A Novel Parameter Identification Algorithm for 3-DOF Ship Maneuvering Modelling Using Nonlinear Multi-Innovation
Abstract
:1. Introduction
2. Ship Maneuvering Model
3. Parameter Identification Algorithm Using Nonlinear Multi-Innovation
4. Convergence Analysis of the NMI-RLS
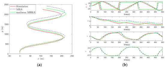
5. Simulations and Analysis
5.1. Disturbance
5.2. The Effectiveness of the Proposed Algorithm (NMI-RLS)
5.3. The Generalization Capability of the Proposed Algorithm
6. Conclusions
Author Contributions
Funding
Institutional Review Board Statement
Informed Consent Statement
Data Availability Statement
Conflicts of Interest
References
- IMO. Standards for ship manoeuvrability. In MSC 76th Session; International Maritime Organization (IMO): London, UK, 2002; Volume MSC. 137, p. 6. [Google Scholar]
- Zhang, X.; Wang, X.; Meng, Y.; Yin, Y. Research progress and future development trend of ship motion modeling and simulation. J. Dalian Marit. Univ. 2021, 47, 1–8. [Google Scholar]
- Jia, X.; Yang, Y. Ship Motion Mathematical Models; Dalian Maritime University Press: Dalian, China, 1999. [Google Scholar]
- Mei, B. Grey Box Identification Modeling for Ship Manoeuvring Motion Based on Free Running Test; Doctor, Dalian Maritime Unviersity: Dalian, China, 2020. [Google Scholar]
- Schimmack, M.; Feistauer, E.E.; Amancio, S.T.; Mercorelli, P. Hysteresis analysis and control of a metal-polymer hybrid soft actuator. Energies 2017, 10, 508. [Google Scholar] [CrossRef] [Green Version]
- Schimmack, M.; Mercorelli, P.; Maiwald, M. Combining kalman filter and rls-algorithm to improve a textile based sensor system in the presence of linear time-varying parameters. In Proceedings of the 2015 17th International Conference on E-Health Networking, Application & Services (Healthcom), Boston, MA, USA, 14–17 October 2015; pp. 507–510. [Google Scholar]
- Åström, K.J.; Källström, C. Identification on ship steering dynamics. Automatica 1976, 12, 4. [Google Scholar] [CrossRef] [Green Version]
- Qin, Y.; Ma, Y.; Zhang, L.; Li, T. Parmeter identification of ship’s maneuvering motion based on improved least squares method. J. JiLin Univ. Eng. Technol. Ed. 2016, 46, 897–903. [Google Scholar]
- Sun, G.; Xie, J.; Wang, J. Ship course identification model based on recursive least squares algorithm with dynamic forgetting factor. J. Comput. Appl. 2018, 38, 900–904. [Google Scholar]
- Xie, S.; Chu, X.; Liu, C.; Wu, Q. Parameter identification of ship maneuvering response model based on multi-innovation least squares algorithm. China Navig. 2017, 40, 73–78. [Google Scholar]
- Xie, S.; Chu, X.M.; Liu, C.G.; Liu, J.L.; Mou, J.M. Parameter identification of ship motion model based on multi-innovation methods. J. Mar. Sci. Tech.-Jpn. 2020, 25, 162–184. [Google Scholar] [CrossRef]
- Cao, W. Ship Heading Model Parameter Identification Based on Ekf and l2 Closed-Loop Forming Filter Control; Dalian Maritime Universtiy: Dalian, China, 2020. [Google Scholar]
- Deng, F.; Yang, H.L.; Wang, L.J.; Yang, W.M. Ukf based nonlinear offset-free model predictive control for ship dynamic positioning under stochastic disturbances. Int. J. Control Autom. Syst. 2019, 17, 3079–3090. [Google Scholar] [CrossRef]
- Jiang, Y.; Wang, X.G.; Zou, Z.J.; Yang, Z.L. Identification of coupled response models for ship steering and roll motion using support vector machines. Appl. Ocean Res. 2021, 110, 3079–3090. [Google Scholar] [CrossRef]
- Wang, X. On the Modeling of Ship Manoevring Motion in 4 Degrees of Freedom Based on Support Vector Machines; Shanghai JiaoTong University: Shanghai, China, 2014. [Google Scholar]
