Larval Fish Spatiotemporal Dynamics of Different Ecological Guilds in Yangtze Estuary
Abstract
1. Introduction
2. Materials and Methods
2.1. Study Area
2.2. Sampling Surveys and Data Collection
2.3. Data Analyses
3. Results
3.1. Hydrographic Conditions
3.2. The Composition and Abundance of Larval Fish
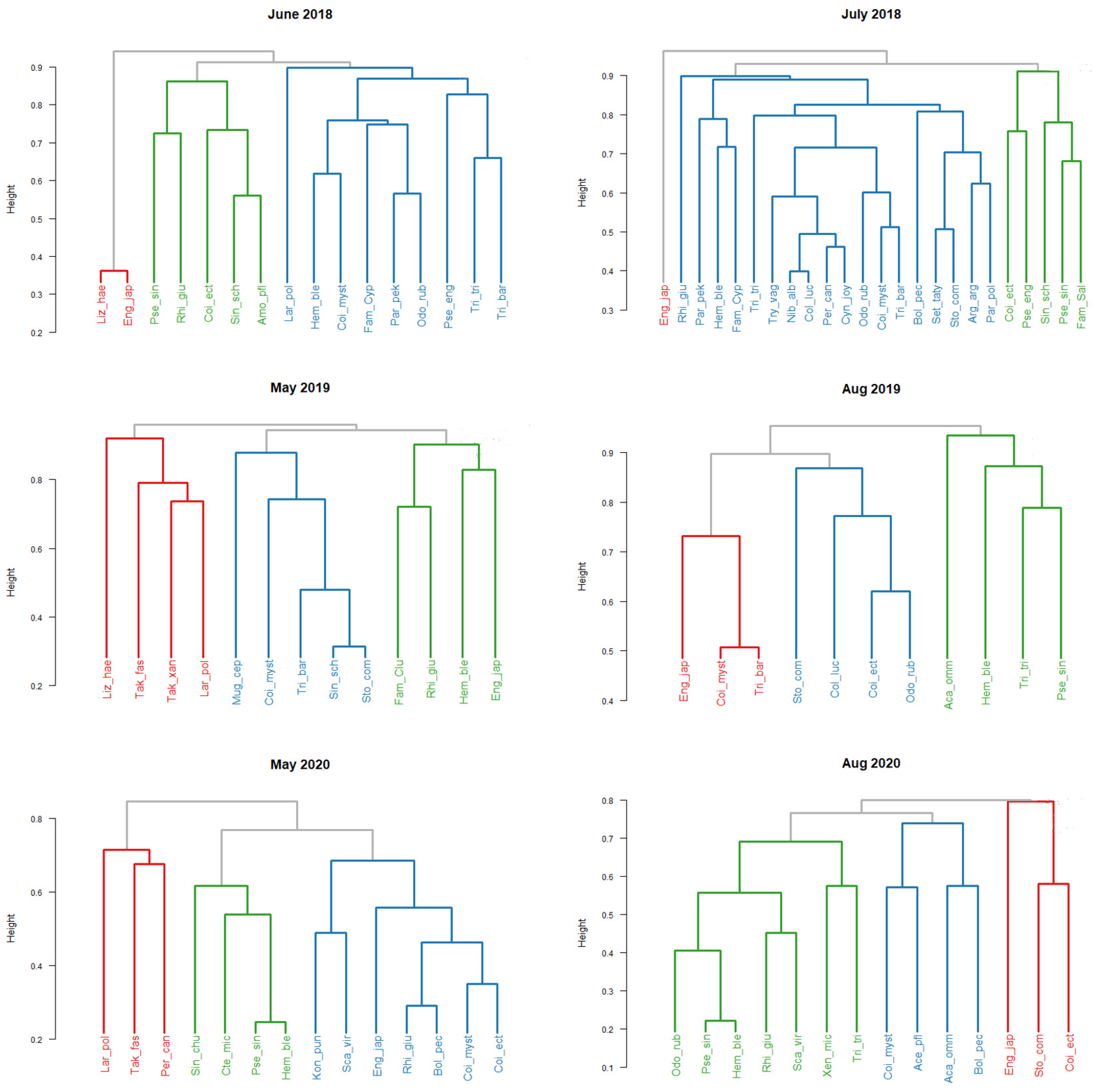
3.3. Spatial Heterogeneity of Communities
3.4. Relationship between Environmental Factors and Community Structure
4. Discussion
5. Conclusions
Author Contributions
Funding
Institutional Review Board Statement
Informed Consent Statement
Data Availability Statement
Acknowledgments
Conflicts of Interest
Appendix A
| Family | Species | Code | EG | Total Abundance (ind. /100 m3) | Occurrence in Samples |
|---|---|---|---|---|---|
| Megalopidae | Megalops cyprinoides | B | 1.02 | 2 | |
| Clupeidae | Sardinella zunasi | M | 13.93 | 2 | |
| Sardinella spp. | M | 57.12 | 6 | ||
| Ilisha elongate | M | 24.21 | 4 | ||
| Konosirus punctatus | Kon_pun | B | 97.44 | 12 | |
| Clupeidae spp. | M | 6.83 | 3 | ||
| Engraulidae | Engraulis japonicus | Eng_jap | M | 11,450.02 | 130 |
| Stolephorus commersonii | Sto_com | M | 711.86 | 48 | |
| Stolephorus spp. | M | 6.44 | 2 | ||
| Setipinna taty | Set_taty | M | 44.25 | 14 | |
| Coilia mystus | Coi_myst | B | 17,124.26 | 165 | |
| Coilia ectenes | Coi_ect | B | 3926.86 | 60 | |
| Salangidae | Neosalanx tangkahkeii | F | 48.09 | 11 | |
| Neosalanx jordani | F | 6.32 | 2 | ||
| Protosalanx chinensis | F | 23.75 | 3 | ||
| Neosalanx anderssoni | F | 0.24 | 1 | ||
| Hemisalanx prognathus | F | 4.73 | 2 | ||
| Salangidae spp. | Fam_Sal | F | 104.99 | 9 | |
| Synodontidae | Saurida elongata | M | 18.71 | 5 | |
| Harpadon nehereus | M | 12.26 | 6 | ||
| Anguillidae | Anguilla japonica | M | 0.46 | 1 | |
| Cyprinidae | Elopichthys bambusa | F | 0.53 | 1 | |
| Ctenopharyngodon idellus | F | 1.70 | 2 | ||
| Mylopharyngodon piceus | F | 3.49 | 3 | ||
| Cultrichthys erythropterus | F | 3.20 | 5 | ||
| Parabramis pekinensis | Par_pek | F | 40.10 | 23 | |
| Hemiculter bleekeri | Hem_ble | F | 4406.88 | 111 | |
| Hemiculter spp. | F | 21.57 | 1 | ||
| Pseudolaubuca sinensis | Pse_sin | F | 4395.62 | 96 | |
| Pseudolaubuca engraulis | Pse_eng | F | 135.65 | 18 | |
| Pseudorasbora parva | F | 15.77 | 3 | ||
| Xenocypris microlepis | Xen_mic | F | 25.56 | 11 | |
| Squalidus argentatus | F | 2.64 | 2 | ||
| Saurogobio dabryi | F | 21.98 | 3 | ||
| Acheilognathin spp. | F | 1.94 | 2 | ||
| Cyprinus carpio | F | 0.60 | 1 | ||
| Carassius auratus | F | 1.83 | 3 | ||
| Toxabramis swinhonis | F | 3.46 | 3 | ||
| Cyprinidae spp. | Fam_Cyp | F | 643.81 | 20 | |
| Siluridae | Silurus asotus | F | 2.57 | 5 | |
| Hemirhamphidae | Hyporhamphus intermedius | M | 0.57 | 1 | |
