A Numerical Performance Analysis of a Rim-Driven Turbine in Real Flow Conditions
Abstract
:1. Introduction
2. Numerical Methods
2.1. General Features
2.2. Turbine Model
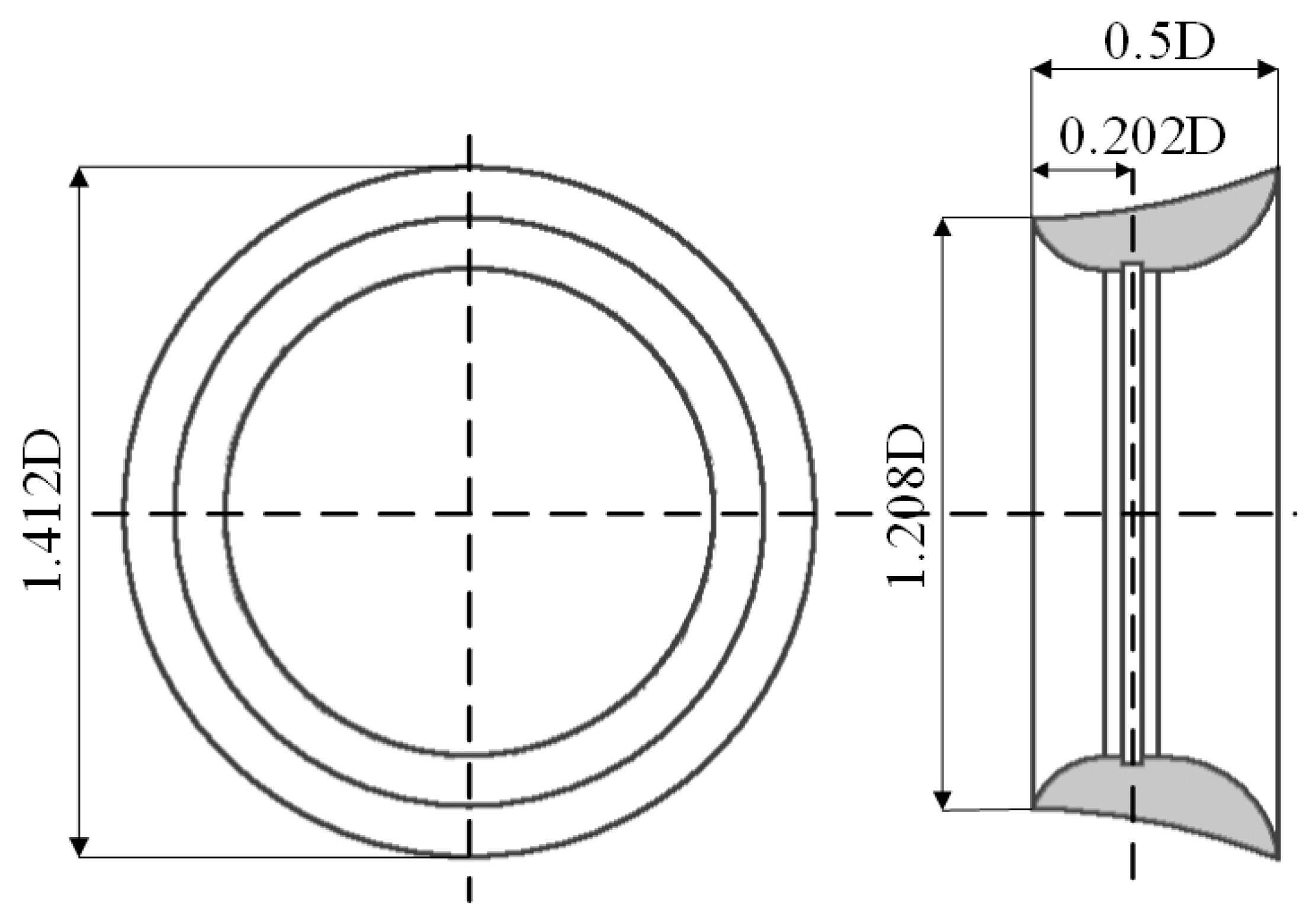
2.3. Computational Domain
2.4. Boundary Conditions
2.5. Mesh Generation
2.6. Numerical Model Validation
3. Results and Discussion
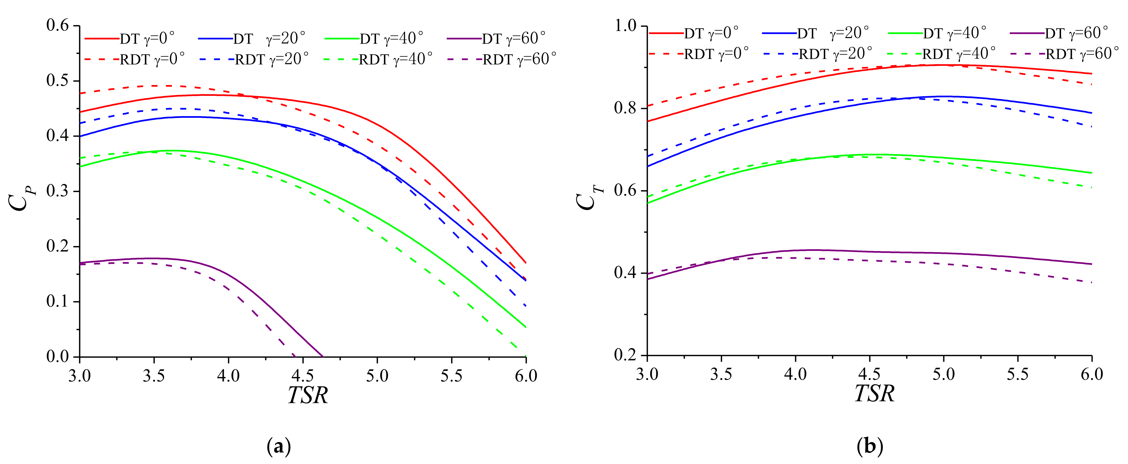
3.1. Power and Thrust
3.2. Performance Fluctuation Characteristics
3.3. Wake Characteristics
4. Conclusions
Author Contributions
Funding
Institutional Review Board Statement
Informed Consent Statement
Data Availability Statement
Conflicts of Interest
References
- Alotaibi, I.; Abido, M.A.; Khalid, M.; Savkin, A.V. A comprehensive review of recent advances in smart grids: A sustainable future with renewable energy resources. Energies 2020, 13, 6269. [Google Scholar] [CrossRef]
- Ellabban, O.; Abu-Rub, H.; Blaabjerg, F. Renewable energy resources: Current status, future prospects and their enabling technology. Renew. Sustain. Energy Rev. 2014, 39, 748–764. [Google Scholar] [CrossRef]
- Chen, L.; Li, W.; Li, J.; Fu, Q.; Wang, T. Evolution Trend Research of Global Ocean Power Generation Based on a 45-Year Scientometric Analysis. J. Mar. Sci. Eng. 2021, 9, 218. [Google Scholar] [CrossRef]
- Khan, M.J.; Bhuyan, G.; Iqbal, M.T.; Quaicoe, J.E. Hydrokinetic energy conversion systems and assessment of horizontal and vertical axis turbines for river and tidal applications: A technology status review. Appl. Energy 2009, 86, 1823–1835. [Google Scholar] [CrossRef]
- Vermaak, H.J.; Kusakana, K.; Koko, S.P. Status of micro-hydrokinetic river technology in rural applications: A review of literature. Renew. Sustain. Energy Rev. 2014, 29, 625–633. [Google Scholar] [CrossRef]
- Olczak, A.; Stallard, T.; Feng, T.; Stansby, P.K. Comparison of a rans blade element model for tidal turbine arrays with labor-atory scale measurements of wake velocity and rotor thrust. J. Fluids Struct. 2016, 64, 87–106. [Google Scholar] [CrossRef]
- Magagna, D.; Monfardini, R.; Uihlein, A. JRC Ocean Energy Status Report; Publications Office of the European Union: Copenhagen, Denmark, 2016. [Google Scholar]
