Dynamic Response of a Four-Pile Group Foundation in Liquefiable Soil Considering Nonlinear Soil-Pile Interaction
Abstract
:1. Introduction
2. Numerical Analysis Model
2.1. Finite Element Model
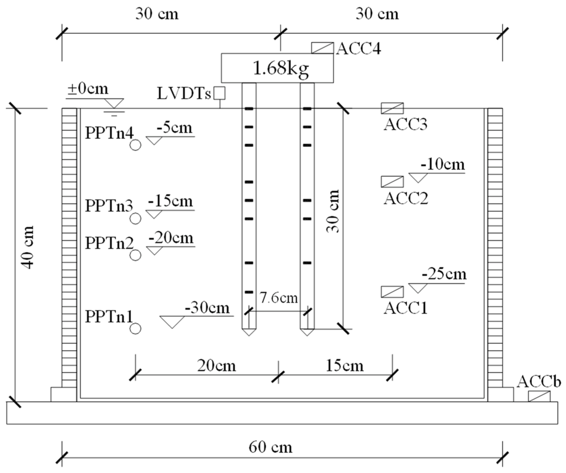
2.2. Centrifuge Shaking Table Test on Group Piles
2.3. Input Dynamic Load
2.4. Soil Constitutive Model
2.5. Pile Model
2.6. Pile-Soil Interface
- In the elastic stage, before the joint element fails, it exhibits elastic behaviour in the normal and tangential directions (Figure 6a), and the normal stress-displacement relationship follows (1):where w is the tangential displacement, and Ks is the tangential stiffness coefficient.τ = ω · Ks
- In the fully plastic stage, the yield stress of the joint element follows the Mohr-Coulomb theory (2),where φ is the effective internal friction angle; c is the soil cohesion; σ is the normal effective stress of the joint elements, which is the total stress minus the pore water pressure.|τyield| = | σ | tan φ + c
2.7. Boundary Conditions
2.8. Observation Points and Initial Effective Stress in Soil
3. Results and Discussion
3.1. Dynamic Response of Soil
3.1.1. Acceleration Response
3.1.2. Excess Pore Water Pressure Ratio
3.2. Surface Settlement
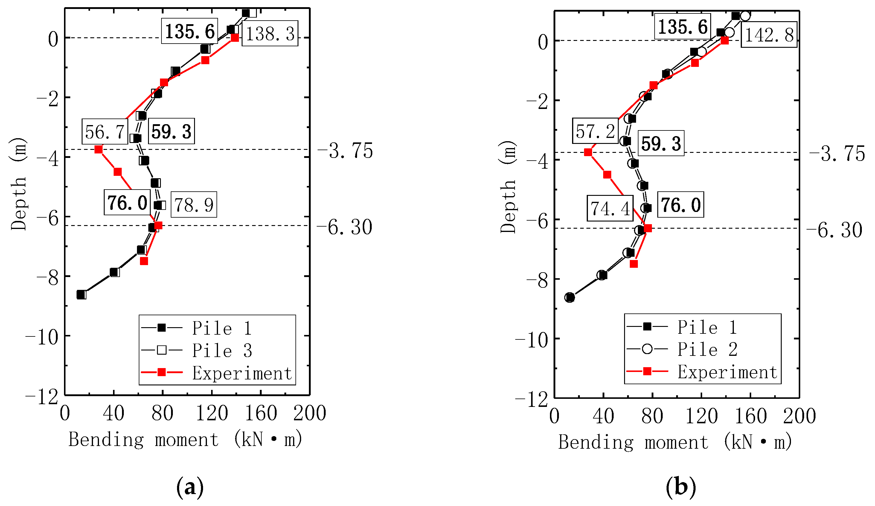
3.3. Pile Bending Moment
3.4. Parametric Study of Interface Elements
3.5. Comparison of Different Piles
4. Conclusions
- The accumulation of excess pore water pressure influences the stiffness of the soil, and the acceleration amplitude of shallow soil is significantly reduced. Before the soil was completely liquefied, the acceleration of the soil near the soil surface increased slightly. When the EPWPR was close to 1.0, and the soil liquefied, the dynamic acceleration was significantly attenuated, and the liquefied soil layer blocked the transmission of waves in the soil.