| Mugilidae | Liza haematocheila | Liz_hae | M | 88.40 | 25 |
| Mugil cephalus | Mug_cep | B | 42.56 | 4 | |
| Polynemidae | Eleutheronema rhadinum | B | 0.24 | 1 | |
| Serranidae | Lateolabrax maculatus | B | 33.58 | 22 | |
| Siniperca chuatsi | F | 133.97 | 27 | ||
| Siniperca scherzeri | F | 46.43 | 25 | ||
| Apogonidae | Apogonichthys lineatus | M | 183.05 | 1 | |
| Sillaginidae | Sillago sihama | M | 3.68 | 2 | |
| Sciaenidae | Johnius belengerii | M | 0.47 | 1 | |
| Nibea albiflora | Nib_alb | M | 32.89 | 18 | |
| Argyrosomus argentata | Arg_arg | M | 60.45 | 21 | |
| Argyrosomus japonicus | M | 0.41 | 1 | ||
| Larimichthys polyactis | Lar_pol | M | 265.41 | 30 | |
| Collichthys niveatus | M | 1.24 | 1 | ||
| Collichthys lucidus | Col_luc | M | 131.87 | 30 | |
| Miichthys miiuy | M | 3.57 | 1 | ||
| Pomadasyidae | Hapaloyenys mucronatus | M | 0.88 | 2 | |
| Theraponidae | Therapon spp. | M | 1.26 | 2 | |
| Therapon jarbua | M | 0.96 | 1 | ||
| Blenniidae | Omobranchus elegans | M | 1.99 | 4 | |
| Blenniidae spp. | M | 0.28 | 1 | ||
| Zoarcidae | Zoarcidae spp. | M | 1.19 | 1 | |
| Ammodytidae | Ammodytes personatus | M | 1.27 | 2 | |
| Eleotridae | Valenciennea sp. | B | 0.36 | 1 | |
| Gobiidae | Acanthogobius flavimanus | B | 39.70 | 7 | |
| Acanthogobius ommaturus | Aca_omm | B | 61.87 | 40 | |
| Amblychaeturichthys hexanema | B | 24.13 | 14 | ||
| Amoya pflaumi | Amo_pfl | B | 79.20 | 9 | |
| Glossogobius olivaceus | B | 7.08 | 5 | ||
| Lophiogobius ocellicauda | B | 0.89 | 1 | ||
| Parachaeturichthys polynema | Par_pol | B | 1907.09 | 14 | |
| Pseudogobius javanicus | B | 17.45 | 13 | ||
| Rhinogobius giurinus | Rhi_giu | B | 1160.88 | 119 | |
| Tridentiger barbatus | Tri_bar | B | 503.16 | 77 | |
| Tridentiger trigonocephalus | Tri_tri | B | 84.23 | 43 | |
| Boleophthalmus pectinirostris | Bol_pec | B | 3443.26 | 66 | |
| Periophthalmus cantonensis | B | 80.59 | 27 | ||
| Scartelaos virids | Sca_vir | B | 239.33 | 61 | |
| Ctenotrypauchen chinensis | B | 0.60 | 1 | ||
| Ctenotrypauchen microcephalus | Cte_mic | B | 164.16 | 20 | |
| Odontamblyopus rubicundus | Odo_rub | B | 507.12 | 88 | |
| Trypauchen vagina | Try_vag | B | 142.26 | 24 | |
| Polyspondylogobius sinensis | B | 1.68 | 2 | ||
| Luciogobius guttatus | B | 5.69 | 6 | ||
| Cryptocentrus filifer | B | 18.03 | 10 | ||
| Amblychaeturichthys sciistius | B | 0.37 | 1 | ||
| Acentrogobius pflaumii | Ace_pfl | B | 67.93 | 30 | |
| Acanthogobius lactipes | B | 0.37 | 1 | ||
| Gobiidae spp. | B | 23.89 | 3 | ||
| Trichiuridae | Trichiurus japonicus | M | 0.57 | 2 | |
| Stromateidae | Pampus cinereus | M | 0.26 | 1 | |
| Pampus echinogaster | M | 0.70 | 2 | ||
| Cynoglossidae | Cynoglossus joyneri | Cyn_joy | B | 11.95 | 9 |
