Numerical Simulation of an Air-Bubble System for Ice Resistance Reduction
Abstract
:1. Introduction
2. The Numerical Models
2.1. The Governing Equations of the Incompressible Fluid
2.2. The Governing Equations of the Discrete Phase in Numerical Simulation
2.3. The Turbulence Model and the Free Surface Treatment
2.4. The Ice Model
3. The Computational Domain Settings
4. Simulation Results and Analyses
4.1. Comparision of Simulations
4.2. Ice Resistance Calculation
4.3. Effects of Ventilation Rate
5. Conclusions
Author Contributions
Funding
Institutional Review Board Statement
Informed Consent Statement
Data Availability Statement
Conflicts of Interest
References
- Meier, W.N.; Hovelsrud, G.K.; van Oort, B.E.H.; Key, J.R.; Kovacs, K.M.; Michel, C.; Haas, C.; Granskog, M.C.; Gerland, S.; Perovich, D.K. Arctic sea ice in transformation: A review of recent observed changes and impacts on biology and human activity. Rev. Geophys. 2014, 52, 185–217. [Google Scholar]
- Aksenov, Y.; Popova, E.E.; Yool, A.; Nurser, A.J.G.; Williams, T.D.; Bertino, L.; Bergh, J. On the future navigability of Arctic sea routes: High-resolution projections of the Arctic Ocean and sea ice. Mar. Policy 2017, 75, 300–317. [Google Scholar]
- Huang, L.; Li, Z.; Ryan, C.; Ringsberg, J.W.; Pena, B.; Li, M.; Ding, L.; Thomas, G. Ship resistance when operating in floating ice floes: Derivation, validation, and application of an empirical equation. Mar. Struct. 2021, 79, 103057. [Google Scholar]
- Li, Z.; Ryan, C.; Huang, L.; Ding, L.; Ringsberg, J.W.; Thomas, G. A comparison of two ship performance models against full-scale measurements on a cargo ship on the Northern Sea Route. Ships Offshore Struct. 2021, 16, 237–244. [Google Scholar]
- Ryan, C.; Huang, L.; Li, Z.; Ringsberg, J.W.; Thomas, G. An Arctic ship performance model for sea routes in ice-infested waters. App. Ocean Res. 2021, 117, 102950. [Google Scholar]
- Zheng, X.; Tian, Z.-Z. Numerical Study of the Ice Breaking Resistance of the Icebreaker in the Yellow River Through Smoothed-Particle Hydrodynamics. J. Mar. Sci. Appl. 2022, 21, 1–14. [Google Scholar]
- Kirill, S.; Aleksei, D. Ice Resistance Assessment for a Large Size Vessel Running in a Narrow Ice Channel Behind an Icebreaker. J. Mar. Sci. Appl. 2021, 20, 446–455. [Google Scholar]
