CFRP Strengthening and Rehabilitation of Inner Corroded Steel Pipelines under External Pressure
Abstract
:1. Introduction
2. Description of the Repaired Model
2.1. Numerical Model
2.2. Adhesive Model
2.3. Boundary Condition
2.4. CFRP and Steel Pipes’ Properties
3. Numerical Method for Collapse of Repaired Pipe
3.1. Loading Regime
3.2. Methodology of the Present Work
3.3. Pipeline Failure Criteria
3.4. Model Verification and Mesh-Size Sensitivity
4. Results and Discussion
4.1. Stress Response under Ultimate External Pressure
4.2. Stress–Time History Response Analysis
5. Influential Factors
5.1. Longitudinal Length of Defect and CFRP
5.2. Metal Loss Rate
5.3. Thickness of CFRP
6. Conclusions
- CFRP limits the deformation at the junction of defects and complete pipe segments, thereby increasing the local radial stiffness of the pipe and the stability of the defect parts. The interaction of CFRP with the steel pipe causes the deformation at the defects of the steel pipe to be limited by the uncorroded pipe. CFRP can effectively limit the local deformation of the pipeline and disperse the stress inside it, which improves the pipeline’s overall stability.
- CFRP disperses the stress concentration well when the water pressure is small and the stress at the concave position of the pipeline is no longer a dangerous point of the pipeline. CFRP can significantly improve the stress concentration of steel pipes and delay the occurrence of pipeline collapse. Local CFRP failure is an important cause of pipeline instability.
- The decrease in stiffness of the interlayer bonding layer is an important factor that causes the local instability of the pipeline, and the ultimate bearing capacity of the repaired pipeline can be improved by improving the ductility and the maximum-failure tensile force of the interlayer bonding.
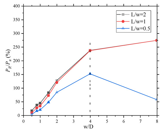
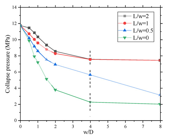
- When the defect length is less than the diameter, the collapse pressure of the repaired pipeline can reach 72.98–97.53%, and the repair effect increases with the increase in CFRP length. When the defect length is less than the CFRP length and the defect length is less than four times the diameter, the crushing pressure of the repaired pipeline is increased by 3.1–274%, and the repair effect increases with the increase in the defect length. When the defect length is greater than four times the diameter, the repair effect decreases with the increase in the defect length.
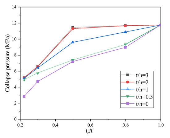
- When the defect wall thickness/steel wall thickness is less than 0.3, increasing the CFRP thickness cannot significantly improve the repair effect; when the ratio of the tc/t defect wall thickness and the wall thickness is greater than 0.3, increasing the CFRP wall thickness can improve the ultimate bearing capacity of the repaired pipeline. When the CFRP wall thickness is two times the steel pipe wall’s thickness, the repair efficiency is the highest, and the bearing limit of the pipeline after repair can reach 100%. When it is more than two times the steel pipe wall’s, it has no obvious effect on the bearing limit after the repair. If the ratio of the wall thickness of the defect and the wall thickness of the steel pipe is greater than 0.5, the ultimate bearing capacity of the pipeline after repair is the same as before the repair.