- Nachtane, M.; Tarfaoui, M.; Goda, I.; Rouway, M. A review on the technologies, design considerations and numerical models of tidal current turbines. Renew. Energy 2020, 157, 1274–1288. [Google Scholar] [CrossRef]
- Walker, S.; Thies, P.R. A review of component and system reliability in tidal turbine deployments. Renew. Sustain. Energy Rev. 2021, 151, 111495. [Google Scholar] [CrossRef]
- Liu, P.; Veitch, B. Design and optimization for strength and integrity of tidal turbine rotor blades. Energy 2012, 46, 393–404. [Google Scholar] [CrossRef]
- Zhu, F.W.; Ding, L.; Huang, B.; Bao, M.; Liu, J.T. Blade design and optimization of a horizontal axis tidal turbine. Ocean Eng. 2020, 195, 106652. [Google Scholar] [CrossRef]
- Creech, A.C.; Borthwick, A.G.; Ingram, D. Effects of support structures in an LES actuator line model of a tidal turbine with contra-rotating rotors. Energies 2017, 10, 726. [Google Scholar] [CrossRef]
- Nan, D.; Shigemitsu, T.; Zhao, S.; Ikebuchi, T.; Takeshima, Y. Study on performance of contra-rotating small hydro-turbine with thinner blade and longer front hub. Renew. Energy 2018, 117, 184–192. [Google Scholar] [CrossRef]
- Huang, B.; Zhu, G.J.; Kanemoto, T. Design and performance enhancement of a bi-directional counter-rotating type horizontal axis tidal turbine. Ocean Eng. 2016, 128, 116–123. [Google Scholar] [CrossRef]
- Baratchi, F.; Jeans, T.L.; Gerber, A.G. Assessment of blade element actuator disk method for simulations of ducted tidal turbines. Renew. Energy 2020, 154, 290–304. [Google Scholar] [CrossRef]
- Allsop, S.; Peyrard, C.; Bousseau, P.; Thies, P. Adapting conventional tools to analyse ducted and open centre tidal stream turbines. Int. Mar. Energy J. 2018, 1, 91–99. [Google Scholar] [CrossRef]
- Rezek, T.J.; Camacho, R.; Filho, N.M.; Limacher, E.J. Design of a Hydrokinetic Turbine Diffuser Based on Optimization and Computational Fluid Dynamics. Appl. Ocean Res. 2020, 107, 102484. [Google Scholar] [CrossRef]
- Tampier, G.; Troncoso, C.; Zilic, F. Numerical analysis of a diffuser-augmented hydrokinetic turbine. Ocean Eng. 2017, 145, 138–147. [Google Scholar] [CrossRef]
- Yan, X.; Liang, X.; Ouyang, W.; Liu, Z.; Liu, B.; Lan, J. A review of progress and applications of ship shaft-less rim-driven thrusters. Ocean Eng. 2017, 144, 142–156. [Google Scholar] [CrossRef]
