Aquaculture in an Offshore Ship: An On-Site Test of Large Yellow Croaker (Larimichthys crocea)
Abstract
1. Introduction
2. Materials and Methods
2.1. Experimental Animals and Facilities
2.2. Experimental Procedures
2.3. Determination of Water Quality
2.4. Experimental Sampling
2.5. Muscle Chemical Analysis
2.6. Data Calculation and Statistical Analyses
- Survival rate (SR, %) = (final quantity of fish)/(initial quantity of fish) ∗ 100%;
- Weight gain rate (WGR, %) = (Wt − Wi)/Wi ∗ 100%;
- Feed conversion ratio (FCR, %) = feed intake/(Wt − Wi) ∗ 100%;
- Visceral index (VSI, %) = visceral weight/body weight ∗ 100%;
- Condition factor (CF, g/cm3) = body wet weight/body length3 ∗ 100%;
- Stocking density (SD, kg/m3) = (quantity of fish ∗ body wet weight)/volume of culture;
3. Results
3.1. Culturing Sites and Transfer Routes
3.2. Parameters of Culture Environment
3.3. Total Number of Bacteria and Vibrio in Water
3.4. State of Behavior
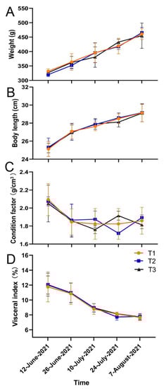
3.5. Survival Rate and Growth Performance
3.6. Muscle Composition Analysis
4. Discussion
4.1. Comparison of Nearshore and Offshore Aquaculture
4.2. Effects of Aquaculture Mode on Survival and Growth Performance of Large Yellow Croaker
4.3. Effects of Aquaculture Mode on Nutrient Composition of Large Yellow Croaker
5. Conclusions
Supplementary Materials
Author Contributions
Funding
Institutional Review Board Statement
Informed Consent Statement
Data Availability Statement
Acknowledgments
Conflicts of Interest
References
- FAO. The State of World Fisheries and Aquaculture 2020: Sustainability in Action; FAO: Rome, Italy, 2021. [Google Scholar]
- World Bank. Fish to 2030: Prospects for Fisheries and Aquaculture; FAO: Rome, Italy, 2013. [Google Scholar]
- Di Trapani, A.M.; Sgroi, F.; Testa, R.; Tudisca, S. Economic comparison between offshore and inshore aquaculture production systems of European sea bass in Italy. Aquaculture 2014, 434, 334–339. [Google Scholar] [CrossRef]
- Davies, I.P.; Carranza, V.; Froehlich, H.E.; Gentry, R.R.; Kareiva, P.; Halpern, B.S. Governance of marine aquaculture: Pitfalls, potential, and pathways forward. Mar. Pol. 2019, 104, 29–36. [Google Scholar] [CrossRef]
- Chu, Y.I.; Wang, C.M.; Park, J.C.; Lader, P.F. Review of cage and containment tank designs for offshore fish farming. Aquaculture 2020, 519, 734–752. [Google Scholar] [CrossRef]
- Li, L.; Jiang, Z.; Ong, M.C.; Hu, W. Design optimization of mooring system: An application to a vessel-shaped offshore fish farm. Eng. Struct. 2019, 197, 109363. [Google Scholar] [CrossRef]
- Lester, S.E.; Gentry, R.R.; Kappel, C.V.; White, C.; Gaines, S.D. Opinion: Offshore aquaculture in the United States: Untapped potential in need of smart policy. Proc. Natl. Acad. Sci. USA 2018, 115, 7162–7165. [Google Scholar] [CrossRef]
- Kim, D.H.; Lipton, D.; Choi, J.Y. Analyzing the economic performance of the red sea bream Pagrus major offshore aquaculture production system in Korea. Fish. Sci. 2012, 78, 1337–1342. [Google Scholar] [CrossRef]
- Aarset, B.; Carson, S.G.; Wiig, H.D.; Maren, I.E.; Marks, J. Lost in translation? Multiple discursive strategies and the interpretation of sustainability in the Norwegian salmon farming industry. Food Ethics 2020, 5, 1–21. [Google Scholar] [CrossRef]
- Cao, L.; Wang, W.; Yang, Y.; Yang, C.T.; Yuan, Z.H.; Xiong, S.B.; Diana, J. Environmental impact of aquaculture and countermeasures to aquaculture pollution in China. Environ. Sci. Pollut. Res. Int. 2007, 14, 452–462. [Google Scholar] [PubMed]
