Strength Behaviors and Constitutive Model of Gas-Saturated Methane Hydrate-Bearing Sediment in Gas-Rich Phase Environment
Abstract
1. Introduction
2. Materials and Methods
2.1. Triaxial Testing Apparatus
2.2. Sample Preparation
3. Results
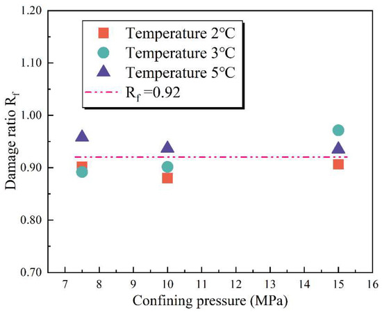
3.1. Experimental Reproducibility Verification
3.2. Stress–Strain Curves
3.3. Shear Strength
3.4. Initial Yield Strain
3.5. Strength Degradation
4. Constitutive Model
5. Conclusions
Author Contributions
Funding
Institutional Review Board Statement
Informed Consent Statement
Data Availability Statement
Conflicts of Interest
References
- Li, G.; Tian, S.; Zhang, Y. Research progress on key technologies of natural gas hydrate exploitation by cavitation jet drilling of radial wells. Pet. Sci. Bull. 2020, 5, 349–365. [Google Scholar]
- Waite, W.F.; Santamarina, J.C.; Cortes, D.D.; Dugan, B.; Espinoza, D.N.; Germaine, J.; Jang, J.; Jung, J.W.; Kneafsey, T.J.; Shin, H.; et al. Physical properties of hydrate-bearing sediments. Rev. Geophys. 2009, 47, RG4003. [Google Scholar] [CrossRef]
- Lee, S.-Y.; Holder, G.D. Methane hydrates potential as a future energy source. Fuel Process. Technol. 2001, 71, 181–186. [Google Scholar] [CrossRef]
- Song, Y.; Yang, L.; Zhao, J.; Liu, W.; Yang, M.; Li, Y.; Liu, Y.; Li, Q. The status of natural gas hydrate research in China: A review. Renew. Sustain. Energy Rev. 2014, 31, 778–791. [Google Scholar] [CrossRef]
- Boswell, R.; Collett, T.S. Current perspectives on gas hydrate resources. Energy Environ. Sci. 2011, 4, 1206–1215. [Google Scholar] [CrossRef]
- Moridis, G.J.J.; Collett, T.S.S.; Pooladi-Darvish, M.; Hancock, S.; Santamarina, C.; Boswell, R.; Kneafsey, T.; Rutqvist, J.; Kowalsky, M.B.B.; Reagan, M.T.T.; et al. Challenges, Uncertainties, and Issues Facing Gas Production From Gas-Hydrate Deposits. SPE Reserv. Eval. Eng. 2011, 14, 76–112. [Google Scholar] [CrossRef]
- Zhang, Y.; Wang, W.; Zhang, P.; Li, G.; Tian, S.; Lu, J.; Zhang, B. A Solution to Sand Production from Natural Gas Hydrate Deposits with Radial Wells: Combined Gravel Packing and Sand Screen. J. Mar. Sci. Eng. 2022, 10, 71. [Google Scholar] [CrossRef]
- Xu, W.; Germanovich, L.N. Excess pore pressure resulting from methane hydrate dissociation in marine sediments: A theoretical approach. J. Geophys. Res. Solid Earth 2006, 111, B01104. [Google Scholar] [CrossRef]
- Wang, P.; Teng, Y.; Zhu, J.; Bao, W.; Han, S.; Li, Y.; Zhao, Y.; Xie, H. Review on the synergistic effect between metal–organic frameworks and gas hydrates for CH4 storage and CO2 separation applications. Renew. Sustain. Energy Rev. 2022, 167, 112807. [Google Scholar] [CrossRef]
- Priest, J.A.; Rees, E.V.L.; Clayton, C.R.I. Influence of gas hydrate morphology on the seismic velocities of sands. J. Geophys. Res. Solid Earth 2009, 114, B11205. [Google Scholar] [CrossRef]
- Dickens, G.R.; Quinby-Hunt, M.S. Methane hydrate stability in pore water: A simple theoretical approach for geophysical applications. J. Geophys. Res. Solid Earth 1997, 102, 773–783. [Google Scholar] [CrossRef]
- Waite, W.F.; Kneafsey, T.J.; Winters, W.J.; Mason, D.H. Physical property changes in hydrate-bearing sediment due to depressurization and subsequent repressurization. J. Geophys. Res. Solid Earth 2008, 113, B07102. [Google Scholar] [CrossRef]
- Brugada, J.; Cheng, Y.P.; Soga, K.; Santamarina, J.C. Discrete element modelling of geomechanical behaviour of methane hydrate soils with pore-filling hydrate distribution. Granul. Matter 2010, 12, 517–525. [Google Scholar] [CrossRef]