- Latorre, R. Ship hull drag reduction using bottom air injection. Ocean Eng. 1997, 24, 161–175. [Google Scholar] [CrossRef]
- Mccormick, M.E.; Bhattacharyya, R. Drag reduction of a submersible hull by electrolysis. Nav. Eng. J. 1973, 85, 11–16. [Google Scholar] [CrossRef]
- Elbing, B.R.; Winkel, E.S.; Lay, K.A.; Ceccio, S.L.; Dowling, D.R.; Perlin, M. Computational domain-induced skin-friction drag reduction and the abrupt transition to air-layer drag reduction. J. Fluid Mech. 2008, 612, 201–236. [Google Scholar]
- Juurmaa, K. The Wärtsilä Air bubbleing System. Polar Rec. 1978, 19, 121–127. [Google Scholar] [CrossRef]
- Wilkman, G. Experience of Air Bubbling System in Ice Navigation and Future Possibilities. In Proceedings of the OTC Arctic Technology Conference, Houston, TX, USA, 7–9 February 2011. [Google Scholar]
- Unverdi, S.O.; Tryggvason, G. A front-tracking method for viscous, incompressible, multi-fluid flows. J. Comput. Phys. 1992, 100, 25–37. [Google Scholar] [CrossRef]
- Bonometti, T.; Magnaudet, J. An interface-capturing method for incompressible two-phase flows. Validation and application to computational domain dynamics. Int. J. Multiph. Flow 2007, 33, 109–133. [Google Scholar] [CrossRef]
- Huang, J.; Zhang, H. Level set method for numerical simulation of a cavitation computational domain, its growth, collapse and rebound near a rigid wall. Acta Mech. Sin. 2007, 23, 645–653. [Google Scholar] [CrossRef]
- Zhu, X.; Sui, P.; Djilali, N. Three-dimensional numerical simulations of water droplet dynamics in a PEMFC gas channel. J. Power Sources 2008, 181, 101–115. [Google Scholar] [CrossRef]
- Li, Y.; Zhang, J.; Fan, L.-S. Discrete-phase simulation of single computational domain rise behavior at elevated pressures in a computational domain column. Chem. Eng. Sci. 2000, 55, 4597–4609. [Google Scholar] [CrossRef]
- Tsui, Y.-Y.; Liu, C.-Y.; Lin, S.-W. Coupled level-set and volume-of-fluid method for two-phase flow calculations. Numer. Heat Transf. Part B Fundam. 2017, 71, 173–185. [Google Scholar] [CrossRef]
- Li, F.; Huang, L. A review of computational simulation methods for a ship advancing in broken ice. J. Mar. Sci. Eng. 2022, 10, 165. [Google Scholar] [CrossRef]
- Hansen, E.H.; Løset, S. Modelling floating offshore units moored in broken ice: Model description. Cold Reg. Sci. Technol. 1999, 29, 97–106. [Google Scholar] [CrossRef]