| Cynoglossus robutus | B | 1.40 | 1 | ||
| Tetraodontidae | Takifugu fasciatus | Tak_fas | M | 81.90 | 29 |
| Takifugu xanthopterus | Tak_xan | M | 8.69 | 4 | |
| Unidentified spp1. | 0.36 | 1 | |||
| Unidentified spp2. | 45.08 | 7 |


References
- Elliott, M. The forth estuary: A nursery and overwintering area for North Sea fishes. Hydrobiologia 1990, 195, 89–103. [Google Scholar] [CrossRef]
- Wasserman, R.J.; Strydom, N.A. The importance of estuary head waters as nursery areas for young estuary- and marine-spawned fishes in temperate South Africa. Estuar. Coast. Shelf Sci. 2011, 94, 56–67. [Google Scholar] [CrossRef]
- Sheaves, M.; Johnston, R.; Connolly, R.M.; Baker, R. Importance of estuarine mangroves to juvenile banana prawns. Estuar. Coast. Shelf Sci. 2012, 114, 208–219. [Google Scholar] [CrossRef]
- Zhang, H.; Xian, W.W.; Liu, S.D. Ichthyoplankton assemblage structure of springs in the Yangtze Estuary revealed by biological and environmental visions. PeerJ 2015, 3, e1186. [Google Scholar] [CrossRef] [PubMed]
- Whitfield, A.K. Why are there so few freshwater fish species in most estuaries? J. Fish Biol. 2015, 86, 1227–1250. [Google Scholar] [CrossRef]
- Human, L.R.D.; Snow, G.C.; Adams, J.B. Responses in a temporarily open/closed estuary to natural and artificial mouth breaching. S. Afr. J. Bot. 2015, 107, 39–48. [Google Scholar] [CrossRef]
- Zhang, H.; Xian, W.W.; Liu, S.D. Autumn ichthyoplankton assemblage in the Yangtze Estuary shaped by environmental factors. PeerJ 2016, 4, e1922. [Google Scholar] [CrossRef]
- Ren, P.; Hu, H.; Song, Y.Q.; Cheng, F.; Xie, S.G. The spatial pattern of larval fish assemblages in the lower reach of the Yangtze River: Potential influences of river-lake connectivity and tidal intrusion. Hydrobiologia 2016, 769, 105–120. [Google Scholar] [CrossRef]
- Elliott, M.; Whitfield, A.K.; Potter, I.C.; Blaber, S.J.M.; Cyrus, D.P.; Nordlie, F.G.; Harrison, T.D. The guild approach to categorizing estuarine fish assemblages: A global review. Fish Fish. 2007, 8, 241–268. [Google Scholar] [CrossRef]
- Whitfield, A.K. Ichthyofaunal assemblages in estuaries: A South African case study. Rev. Fish Biol. Fish. 1999, 9, 151–186. [Google Scholar] [CrossRef]
- Ramos, S.; Cowen, R.K.; Pedro, R.; Bordalo, A. Temporal and spatial distributions of larval fish assemblages in the Lima estuary (Portugal). Estuar. Coast. Shelf Sci. 2006, 66, 303–314. [Google Scholar] [CrossRef]
- Potter, I.C.; Tweedley, J.R.; Elliott, M.; Whitfield, A.K. The ways in which fish use estuaries: A refinement and expansion of the guild approach. Fish Fish. 2015, 16, 230–239. [Google Scholar] [CrossRef]
- Yang, D.L.; Wu, G.Z.; Sun, J.R. The investigation of pelagic eggs, larvae and juveniles of fishes at the mouth of the Changjiang River and adjacent areas. Oceanol. Limnol. Sin. 1990, 21, 346–354. (In Chinese) [Google Scholar]
