Experimental Study on the Probability of Different Wave Impact Types on a Vertical Wall with Horizontal Slab by Separation of Quasi-static Wave Impacts
Abstract
:1. Introduction
2. Methods
2.1. Experimental Setup
2.2. Wave Conditions and Experimental Measurements
2.3. Data Processing
3. Results and Discussion
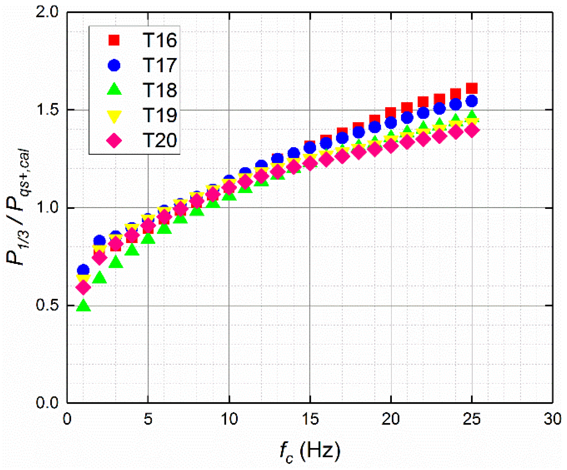
3.1. Role of Cut-Off Frequency for Separation of Quasi-static Wave Impacts from Impulsive Wave Impacts
3.2. Effect of Wave Conditions on the Probabilities of Different Wave Impacts Occurring
3.3. Effect of Structural Clearance on the Probabilities of Different Wave Impacts
3.4. Comparison of Wave Impacts between a Horizontal Slab with and without the Vertical Wall
4. Conclusions
Author Contributions
Funding
Institutional Review Board Statement
Informed Consent Statement
Data Availability Statement
Acknowledgments
Conflicts of Interest
References
- Meinshausen, M.; Meinshausen, N.; Hare, W.; Raper, S.; Frieler, K.; Knutti, R.; Frame, D.; Allen, M. Greenhouse-gas emission targets for limiting global warming to 2 °C. Nature 2009, 458, 1158–1162. [Google Scholar] [CrossRef] [PubMed]
- Jongman, B.; Ward, P. Global exposure to river and coastal flooding: Long term trends and changes. Glob. Environ. Change 2012, 22, 823–835. [Google Scholar] [CrossRef]
- Mazinani, I.; Ismail, Z.; Hashim, A. An overview of tsunami wave force on coastal bridge and open challenges. J. Earthq. Tsunami 2015, 9, 1550006. [Google Scholar] [CrossRef]
- Zang, Z.; Fang, Z.; Zhang, N. Flow mechanism of impulsive wave forces and improvement on hydrodynamic performance of a comb-type breakwater. Coast. Eng. 2018, 133, 142–158. [Google Scholar] [CrossRef]
- Hayatdavoodi, M.; Ertekin, R. Review of wave loads on coastal bridge decks. Appl. Mech. Rev. 2016, 68, 030802. [Google Scholar] [CrossRef]
- Neumann, B.; Vafeidis, A.; Zimmermann, J.; Nicholls, R. Future coastal population growth and exposure to sea-level rise and coastal flooding—A global assessment. PLoS ONE 2015, 10, e0118571. [Google Scholar] [CrossRef] [Green Version]
- Nicholls, R.; Brown, S.; Goodwin, P.; Wahl, T.; Lowe, J.; Solan, M.; Godbold, J.; Haigh, I.; Lincke, D.; Hinkel, J.; et al. Stabilization of global temperature at 1.5 °C and 2.0 °C: Implications for coastal areas. Philos. Trans. R. Soc. A Math. Phys. Eng. Sci. 2018, 376, 20160448. [Google Scholar] [CrossRef]
- Bagnold, R. Interim report on wave-pressure research. (includes plates and photographs). J. Inst. Civ. Eng. 1939, 12, 202–226. [Google Scholar] [CrossRef]
- Mitsuyasu, H. Shock pressure of breaking wave. Coast. Eng. Jpn. 1966, 9, 83–96. [Google Scholar] [CrossRef]
- Hull, P.; Müller, G. An investigation of breaker heights, shapes and pressures. Ocean Eng. 2002, 29, 59–79. [Google Scholar] [CrossRef]