- The development of EPWP in the soil at different azimuth angles around the pile was different. The EPWPR of the soil at the same vibration plane as the pile (azimuth angle 0°) was the smallest, whereas the largest EPWPR appeared at the vertical vibration plane with an azimuth angle of 90°.
- Considering the volume effect of the pile through the column element, the numerical simulation was closer to the test results, and when the joint element was used in the numerical simulation of the multi-pile foundation to consider the pile-soil contact, the normal stiffness coefficient of the joint element on the side of the pile was the key to the appearance of the inverted point of the pile. Extreme values appeared on the pile top and middle or lower part of the pile. The pile exhibited evident reverse bending characteristics during vibration. This difference in the bending moment of piles at different positions in the pile group can provide an effective theoretical basis for the design of the pile group, particularly the determination of the pile group coefficient commonly used in the design code.
- The water-soil fully coupled dynamic FE-FD method can more accurately reproduce the pore water pressure distribution and reflect the change in soil acceleration with depth. Using column elements to consider the pile volume effect and the joint element to consider the pile-soil contact, the numerical method can simulate the internal force of the pile in liquefiable soil and provide an available reference for the investigation of soil-structure interaction problems.
Author Contributions
Funding
Institutional Review Board Statement
Informed Consent Statement
Data Availability Statement
Conflicts of Interest
References
- Kandasamy, R.; Cui, F.; Townsend, N.; Foo, C.C.; Guo, J.; Shenoi, A.; Xiong, Y. A review of vibration control methods for marine offshore structures. Ocean Eng. 2016, 127, 279–297. [Google Scholar] [CrossRef]
- Chen, W.; Du, X.; Zhang, B.-L.; Cai, Z.; Zheng, Z. Near-Optimal Control for Offshore Structures with Nonlinear Energy Sink Mechanisms. J. Mar. Sci. Eng. 2022, 10, 817. [Google Scholar] [CrossRef]
- Lee, C.J.; Bolton, M.D.; Al-Tabbaa, A. Numerical modelling of group effects on the distribution of dragloads in pile foundations. Geotechnique 2002, 52, 325–335. [Google Scholar] [CrossRef]
- Maeso, O.; Aznárez, J.J.; García, F. Dynamic impedances of piles and groups of piles in saturated soils. Comput. Struct. 2005, 83, 769–782. [Google Scholar] [CrossRef]
- Tamura, S.; Ohno, Y.; Shibata, K.; Funahara, H.; Nagao, T.; Kawamata, Y. E-Defense shaking test and pushover analyses for lateral pile behavior in a group considering soil deformation in vicinity of piles. Soil Dyn. Earthq. Eng. 2021, 142, 106529. [Google Scholar] [CrossRef]
- Hussien, M.N.; Tobita, T.; Iai, S.; Karray, M. Soil-pile-structure kinematic and inertial interaction observed in geotechnical centrifuge experiments. Soil Dyn. Earthq. Eng. 2016, 89, 75–84. [Google Scholar] [CrossRef]
- Zhang, F.; Kimura, M. Numerical Prediction of the Dynamic Behaviors of an RC Group-Pile Foundation. Soils Found. 2002, 42, 77–92. [Google Scholar] [CrossRef]
