Investigation of the Hydrodynamic Characteristics of Two Manta Rays Tandem Gliding
Abstract
:1. Introduction
2. Problem Definition and Methodology
2.1. Biological Model and Reference Dimensions
2.2. Simulation Method Validation
2.3. Grid Independence Validation
2.4. Simulation Domain and Boundary Condition Settings
3. Result and Discussion
3.1. Numerical Simulation Results of a Single Manta Ray
3.2. Numerical Simulation Results of Two Manta Rays Tandem
3.3. Analysis of Resistance Reduction Effect and Flow Field Mechanism
4. Conclusions
- When a single manta ray glides, the lift coefficient is a linear function of the angle of attack, and the resistance coefficient is a quadratic function of the angle of attack. This law does not change when two manta rays are gliding in series. Whether it is the leader or the follower, the lift coefficient and resistance coefficient change with the same angle of attack, and the difference lies in the magnitude of the value.
- In the two manta rays tandem system, compared with the single-body gliding, the resistance of the leader is greatly reduced, and the lift of the leader is almost unchanged, while for the follower, the resistance is greatly increased, and the lift is greatly reduced.
- With the increase in the distance between the front and rear of the two manta rays, the resistance of the leader increases rapidly, and the resistance of the follower decreases rapidly, and the two tend to be the same; in terms of lift, the leader maintains the lift regardless of the distance. The lift is stable, not much different from the single-body gliding situation. The lift experienced by the follower is greatly reduced when the distance is small, and the growth recovers slowly with the increase in the distance.
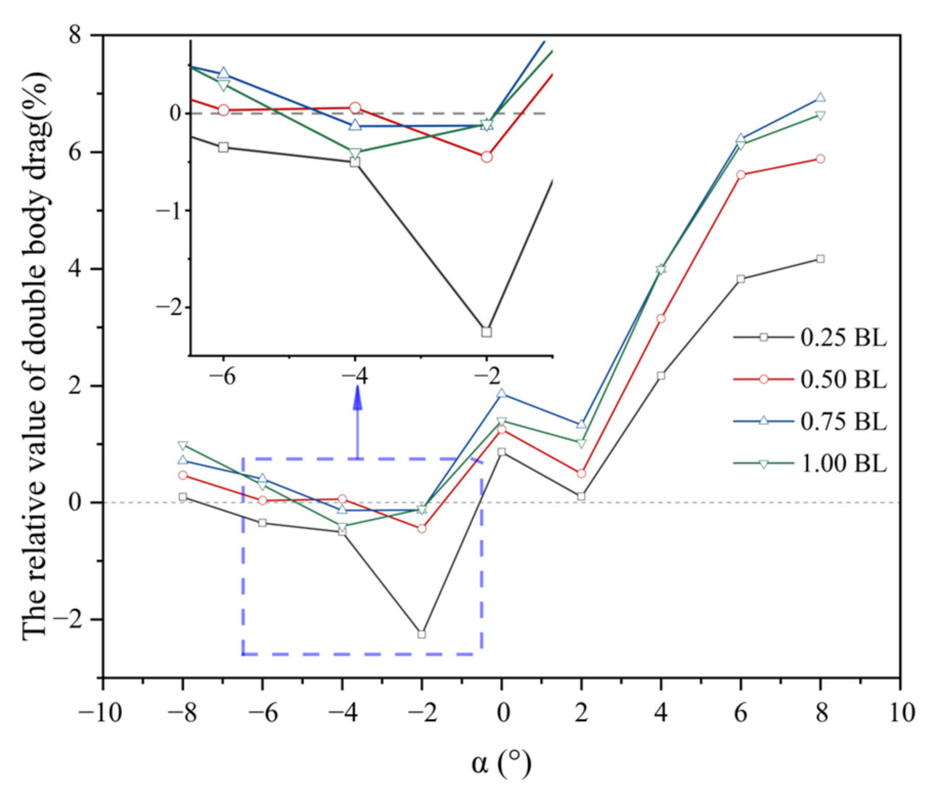
- For the average resistance of the system, in the specific scenario of a close-range, small negative degree angle of attack, the double manta rays series system can effectively reduce the resistance and play a role in reducing resistance and saving energy. For example, when the distance between the front and rear of the double manta rays is α = −2°, Δs = 0.25 BL, and the two attitudes maintain a −2° angle of attack, the average resistance of the system is reduced by about 2.3% compared with the single resistance. This is of great significance for understanding biological habits and designing underwater bionic vehicle group formations.