- Zhang, H.; Xian, W.W.; Liu, S.D. Seasonal variations of the ichthyoplankton assemblage in the Yangtze Estuary and its relationship with environmental factors. PeerJ 2019, 7, e6482. [Google Scholar] [CrossRef] [PubMed]
- Harris, S.A.; Cyrus, D.P. Comparison of larval fish assemblages in three large estuarine systems, KwaZulu-Natal, South Africa. Mar. Biol. 2000, 137, 527–541. [Google Scholar] [CrossRef]
- Gao, L.; Cheng, F.; Song, Y.Q.; Jiang, W.; Feng, G.P.; Luo, Y.M.; Xie, S.G. Patterns of larval fish assemblages along the direction of freshwater input within the southern branch of the Yangtze Estuary, China: Implications for conservation. J. Freshw. Ecol. 2018, 33, 97–114. [Google Scholar] [CrossRef]
- González-Ortegón, E.; Subida, M.D.; Arias, A.M.; Baldó, F.; Cuesta, J.A.; Fernández-Delgado, C.; Vilas, C.; Drake, P. Nekton response to freshwater inputs in a temperate European Estuary with regulated riverine inflow. Sci. Total Environ. 2012, 440, 261–271. [Google Scholar] [CrossRef]
- Ramos, S.; Amorim, E.; Elliott, M.; Cabral, H.; Bordalo, A.A. Early life stages of fishes as indicators of estuarine ecosystem health. Ecol. Indic. 2012, 19, 172–183. [Google Scholar] [CrossRef]
- Ramos, S.; Cabral, H.; Elliott, M. Do fish larvae have advantages over adults and other components for assessing estuarine ecological quality? Ecol. Indic. 2015, 55, 74–85. [Google Scholar] [CrossRef]
- Santos, R.V.S.; Severi, W. Dynamics of early life-history stages of fish along an estuarine gradient. Fish. Oceanogr. 2019, 28, 402–418. [Google Scholar] [CrossRef]
- Miller, B.S.; Kendall, A.W. Development of eggs and larvae. In Early Life History of Marine Fishes; University of California Press: California, CA, USA, 2009; pp. 39–54. [Google Scholar]
- Moniruzzaman, M.; Bhowmick, A.R.; Karan, S.; Mukherjee, J. Spatial heterogeneity within habitat indicates the community assemblage pattern and life strategies. Ecol. Indic. 2021, 123, 107–365. [Google Scholar] [CrossRef]
- Sloterdijk, H.; Brehmer, P.; Sadio, O.; Müller, H.; Lilkendey, J.; Ekau, W. Composition and structure of the larval fish community related to environmental parameters in a tropical estuary impacted by climate change. Estuar. Coast. Shelf Sci. 2017, 197, 10–26. [Google Scholar] [CrossRef]
- Mahardja, B.; Young, M.J.; Schreier, B.; Sommer, T. Understanding imperfect detection in a San Francisco Estuary long-term larval and juvenile fish monitoring programme. Fish. Manag. Ecol. 2017, 24, 488–503. [Google Scholar] [CrossRef]