- Shirato, M.; Nonomura, Y.; Fukui, J.; Nakatani, S. Large-Scale Shake Table Experiment and Numerical Simulation on the Nonlinear Behavior of Pile-Groups Subjected to Large-Scale Earthquakes. Soils Found. 2008, 48, 375–396. [Google Scholar] [CrossRef]
- Maheshwari, B.K.; Watanabe, H. Nonlinear Dynamic Behavior of Pile Foundations: Effects of Separation at the Soil-Pile Interface. Soils Found. 2006, 46, 437–448. [Google Scholar] [CrossRef]
- Bao, X.; Morikawa, Y.; Kondo, Y.; Nakamura, K.; Zhang, F. Shaking table test on reinforcement effect of partial ground improvement for group-pile foundation and its numericalsimulation. Soils Found. 2012, 52, 1043–1061. [Google Scholar] [CrossRef]
- Shi, L.; Xu, C.; Cai, Y.; Geng, X. Dynamic impedances and free-field vibration analysis of pile groups in saturated ground. J. Sound Vib. 2014, 333, 3709–3731. [Google Scholar] [CrossRef]
- Ebeido, A.; Elgamal, A.; Tokimatsu, K.; Abe, A. Pile and Pile-Group Response to Liquefaction-Induced Lateral Spreading in Four Large-Scale Shake-Table Experiments. J. Geotech. Geoenviron. Eng. 2019, 145, 04019080. [Google Scholar] [CrossRef]
- Xu, C.; Dou, P.; Du, X.; El Naggar, M.H.; Miyajima, M.; Chen, S. Seismic performance of pile group-structure system in liquefiable and non-liquefiable soil from large-scale shake table tests. Soil Dyn. Earthq. Eng. 2020, 138, 106299. [Google Scholar] [CrossRef]
- Emani, P.K.; Maheshwari, B.K. Dynamic impedances of pile groups with embedded caps in homogeneous elastic soils using CIFECM. Soil Dyn. Earthq. Eng. 2009, 29, 963–973. [Google Scholar] [CrossRef]
- Sarkar, R.; Maheshwari, B.K. Effects of Separation on the Behavior of Soil-Pile Interaction in Liquefiable Soils. Int. J. Géoméch. 2012, 12, 1–13. [Google Scholar] [CrossRef]
- Luo, C.; Yang, X.; Zhan, C.; Jin, X.; Ding, Z. Nonlinear 3D finite element analysis of soil–pile–structure interaction system subjected to horizontal earthquake excitation. Soil Dyn. Earthq. Eng. 2016, 84, 145–156. [Google Scholar] [CrossRef]
- Zhang, C.; Deng, P.; Ke, W. Assessing physical mechanisms related to kinematic soil-pile interaction. Soil Dyn. Earthq. Eng. 2018, 114, 22–26. [Google Scholar] [CrossRef]
- Chatterjee, K.; Choudhury, D.; Murakami, A.; Fujisawa, K. P-y Curves of 2x2 pile group in liquefiable soil under dynamic loadings. Arab. J. Geosci. 2020, 13, 585. [Google Scholar] [CrossRef]
- Saha, R.; Dutta, S.C.; Haldar, S.; Kumar, S. Effect of soil-pile raft-structure interaction on elastic and inelastic seismic behavior. Structures 2020, 26, 378–395. [Google Scholar] [CrossRef]
- Rahmani, A.; Pak, A. Dynamic behavior of pile foundations under cyclic loading in liquefiable soils. Comput. Geotech. 2012, 40, 114–126. [Google Scholar] [CrossRef]
- Motamed, R.; Towhata, I.; Honda, T.; Tabata, K.; Abe, A. Pile group response to liquefaction-induced lateral spreading: E-Defense large shake table test. Soil Dyn. Earthq. Eng. 2013, 51, 35–46. [Google Scholar] [CrossRef]
- Hussein, A.F.; El Naggar, M.H. Seismic axial behaviour of pile groups in non-liquefiable and liquefiable soils. Soil Dyn. Earthq. Eng. 2021, 149, 106853. [Google Scholar] [CrossRef]
- Xiong, Y.; Bao, Y.; Ye, B.; Ye, G.; Zhang, F. 3D dynamic analysis of the soil–foundation–superstructure system considering the elastoplastic finite deformation of both the soil and the superstructure. Bull. Earthq. Eng. 2018, 16, 1909–1939. [Google Scholar] [CrossRef]