- Schupp, M.F.; Kafas, A.; Buck, B.H.; Krause, G.; Onyango, V.; Stelzenmueller, V.; Davies, I.; Scott, B.E. Fishing within offshore wind farms in the north sea: Stakeholder perspectives for multi-use from scotland and germany. J. Environ. Manag. 2021, 279, 111762. [Google Scholar] [CrossRef]
- El-Thalji, I. Context analysis of offshore fish farming. IOP Conf. Ser. Mater. Sci. Eng. 2019, 700, 012065. [Google Scholar] [CrossRef]
- Kirchhoff, N.T.; Rough, K.M.; Nowak, B.F. Moving cages further offshore: Effects on southern bluefin tuna, T. maccoyii, parasites, health and performance. PLoS ONE 2011, 6, e23705. [Google Scholar] [CrossRef] [PubMed]
- Bjelland, H.V.; Føre, M.; Lader, P.; Kristiansen, D.; Holmen, I.M.; Fredheim, A.; Grøtli, E.I.; Fathi, D.E.; Oppedal, F.; Utne, I.B.; et al. Exposed Aquaculture in Norway; IEEE: New York, NY, USA, 2015; pp. 1–10. [Google Scholar]
- Holmer, M. Environmental issues of fish farming in offshore waters: Perspectives, concerns and research needs. Aquac. Environ. Interact. 2010, 1, 57–70. [Google Scholar] [CrossRef]
- Goseberg, N.; Chambers, M.D.; Heasman, K.; Fredriksson, D.; Fredheim, A.; Schlurmann, T. Technological approaches to long-line and cage-based aquaculture in open ocean environments. In Aquaculture Perspective of Multi-Use Sites in the Open Ocean; Springer: Berlin/Heidelberg, Germany, 2017; pp. 71–95. [Google Scholar]
- Soner, B.; Volkan, K.; Ash, M.B. Floating fish farm unit. Is it an appropriate method for salmonid production. Mar. Sci. Technol. Bull. 2013, 2, 9–13. [Google Scholar]
- Sun, P.; Bao, P.; Tang, B. Transcriptome analysis and discovery of genes involved in immune pathways in large yellow croaker (Larimichthys crocea) under high stocking density stress. Fish Shellfish Immunol. 2017, 68, 332–340. [Google Scholar] [CrossRef]
- Gui, J.; Tang, Q.; Li, Z.; Liu, J.; Silva, D. Aquaculture in China: Success Stories and Smodern Trends; John Wiley & Sons: Hoboken, NJ, USA, 2018; pp. 297–308. [Google Scholar]
- Li, Y.; Yang, C.Y.; Zheng, T.L. Bacterial survival modes and community characteristics in natural environment. Chin. J. App. Environ. Biol. 2013, 19, 553–560. [Google Scholar] [CrossRef]
- AOAC. Official Methods of Analysis of the Association of Official Analytical Chemists, 17th ed.; Association of Official Analytical Chemists: Arlington, VA, USA, 2003. [Google Scholar]
- Folch, J.; Lees, M.; Sloan Stanley, G.H. A simple method for the isolation and purification of total lipids from animal tissues. J. Biol. Chem. 1957, 226, 497–509. [Google Scholar] [CrossRef] [PubMed]
- Barnes, H.; Black Stock, J. Estimation of lipids in marine animals and tissues detailed investigation of the Sulphophosphovanillin method for total lipids. J. Exp. Mar. Biol. Ecol. 1973, 12, 103–118. [Google Scholar] [CrossRef]
- Chen, Y.; Huang, W.; Shan, X.; Chen, J.; Weng, H.; Yang, T.; Wang, H. Growth characteristics of cage-cultured large yellow croaker Larimichthys crocea. Aquac. Rep. 2020, 16, 100242. [Google Scholar] [CrossRef]
- Soto, D.; Wurmann, C. Offshore aquaculture: A needed new frontier for farmed fish at aea. In The Future of Ocean Governance and Capacity Development; Brill Nijhoff: Santiago, Chile, 2019; pp. 379–384. [Google Scholar]