Author Contributions
Funding
Institutional Review Board Statement
Informed Consent Statement
Conflicts of Interest
References
- Yun, H.D.; Peek, R.R.; Paslay, P.R.; Kopp, F.F. Loading History Effects for Deep-Water S-Lay of Pipelines. J. Offshore Mech. Arct. Eng. 2004, 126, 156–163. [Google Scholar] [CrossRef]
- Xie, P.; Zhao, Y.; Yue, Q.; Palmer, A.C. Dynamic loading history and collapse analysis of the pipe during deepwater S-lay operation. Mar. Struct. 2015, 40, 183–192. [Google Scholar] [CrossRef]
- Yuan, L.; Kyriakides, S. Liner wrinkling and collapse of bi-material pipe under axial compression. Int. J. Solids Struct. 2015, 60–61, 48–59. [Google Scholar] [CrossRef]
- Kyriakides, S. Effects of Reeling on Pipe Structural Performance—Part I: Experiments. J. Offshore Mech. Arct. Eng. 2017, 139, 051706. [Google Scholar] [CrossRef]
- Dyau, J.Y.; Kyriakides, S. On the localization of collapse in cylindrical shells under external pressure. Int. J. Solids Struct. 1993, 30, 463–482. [Google Scholar] [CrossRef]
- Sakakibara, N.; Kyriakides, S.; Corona, E. Collapse of partially corroded or worn pipe under external pressure. Int. J. Mech. Sci. 2008, 50, 1586–1597. [Google Scholar] [CrossRef]
- Netto, T.A. A simple procedure for the prediction of the collapse pressure of pipelines with narrow and long corrosion defects—Correlation with new experimental data. Appl. Ocean Res. 2010, 32, 132–134. [Google Scholar] [CrossRef]
- Ramasamy, R.; Ya, T.T. Nonlinear finite element analysis of collapse and post-collapse behaviour in dented submarine pipelines. Appl. Ocean Res. 2014, 46, 116–123. [Google Scholar] [CrossRef]
- Wang, H.; Yu, Y.; Yu, J.; Jin, C.; Zhao, Y.; Fan, Z.; Zhang, Y. Effect of 3D random pitting defects on the collapse pressure of pipe—Part II: Numerical analysis. Thin-Walled Struct. 2018, 129, 527–541. [Google Scholar] [CrossRef]
- Wang, H.; Yu, Y.; Yu, J.; Duan, J.; Zhang, Y.; Li, Z.; Wang, C. Effect of 3D random pitting defects on the collapse pressure of pipe—Part I: Experiment. Thin-Walled Struct. 2018, 129, 512–526. [Google Scholar] [CrossRef]
- Wang, H.; Yu, Y.; Xu, W.; Li, Z.; Yu, S. Time-variant burst strength of pipe with corrosion defects considering mechano-electrochemical interaction. Thin-Walled Struct. 2021, 169, 108479. [Google Scholar] [CrossRef]
- Junior, N.M.; Carrasquila, A.; Figueiredo, A.A.; da Fonseca, C. Worn pipes collapse strength: Experimental and numerical study. J. Pet. Sci. Eng. 2015, 133, 328–334. [Google Scholar] [CrossRef]
- Zhang, X.; Pan, G. Collapse of thick-walled subsea pipelines with imperfections subjected to external pressure. Ocean Eng. 2020, 213, 107705. [Google Scholar] [CrossRef]
- Chen, B.-Q.; Zhang, X.; Soares, C.G. The effect of general and localized corrosions on the collapse pressure of subsea pipelines. Ocean Eng. 2022, 247, 110719. [Google Scholar] [CrossRef]
- Chen, Y.; Dong, S.; Zang, Z.; Ao, C.; Liu, H.; Gao, M.; Ma, S.; Zhang, E.; Cao, J. Buckling analysis of subsea pipeline with idealized corrosion defects using homotopy analysis method. Ocean Eng. 2021, 234, 108865. [Google Scholar] [CrossRef]
- Yu, J.; Xu, W.; Yu, Y.; Wang, H.; Li, H.; Xu, S.; Han, M. Effectiveness of concrete grouting method for deep-sea pipeline repairs. Thin-Walled Struct. 2021, 169, 108336. [Google Scholar] [CrossRef]