- Obhrai, C.; Bullock, G.; Wolters, G.; Muller, G.; Peregrine, H.; Bredmose, H.; Grune, J. Violent wave impacts on vertical and inclined walls: Large scale model tests. In Proceedings of the Coastal Engineering, Lisbon, Portugal, 19–24 September 2004. [Google Scholar]
- Hofland, B.; Kaminski, M.; Wolters, G. Large scale wave impacts on a vertical wall. In Proceedings of the Coastal Engineering, Shanghai, China, 30 June–5 July 2010. [Google Scholar]
- Hu, Z.; Mai, T.; Greaves, D.; Raby, A. Investigations of offshore breaking wave impacts on a large offshore structure. J. Fluids Struct. 2017, 75, 99–116. [Google Scholar] [CrossRef] [Green Version]
- Kirkgöz, M.S. Shock pressures of breaking wave on vertical walls. J. Waterw. Port Coast. Ocean. Div. 1982, 108, 81–95. [Google Scholar] [CrossRef]
- Allsop, N.W.H.; Vann, A.M.; Howarth, M.; Jones, R.; Davis, J.P. Measurements of wave impacts at full scale: Results of fieldwork on concrete armour units. In Proceedings of the ICE Breakwaters Conference, London, UK, 27–29 April 1995; pp. 287–302. [Google Scholar]
- Cuomo, G.; Allsop, W.; Bruce, T.; Pearson, J. Breaking wave loads at vertical seawalls and breakwaters. Coast. Eng. 2010, 57, 424–439. [Google Scholar] [CrossRef] [Green Version]
- Marzeddu, A.; Oliveira, T.C.A.; Gironella, F.X.; Sanchez-Arcilla, A. Variability of wave impact measurements on vertical breakwaters. J. Hydraul. Res. 2017, 55, 772–786. [Google Scholar] [CrossRef]
- Goda, Y. New wave pressure formulae for composite breakwaters. In Proceedings of the 14th International Conference on Coastal Engineering, Copenhagen, Denmark, 24–28 June 1974. [Google Scholar]
- Cuomo, G.; Tirindelli, M.; Allsop, W. Wave-in-deck loads on exposed jetties. Coast. Eng. 2007, 54, 657–679. [Google Scholar] [CrossRef]
- Istrati, D.; Buckle, I.; Lomonaco, P.; Yim, S. Deciphering the Tsunami Wave Impact and Associated Connection Forces in Open-Girder Coastal Bridges. J. Mar. Sci. Eng. 2018, 6, 148. [Google Scholar] [CrossRef] [Green Version]
- Chen, C.; Melville, B.; Nandasena, N.; Shamseldin, A.; Wotherspoon, L. Experimental study of uplift loads due to tsunami bore impact on a wharf model. Coast. Eng. 2016, 117, 126–137. [Google Scholar] [CrossRef]
- Park, H.; Tomiczek, T.; Cox, D.; van de Lindt, J.; Lomonaco, P. Experimental modeling of horizontal and vertical wave forces on an elevated coastal structure. Coast. Eng. 2017, 128, 58–74. [Google Scholar] [CrossRef]
- Huang, J.; Chen, G. Experimental modeling of wave load on a pile-supported wharf with pile breakwater. Ocean Eng. 2020, 201, 107149. [Google Scholar] [CrossRef]
- Cuomo, G.; Shimosako, K.; Takahashi, S. Wave-in-deck loads on coastal bridges and the role of air. Coast. Eng. 2009, 56, 793–809. [Google Scholar] [CrossRef]
- Castellino, M.; Sammarco, P.; Romano, A.; Martinelli, L.; Ruol, P.; Franco, L.; De Girolamo, P. Large impulsive forces on recurved parapets under non-breaking waves. A numerical study. Coast. Eng. 2018, 136, 1–15. [Google Scholar] [CrossRef]
