1: 217. https://doi.org/10.3390/jmse11010217
APA StyleArboleda-Baena, C., Osiadacz, N., Parragué, M., González, A. E., Fernández, M., Finke, G. R., & Navarrete, S. A. (2023). Assessing Efficacy of “Eco-Friendly” and Traditional Copper-Based Antifouling Materials in a Highly Wave-Exposed Environment. Journal of Marine Science and Engineering, 11(1), 217. https://doi.org/10.3390/jmse11010217