- Johns, T.G.; Mesloh, R.E.; Sorenson, J.E.; Laboratories, B.C. Propagating Buckle Arrestors for Offshore Pipelines. J. Press. Vessel Technol. 1978, 100, 206–214. [Google Scholar] [CrossRef]
- Hahn, G.D.; She, M.; Carney, J.F. Buckle propagation and arresting in offshore pipelines. Thin-Walled Struct. 1994, 18, 247–260. [Google Scholar] [CrossRef]
- Lee, L.-H.; Kyriakides, S. On the arresting efficiency of slip-on buckle arrestors for offshore pipelines. Int. J. Mech. Sci. 2004, 46, 1035–1055. [Google Scholar] [CrossRef]
- Netto, T.A.; Kyriakides, S. Dynamic performance of integral buckle arrestors for offshore pipelines. Part I: Experiments. Int. J. Mech. Sci. 2000, 42, 1405–1423. [Google Scholar] [CrossRef]
- Netto, T.A.; Kyriakides, S. Dynamic performance of integral buckle arrestors for offshore pipelines. Part II: Analysis. Int. J. Mech. Sci. 2000, 42, 1425–1452. [Google Scholar] [CrossRef]
- Lee, L.-H.; Kyriakides, S.; Netto, T.A. Integral buckle arrestors for offshore pipelines: Enhanced design criteria. Int. J. Mech. Sci. 2008, 50, 1058–1064. [Google Scholar] [CrossRef]
- Bardi, F.; Kyriakides, S. Plastic buckling of circular tubes under axial compression—Part I: Experiments. Int. J. Mech. Sci. 2006, 48, 830–841. [Google Scholar] [CrossRef]
- Bruce, W.A. Comparison of Fiber-Reinforced Polymer Wrapping Versus Steel Sleeves for Repair of Pipelines; Elsevier: Amsterdam, The Netherlands, 2015; ISBN 9780857096920. [Google Scholar]
- Farag, M.H.; Mahdi, E. New approach of pipelines joining using fiber reinforced plastics composites. Compos. Struct. 2019, 228, 111341. [Google Scholar] [CrossRef] [Green Version]
- Lim, K.S.; Azraai, S.N.A.; Yahaya, N.; Noor, N.M.; Zardasti, L.; Kim, J.-H.J. Behaviour of steel pipelines with composite repairs analysed using experimental and numerical approaches. Thin-Walled Struct. 2019, 139, 321–333. [Google Scholar] [CrossRef]
- Yu, J.; Xu, W.; Chen, N.-Z.; Jiang, S.; Xu, S.; Li, H.; Han, M. Effect of dent defects on the collapse pressure of sandwich pipes. Thin-Walled Struct. 2022, 170, 108608. [Google Scholar] [CrossRef]
- Sun, C.; Mao, D.; Zhao, T.; Shang, X.; Wang, Y.; Duan, M. Investigate Deepwater Pipeline Oil Spill Emergency Repair Methods. Aquat. Procedia 2015, 3, 191–196. [Google Scholar] [CrossRef]
- Keller, M.W.; Jellison, B.D.; Ellison, T. Moisture effects on the thermal and creep performance of carbon fiber/epoxy composites for structural pipeline repair. Compos. Part B Eng. 2013, 45, 1173–1180. [Google Scholar] [CrossRef]
- Wonderly, C.; Grenestedt, J.; Fernlund, G.; Cěpus, E. Comparison of mechanical properties of glass fiber/vinyl ester and carbon fiber/vinyl ester composites. Compos. Part B Eng. 2005, 36, 417–426. [Google Scholar] [CrossRef]
- Lukács, J.; Nagy, G.; Török, I.; Égert, J.; Pere, B. Experimental and numerical investigations of external reinforced damaged pipelines. Procedia Eng. 2010, 2, 1191–1200. [Google Scholar] [CrossRef] [Green Version]
- Xu, X.; Shao, Y.; Gao, X.; Mohamed, H.S. Stress concentration factor (SCF) of CHS gap TT-joints reinforced with CFRP. Ocean Eng. 2022, 247, 110722. [Google Scholar] [CrossRef]