- Castro, G.; Poulos, S.J. Factors affecting liquefaction and cyclic mobility. J. Geotech. Eng. Div. -Asce 1980, 106, 211–214. [Google Scholar] [CrossRef]
- Knappett, J.A.; Madabhushi, S.P. Liquefaction-Induced Settlement of Pile Groups in Liquefiable and Laterally Spreading Soils. J. Geotech. Geoenviron. Eng. 2008, 134, 1609–1618. [Google Scholar] [CrossRef]
- Bao, X.; Ye, G.; Ye, B.; Fu, Y.; Su, D. Co-seismic and post-seismic behavior of an existed shallow foundation and super structure system on a natural sand/silt layered ground. Eng. Comput. 2016, 33, 288–304. [Google Scholar] [CrossRef]
- Bao, X.; Wu, S.; Liu, Z.; Su, D.; Chen, X. Study on the nonlinear behavior of soil–pile interaction in liquefiable soil using 3D numerical method. Ocean Eng. 2022, 258, 111807. [Google Scholar] [CrossRef]
- Zhang, F.; Ye, B.; Noda, T.; Nakano, M.; Nakai, K. Explanation of Cyclic Mobility of Soils: Approach by Stress-Induced Anisotropy. Soils Found. 2007, 47, 635–648. [Google Scholar] [CrossRef]
- Ye, B.; Ye, G.; Zhang, F.; Yashima, A. Experiment and Numerical Simulation of Repeated Liquefaction-Consolidation of Sand. Soils Found. 2007, 47, 547–558. [Google Scholar] [CrossRef]
- Ye, B.; Hu, H.; Bao, X.; Lu, P. Reliquefaction behavior of sand and its mesoscopic mechanism. Soil Dyn. Earthq. Eng. 2018, 114, 12–21. [Google Scholar] [CrossRef]
- Ye, G. DBLEAVES: User’s Manual [DB/CD]; Shanghai Jiaotong University: Shanghai, China, 2013. [Google Scholar]
- Ye, B.; Ye, G.; Zhang, F. Numerical modeling of changes in anisotropy during liquefaction using a generalized constitutive model. Comput. Geotech. 2012, 42, 62–72. [Google Scholar] [CrossRef]
- Arulanandan, K.; Sybico, J. Post-liquefaction settlement of sand mechanism and in situ evaluation. In Proceedings of the Fourth Japan–US Workshop on Earthquake Resistant Design of Lifeline Facilities and Countermeasures for Soil Liquefaction, Honolulu, HI, USA, 27–29 May 1992. [Google Scholar]
- Shahir, H.; Pak, A.; Taiebat, M.; Jeremić, B. Evaluation of variation of permeability in liquefiable soil under earthquake loading. Comput. Geotech. 2012, 40, 74–88. [Google Scholar] [CrossRef]
- Su, D. Centrifuge Investigation on Responses of Sand Deposit and Sand-Pile System under Multi-Directional Earthquake Loading; The Hong Kong University of Science and Technology: Hong Kong, China, 2005. [Google Scholar]























| Parameters | Model Type in Test | Prototype in Simulation | |
|---|---|---|---|
| Gravity Field (g) | 30 | 1 | |
| Model box size (m) | Diameter × height 0.6 × 0.4 | length × width × height 18 × 18 × 12 | |
| Aluminum pipe pile | Yield stress (MPa) | 290 | 290 |
| Young’s modulus, E (GPa) | 70 | 70 | |
| Section size (m) | 0.19 × 0.19 | 0.57 × 0.57 | |
| Thickness (m) | 3.2 × 10−3 | 9.6 × 10−2 | |
| Area (m2) | 2.02 × 10−4 | 0.182 | |
| Moment of inertia Ix (m4) | 8.8 × 10−9 | 7.1 × 10−3 | |
| Poisson’s ratio, ν | 0.3 | 0.3 | |
| Mass at pile top (kg) | 1.68 | 45360 | |
| Type | Peak Ground Acceleration, Ap | Time, T | Frequency, f |
|---|---|---|---|
| Centrifuge experiment (model type) | 3.80 g | 0.6 s | 50 Hz |
| Numerical analysis (prototype) | 0.13 g | 18 s | 1.67 Hz |