- Dong, Z.P.; Yang, X.; Zheng, M.; Song, L.F.; Mao, Y.S. Parameter identification of unmanned marine vehicle manoeuvring model based on extended kalman filter and support vector machine. Int. J. Adv. Robot. Syst. 2019, 16. [Google Scholar] [CrossRef] [Green Version]
- Moreira, L.; Soares, C.G. Dynamic model of manoeuvrability using recursive neural networks. Ocean Eng. 2003, 30, 1669–1697. [Google Scholar] [CrossRef]
- Zhang, G.Q.; Zhang, X.K.; Pang, H.S. Multi-innovation auto-constructed least squares identification for 4 dof ship manoeuvring modelling with full-scale trial data. ISA Trans. 2015, 58, 186–195. [Google Scholar] [CrossRef]
- Liang, C.L.; Zhang, X.K.; Watanabe, Y.; Zhao, B.G. Novel l+ and fo l+ algorithms based on enc data for automatic route planning of ships. Ocean Eng. 2021, 235, 186–195. [Google Scholar] [CrossRef]
- Zhao, B.G.; Zhang, X.K. An improved nonlinear innovation-based parameter identification algorithm for ship models. J. Navig. 2021, 74, 549–557. [Google Scholar] [CrossRef]
- Zhao, B.G.; Zhang, X.K.; Liang, C.L. A novel path-following control algorithm for surface vessels based on global course constraint and nonlinear feedback technology. Appl. Ocean Res. 2021, 111, 102635. [Google Scholar] [CrossRef]
- Liang, C.L.; Zhang, X.K.; Han, X. Route planning and track keeping control for ships based on the leader -vertex ant colony and nonlinear feedback algorithms. Appl. Ocean Res. 2020, 101, 102239. [Google Scholar] [CrossRef]
- Yasukawa, H.; Sakuno, R. Application of the mmg method for the prediction of steady sailing condition and course stability of a ship under external disturbances. J. Mar. Sci. Tech. -Jpn. 2020, 25, 196–220. [Google Scholar] [CrossRef]
- Yasukawa, H.; Hirata, N.; Matsumoto, A.; Kuroiwa, R.; Mizokami, S. Evaluations of wave-induced steady forces and turning motion of a full hull ship in waves. J. Mar. Sci. Tech. -Jpn. 2019, 24, 1–15. [Google Scholar] [CrossRef]






| Particulars of Container Ship | ||
|---|---|---|
| Length between perpendiculars | L (m) | 175.0 |
| Breadth | B (m) | 25.4 |
| Designed draught | D (m) | 8.5 |
| Volume of displacement | ∇ (m3) | 21,222.0 |
| Block coefficient | Cb | 0.559 |
| Height from keel to transverse metacenter | KM (m) | 10.39 |
| Rudder area | AR (m2) | 22.04 |
| Aspect ratio | Λ | −0.51 |
| Propeller diameter | D (m) | 6.53 |
| Parameter Identification for the Hydrodynamic Force | ||
|---|---|---|
| Parameter Identification for the Hydrodynamic Force | ||
|---|---|---|
Publisher’s Note: MDPI stays neutral with regard to jurisdictional claims in published maps and institutional affiliations. |
© 2022 by the authors. Licensee MDPI, Basel, Switzerland. This article is an open access article distributed under the terms and conditions of the Creative Commons Attribution (CC BY) license (https://creativecommons.org/licenses/by/4.0/).
Share and Cite
Zhao, B.; Zhang, X.; Liang, C. A Novel Parameter Identification Algorithm for 3-DOF Ship Maneuvering Modelling Using Nonlinear Multi-Innovation. J. Mar. Sci. Eng. 2022, 10, 581. https://doi.org/10.3390/jmse10050581
Zhao B, Zhang X, Liang C. A Novel Parameter Identification Algorithm for 3-DOF Ship Maneuvering Modelling Using Nonlinear Multi-Innovation. Journal of Marine Science and Engineering. 2022; 10(5):581. https://doi.org/10.3390/jmse10050581
Chicago/Turabian StyleZhao, Baigang, Xianku Zhang, and Cailei Liang. 2022. "A Novel Parameter Identification Algorithm for 3-DOF Ship Maneuvering Modelling Using Nonlinear Multi-Innovation" Journal of Marine Science and Engineering 10, no. 5: 581. https://doi.org/10.3390/jmse10050581
APA StyleZhao, B., Zhang, X., & Liang, C. (2022). A Novel Parameter Identification Algorithm for 3-DOF Ship Maneuvering Modelling Using Nonlinear Multi-Innovation. Journal of Marine Science and Engineering, 10(5), 581. https://doi.org/10.3390/jmse10050581