- Kong, D.; Huang, X.; Xin, M.; Xian, G. Effects of defect dimensions and putty properties on the burst performances of steel pipes wrapped with CFRP composites. Int. J. Press. Vessel. Pip. 2020, 186, 104139. [Google Scholar] [CrossRef]
- Elchalakani, M. Rehabilitation of corroded steel CHS under combined bending and bearing using CFRP. J. Constr. Steel Res. 2016, 125, 26–42. [Google Scholar] [CrossRef]
- Elchalakani, M.; Karrech, A.; Basarir, H.; Hassanein, M.F.; Fawzia, S. CFRP strengthening and rehabilitation of corroded steel pipelines under direct indentation. Thin-Walled Struct. 2017, 119, 510–521. [Google Scholar] [CrossRef] [Green Version]
- Mohamed, H.S.; Shao, Y.; Chen, C.; Shi, M. Static strength of CFRP-strengthened tubular TT-joints containing initial local corrosion defect. Ocean Eng. 2021, 236, 109484. [Google Scholar] [CrossRef]
- Mokhtari, M.; Nia, A.A. The influence of using CFRP wraps on performance of buried steel pipelines under permanent ground deformations. Soil Dyn. Earthq. Eng. 2015, 73, 29–41. [Google Scholar] [CrossRef]
- Shamsuddoha; Manalo, A.; Aravinthan, T.; Islam, M.; Djukic, L. Failure analysis and design of grouted fibre-composite repair system for corroded steel pipes. Eng. Fail. Anal. 2021, 119, 104979. [Google Scholar] [CrossRef]
- Meriem-Benziane, M.; Abdul-Wahab, S.A.; Zahloul, H.; Babaziane, B.; Hadj-Meliani, M.; Pluvinage, G. Finite element analysis of the integrity of an API X65 pipeline with a longitudinal crack repaired with single- and double-bonded composites. Compos. Part B Eng. 2015, 77, 431–439. [Google Scholar] [CrossRef]
- Kupski, J.; Teixeira de Freitas, S. Design of adhesively bonded lap joints with laminated CFRP adherends: Review, challenges and new opportunities for aerospace structures. Compos. Struct. 2021, 268, 113923. [Google Scholar] [CrossRef]
- Borrie, D.; Liu, H.B.; Zhao, X.L.; Raman, R.K.S.; Bai, Y. Bond durability of fatigued CFRP-steel double-lap joints pre-exposed to marine environment. Compos. Struct. 2015, 131, 799–809. [Google Scholar] [CrossRef]
- Ramirez, F.A.; Carlsson, L.A.; Acha, B.A. Evaluation of water degradation of vinylester and epoxy matrix composites by single fiber and composite tests. J. Mater. Sci. 2008, 43, 5230–5242. [Google Scholar] [CrossRef]
- Hu, L.; Li, M.; Yiliyaer, T.; Gao, W.; Wang, H. Strengthening of cracked DH36 steel plates by CFRP sheets under fatigue loading at low temperatures. Ocean Eng. 2022, 243, 110203. [Google Scholar] [CrossRef]
- Alrsai, M.; Karampour, H.; Hall, W.; Lindon, A.K.; Albermani, F. Carbon fibre buckle arrestors for offshore pipelines. Appl. Ocean Res. 2021, 111, 102633. [Google Scholar] [CrossRef]
- Jimenez-Vicaria, J.D.; Pulido, M.D.G.; Castro-Fresno, D. Influence of carbon fibre stiffness and adhesive ductility on CFRP-steel adhesive joints with short bond lengths. Constr. Build. Mater. 2020, 260, 119758. [Google Scholar] [CrossRef]
- Campilho, R.D.S.G.; de Moura, M.F.S.F.; Pinto, A.M.G.; Morais, J.J.L.; Domingues, J.J.M.S. Modelling the tensile fracture behaviour of CFRP scarf repairs. Compos. Part B Eng. 2009, 40, 149–157. [Google Scholar] [CrossRef]
- Zhang, Y.; Liu, Z.; Xin, J.; Wang, Y.; Zhang, C.; Zhang, Y. The attenuation mechanism of CFRP repaired corroded marine pipelines based on experiments and FEM. Thin-Walled Struct. 2021, 169, 108469. [Google Scholar] [CrossRef]

