- Guan, L.; Dower, J.F.; Pepin, P. Characterizing spatial structures of larval fish assemblages at multiple scales in relation to environmental heterogeneity in the Strait of Georgia (British Columbia, Canada). Can. J. Fish. Aquat. Sci. 2018, 75, 1902–1914. [Google Scholar] [CrossRef]
- Tito de Morais, A.; Tito de Morais, L. The abundance and diversity of larval and juvenile fish in a tropical estuary. Estuaries 1994, 17, 216–225. [Google Scholar] [CrossRef]
- Li, Z.G.; Ye, Z.J.; Wan, R.; Chen, Y.; Tian, Y.J.; Ren, Y.P.; Liu, H.; Hu, H.S.; Boenish, L. Evaluating the relationship between spatial heterogeneity and temporal variability of larval fish assemblages in a coastal marine ecosystem (Haizhou Bay, China). Mar. Ecol. 2017, 38, 1–10. [Google Scholar] [CrossRef]
- Wan, R.J.; Feng, Z.; Shan, X.J.; Shan, S. Impacts of variability of habitat factors on species composition of ichthyoplankton and distribution of fish spawning ground in the Changjiang River estuary and its adjacent waters. Acta Ecol. Sin. 2010, 30, 155–165. [Google Scholar]
- Zhu, Y.X.; Zhou, B.; Zhao, J.J. Research on the Salinity Distribution and the Influence of Saltwater Intrusion in Yangtze River. Adv. Environ. Prot. 2014, 4, 25–33. [Google Scholar]
- Zhong, J.S.; Yu, W.W.; Liu, B.L.; Gong, X.L.; Fen, H.; Ding, F.Y. Seasonal occurrences of fish larvae and juveniles in the surf zone of the Yangtze River estuary. J. Shanghai Fish. Univ. 2005, 14, 375–382. [Google Scholar]
- Han, L.; Dai, X.J.; Yang, H.; Jiao, J.P. Investigation on the Resources Status of Fish Larvae and Juveniles in Yangtze Estuary Area. J. Anhui Agri. Sci 2009, 37, 6023–6026. (In Chinese) [Google Scholar]
- Shan, X.J.; Xian, W.W.; Wu, Y.F. Progress of studies on ichthyoplankton ecology of changjiang river estuary. Trans. Oceanol. Limnol. 2004, 4, 87–93. (In Chinese) [Google Scholar]
- Shan, X.J.; Xian, W.W.; Wu, Y.F. Dynamic Changes in the Ichthyoplankton Community Structure after the Sluice of the Three-Gorges Dam. Period. Ocean Univ. China 2005, 35, 936–940. (In Chinese) [Google Scholar]
- Liu, S.D.; Xian, W.W.; Liu, D. Characteristics of ichthyoplankton assemblage in Yangtze Estuary and adjacent waters in spring. Chin. J. Appl. Ecol. 2008, 19, 2284–2292. (In Chinese) [Google Scholar]
- Jiang, M.; Li, L.; Shen, X.Q.; Quan, W.M. Structure of community and biodiversity of larvae fish in spring and autumn 2010–2011 in Yangtze River Estuary and its adjacent waters. Acta Oceanol. Sin. 2014, 36, 131–137. (In Chinese) [Google Scholar]
- Jiang, M.; Li, L.; Shen, X.Q.; Quan, W.M. Comparison of inshore and offshore fish larval assemblages within the wider Yangtze River estuary (China). J. Appl. Ichthyol. 2016, 32, 97–104. [Google Scholar] [CrossRef]
- Zhang, R.Z.; Lu, H.F. Eggs and Larvae in the Offshore of China; Shanghai Scientific & Technical Publishers: Shanghai, China, 1985. (In Chinese) [Google Scholar]