| Parameters | Value |
|---|---|
| Critical ratio of principal stress, Rf | 3.14 |
| Compression index, λ | 0.05 |
| Swelling index, κ | 0.008 |
| Reference void ratio, eN (p’ = 98 kPa) | 0.87 |
| Poisson’s ratio, ν | 0.30 |
| Degradation parameter of over-consolidation, mR | 0.10 |
| Degradation parameter of structure, mR* | 2.20 |
| Evolution parameter of anisotropy, br | 1.50 |
| Initial void ratio, e0 | 0.825 |
| Initial degree of structure, R0* | 0.95 |
| Initial anisotropy, ζ0 | 0 |
| Type | Parameters | Model Type in CST Test | Prototype in Calculation |
|---|---|---|---|
| Connection beam atpile top | Size (mm) | 30 × 30 × 4 | 900 × 900 × 120 |
| Area (cm2) | 2.236 | 2010 | |
| Moment of inertia Ix (cm4) | 1.77 × 10−2 | 1.43 × 106 | |
| Mass at pile top | Mass (kg) | 0.42 × 4 = 1.68 | 45,360 |
| Elements | Parameters | Units | Beam 1 | Beam 2 | Beam 3 |
|---|---|---|---|---|---|
| Beam element | E | kPa | 6.3 × 107 | 7.0 × 107 | 7.0 × 107 |
| ν | 1 | 0.20 | 0.20 | 0.20 | |
| A | m2 | 0.182 | 0.182 | 0.201 | |
| Ix and Iy | m4 | 7.1 × 10−3 | 7.1 × 10−3 | 1.43 × 10−2 | |
| ρ | kg/m3 | 7.8 × 103 | 7.8 × 103 | 1.43 × 10−2 | |
| Column element | E | kPa | 5.65 × 106 | - | - |
| ν | 1 | 0.20 | |||
| ρ | kg/m3 | 0 | |||
| Pile side joint element | Kn1 | kN/m3 | 7 × 107 | - | - |
| Ks1 | kN/m3 | 3 | |||
| σt1 | kPa | −1 × 109 | |||
| vcm1 | M | −1 | |||
| C1 | kPa | 0 | |||
| φ1 | 1 | 15° | |||
| Pile bottom joint element | Kn2 | kN/m3 | 7 × 107 | - | - |
| Ks2 | kN/m3 | 1 × 102 | |||
| σt2 | kPa | −1 × 109 | |||
| vcm2 | M | −1 | |||
| C2 | kPa | 0 | |||
| φ2 | 1 | 15° |
| Depth | 0° | 45° | 90° | 45° (Test) |
|---|---|---|---|---|
| −3.0 m | 0.65 | 0.70 | 0.77 | 0.75 |
| −4.5 m | 0.57 | 0.62 | 0.67 | 0.62 |
| −6.0 m | 0.51 | 0.55 | 0.59 | 0.51 |
| −9.0 m | 0.39 | 0.42 | 0.44 | 0.37 |
Publisher’s Note: MDPI stays neutral with regard to jurisdictional claims in published maps and institutional affiliations. |
© 2022 by the authors. Licensee MDPI, Basel, Switzerland. This article is an open access article distributed under the terms and conditions of the Creative Commons Attribution (CC BY) license (https://creativecommons.org/licenses/by/4.0/).
Share and Cite
Yu, Y.; Bao, X.; Liu, Z.; Chen, X. Dynamic Response of a Four-Pile Group Foundation in Liquefiable Soil Considering Nonlinear Soil-Pile Interaction. J. Mar. Sci. Eng. 2022, 10, 1026. https://doi.org/10.3390/jmse10081026
Yu Y, Bao X, Liu Z, Chen X. Dynamic Response of a Four-Pile Group Foundation in Liquefiable Soil Considering Nonlinear Soil-Pile Interaction. Journal of Marine Science and Engineering. 2022; 10(8):1026. https://doi.org/10.3390/jmse10081026
Chicago/Turabian StyleYu, Yiliang, Xiaohua Bao, Zhipeng Liu, and Xiangsheng Chen. 2022. "Dynamic Response of a Four-Pile Group Foundation in Liquefiable Soil Considering Nonlinear Soil-Pile Interaction" Journal of Marine Science and Engineering 10, no. 8: 1026. https://doi.org/10.3390/jmse10081026
APA StyleYu, Y., Bao, X., Liu, Z., & Chen, X. (2022). Dynamic Response of a Four-Pile Group Foundation in Liquefiable Soil Considering Nonlinear Soil-Pile Interaction. Journal of Marine Science and Engineering, 10(8), 1026. https://doi.org/10.3390/jmse10081026