Author Contributions
Funding
Institutional Review Board Statement
Informed Consent Statement
Data Availability Statement
Conflicts of Interest
References
- Rosenberger, L.J. Pectoral fin locomotion in batoid fishes: Undulation versus oscillation. J. Exp. Biol. 2001, 204, 379–394. [Google Scholar] [CrossRef] [PubMed]
- Graham, R.T.; Witt, M.; Castetllanos, D.W.; Remolina, F.; Maxwell, S.; Godley, B.; Hawkes, L. Satellite tracking of manta rays highlights challenges to their conservation. PLoS ONE 2012, 7, e36834. [Google Scholar] [CrossRef] [PubMed]
- Borazjani, I.; Fotis, S. Numerical investigation of the hydrodynamics of carangiform swimming in the transitional and inertial flow regimes. J. Exp. Biol. 2008, 211, 1541–1558. [Google Scholar] [CrossRef] [PubMed]
- Breder, J.; Charles, M. The locomotion of fishes. Zoologica 1926, 4, 159–291. [Google Scholar] [CrossRef]
- Weihs, D. Hydromechanics of fish schooling. Nature 1973, 241, 290–291. [Google Scholar] [CrossRef]
- Shaw, E. Schooling fishes: The school, a truly egalitarian form of organization in which all members of the group are alike in influence, offers substantial benefits to its participants. Am. Sci. 1978, 66, 166–175. [Google Scholar]
- Pitcher, T.J. Functions of shoaling behaviour in teleosts. In The Behaviour of Teleost Fishes; Springer: Boston, MA, USA, 1986; pp. 294–337. [Google Scholar]
- Godin, J.J.; Joanne, M. Predator avoidance and school size in a cyprinodontid fish, the banded killifish (Fundulus diaphanus Lesueur). Behav. Ecol. Sociobiol. 1985, 16, 105–110. [Google Scholar] [CrossRef]
- Magurran, A.E.; Anthony, H. Information transfer across fish shoals under predator threat. Ethology 1988, 78, 153–158. [Google Scholar] [CrossRef]
- Pitcher, T.J.; Magurran, A.E.; Winfield, I.J. Fish in larger shoals find food faster. Behav. Ecol. Sociobiol. 1982, 10, 149–151. [Google Scholar] [CrossRef]
- Wolf, N.G. Schooling tendency and foraging benefit in the ocean surgeonfish. Behav. Ecol. Sociobiol. 1987, 21, 59–63. [Google Scholar] [CrossRef]
- Ranta, E.; Kai, L. Assortative schooling in three-spined sticklebacks? Ann. Zool. Fenn. 1990, 27, 67–75. [Google Scholar]
- Fish, F.E. Energetics of swimming and flying in formation. Comments Theor. Biol. 1999, 5, 283–304. [Google Scholar]
- Herskin, J.; Steffensen, J.F. Energy savings in sea bass swimming in a school: Measurements of tail beat frequency and oxygen consumption at different swimming speeds. J. Fish Biol. 1998, 53, 366–376. [Google Scholar] [CrossRef]
- Johansen, J.L.; Vaknin, R.; Stetffensen, J.F.; Domenici, P. Kinematics and energetic benefits of schooling in the labriform fish, striped surfperch Embiotoca lateralis. Mar. Ecol. Prog. Ser. 2010, 420, 221–229. [Google Scholar] [CrossRef]
- Killen, S.S.; Maunrras, S.; Stetffensen, J.F.; McKenzie, D.J. Aerobic capacity influences the spatial position of individuals within fish schools. Proc. R. Soc. B Biol. Sci. 2012, 279, 357–364. [Google Scholar] [CrossRef] [PubMed]
- Ross, R.M.; Thomas, W.H.B.; Karin, E.L. Group-size-mediated metabolic rate reduction in American shad. Trans. Am. Fish. Soc. 1992, 121, 385–390. [Google Scholar] [CrossRef]
- Breder, C.M. Vortices and fish schools. Zool. Sci. Contrib. N. Y. Zool. Soc. 1965, 50, 97–114. [Google Scholar] [CrossRef]
- Marras, S.; Killen, S.S.; Lindström, J.; McKenzie, D.J.; Steffensen, J.F.; Domenici, P. Fish swimming in schools save energy regardless of their spatial position. Behav. Ecol. Soc. 2014, 69, 219–226. [Google Scholar] [CrossRef]
- Pan, D.Y.; Hua, L.; Shao, X.M. Studies on the oscillation behavior of a flexible plate in the wake of a D-cylinder. J. Hydrodyn. 2010, 22, 132–137. [Google Scholar] [CrossRef]
- Shao, X.; Pan, D.; Deng, J.; Yu, Z. Hydrodynamic performance of a fishlike undulating foil in the wake of a cylinder. Phys. Fluids 2010, 22, 111903. [Google Scholar]
- Shao, X.; Pan, D.; Deming, J.; Yu, Z. Computational study on near wake interaction between undulation body and a D-section cylinder. Ocean. Eng. 2011, 38, 673–683. [Google Scholar]