- Huang, W.; Wang, N. Discussion on relationship between three kinds of parasitic disease outbreaks of large yellow croaker and the water temperature. Heilongjiang Agricult. Sci. 2012, 12, 71–73. (In Chinese) [Google Scholar]
- Dan, X.M.; Yan, G.J.; Zhang, A.J.; Cao, Z.D.; Fu, S.J. Effects of stable and dielcycling hypoxia on hypoxia tolerance, postprandial metabolic response, and growth performance in juvenile qingbo (Spinibarbus sinensis). Aquaculture 2014, 428, 21–28. [Google Scholar] [CrossRef]
- Klinger, D.H.; Levin, S.; Watson, J. The growth of finfish in global open-ocean aquaculture under climate change. Proc. R. Soc. B Biol. Sci. 2017, 284, 20170834. [Google Scholar] [CrossRef]
- Du, Z.Y.; Turchini, G.M. Are we actually measuring growth?-An appeal to use a more comprehensive growth index system for advancing aquaculture research. Rev. Aquac. 2022, 14, 525–527. [Google Scholar] [CrossRef]
- Pang, G.W.; Gao, X.L.; Hong, J.W.; Luo, X.; Wu, Y.S.; You, W.W.; Ke, C.H. Growing abalone on a novel offshore platform: An on-site test of the effects of stocking density and diet. Aquaculture 2022, 549, 737769. [Google Scholar] [CrossRef]
- Saravanan, S.; Geurden, I.; Figureueiredo-Silva, A.C.; Nusantoro, S.; Kaushik, S.; Verreth, J.; Schrama, J.W. Oxygen consumption constraints food intake in fish fed diets varying in essential amino acid composition. PLoS ONE 2013, 8, e72757. [Google Scholar] [CrossRef] [PubMed]
- Zhang, X.; Cai, X.; Liu, X.; Zhao, H.; Song, P.; Zhang, J. Proteomics of liver tissue of large yellow croaker (Larimichthys crocea) under high temperature stress. J. Fish. China 2021, 45, 862–870. (In Chinese) [Google Scholar]
- Cai, X.; Zhang, J.; Lin, L.; Li, Y.; Liu, X.; Wang, Z. Study of a noninvasive detection method for the high-temperature stress response of the large yellow croaker (Larimichthys crocea). Aquac. Rep. 2020, 18, 100514. [Google Scholar] [CrossRef]
- Dabruzzi, T.F.; Fangue, N.A.; Kadir, N.N.; Bennett, W.A. Thermal niche adaptations of common mudskipper (Periophthalmus kalolo) and barred mudskipper (Periophthalmus argentilineatus) in air and water. J. Therm. Biol. 2019, 81, 170–177. [Google Scholar] [CrossRef]
- Ding, J.; Liu, C.; Luo, S.Y.; Zhang, Y.B.; Gao, X.M.; Wu, X.F.; Shen, W.L.; Zhu, J.Q. Transcriptome and physiology analysis identify key metabolic changes in the liver of the large yellow croaker (Larimichthys crocea) in response to acute hypoxia. Ecotoxicol. Environ. Saf. 2020, 189, 109957. [Google Scholar] [CrossRef]
- Grigorakis, K. Compositional and organoleptic quality of farmed and wild gilthead sea bream (Sparus aurata) and sea bass (Dicentrarchus labrax) and factors affecting it: A review. Aquaculture 2007, 272, 55–75. [Google Scholar] [CrossRef]
- Rasmussen, R.S. Quality of farmed salmonids with emphasis on proximate composition, yield and sensory characteristics. Aquac. Res. 2001, 32, 767–786. [Google Scholar] [CrossRef]
- Zhu, Z.; Song, B.; Lin, X.; Xu, Z. Effect of sustained training on glycolysis and fatty acids oxidation in swimming muscles and liver in juvenile tinfoil barb Barbonymus schwanenfeldii (Bleeker, 1854). Fish Physiol. Biochem. 2016, 42, 1807–1817. [Google Scholar] [CrossRef] [PubMed]
- Palstra, A.P.; Mes, D.; Kusters, K.; Roques, J.A.C.; Flik, G.; Kloet, K.; Blonk, R.J.W. Forced sustained swimming exercise at optimal speed enhances growth of juvenile yellowtail kingfish (Seriola lalandi). Front. Physiol. 2014, 5, 506. [Google Scholar] [CrossRef] [PubMed]