| Interfacial stiffness (N/mm3) | Knn | 1451 |
| Kss | 537 | |
| Ktt | 537 | |
| Damage initiation (N/mm2) | 19.0 | |
| 19.0 | ||
| 19.0 | ||
| Damage evolution (N/mm) | GII | 1.40 |
| SS-304 pipeline (28D2) | E (GPa) | 198.3 |
| σy0.2% (MPa) | 338.4 | |
| σLy (MPa) | 386.9 | |
| σUy (MPa) | 391.6 | |
| σLu (MPa) | 658.4 | |
| σUu (MPa) | 678.3 | |
| Elongation at Rupture (%) | 67.20% | |
| CFRP | E1 | 132.7 |
| E2 | 7.4 | |
| σU1 (MPa) | 1967.5 | |
| σU2 (MPa) | 13.6 | |
| Vf | 0.547 |
| Exp. ID | E (GPa) | σy 0.2% (MPa) | σLy (MPa) | σUu (MPa) | CFRP ID | h/t | L/D | PXi (MPa) | PXS (MPa) | Error (%) |
|---|---|---|---|---|---|---|---|---|---|---|
| 28D1PPF1 | 196.2 | 341.2 | 387.7 | 672.2 | 1_A1 | 2 | 2 | 5.30 | 5.53 | 4.34 |
| 1_A2 | 2 | 2 | 7.00 | 7.21 | 3.00 | |||||
| 1_A3 | 2 | 2 | 6.50 | 6.68 | 2.77 | |||||
| 28D2PPF2 | 198.3 | 338.4 | 386.9 | 678.3 | 2_A1 | 1 | 2 | 6.20 | 6.33 | 2.10 |
| 2_A2 | 1 | 2 | 7.00 | 7.02 | 0.29 |
| No. | Nh | Nt | Sa | Element Number of Steel Pipe | Element Number of CFRP | Element Number Total | Pco/MPa | Error/% |
|---|---|---|---|---|---|---|---|---|
| 1 | 10 | 1 | 2 | 2900 | 130 | 3030 | 5.33 | −7.79 |
| 2 | 10 | 1 | 4 | 1450 | 60 | 1510 | 4.98 | −13.84 |
| 3 | 10 | 1 | 6 | 970 | 40 | 1010 | 6.11 | 5.71 |
| 4 | 20 | 2 | 2 | 11,600 | 520 | 12,120 | 5.76 | −0.35 |
| 5 | 20 | 2 | 4 | 5800 | 240 | 6040 | 5.92 | 2.42 |
| 6 | 20 | 1 | 6 | 1940 | 80 | 2020 | 5.75 | −0.52 |
| 7 | 30 | 2 | 2 | 17,400 | 780 | 18,180 | 5.77 | −0.17 |
| 8 | 30 | 2 | 4 | 8700 | 360 | 9060 | 5.75 | −0.52 |
| 9 | 30 | 1 | 6 | 2910 | 120 | 3030 | 6.03 | 4.33 |
| 10 | 40 | 2 | 2 | 23,200 | 1040 | 24,240 | 5.75 | −0.52 |
| 11 | 40 | 4 | 2 | 46,400 | 2080 | 48,480 | 5.70 | −1.38 |
| 12 | 40 | 4 | 1 | 92,800 | 4000 | 96,800 | 5.78 | 0.00 |
Publisher’s Note: MDPI stays neutral with regard to jurisdictional claims in published maps and institutional affiliations. |
© 2022 by the authors. Licensee MDPI, Basel, Switzerland. This article is an open access article distributed under the terms and conditions of the Creative Commons Attribution (CC BY) license (https://creativecommons.org/licenses/by/4.0/).
Share and Cite
Yu, J.; Xu, W.; Yu, Y.; Fu, F.; Wang, H.; Xu, S.; Wu, S. CFRP Strengthening and Rehabilitation of Inner Corroded Steel Pipelines under External Pressure. J. Mar. Sci. Eng. 2022, 10, 589. https://doi.org/10.3390/jmse10050589
Yu J, Xu W, Yu Y, Fu F, Wang H, Xu S, Wu S. CFRP Strengthening and Rehabilitation of Inner Corroded Steel Pipelines under External Pressure. Journal of Marine Science and Engineering. 2022; 10(5):589. https://doi.org/10.3390/jmse10050589
Chicago/Turabian StyleYu, Jianxing, Weipeng Xu, Yang Yu, Fei Fu, Huakun Wang, Shengbo Xu, and Shibo Wu. 2022. "CFRP Strengthening and Rehabilitation of Inner Corroded Steel Pipelines under External Pressure" Journal of Marine Science and Engineering 10, no. 5: 589. https://doi.org/10.3390/jmse10050589
APA StyleYu, J., Xu, W., Yu, Y., Fu, F., Wang, H., Xu, S., & Wu, S. (2022). CFRP Strengthening and Rehabilitation of Inner Corroded Steel Pipelines under External Pressure. Journal of Marine Science and Engineering, 10(5), 589. https://doi.org/10.3390/jmse10050589