- Kisacik, D.; Troch, P.; Van Bogaert, P. Description of loading conditions due to violent wave impacts on a vertical structure with an overhanging horizontal cantilever slab. Coast. Eng. 2012, 60, 201–226. [Google Scholar] [CrossRef]
- Kisacik, D.; Troch, P.; Van Bogaert, P. Experimental study of violent wave impact on a vertical structure with an overhanging horizontal cantilever slab. Ocean. Eng. 2012, 49, 1–15. [Google Scholar] [CrossRef]
- Kisacik, D.; Troch, P.; Van Bogaert, P.; Caspeele, R. Investigation of uplift impact forces on a vertical wall with an overhanging horizontal cantilever slab. Coast. Eng. 2014, 90, 12–22. [Google Scholar] [CrossRef]
- Kisacik, D.; Tarakcioglu, G.; Troch, P. Wave-induced uprush jet velocity on a vertical structure. Ocean Eng. 2016, 127, 103–113. [Google Scholar] [CrossRef]
- Martinelli, L.; Ruol, P.; Volpato, M.; Favaretto, C.; Castellino, M.; De Girolamo, P.; Francoc, L.; Romanob, A.; Sammarco, P. Experimental investigation on non-breaking wave forces and overtopping at the recurved parapets of vertical breakwaters. Coast. Eng. 2018, 141, 52–67. [Google Scholar] [CrossRef]
- Chen, X.; Hofland, B.; Molenaar, W.; Capel, A.; Van Gent, M. Use of impulses to determine the reaction force of a hydraulic structure with an overhang due to wave impact. Coast. Eng. 2019, 147, 75–88. [Google Scholar] [CrossRef]
- De Almeida, E.; Hofland, B. Validation of pressure-impulse theory for standing wave impact loading on vertical hydraulic structures with short overhangs. Coast. Eng. 2020, 159, 103702. [Google Scholar] [CrossRef]
- De Almeida, E.; Hofland, B. Experimental Observations on Impact Velocity and Entrapped Air for Standing Wave Impacts on Vertical Hydraulic Structures with Overhangs. J. Mar. Sci. Eng. 2020, 8, 857. [Google Scholar] [CrossRef]
- De Almeida, E.; Hofland, B. Standing wave impacts on vertical hydraulic structures with overhangs for varying wave fields and configurations. J. Coast. Hydraul. Struct. 2021, 1, 1–24. [Google Scholar]
- Huang, J.; Chen, G. Experimental study on wave impulse and characteristic pressure of a vertical wall with overhanging horizontal cantilever slab. Ocean Eng. 2020, 217, 108055. [Google Scholar] [CrossRef]
- Huang, J.; Chen, G. Experimental study of wave impact on a vertical wall with overhanging horizontal cantilever slab and structural response analysis. Ocean Eng. 2022, 247, 110765. [Google Scholar] [CrossRef]
- Anagnostopoulos, S. Dynamic response of offshore platforms to extreme waves including fluid-structure interaction. Eng. Struct. 1982, 4, 179–185. [Google Scholar] [CrossRef]
- Istrati, D.; Buckle, I. Effect of fluid-structure interaction on connection forces in bridges due to tsunami loads. In Proceedings of the 30th US-Japan Bridge Engineering Workshop, Washington, DC, USA, 21–23 October 2014. [Google Scholar]
