Fitting Cotidal Charts of Eight Major Tidal Components in the Bohai Sea, Yellow Sea Based on Chebyshev Polynomial Method
Abstract
:1. Introduction
2. Data and Methodology
2.1. Data
2.2. The Adjoint Assimilation Model
2.3. The CPF Method
3. Experiments and Results
3.1. Comparison with the Results from The X-TRACK Satellite Altimeters
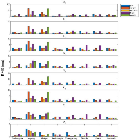
3.2. Comparison with the Harmonic Constants from the Tidal Gauges
3.3. Cotidal Charts Obtained by the CPF Method and the Four Models
4. Conclusions
Author Contributions
Funding
Institutional Review Board Statement
Informed Consent Statement
Data Availability Statement
Acknowledgments
Conflicts of Interest
References
- Munk, W.; Wunsch, C. Abyssal recipes II: Energetics of tidal and wind mixing. Deep Sea Res. Part I Oceanogr. Res. Pap. 1998, 45, 1977–2010. [Google Scholar] [CrossRef]
- Vic, C.; Garabato, A.C.N.; Green, J.A.M.; Waterhouse, A.F.; Zhao, Z.; Melet, A.; de Lavergne, C.; Buijsman, M.C.; Stephenson, G.R. Deep-ocean mixing driven by small-scale internal tides. Nat. Commun. 2019, 10, 2099. [Google Scholar] [CrossRef] [PubMed]
- Fang, J.; Lincke, D.; Brown, S.; Nicholls, R.J.; Wolff, C.; Merkens, J.-L.; Hinkel, J.; Vafeidis, A.T.; Shi, P.; Liu, M. Coastal flood risks in China through the 21st century–An application of DIVA. Sci. Total Environ. 2020, 704, 135311. [Google Scholar] [CrossRef] [PubMed]
- Hinkel, J.; Lincke, D.; Vafeidis, A.T.; Perrette, M.; Nicholls, R.J.; Tol, R.S.J.; Marzeion, B.; Fettweis, X.; Ionescu, C.; Levermann, A. Coastal flood damage and adaptation costs under 21st century sea-level rise. Proc. Natl. Acad. Sci. USA 2014, 111, 3292–3297. [Google Scholar] [CrossRef]
- Idier, D.; Bertin, X.; Thompson, P.; Pickering, M.D. Interactions Between Mean Sea Level, Tide, Surge, Waves and Flooding: Mechanisms and Contributions to Sea Level Variations at the Coast. Surv. Geophys. 2019, 40, 1603–1630. [Google Scholar] [CrossRef]
- Shashank, V.G.; Mandal, S.; Sil, S. Impact of varying landfall time and cyclone intensity on storm surges in the Bay of Bengal using ADCIRC model. J. Earth Syst. Sci. 2021, 130, 1–16. [Google Scholar] [CrossRef]
- Stumpf, R.P.; Haines, J.W. Variations in Tidal Level in the Gulf of Mexico and Implications for Tidal Wetlands. Estuar. Coast. Shelf Sci. 1998, 46, 165–173. [Google Scholar] [CrossRef]
- Hsu, P.C.; Lee, H.J.; Zheng, Q.; Lai, J.W.; Su, F.C.; Ho, C.R. Tide-Induced Periodic Sea Surface Temperature Drops in the Coral Reef Area of Nanwan Bay, Southern Taiwan. J. Geophys. Res. Ocean. 2020, 125, e2019JC015226. [Google Scholar] [CrossRef]
- Haigh, I.D.; Pickering, M.D.; Green, J.A.M.; Arbic, B.K.; Arns, A.; Dangendorf, S.; Hill, D.F.; Horsburgh, K.; Howard, T.; Idier, D.; et al. The Tides They Are A-Changin’: A Comprehensive Review of Past and Future Nonastronomical Changes in Tides, Their Driving Mechanisms, and Future Implications. Rev. Geophys. 2020, 58, e2018RG000636. [Google Scholar] [CrossRef]