- Kou, X.; Li, X.-S.; Wang, Y.; Liu, J.-W.; Chen, Z.-Y. Effects of gas occurrence pattern on distribution and morphology characteristics of gas hydrates in porous media. Energy 2021, 226, 120401. [Google Scholar] [CrossRef]
- Lei, L.; Seol, Y.; Choi, J.-H.; Kneafsey, T.J. Pore habit of methane hydrate and its evolution in sediment matrix–Laboratory visualization with phase-contrast micro-CT. Mar. Pet. Geol. 2019, 104, 451–467. [Google Scholar] [CrossRef]
- Masui, A.; Haneda, H.; Ogata, Y.; Aoki, K. Effects of Methane Hydrate Formation On Shear Strength of Synthetic Methane Hydrate Sediments. In Proceedings of the Fifteenth International Offshore and Polar Engineering Conference, Seoul, Korea, 19–24 June 2005. [Google Scholar]
- Hyodo, M.; Yoneda, J.; Yoshimoto, N.; Nakata, Y. Mechanical and dissociation properties of methane hydrate-bearing sand in deep seabed. Soils Found. 2013, 53, 299–314. [Google Scholar] [CrossRef]
- Kajiyama, S.; Wu, Y.; Hyodo, M.; Nakata, Y.; Nakashima, K.; Yoshimoto, N. Experimental investigation on the mechanical properties of methane hydrate-bearing sand formed with rounded particles. J. Nat. Gas Sci. Eng. 2017, 45, 96–107. [Google Scholar] [CrossRef]
- Winters, W.J.; Waite, W.F.; Mason, D.H.; Gilbert, L.Y.; Pecher, I.A. Methane gas hydrate effect on sediment acoustic and strength properties. J. Pet. Sci. Eng. 2007, 56, 127–135. [Google Scholar] [CrossRef]
- Hyodo, M.; Li, Y.; Yoneda, J.; Nakata, Y.; Yoshimoto, N.; Nishimura, A.; Song, Y. Mechanical behavior of gas-saturated methane hydrate-bearing sediments. J. Geophys. Res. Solid Earth 2013, 118, 5185–5194. [Google Scholar] [CrossRef]
- Hayley, J. Undrained shear strength of methane hydrate-bearing sand: Preliminary laboratory results. In Proceedings of the 63rd Canadian Geotechnical Conference & 6th Canadian Permafrost Conference, Calgary, AB, Canada, 12–16 September 2010. [Google Scholar]
- Winters, W.J.; Pecher, I.A.; Waite, W.F.; Mason, D.H. Physical properties and rock physics models of sediment containing natural and laboratory-formed methane gas hydrate. Am. Mineral. 2004, 89, 1221–1227. [Google Scholar] [CrossRef]
- Masui, A.; Haneda, H.; Ogata, Y.; Aoki, K. Mechanical Properties of Sandy Sediment Containing Marine Gas Hydrates In Deep Sea Offshore Japan. In Proceedings of the Seventh ISOPE Ocean Mining Symposium, Lisbon, Portugal, 1–6 July 2007. [Google Scholar]
- Hyodo, M.; Nakata, Y.; Yoshimoto, N.; Orense, R. Shear Behavior of Methane Hydrate-bearing Sand. In Proceedings of the Seventeenth International Offshore and Polar Engineering Conference, Lisbon, Portugal, 1–6 July 2007. [Google Scholar]
- Yun, T.S.; Santamarina, J.C.; Ruppel, C. Mechanical properties of sand, silt, and clay containing tetrahydrofuran hydrate. J. Geophys. Res. Solid Earth 2007, 112, B04106. [Google Scholar] [CrossRef]
- Winters, W.J.; Wilcox-Cline, R.W.; Long, P.; Dewri, S.K.; Kumar, P.; Stern, L.; Kerr, L. Comparison of the physical and geotechnical properties of gas-hydrate-bearing sediments from offshore India and other gas-hydrate-reservoir systems. Mar. Pet. Geol. 2014, 58, 139–167. [Google Scholar] [CrossRef]
- Song, Y.; Yu, F.; Li, Y.; Liu, W.; Zhao, J. Mechanical property of artificial methane hydrate under triaxial compression. J. Nat. Gas Chem. 2010, 19, 246–250. [Google Scholar] [CrossRef]