- Choi, S.; Lee, K.; Gudmestad, O. The effect of dynamic amplification due to a structure’s vibration on breaking wave impact. Ocean Eng. 2015, 96, 8–20. [Google Scholar] [CrossRef]
- Brito, M.; Ferreira, R.; Teixeira, L.; Neves, M.; Canelas, R. Experimental investigation on the power capture of an oscillating wave surge converter in unidirectional waves. Renew. Energy 2020, 151, 975–992. [Google Scholar] [CrossRef]
- Brito, M.; Ferreira, R.; Teixeira, L.; Neves, M.; Gil, L. Experimental Investigation of the Flow Field in the Vicinity of an Oscillating Wave Surge Converter. J. Mar. Sci. Eng. 2020, 8, 976. [Google Scholar] [CrossRef]
- Kortenhaus, A.; Oumeraci, H. Classification of wave loading on monolithic coastal structures. In Proceedings of the 26th International Conference on Coastal Engineering, Copenhagen, Denmark, 22–26 June 1998. [Google Scholar]
- Streicher, M.; Kortenhaus, A.; Marinov, K.; Hirt, M.; Hughes, S.; Hofland, B.; Scheres, B.; Schüttrumpf, H. Classification of bore patterns induced by storm waves overtopping a dike crest and their impact types on dike mounted vertical walls—A large-scale model study. Coast. Eng. J. 2019, 61, 321–339. [Google Scholar] [CrossRef] [Green Version]
- Jose, J.; Podrazka, O.; Obhrai, C.; Gudmestad, O.; Cieslikiewicz, W. Methods for analysing wave slamming loads on truss structures used in offshore wind applications based on experimental data. Int. J. Offshore Polar Eng. 2016, 26, 100–108. [Google Scholar] [CrossRef]
- Istrati, D.; Buckle, I. Role of trapped air on the tsunami-induced transient loads and response of coastal bridges. Geosciences 2019, 9, 191. [Google Scholar] [CrossRef] [Green Version]
- Seiffert, B.; Ertekin, R.; Robertson, I. Wave loads on a coastal bridge deck and the role of entrapped air. Appl. Ocean Res. 2015, 53, 91–106. [Google Scholar] [CrossRef]
- Thomson, R.; Emery, W. Data Analysis Methods in Physical Oceanography, 3rd ed.; Elsevier: Amsterdam, The Netherlands, 2014. [Google Scholar]
- Xiang, T.; Istrati, D.; Yim, S.; Buckle, I.; Lomonaco, P. Tsunami Loads on a Representative Coastal Bridge Deck: Experimental Study and Validation of Design Equations. J. Waterw. Port Coast. Ocean. Eng. 2020, 146, 04020022. [Google Scholar] [CrossRef]
- Oumeraci, H.; Klammer, P.; Partenscky, H. Classification of breaking wave loads on vertical structures. J. Waterw. Port Coast. Ocean. Eng. 1993, 119, 381–397. [Google Scholar] [CrossRef]
- Oumeraci, H.; Kortenhaus, A. Analysis of the dynamic response of caisson breakwaters. Coast. Eng. 1994, 22, 159–183. [Google Scholar] [CrossRef]
- Humar, J. Dynamics of Structures, 3rd ed.; CRC Press: Boca Raton, FL, USA, 2012. [Google Scholar]