- Palstra, A.P.; Planas, J.V. Fish under exercise. Fish Physiol. Biochem. 2011, 37, 259–272. [Google Scholar] [CrossRef] [PubMed]
- Li, X.M.; Yu, L.J.; Wang, C.; Zeng, L.Q.; Cao, Z.D.; Fu, S.J.; Zhang, Y.G. The effect of aerobic exercise training on growth performance, digestive enzyme activities and postprandial metabolic response in juvenile qingbo (Spinibarbus sinensis). Comp. Biochem. Physiol. A Mol. Integr. Physiol. 2013, 166, 8–16. [Google Scholar] [CrossRef] [PubMed]
- Song, B.; Lin, X.; Xu, Z. Effects of upstream exercise training on feeding efficiency, growth and nutritional components of juvenile tinfoil barbs (Barbodes schwanenfeldi). J. Fish. China 2012, 36, 106–114. [Google Scholar] [CrossRef]
- Liu, G.; Wu, Y.; Qin, X.; Shi, X.; Wang, X. The effect of aerobic exercise training on growth performance, innate immune response and disease resistance in juvenile Schizothorax prenanti. Aquaculture 2018, 486, 18–25. [Google Scholar] [CrossRef]
- Harimana, Y.; Tang, X.; Le, G.; Xing, X.; Zhang, K.; Sun, Y.; Li, Y.; Ma, S.; Karangwa, E.; Tuyishimire, M.A. Quality parameters of black carp (Mylopharyngodon piceus) raised in lotic and lentic freshwater systems. LWT-Food Sci. Technol. 2018, 90, 45–52. [Google Scholar] [CrossRef]







| Group | SR (%) | WGR (%) | FCR (%) | CF (g/cm3) | VSI (%) | SD (kg/m3) |
|---|---|---|---|---|---|---|
| Cage | 93.82 ± 1.96 a | 9.11 ± 4.95 a | 5.43 ± 2.89 a | 1.32 ± 0.19 a | 7.61 ± 0.21 a | 5.02 ± 0.38 |
| Ship | 99.02 ± 0.20 b | 41.48 ± 2.48 b | 1.61 ± 1.06 b | 1.85 ± 0.14 b | 6.71 ± 0.15 b | 15.74 ± 0.25 |
| Group | Mass Fraction (%) | |||
|---|---|---|---|---|
| Tissue Moisture | Ash | Crude Lipid | Crude Protein | |
| Cage | 76.76 ± 0.67 a | 1.16 ± 0.03 a | 7.53 ± 0.70 a | 17.13 ± 0.40 a |
| Ship | 71.14 ± 0.43 b | 1.22 ± 0.03 b | 5.26 ± 0.47 b | 21.53 ± 1.29 b |
Disclaimer/Publisher’s Note: The statements, opinions and data contained in all publications are solely those of the individual author(s) and contributor(s) and not of MDPI and/or the editor(s). MDPI and/or the editor(s) disclaim responsibility for any injury to people or property resulting from any ideas, methods, instructions or products referred to in the content. |
© 2023 by the authors. Licensee MDPI, Basel, Switzerland. This article is an open access article distributed under the terms and conditions of the Creative Commons Attribution (CC BY) license (https://creativecommons.org/licenses/by/4.0/).
Share and Cite
Yu, Y.; Huang, W.; Yin, F.; Liu, H.; Cui, M. Aquaculture in an Offshore Ship: An On-Site Test of Large Yellow Croaker (Larimichthys crocea). J. Mar. Sci. Eng. 2023, 11, 101. https://doi.org/10.3390/jmse11010101
Yu Y, Huang W, Yin F, Liu H, Cui M. Aquaculture in an Offshore Ship: An On-Site Test of Large Yellow Croaker (Larimichthys crocea). Journal of Marine Science and Engineering. 2023; 11(1):101. https://doi.org/10.3390/jmse11010101
Chicago/Turabian StyleYu, Youbin, Wenyun Huang, Fei Yin, Huang Liu, and Mingchao Cui. 2023. "Aquaculture in an Offshore Ship: An On-Site Test of Large Yellow Croaker (Larimichthys crocea)" Journal of Marine Science and Engineering 11, no. 1: 101. https://doi.org/10.3390/jmse11010101
APA StyleYu, Y., Huang, W., Yin, F., Liu, H., & Cui, M. (2023). Aquaculture in an Offshore Ship: An On-Site Test of Large Yellow Croaker (Larimichthys crocea). Journal of Marine Science and Engineering, 11(1), 101. https://doi.org/10.3390/jmse11010101