- Mandal, S.; Sil, S.; Gangopadhyay, A.; Jena, B.K.; Venkatesan, R.; Gawarkiewicz, G. Seasonal and Tidal Variability of Surface Currents in the Western Andaman Sea Using HF Radars and Buoy Observations During 2016–2017. IEEE Trans. Geosci. Remote Sens. 2021, 59, 7235–7244. [Google Scholar] [CrossRef]
- Muis, S.; Verlaan, M.; Winsemius, H.C.; Aerts, J.C.J.H.; Ward, P.J. A global reanalysis of storm surges and extreme sea levels. Nat. Commun. 2016, 7, 11969. [Google Scholar] [CrossRef] [PubMed]
- Familkhalili, R.; Talke, S.A.; Jay, D.A. Tide-Storm Surge Interactions in Highly Altered Estuaries: How Channel Deepening Increases Surge Vulnerability. J. Geophys. Res. Ocean. 2020, 125, e2019JC015286. [Google Scholar] [CrossRef]
- Talke, S.A.; Jay, D.A. Changing Tides: The Role of Natural and Anthropogenic Factors. Annu. Rev. Mar. Sci. 2020, 12, 121–151. [Google Scholar] [CrossRef]
- Alahmed, S.; Ross, L.; Sottolichio, A. The role of advection and density gradients in driving the residual circulation along a macrotidal and convergent estuary with non-idealized geometry. Cont. Shelf Res. 2021, 212, 104295. [Google Scholar] [CrossRef]
- Mandal, S.; Sil, S.; Gangopadhyay, A.; Jena, B.K.; Venkatesan, R. On the nature of tidal asymmetry in the Gulf of Khambhat, Arabian Sea using HF radar surface currents. Estuar. Coast. Shelf Sci. 2020, 232, 106481. [Google Scholar] [CrossRef]
- Song, D.; Cheng, K.; Li, B.; Xu, X.; Deng, L.; Liu, C. Estimation of Tidal Current Asymmetry in an Archipelagic Region: The Zhoushan Islands. Water 2022, 14, 1485. [Google Scholar] [CrossRef]
- Mandal, S.; Behera, N.; Gangopadhyay, A.; Susanto, R.D.; Pandey, P.C. Evidence of a chlorophyll “tongue” in the Malacca Strait from satellite observations. J. Mar. Syst. 2021, 223, 103610. [Google Scholar] [CrossRef]
- Mandal, S.; Pramanik, S.; Halder, S.; Sil, S. Statistical Analysis of Coastal Currents from HF Radar Along the North-Western Bay of Bengal; Springer: Singapore, 2019; pp. 89–97. [Google Scholar] [CrossRef]
- Mandal, S.; Sil, S.; Shee, A.; Venkatesan, R. Upper Ocean and Subsurface Variability in the Bay of Bengal During Cyclone ROANU: A Synergistic View Using In Situ and Satellite Observations. Pure Appl. Geophys. 2018, 175, 4605–4624. [Google Scholar] [CrossRef]
- Zheng, J.; Mao, X.; Lv, X.; Jiang, W. The M2 Cotidal Chart in the Bohai, Yellow, and East China Seas from Dynamically Constrained Interpolation. J. Atmos. Ocean. Technol. 2020, 37, 1219–1229. [Google Scholar] [CrossRef]
- Youn, Y.-H.; Oh, I.S.; Kim, K.-H.; Park, Y.-H.; Kim, J.W. Validation of sea level data in the east Asian marginal seas: Comparison between TOPEX/POSEIDON altimeter and in-situ tide gauges. Adv. Atmos. Sci. 2003, 20, 650–660. [Google Scholar] [CrossRef]