- Miyazaki, K.; Masui, A.; Sakamoto, Y.; Tenma, N.; Yamaguchi, T. Effect of Confining Pressure on Triaxial Compressive Properties of Artificial Methane Hydrate Bearing Sediments. In Proceedings of the Offshore Technology Conference, Houston, Texas, USA, 3–6 May 2010. [Google Scholar]
- Miyazaki, K.; Masui, A.; Sakamoto, Y.; Aoki, K.; Tenma, N.; Yamaguchi, T. Triaxial compressive properties of artificial methane-hydrate-bearing sediment. J. Geophys. Res. Solid Earth 2011, 116, B06102. [Google Scholar] [CrossRef]
- Priest, J.A.; Druce, M.; Roberts, J.; Schultheiss, P.; Nakatsuka, Y.; Suzuki, K. PCATS Triaxial: A new geotechnical apparatus for characterizing pressure cores from the Nankai Trough, Japan. Mar. Pet. Geol. 2015, 66, 460–470. [Google Scholar] [CrossRef]
- Miyazaki, K.; Tenma, N.; Aoki, K.; Yamaguchi, T. A Nonlinear Elastic Model for Triaxial Compressive Properties of Artificial Methane-Hydrate-Bearing Sediment Samples. Energies 2012, 5, 4057–4075. [Google Scholar] [CrossRef]
- Song, Y.; Zhu, Y.; Liu, W.; Li, Y.; Lu, Y.; Shen, Z. The effects of methane hydrate dissociation at different temperatures on the stability of porous sediments. J. Pet. Sci. Eng. 2016, 147, 77–86. [Google Scholar] [CrossRef]
- Li, Y.; Song, Y.; Liu, W.; Yu, F.; Wang, R. A new strength criterion and constitutive model of gas hydrate-bearing sediments under high confining pressures. J. Pet. Sci. Eng. 2013, 109, 45–50. [Google Scholar] [CrossRef]
- Yan, C.; Cheng, Y.; Li, M.; Han, Z.; Zhang, H.; Li, Q.; Teng, F.; Ding, J. Mechanical experiments and constitutive model of natural gas hydrate reservoirs. Int. J. Hydrogen. Energy 2017, 42, 19810–19818. [Google Scholar] [CrossRef]
- Li, D.; Wu, Q.; Wang, Z.; Lu, J.; Liang, D.; Li, X. Tri-Axial Shear Tests on Hydrate-Bearing Sediments during Hydrate Dissociation with Depressurization. Energies 2018, 11, 1819. [Google Scholar] [CrossRef]
- Gambelli, A.M.; Tinivella, U.; Giovannetti, R.; Castellani, B.; Giustiniani, M.; Rossi, A.; Zannotti, M.; Rossi, F. Observation of the Main Natural Parameters Influencing the Formation of Gas Hydrates. Energies 2021, 14, 1803. [Google Scholar] [CrossRef]
- Zhang, H.; Hailong, L.; Liang, J.; Wu, N. The methane hydrate accumulation controlled compellingly by sediment grain at Shenhu, northern South China Sea. Chin. Sci. Bull. 2016, 61, 388–397. [Google Scholar] [CrossRef]
- Liang, J.; Wang, H.; Su, X.; Fu, S.; Wang, L.; Guo, Y.; Chen, F.; Shang, J. Natural gas hydrate formation conditions and the associated controlling factors in the northern slope of the South China Sea. Nat. Gas Ind. 2014, 34, 128–135. [Google Scholar]
- Zhang, W.; Liang, J.; Lu, J.; Wei, J.; Su, P.; Fang, Y.; Guo, Y.; Yang, S.; Zhang, G. Accumulation features and mechanisms of high saturation natural gas hydrate in Shenhu Area, northern South China Sea. Pet. Explor. Dev. 2017, 44, 670–680. [Google Scholar] [CrossRef]
- Prévost, J.-H.; Höeg, K. Soil mechanics and plasticity analysis of strain softening. Géotechnique 1975, 25, 279–297. [Google Scholar] [CrossRef]
- Li, Y.; Song, Y.; Liu, W.; Yu, F.; Wang, R.; Nie, X. Analysis of Mechanical Properties And Strength Criteria of Methane Hydrate-Bearing Sediments. Int. J. Offshore Polar Eng. 2012, 22, 290–296. [Google Scholar]
- Ma, W.; Wu, Z.; Zhang, L.; Chang, X. Analyses of process on the strength decrease in frozen soils under high confining pressures. Cold Reg. Sci. Technol. 1999, 29, 1–7. [Google Scholar] [CrossRef]