| Trial | c (m) | Hs (m) | Tp (s) | Tested Configurations | Trial | c (m) | Hs (m) | Tp (s) | Tested Configurations |
|---|---|---|---|---|---|---|---|---|---|
| T1 | −0.1 | 0.05 | 1.45 | C2 | T19 | 0 | 0.125 | 1.45 | C1, C2 |
| T2 | −0.1 | 0.075 | 1.45 | C2 | T20 | 0 | 0.15 | 1.45 | C1, C2 |
| T3 | −0.1 | 0.1 | 1.45 | C2 | T21 | 0.02 | 0.05 | 1.45 | C2 |
| T4 | −0.1 | 0.125 | 1.45 | C2 | T22 | 0.02 | 0.075 | 1.45 | C2 |
| T5 | −0.1 | 0.15 | 1.45 | C2 | T23 | 0.02 | 0.1 | 1.45 | C2 |
| T6 | −0.05 | 0.05 | 1.45 | C2 | T24 | 0.02 | 0.125 | 1.45 | C2 |
| T7 | −0.05 | 0.075 | 1.45 | C2 | T25 | 0.02 | 0.15 | 1.45 | C2 |
| T8 | −0.05 | 0.1 | 1.45 | C2 | T26 | 0.05 | 0.05 | 1.45 | C2 |
| T9 | −0.05 | 0.125 | 1.45 | C2 | T27 | 0.05 | 0.075 | 1.45 | C2 |
| T10 | −0.05 | 0.15 | 1.45 | C2 | T28 | 0.05 | 0.1 | 1.45 | C2 |
| T11 | −0.02 | 0.05 | 1.45 | C2 | T29 | 0.05 | 0.125 | 1.45 | C2 |
| T12 | −0.02 | 0.075 | 1.45 | C2 | T30 | 0.05 | 0.15 | 1.45 | C2 |
| T13 | −0.02 | 0.1 | 1.45 | C2 | T31 | 0.1 | 0.05 | 1.45 | C2 |
| T14 | −0.02 | 0.125 | 1.45 | C2 | T32 | 0.1 | 0.075 | 1.45 | C2 |
| T15 | −0.02 | 0.15 | 1.45 | C2 | T33 | 0.1 | 0.1 | 1.45 | C2 |
| T16 | 0 | 0.05 | 1.45 | C1, C2 | T34 | 0.1 | 0.125 | 1.45 | C2 |
| T17 | 0 | 0.075 | 1.45 | C1, C2 | T35 | 0.1 | 0.15 | 1.45 | C2 |
| T18 | 0 | 0.1 | 1.45 | C1, C2 |
| Instrument Description | Instrument | x (m) | y (m) | z (m) |
|---|---|---|---|---|
| Wave paddle | WP | 0 | - | - |
| Wave gauge | WG1 | 15 | 0.25 | - |
| Wave gauge | WG2 | 30 | 0.25 | - |
| Wave gauge | WG3 | 45 | 0.25 | - |
| Pressure sensor (overhanging horizontal cantilever slab) | PS1 | 50.015 | 0.25 | 0.4–0.6 |
| Pressure sensor (overhanging horizontal cantilever slab) | PS2 | 50.095 | 0.25 | 0.4–0.6 |
| Pressure sensor (overhanging horizontal cantilever slab) | PS3 | 50.155 | 0.25 | 0.4–0.6 |
| Pressure sensor (overhanging horizontal cantilever slab) | PS4 | 50.215 | 0.25 | 0.4–0.6 |
| Pressure sensor (overhanging horizontal cantilever slab) | PS5 | 50.275 | 0.25 | 0.4–0.6 |
| Pressure sensor (overhanging horizontal cantilever slab) | PS6 | 50.355 | 0.25 | 0.4–0.6 |
| Pressure sensor (overhanging horizontal cantilever slab) | PS7 | 50.415 | 0.25 | 0.4–0.6 |
| Pressure sensor (overhanging horizontal cantilever slab) | PS8 | 50.475 | 0.25 | 0.4–0.6 |
| Pressure sensor (vertical wall) | PS9 | 50.48 | 0.25 | 0.59 |
| Pressure sensor (vertical wall) | PS10 | 50.48 | 0.25 | 0.54 |
| Pressure sensor (vertical wall) | PS11 | 50.48 | 0.25 | 0.51 |
| Pressure sensor (vertical wall) | PS12 | 50.48 | 0.25 | 0.49 |
| Pressure sensor (vertical wall) | PS13 | 50.48 | 0.25 | 0.47 |
| Pressure sensor (vertical wall) | PS14 | 50.48 | 0.25 | 0.44 |
| Pressure sensor (vertical wall) | PS15 | 50.48 | 0.25 | 0.39 |
| Pressure sensor (vertical wall) | PS16 | 50.48 | 0.25 | 0.33 |
| Pressure sensor (vertical wall) | PS17 | 50.48 | 0.25 | 0.27 |