- Ji, S.; Li, Z.; Li, C.; Shang, J. Discrete element modeling of ice loads on ship hulls in broken ice fields. Acta Oceanol. Sin. 2013, 32, 50–58. [Google Scholar] [CrossRef]
- Ji, S.; Sun, S.; Yan, Y. Discrete element modeling of rock materials with dilated polyhedral elements. Procedia Eng. 2015, 102, 1793–1802. [Google Scholar] [CrossRef]
- Luo, W.; Jiang, D.; Wu, T.; Guo, C.; Wang, C.; Deng, R.; Dai, S. Numerical simulation of an ice-strengthened bulk carrier in brash ice channel. Ocean Eng. 2020, 196, 106830. [Google Scholar] [CrossRef]
- Kim, M.-C.; Lee, S.-K.; Lee, W.-J.; Wang, J.-Y. Numerical and experimental investigation of the resistance performance of an icebreaking cargo vessel in pack ice conditions. Int. J. Nav. Archit. Ocean Eng. 2013, 5, 116–131. [Google Scholar] [CrossRef]
- Lubbad, R.; Løset, S. A numerical model for real-time simulation of ship–ice interaction. Cold Reg. Sci. Technol. 2011, 65, 111–127. [Google Scholar] [CrossRef]
- Islam, M.; Mills, J.; Gash, R.; Pearson, W. A literature survey of broken ice-structure interaction modelling methods for ships and offshore platforms. Ocean Eng. 2021, 221, 108527. [Google Scholar] [CrossRef]
- Ni, B.-Y.; Guo, P.; Xue, Y.-Z. Experimental study of the mechanism of an air-bubble system in a small ice water tank. J. Harbin Eng. Univ. 2020, 41, 777–783. (In Chinese) [Google Scholar]
- Ni, B.-Y.; Chen, Z.-W.; Zhong, K.; Li, X.-A.; Xue, Y.-Z. Numerical simulation of a polar ship moving in level ice based on a one-way coupling method. J. Mar. Sci. Eng. 2020, 8, 692. [Google Scholar] [CrossRef]
- Hirt, C.W.; Nichols, B.D. Volume of fluid (VOF) method for the dynamics of free boundaries. J. Comput. Phys. 1981, 39, 201–225. [Google Scholar] [CrossRef]















| Parameter | Value |
|---|---|
| Length overall (m) | 122.5 |
| Length of waterline (m) | 116.2 |
| Breadth (m) | 22.3 |
| Draft (m) | 7.8 |
| Stem angle (°) | 20 |
| Waterline angle (°) | 40 |
| Boundary | Condition |
|---|---|
| Water inlet | The surface current velocity equals to the ship’s speed; the turbulent intensity is 0.01 |
| Water outlet | DEM particle outlet boundary; the outlet pressure is the hydrodynamic pressure; |
| The other boundaries | Slip wall |
| Ship hull | Non-slip wall |
| Air inlet | Air-water interface; the air velocity is the flow rate corresponding to the ventilation volume |
| Ice region | Non-slip wall |