- Xiao, Q.; Wendi, L.; Hu, J. Parametric study on a cylinder drag reduction using downstream undulating foil. Eur. J. Mech. B/Fluids 2012, 36, 48–62. [Google Scholar] [CrossRef]
- Chao, L.M.; Zhang, D.; Cao, Y.-H.; Pan, G. Numerical studies on the interaction between two parallel D-cylinder and oscillated foil. Mod. Phys. Lett. B 2018, 32, 1850034. [Google Scholar] [CrossRef]
- Chao, L.M.; Pan, G.; Zhang, D.; Yan, G.X. On the thrust generation and wake structures of two travelling-wavy foils. Ocean. Engin. 2019, 183, 167–174. [Google Scholar] [CrossRef]
- Fish, F.E.; Schreiber, C.M.; Moored, K.W.; Liu, G.; Dong, H.; Bart-Smith, H. Hydrodynamic performance of aquatic flapping: Efficiency of underwater flight in the manta. Aerospace 2016, 3, 20. [Google Scholar] [CrossRef] [Green Version]
- Zhang, D.; Huang, Q.-G.; Pan, G.; Yang, L.-M.; Huang, W.-X. Vortex dynamics and hydrodynamic performance enhancement mechanism in batoid fish oscillatory swimming. J. Fluid Mech. 2022, 930, A28. [Google Scholar] [CrossRef]
- Dewey, P.A.; Quinn, D.B.; Boschitsch, B.M.; Smits, J. Propulsive performance of unsteady tandem hydrofoils in a side-by-side configuration. Phys. Fluids 2014, 26, 041903. [Google Scholar] [CrossRef]
- Boschitsch, B.M.; Peter, A.; Alexander, J.S. Propulsive performance of unsteady tandem hydrofoils in an in-line configuration. Phys. Fluids 2014, 26, 051901. [Google Scholar] [CrossRef]
- Zhang, D.; Liming, C.; Guang, P. Analysis of hydrodynamic interaction impacts on a two-AUV system. Ships Offshore Struct. 2019, 14, 23–34. [Google Scholar] [CrossRef]
- Zhang, D.; Pan, G.; Shi, Y.; Wang, P.; Chao, L. Investigation of the resistance characteristics of a multi-AUV system. Appl. Ocean. Res. 2019, 89, 59–70. [Google Scholar] [CrossRef]
- Yuan, Z.-M.; Pan, G.; Shi, Y.; Wang, P.; Chao, L. Stseady hydrodynamic interaction between human swimmers. J. R. Soc. Interface 2019, 16, 59–70. [Google Scholar] [CrossRef]
- Yuan, Z.-M.; Li, M.; Ji, C.-Y.; Li, L.; Jia, L.; Cetcik, L. Wave-riding and wave-passing by ducklings in formation swimming. J. Fluid Mech. 2021, 928, 820. [Google Scholar] [CrossRef]
- Blocken, B.; Defraeye, T.; Koninckx, E.; Carmeliet, J.; Hespel, P. CFD simulations of the aerodynamic drag of two drafting cyclists. Comput. Fluids 2013, 71, 435–445. [Google Scholar] [CrossRef]
- Zarruk, G.A.; Brandner, P.A.; Pearce, B.W.; Phillips, A.W. Experimental study of the steady fluid-structure interaction of flexible hydrofoils. J. Fluids Struct. 2014, 51, 326–343. [Google Scholar] [CrossRef]
- Lyu, D.; Song, B.; Pan, G.; Yuan, Z.; Li, J. Winglet effect on hydrodynamic performance and trajectory of a blended-wing-body underwater glider. Ocean Eng. 2019, 188, 106303. [Google Scholar] [CrossRef]














Publisher’s Note: MDPI stays neutral with regard to jurisdictional claims in published maps and institutional affiliations. |
© 2022 by the authors. Licensee MDPI, Basel, Switzerland. This article is an open access article distributed under the terms and conditions of the Creative Commons Attribution (CC BY) license (https://creativecommons.org/licenses/by/4.0/).
Share and Cite
Ma, Y.; Huang, Q.; Pan, G.; Gao, P. Investigation of the Hydrodynamic Characteristics of Two Manta Rays Tandem Gliding. J. Mar. Sci. Eng. 2022, 10, 1186. https://doi.org/10.3390/jmse10091186
Ma Y, Huang Q, Pan G, Gao P. Investigation of the Hydrodynamic Characteristics of Two Manta Rays Tandem Gliding. Journal of Marine Science and Engineering. 2022; 10(9):1186. https://doi.org/10.3390/jmse10091186
Chicago/Turabian StyleMa, Yunlong, Qiaogao Huang, Guang Pan, and Pengcheng Gao. 2022. "Investigation of the Hydrodynamic Characteristics of Two Manta Rays Tandem Gliding" Journal of Marine Science and Engineering 10, no. 9: 1186. https://doi.org/10.3390/jmse10091186
APA StyleMa, Y., Huang, Q., Pan, G., & Gao, P. (2022). Investigation of the Hydrodynamic Characteristics of Two Manta Rays Tandem Gliding. Journal of Marine Science and Engineering, 10(9), 1186. https://doi.org/10.3390/jmse10091186