- Fang, G. Empirical cotidal charts of the Bohai, Yellow, and East China Seas from 10 years of TOPEX/Poseidon altimetry. J. Geophys. Res. 2004, 109, C11006. [Google Scholar] [CrossRef]
- Pelling, H.E.; Uehara, K.; Green, J.A.M. The impact of rapid coastline changes and sea level rise on the tides in the Bohai Sea, China. J. Geophys. Res. Ocean. 2013, 118, 3462–3472. [Google Scholar] [CrossRef]
- Andersen, O.B. Shallow water tides in the northwest European shelf region from TOPEX/POSEIDON altimetry. J. Geophys. Res. Ocean. 1999, 104, 7729–7741. [Google Scholar] [CrossRef]
- Mandal, S.; Sil, S.; Gangopadhyay, A.; Murty, T.; Swain, D. On extracting high-frequency tidal variability from HF radar data in the northwestern Bay of Bengal. J. Oper. Oceanogr. 2018, 11, 65–81. [Google Scholar] [CrossRef]
- Mandal, S.; Sil, S.; Gangopadhyay, A. Tide-current-eddy interaction: A seasonal study using high frequency radar observations along the western Bay of Bengal near 16° N. Estuar. Coast. Shelf Sci. 2020, 232, 106523. [Google Scholar] [CrossRef]
- Wang, Y.; Zhang, Y.; Xu, M.; Wang, Y.; Lv, X. Ocean Tides near Hawaii from Satellite Altimeter Data. Part II. J. Atmos. Ocean. Technol. 2022, 39, 1015–1029. [Google Scholar] [CrossRef]
- Xu, M.; Wang, Y.; Wang, S.; Lv, X.; Chen, X. Ocean Tides near Hawaii from Satellite Altimeter Data. Part I. J. Atmos. Ocean. Technol. 2021, 38, 937–949. [Google Scholar] [CrossRef]
- Birol, F.; Fuller, N.; Lyard, F.; Cancet, M.; Niño, F.; Delebecque, C.; Fleury, S.; Toublanc, F.; Melet, A.; Saraceno, M.; et al. Coastal applications from nadir altimetry: Example of the X-TRACK regional products. Adv. Space Res. 2017, 59, 936–953. [Google Scholar] [CrossRef]
- Birol, F.; Léger, F.; Passaro, M.; Cazenave, A.; Niño, F.; Calafat, F.M.; Shaw, A.; Legeais, J.F.; Gouzenes, Y.; Schwatke, C.; et al. The X-TRACK/ALES multi-mission processing system: New advances in altimetry towards the coast. Adv. Space Res. 2021, 67, 2398–2415. [Google Scholar] [CrossRef]
- Carrere, L.; Lyard, F.; Cancet, M.; Guillot, A. FES 2014, a new tidal model on the global ocean with enhanced accuracy in shallow seas and in the Arctic region. EGU Gen. Assem. 2015, 2015, 5481. [Google Scholar]
- Michael, H.D.; Denise, P.G.D.; Christian, S.; Marcello, P.; Florian, S. EOT20-A Global Empirical Ocean Tide Model from Multi-Mission Satellite Altimetry; SEANOE: Munich, Germany, 2021. [Google Scholar] [CrossRef]
- Matsumoto, K.; Takanezawa, T.; Ooe, M. Ocean Tide Models Developed by Assimilating TOPEX/POSEIDON Altimeter Data into Hydrodynamical Model: A Global Model and a Regional Model around Japan. J. Oceanogr. 2000, 56, 567–581. [Google Scholar] [CrossRef]
- Egbert, G.D.; Bennett, A.F.; Foreman, M.G.G. TOPEX/POSEIDON tides estimated using a global inverse model. J. Geophys. Res. Ocean. 1994, 99, 24821–24852. [Google Scholar] [CrossRef]