| Pressure sensor (vertical wall) | PS18 | 50.48 | 0.25 | 0.21 |
| Pressure sensor (vertical wall) | PS19 | 50.48 | 0.25 | 0.12 |
| Pressure sensor (vertical wall) | PS20 | 50.48 | 0.25 | 0.03 |
| Pim/Pqs+ | Wave Impact Types |
|---|---|
| >2.5 | Impulsive |
| 1.2–2.5 | Dynamic |
| <1.2 | Quasi-static |
| Wave Trials | Calculated Values from Equation (1) | Measured Values P1/3 from Model Tests (kPa) | |||||
|---|---|---|---|---|---|---|---|
| Pqs+,cal (kPa) | fc = 5 Hz | fc = 6 Hz | fc = 7 Hz | fc = 8 Hz | fc = 9 Hz | fc = 10 Hz | |
| T16 | 0.24 | 0.21 | 0.23 | 0.24 | 0.25 | 0.26 | 0.27 |
| T17 | 0.37 | 0.34 | 0.36 | 0.37 | 0.39 | 0.40 | 0.42 |
| T18 | 0.49 | 0.41 | 0.43 | 0.46 | 0.48 | 0.50 | 0.52 |
| T19 | 0.60 | 0.57 | 0.59 | 0.61 | 0.63 | 0.66 | 0.68 |
| T20 | 0.71 | 0.65 | 0.68 | 0.71 | 0.74 | 0.76 | 0.78 |
| Different Types of Wave Impact | Relative Structural Clearance | |
|---|---|---|
| Horizontal Overhanging Cantilever Slab | Vertical Wall | |
| Impulsive | c/Hs > −0.20 | c/Hs > −0.10 |
| Dynamic | −0.80 < c/Hs < −0.20 | −0.50 < c/Hs < −0.10 |
| Quasi-static | c/Hs < −0.80 | c/Hs < −0.50 |
| Different Types of Wave Impact | Range of Magnification Factor | |
|---|---|---|
| Lower Limit | Upper Limit | |
| Impulsive | 0.3 | 0.7 |
| Dynamic | 0.7 | 1.8 |
| Quasi-static | 1 | 1.8 |
Publisher’s Note: MDPI stays neutral with regard to jurisdictional claims in published maps and institutional affiliations. |
© 2022 by the authors. Licensee MDPI, Basel, Switzerland. This article is an open access article distributed under the terms and conditions of the Creative Commons Attribution (CC BY) license (https://creativecommons.org/licenses/by/4.0/).
Share and Cite
Huang, J.; Chen, G.; Lowe, R.J. Experimental Study on the Probability of Different Wave Impact Types on a Vertical Wall with Horizontal Slab by Separation of Quasi-static Wave Impacts. J. Mar. Sci. Eng. 2022, 10, 615. https://doi.org/10.3390/jmse10050615
Huang J, Chen G, Lowe RJ. Experimental Study on the Probability of Different Wave Impact Types on a Vertical Wall with Horizontal Slab by Separation of Quasi-static Wave Impacts. Journal of Marine Science and Engineering. 2022; 10(5):615. https://doi.org/10.3390/jmse10050615
Chicago/Turabian StyleHuang, Jianjun, Guoping Chen, and Ryan J. Lowe. 2022. "Experimental Study on the Probability of Different Wave Impact Types on a Vertical Wall with Horizontal Slab by Separation of Quasi-static Wave Impacts" Journal of Marine Science and Engineering 10, no. 5: 615. https://doi.org/10.3390/jmse10050615
APA StyleHuang, J., Chen, G., & Lowe, R. J. (2022). Experimental Study on the Probability of Different Wave Impact Types on a Vertical Wall with Horizontal Slab by Separation of Quasi-static Wave Impacts. Journal of Marine Science and Engineering, 10(5), 615. https://doi.org/10.3390/jmse10050615