- Alkire, B.D.; Andersland, O.B. The Effect of Confining Pressure on the Mechanical Properties of Sand–Ice Materials. J. Glaciol. 1973, 12, 469–481. [Google Scholar] [CrossRef]
- Zhu, Y.; Carbee, D.L. Uniaxial compressive strength of frozen silt under constant deformation rates. Cold Reg. Sci. Technol. 1984, 9, 3–15. [Google Scholar] [CrossRef]
- Fang, Z.; Harrison, J.P. A mechanical degradation index for rock. Int. J. Rock Mech. Min. Sci. 2001, 38, 1193–1199. [Google Scholar] [CrossRef]
- Duncan, J.M.; Chang, C.-Y. Nonlinear Analysis of Stress and Strain in Soils. J. Soil Mech. Found. Div. 1970, 96, 1629–1653. [Google Scholar] [CrossRef]
















| Temperature | 2 °C | 3 °C | 5 °C | ||||||
|---|---|---|---|---|---|---|---|---|---|
| 7.5 | 10 | 15 | 7.5 | 10 | 15 | 7.5 | 10 | 15 | |
| Shear strength , MPa | 16.22 | 24.69 | 20.22 | 13.47 | 18.73 | 17.20 | 4.34 | 10.35 | 6.51 |
| Degraded strength , MPa | 14.88 | 24.04 | 18.12 | 11.83 | 18.25 | 16.19 | 4.22 | 9.63 | 5.86 |
| Strength degradation , MPa | 1.34 | 0.65 | 2.10 | 1.64 | 0.48 | 1.01 | 0.12 | 0.72 | 0.65 |
| Temperature, °C | 2 °C | 3 °C | 5 °C | |||
|---|---|---|---|---|---|---|
| Coefficients | ||||||
| 7.5 MPa | 8.78 × 10−4 | 5.56 × 10−2 | 1.47 × 10−3 | 5.14 × 10−2 | 1.76 × 10−3 | 2.21 × 10−1 |
| 10 MPa | 5.55 × 10−4 | 3.56 × 10−2 | 6.41 × 10−4 | 4.76 × 10−2 | 9.25 × 10−4 | 9.05 × 10−2 |
| 15 MPa | 3.30 × 10−4 | 4.98 × 10−2 | 4.02 × 10−4 | 5.65 × 10−2 | 5.75 × 10−4 | 1.59 × 10−1 |
| Temperature, °C | 2 °C | 3 °C | 5 °C | |
|---|---|---|---|---|
| Coefficients | ||||
| 7.5 MPa | 1.88 | 4.06 | 3.83 | 3.75 |
| 10 MPa | 2.00 | 4.26 | 4.19 | 4.03 |
| 15 MPa | 2.18 | 4.48 | 4.40 | 4.24 |
Disclaimer/Publisher’s Note: The statements, opinions and data contained in all publications are solely those of the individual author(s) and contributor(s) and not of MDPI and/or the editor(s). MDPI and/or the editor(s) disclaim responsibility for any injury to people or property resulting from any ideas, methods, instructions or products referred to in the content. |
© 2023 by the authors. Licensee MDPI, Basel, Switzerland. This article is an open access article distributed under the terms and conditions of the Creative Commons Attribution (CC BY) license (https://creativecommons.org/licenses/by/4.0/).
Share and Cite
Sun, Y.; Zhang, Y.; Liu, L.; Lu, J.; Tian, S.; Li, G. Strength Behaviors and Constitutive Model of Gas-Saturated Methane Hydrate-Bearing Sediment in Gas-Rich Phase Environment. J. Mar. Sci. Eng. 2023, 11, 142. https://doi.org/10.3390/jmse11010142
Sun Y, Zhang Y, Liu L, Lu J, Tian S, Li G. Strength Behaviors and Constitutive Model of Gas-Saturated Methane Hydrate-Bearing Sediment in Gas-Rich Phase Environment. Journal of Marine Science and Engineering. 2023; 11(1):142. https://doi.org/10.3390/jmse11010142
Chicago/Turabian StyleSun, Yuqi, Yiqun Zhang, Li Liu, Jingsheng Lu, Shouceng Tian, and Gensheng Li. 2023. "Strength Behaviors and Constitutive Model of Gas-Saturated Methane Hydrate-Bearing Sediment in Gas-Rich Phase Environment" Journal of Marine Science and Engineering 11, no. 1: 142. https://doi.org/10.3390/jmse11010142
APA StyleSun, Y., Zhang, Y., Liu, L., Lu, J., Tian, S., & Li, G. (2023). Strength Behaviors and Constitutive Model of Gas-Saturated Methane Hydrate-Bearing Sediment in Gas-Rich Phase Environment. Journal of Marine Science and Engineering, 11(1), 142. https://doi.org/10.3390/jmse11010142