- Gaggero, S. Numerical design of a RIM-driven thruster using a RANS-based optimization approach. Appl. Ocean Res. 2020, 94, 101941. [Google Scholar] [CrossRef]
- Dubas, A.J.; Bressloff, N.W.; Sharkh, S.M. Numerical modelling of rotor–stator interaction in rim driven thrusters. Ocean Eng. 2015, 106, 281–288. [Google Scholar] [CrossRef] [Green Version]
- Liang, X.; Yan, X.; Ouyang, W.; Liu, Z. Experimental research on tribological and vibration performance of water-lubricated hydrodynamic thrust bearings used in marine shaft-less rim driven thrusters. Wear 2019, 426, 778–791. [Google Scholar] [CrossRef]
- Borg, M.G.; Xiao, Q.; Allsop, S.; Incecik, A.; Peyrard, C. A numerical performance analysis of a ducted, high-solidity tidal turbine. Renew. Energy 2020, 159, 663–682. [Google Scholar] [CrossRef]
- Borg, M.G.; Xiao, Q.; Allsop, S.; Incecik, A.; Peyrard, C. A numerical structural analysis of ducted, high-solidity, fibre-composite tidal turbine rotor configurations in real flow conditions. Ocean Eng. 2021, 233, 109087. [Google Scholar] [CrossRef]
- Song, K.; Yang, B. A Comparative Study on the Hydrodynamic-Energy Loss Characteristics between a Ducted Turbine and a Shaftless Ducted Turbine. J. Mar. Sci. Eng. 2021, 9, 930. [Google Scholar] [CrossRef]
- Djebarri, S.; Charpentier, J.F.; Scuiller, F.; Benbouzid, M. Design and performance analysis of double stator axial flux PM generator for rim driven marine current turbines. IEEE J. Ocean. Eng. 2015, 41, 50–66. [Google Scholar]
- Djebarri, S.; Charpentier, J.F.; Scuiller, F.; Benbouzid, M. Comparison of direct-drive PM generators for tidal turbines. In Proceedings of the International Power Electronics and Application Conference and Exposition, Shanghai, China, 20–22 November 2014. [Google Scholar]
- Feng, B.; Liu, X.; Ying, Y.; Si, Y.; Zhang, D.; Qian, P. Research on the tandem arrangement of the ducted horizontal-axis tidal turbine. Energy Convers. Manag. 2022, 258, 115546. [Google Scholar]
- Open Hydro Ltd. Cape Sharp Tidal, Bay of Fundy, Nova Scotia, Canada. Available online: http://www.openhydro.com/Projects (accessed on 1 March 2018).