- Qiao, Y. Early Morphogenesis and Species Identification of Fishes in Yangtze River; Institute of Hydrobiology, Chinese Academy of Science: Wuhan, China, 2005. (In Chinese) [Google Scholar]
- Wan, Y.Y.; Wang, L. Study on the seasonal estuarine turbidity maximum variations of the Yangtze Estuary, China. J. Waterw. Port Coast. Ocean Eng. 2018, 144, 05018002.1–05018002.15. [Google Scholar] [CrossRef]
- Zhu, X.H.; Liu, D.; Sha, X.K. Relationship between community structure of ichthyoplankton and environmental factors in the Estuary of Changjiang River in spring. Stud. Mar. Sin. 2002, 5, 169–179. (In Chinese) [Google Scholar]
- Ludwig, J.A.; Reynolds, J.F. Statistical Ecology: A Primer in Methods and Computing; John Wiley & Sons: Hoboken, NJ, USA, 1988. [Google Scholar]
- Rousseau, Y.; Blanchard, F.; Gardel, A. Spatiotemporal dynamics of larval fish in a tropical estuarine mangrove: Example of the Mahury River Estuary (French Guiana). Can. J. Fish. Aquat. Sci. 2018, 75, 235–246. [Google Scholar] [CrossRef]
- Uncles, R.J.; Frickers, P.E.; Easton, A.E.; Griffiths, M.L.; Tappin, A.D. Concentrations of suspended particulate organic carbon in the tidal Yorkshire Ouse River and Humber Estuary. Sci. Total Environ. 2000, 251, 233–242. [Google Scholar] [CrossRef]
- Wang, D.; Wan, R.; Li, Z.G.; Zhang, J.B.; Long, X.Y.; Song, P.B.; Zhai, L.; Zhang, S. The Non-stationary Environmental Effects on Spawning Habitat of Fish in Estuaries: A Case Study of Coilia mystus in the Yangtze Estuary. Front. Mar. Sci. 2021, 8, 766616. [Google Scholar] [CrossRef]
- Mérigot, B.; Frédou, F.L.; Viana, A.P.; Ferreira, B.P.; Nascimento Costa Junior, E.; Silva Júnior, C.A.B.; Frédou, T. Fish assemblages in tropical estuaries of northeast Brazil: A multi-component diversity approach. Ocean Coast. Manag. 2017, 143, 175–183. [Google Scholar] [CrossRef]
- Wang, X.D. Study on the Morphological Identification of the Commercial Fish Larvae and Juveniles in the Yangtze River Estuary; Shanghai Ocean University: Shanghai, China, 2018. (In Chinese) [Google Scholar]
- Whitfield, A.K. Fishes and freshwater in southern African estuaries—A review. Aquat. Living Resour. 2005, 18, 275–289. [Google Scholar] [CrossRef]








| Cruises | Dep | SST | SSS | SSChl | Stations | No. of Larvae |
|---|---|---|---|---|---|---|
| June 2018 | 7.70 ± 1.10 | 24.55 ± 0.30 | 3.76 ± 1.54 | 0.94 ± 0.16 | 50 | 7357 |
| July 2018 | 7.71 ± 1.19 | 27.42 ± 0.39 | 5.56 ± 1.81 | 0.55 ± 0.07 | 55 | 16,964 |
| May 2019 | 5.14 ± 1.10 | 21.93 ± 0.22 | 7.47 ± 2.28 | 0.88 ± 0.14 | 57 | 29,789 |
| Aug 2019 | 7.99 ± 1.15 | 28.95 ± 0.23 | 5.70 ± 1.93 | 0.82 ± 0.15 | 55 | 2512 |
| May 2020 | 7.05 ± 1.11 | 22.35 ± 0.23 | 7.38 ± 1.91 | 1.16 ± 0.15 | 56 | 82,650 |