| Free surface | VOF free surface |
| Particle inject | Surface injection conditions in component injectors |
| Ice Resistance (kN) | Without the Air- Bubble System | With the Air- Bubble System | Drag Reduction Rate |
|---|---|---|---|
| Total | 196.9 | 166.9 | 15.3% |
| Bow area | 180.8 | 162.2 | 10.3% |
| Ship sides | 16.1 | 4.7 | 70.8% |
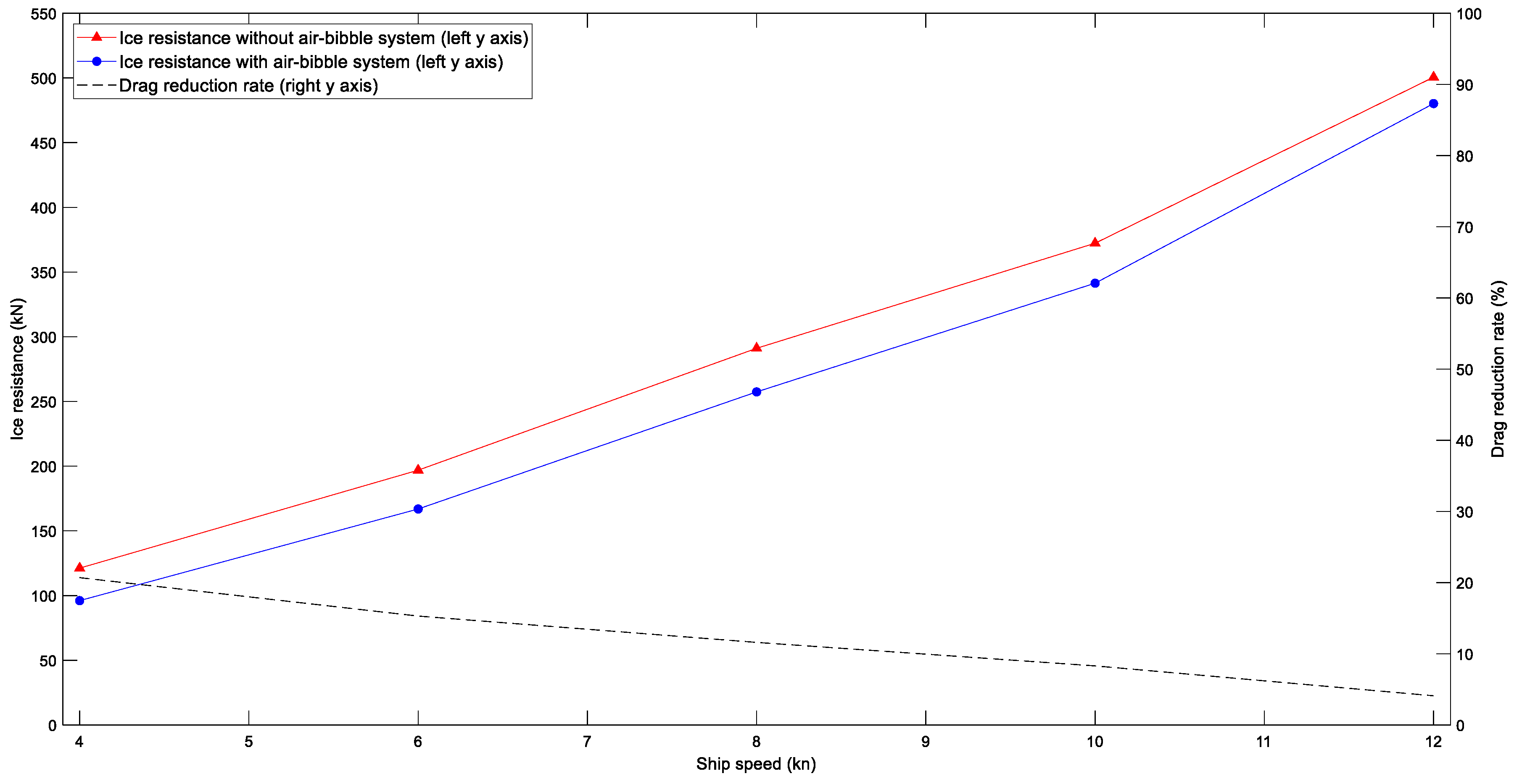
| Speed (Knot) | Ice Resistance (kN) (Air-Bubble System off) | Ice Resistance (kN) (Air-Bubble System on) | Drag Reduction Rate |
|---|---|---|---|
| 4 | 121.2 | 96.1 | 20.7% |
| 6 | 196.9 | 166.9 | 15.3% |
| 8 | 291.1 | 257.4 | 11.6% |
| 10 | 372.3 | 341.4 | 8.3% |
| 12 | 500.6 | 480.2 | 4.1% |
| Case | Bow Ventilation Rate (m/s) | Side Ventilation Rate (m/s) | Ice Resistance (kN) | Drag Reduction Rate |
|---|---|---|---|---|
| Ref. | 0 | 0 | - | |
| A | 0 | 1 | 187.0 | 5.5% |
| B | 1 | 1 | 179.8 | 8.7% |
| C | 2.5 | 1 | 170.9 | 13.2% |
| D | 2.5 | 2.5 | 166.9 | 15.3% |
| E | 5 | 1 | 152.5 | 22.5% |
| F | 5 | 5 | 149.5 | 24.1% |
| G | 10 | 1 | 137.7 | 30.0% |
| H | 10 | 10 | 132.9 | 32.5% |
Publisher’s Note: MDPI stays neutral with regard to jurisdictional claims in published maps and institutional affiliations. |
© 2022 by the authors. Licensee MDPI, Basel, Switzerland. This article is an open access article distributed under the terms and conditions of the Creative Commons Attribution (CC BY) license (https://creativecommons.org/licenses/by/4.0/).
Share and Cite
Ni, B.-Y.; Wei, H.; Li, Z.; Fang, B.; Xue, Y. Numerical Simulation of an Air-Bubble System for Ice Resistance Reduction. J. Mar. Sci. Eng. 2022, 10, 1201. https://doi.org/10.3390/jmse10091201
Ni B-Y, Wei H, Li Z, Fang B, Xue Y. Numerical Simulation of an Air-Bubble System for Ice Resistance Reduction. Journal of Marine Science and Engineering. 2022; 10(9):1201. https://doi.org/10.3390/jmse10091201
Chicago/Turabian StyleNi, Bao-Yu, Hongyu Wei, Zhiyuan Li, Bin Fang, and Yanzhuo Xue. 2022. "Numerical Simulation of an Air-Bubble System for Ice Resistance Reduction" Journal of Marine Science and Engineering 10, no. 9: 1201. https://doi.org/10.3390/jmse10091201
APA StyleNi, B.-Y., Wei, H., Li, Z., Fang, B., & Xue, Y. (2022). Numerical Simulation of an Air-Bubble System for Ice Resistance Reduction. Journal of Marine Science and Engineering, 10(9), 1201. https://doi.org/10.3390/jmse10091201