- Egbert, G.D.; Erofeeva, S.Y. Efficient Inverse Modeling of Barotropic Ocean Tides. J. Atmos. Ocean. Technol. 2002, 19, 183–204. [Google Scholar] [CrossRef]
- Qian, S.; Lv, X.; Cao, Y.; Shao, F. Parameter Estimation for a 2D Tidal Model with POD 4D VAR Data Assimilation. Math. Probl. Eng. 2016, 2016, 1–14. [Google Scholar] [CrossRef]
- Zhang, J.; Lu, X. Inversion of three-dimensional tidal currents in marginal seas by assimilating satellite altimetry. Comput. Methods Appl. Mech. Eng. 2010, 199, 3125–3136. [Google Scholar] [CrossRef]
- Chen, H.; Miao, C.; Lv, X. A three-dimensional numerical internal tidal model involving adjoint method. Int. J. Numer. Methods Fluids 2012, 69, 1584–1613. [Google Scholar] [CrossRef]
- Cao, A.; Guo, Z.; Lü, X. Inversion of two-dimensional tidal open boundary conditions of M2 constituent in the Bohai and Yellow Seas. Chin. J. Oceanol. Limnol. 2012, 30, 868–875. [Google Scholar] [CrossRef]
- Lu, X.; Zhang, J. Numerical study on spatially varying bottom friction coefficient of a 2D tidal model with adjoint method. Cont. Shelf Res. 2006, 26, 1905–1923. [Google Scholar] [CrossRef]
- Quinn, K.N.; Wilber, H.; Townsend, A.; Sethna, J.P. Chebyshev Approximation and the Global Geometry of Model Predictions. Phys. Rev. Lett. 2019, 122, 158302. [Google Scholar] [CrossRef] [Green Version]
- Romero, M.; de Madrid, A.P.; Manoso, C.; Vinagre, B.M. IIR approximations to the fractional differentiator/integrator using Chebyshev polynomials theory. ISA Trans. 2013, 52, 461–468. [Google Scholar] [CrossRef]












| Tide | M2 | S2 | N2 | K2 | K1 | O1 | P1 | Q1 |
|---|---|---|---|---|---|---|---|---|
| m | 6 | 5 | 6 | 6 | 6 | 6 | 5 | 6 |
| n | 6 | 6 | 6 | 4 | 6 | 6 | 5 | 6 |
| RMSE (cm) | M2 | S2 | K1 | O1 | N2 | K2 | P1 | Q1 |
|---|---|---|---|---|---|---|---|---|
| CPF | 3.81 | 1.36 | 1.46 | 1.29 | 1.38 | 0.77 | 0.84 | 0.69 |
| TPXO9 | 5.70 | 2.30 | 2.14 | 1.56 | 1.09 | 1.39 | 0.83 | 0.67 |
| FES2014 | 0.52 | 0.67 | 0.95 | 0.36 | 0.34 | 0.41 | 0.66 | 0.36 |
| NAO.99b | 4.35 | 2.44 | 1.77 | 1.60 | 1.53 | 1.02 | 0.90 | 0.58 |
| EOT20 | 1.34 | 0.80 | 1.11 | 0.56 | 0.40 | 0.48 | 0.67 | 0.34 |
| (cm) | M2 | S2 | K1 | O1 | N2 | K2 | P1 | Q1 |
| CPF | 4.27 | 1.25 | 1.33 | 1.38 | 1.52 | 0.75 | 0.74 | 0.42 |
| TPXO9 | 4.22 | 1.64 | 0.93 | 0.67 | 0.81 | 1.59 | 0.67 | 0.79 |
| fFES2014 | 0.55 | 0.59 | 0.66 | 0.25 | 0.29 | 0.37 | 0.38 | 0.30 |
| NAO.99b | 5.01 | 2.70 | 1.10 | 1.97 | 1.64 | 1.09 | 0.69 | 0.70 |
| EOT20 | 1.21 | 0.64 | 0.60 | 0.48 | 0.36 | 0.46 | 0.40 | 0.26 |
| (deg) | M2 | S2 | K1 | O1 | N2 | K2 | P1 | Q1 |
| CPF | 1.62 | 2.23 | 4.08 | 3.08 | 3.12 | 4.38 | 9.60 | 12.48 |
| TPXO9 | 3.36 | 3.71 | 11.23 | 6.98 | 3.49 | 5.16 | 10.23 | 9.15 |
| FES2014 | 0.22 | 0.98 | 5.39 | 1.76 | 1.01 | 2.23 | 10.22 | 7.12 |