| Aug 2020 | 7.52 ± 1.29 | 29.14 ± 0.41 | 4.30 ± 1.87 | 0.88 ± 0.13 | 55 | 6162 |
| Ecological Guilds | Abundance (Taxonomic Richness) | |||||
|---|---|---|---|---|---|---|
| June 2018 | July 2018 | May 2019 | Aug 2019 | May 2020 | Aug 2020 | |
| Freshwater | 1840.7 (17) | 3676.4 (19) | 384.3 (9) | 155.6 (2) | 4725.1 (9) | 1081.1 (8) |
| Brackish water | 1663.1 (18) | 4116.8 (20) | 957.0 (8) | 447.4 (14) | 21,713.0 (21) | 923.4 (18) |
| Marine | 313.2 (13) | 961.5 (19) | 8409.8 (12) | 445.3 (9) | 2783.2 (14) | 305.1 (13) |
| Total | 3817.0 (48) | 8754.7 (58) | 751.1 (29) | 1048.3 (25) | 29,221.3 (44) | 2309.6 (39) |
| Species | Ecological Guilds | June 2018 | July 2018 | May 2019 | Aug 2019 | May 2020 | Aug 2020 |
|---|---|---|---|---|---|---|---|
| Hemiculter bleekeri | Freshwater | 1884 | - | - | - | - | 1101 |
| Pseudolaubuca sinensis | Freshwater | - | 1196 | - | - | - | 797 |
| Coilia mystus | Brackish water | 1220 | 830 | - | 668 | 3769 | - |
| Boleophthalmus pectinirostris | Brackish water | - | - | - | - | 999 | - |
| Odontamblyopus rubicundus | Brackish water | - | - | - | - | - | 1194 |
| Engraulis japonicas | Marine | - | - | 5844 | 1824 | - | - |
Disclaimer/Publisher’s Note: The statements, opinions and data contained in all publications are solely those of the individual author(s) and contributor(s) and not of MDPI and/or the editor(s). MDPI and/or the editor(s) disclaim responsibility for any injury to people or property resulting from any ideas, methods, instructions or products referred to in the content. |
© 2023 by the authors. Licensee MDPI, Basel, Switzerland. This article is an open access article distributed under the terms and conditions of the Creative Commons Attribution (CC BY) license (https://creativecommons.org/licenses/by/4.0/).
Share and Cite
Wan, R.; Song, P.; Li, Z.; Long, X.; Wang, D.; Zhai, L. Larval Fish Spatiotemporal Dynamics of Different Ecological Guilds in Yangtze Estuary. J. Mar. Sci. Eng. 2023, 11, 143. https://doi.org/10.3390/jmse11010143
Wan R, Song P, Li Z, Long X, Wang D, Zhai L. Larval Fish Spatiotemporal Dynamics of Different Ecological Guilds in Yangtze Estuary. Journal of Marine Science and Engineering. 2023; 11(1):143. https://doi.org/10.3390/jmse11010143
Chicago/Turabian StyleWan, Rong, Pengbo Song, Zengguang Li, Xiangyu Long, Dong Wang, and Lu Zhai. 2023. "Larval Fish Spatiotemporal Dynamics of Different Ecological Guilds in Yangtze Estuary" Journal of Marine Science and Engineering 11, no. 1: 143. https://doi.org/10.3390/jmse11010143
APA StyleWan, R., Song, P., Li, Z., Long, X., Wang, D., & Zhai, L. (2023). Larval Fish Spatiotemporal Dynamics of Different Ecological Guilds in Yangtze Estuary. Journal of Marine Science and Engineering, 11(1), 143. https://doi.org/10.3390/jmse11010143