- Song, K.; Wang, W.; Yan, Y. Numerical and experimental analysis of a diffuser-augmented micro-hydro turbine. Ocean Eng. 2018, 171, 590–602. [Google Scholar] [CrossRef]
- Jiang, X.; Wang, S.; Si, X.; Yuan, P.; Tan, J. Tidal stream characteristic analysis and micro-sitting selection in sea area around Zhaitang island. Acta Energ. Sol. Sin. 2018, 39, 892–899. (In Chinese) [Google Scholar]
- Menter, F.R. Two-equation eddy-viscosity turbulence models for engineering applications. AIAA J. 1994, 32, 1598–1605. [Google Scholar] [CrossRef]
- Alipour, R.; Alipour, R.; Fardian, F.; Tahan, M.H. Optimum performance of a horizontal axis tidal current turbine: A numerical parametric study and experimental validation. Energy Convers. Manag. 2022, 258, 115533. [Google Scholar] [CrossRef]
- Lee, H.; Lee, D.J. Wake impact on aerodynamic characteristics of horizontal axis wind turbine under yawed flow conditions. Renew. Energy 2019, 136, 383–392. [Google Scholar] [CrossRef]
























| Mesh Density | Total Cells (Million) | ||
|---|---|---|---|
| Coarse | 6.5 | 0.4828 | 0.8439 |
| Medium | 8.5 | 0.4835 | 0.8450 |
| Fine | 10.5 | 0.4863 | 0.8452 |
| Cases | = 0° | = 0° | = 20° | = 20° | = 40° | = 40° | = 60° | = 60° |
|---|---|---|---|---|---|---|---|---|
| 12.04 | 12.70 | 12.18 | 13.18 | 12.91 | 12.65 | 9.13 | 8.62 |
Publisher’s Note: MDPI stays neutral with regard to jurisdictional claims in published maps and institutional affiliations. |
© 2022 by the authors. Licensee MDPI, Basel, Switzerland. This article is an open access article distributed under the terms and conditions of the Creative Commons Attribution (CC BY) license (https://creativecommons.org/licenses/by/4.0/).
Share and Cite
Song, K.; Kang, Y. A Numerical Performance Analysis of a Rim-Driven Turbine in Real Flow Conditions. J. Mar. Sci. Eng. 2022, 10, 1185. https://doi.org/10.3390/jmse10091185
Song K, Kang Y. A Numerical Performance Analysis of a Rim-Driven Turbine in Real Flow Conditions. Journal of Marine Science and Engineering. 2022; 10(9):1185. https://doi.org/10.3390/jmse10091185
Chicago/Turabian StyleSong, Ke, and Yuchi Kang. 2022. "A Numerical Performance Analysis of a Rim-Driven Turbine in Real Flow Conditions" Journal of Marine Science and Engineering 10, no. 9: 1185. https://doi.org/10.3390/jmse10091185
APA StyleSong, K., & Kang, Y. (2022). A Numerical Performance Analysis of a Rim-Driven Turbine in Real Flow Conditions. Journal of Marine Science and Engineering, 10(9), 1185. https://doi.org/10.3390/jmse10091185