| NAO.99b | 1.36 | 2.95 | 6.69 | 2.87 | 3.63 | 5.04 | 11.28 | 8.05 |
| EOT20 | 0.62 | 1.14 | 6.42 | 2.05 | 0.95 | 2.66 | 9.21 | 6.18 |
| RMSE (cm) | M2 | S2 | K1 | O1 | N2 | K2 | P1 | Q1 |
|---|---|---|---|---|---|---|---|---|
| CPF | 10.74 | 6.17 | 2.46 | 1.74 | 2.66 | 1.88 | 0.97 | 1.29 |
| TPXO9 | 18.50 | 8.94 | 2.61 | 1.02 | 3.16 | 2.68 | 1.13 | 0.74 |
| FES2014 | 7.31 | 4.02 | 1.37 | 1.33 | 1.69 | 1.36 | 0.58 | 0.57 |
| NAO.99b | 18.73 | 8.33 | 3.38 | 3.08 | 4.22 | 2.46 | 1.51 | 0.85 |
| EOT20 | 13.32 | 6.98 | 1.86 | 1.91 | 2.97 | 2.04 | 0.69 | 0.58 |
| (cm) | M2 | S2 | K1 | O1 | N2 | K2 | P1 | Q1 |
| CPF | 8.60 | 3.71 | 0.84 | 0.75 | 2.19 | 1.46 | 0.28 | 0.50 |
| TPXO9 | 9.59 | 5.08 | 1.55 | 0.32 | 1.73 | 1.56 | 0.92 | 0.43 |
| FES2014 | 2.98 | 2.96 | 0.86 | 0.67 | 0.91 | 0.63 | 0.19 | 0.10 |
| NAO | 15.82 | 7.75 | 3.68 | 2.81 | 3.10 | 2.07 | 1.71 | 0.64 |
| EOT20 | 9.28 | 4.80 | 0.72 | 0.70 | 1.99 | 1.40 | 0.30 | 0.30 |
| (deg) | M2 | S2 | K1 | O1 | N2 | K2 | P1 | Q1 |
| CPF | 5.31 | 9.59 | 6.34 | 5.85 | 5.22 | 9.98 | 8.43 | 22.40 |
| TPXO9 | 10.33 | 15.18 | 5.95 | 3.67 | 8.23 | 16.39 | 6.22 | 11.18 |
| FES2014 | 4.14 | 5.68 | 3.37 | 4.59 | 4.08 | 7.86 | 5.07 | 11.13 |
| NAO | 7.92 | 8.40 | 3.94 | 6.95 | 9.99 | 8.47 | 6.29 | 13.38 |
| EOT20 | 6.91 | 10.01 | 4.70 | 6.75 | 7.84 | 11.73 | 5.65 | 9.25 |
Publisher’s Note: MDPI stays neutral with regard to jurisdictional claims in published maps and institutional affiliations. |
© 2022 by the authors. Licensee MDPI, Basel, Switzerland. This article is an open access article distributed under the terms and conditions of the Creative Commons Attribution (CC BY) license (https://creativecommons.org/licenses/by/4.0/).
Share and Cite
Wang, Q.; Zhang, Y.; Wang, Y.; Xu, M.; Lv, X. Fitting Cotidal Charts of Eight Major Tidal Components in the Bohai Sea, Yellow Sea Based on Chebyshev Polynomial Method. J. Mar. Sci. Eng. 2022, 10, 1219. https://doi.org/10.3390/jmse10091219
Wang Q, Zhang Y, Wang Y, Xu M, Lv X. Fitting Cotidal Charts of Eight Major Tidal Components in the Bohai Sea, Yellow Sea Based on Chebyshev Polynomial Method. Journal of Marine Science and Engineering. 2022; 10(9):1219. https://doi.org/10.3390/jmse10091219
Chicago/Turabian StyleWang, Qixiang, Yibo Zhang, Yonggang Wang, Minjie Xu, and Xianqing Lv. 2022. "Fitting Cotidal Charts of Eight Major Tidal Components in the Bohai Sea, Yellow Sea Based on Chebyshev Polynomial Method" Journal of Marine Science and Engineering 10, no. 9: 1219. https://doi.org/10.3390/jmse10091219
APA StyleWang, Q., Zhang, Y., Wang, Y., Xu, M., & Lv, X. (2022). Fitting Cotidal Charts of Eight Major Tidal Components in the Bohai Sea, Yellow Sea Based on Chebyshev Polynomial Method. Journal of Marine Science and Engineering, 10(9), 1219. https://doi.org/10.3390/jmse10091219

