Abstract
The black sea urchin (Arbacia lixula, Linnaeus, 1758) is a non-edible marine echinoderm of high ecological importance with the potential to affect marine ecological communities. A. lixula were sampled monthly for one year from the supralittoral fringe at two locations in the Pagasitikos Gulf, in the north-western Aegean Sea. Morphometric characteristics exhibited significant spatiotemporal variation. The population in closer proximity to treated sewage effluent outflow exhibited significantly higher biometric relationships resulting in possible improved physiological conditions. Spatial distribution exhibited a clumped pattern of dispersion, consisting of predominantly six age classes. The dominant cohort was the four-year age class, comprising 31.2% of the total population. Significant negative allometric relationships were exhibited between all morphometric characteristics. The maximum approximate age of the total A. lixula population was estimated at 15.27 years. The von Bertalanffy growth equation for the entire population was estimated as: test diameter = . The gonadosomatic index indicated a seasonal cycle with a peak in late spring. The approximate age of sexual maturity was estimated at 4.45 years. We observed a significantly higher number of females than expected at the site in closer proximity to the treated sewage effluents (32% of total female number).
1. Introduction
Sea urchins are benthic marine echinoderms with high dispersal life history, high fecundity and external fertilization, with a key role in nutrient recycling in intertidal areas, seagrass and coral ecosystems [1]. The ecological importance of sea urchins has been well documented [2,3,4,5]. These herbivore species can exert great pressure on the structure of biological assemblages through the removal of algae or the prevention of their establishment [6,7]. They can also act indirectly by creating cleared areas, allowing for the settlement of other organisms [8].
The non-edible black sea urchin Arbacia lixula (Linnaeus, 1758) (Echinodermata: Echinoidea) and the co-occurring edible species Paracentrotus lividus (Lamarck, 1816) are the most widely distributed echinoids in the Mediterranean sublittoral zone [9,10], with the potential to influence, to a great extent, benthic communities with their intense grazing activity [5,11]. Despite their coexistence, P. lividus is generally more abundant on horizontal or gently sloping surfaces, whereas A. lixula is more common on vertical substrata [11]. Both are opportunistic generalist species with the ability to exploit numerous food sources. Despite A. lixula having a strong preference for encrusting corallines [12], it can feed on a variety of food items [13]. In general, A. lixula is distributed in areas without the presence of macroalgal species, and consumes crusts and newly settled organisms [12,14,15]. Sea urchins exert considerable pressure on their surrounding communities, the extent of which depends on the size of their assemblage. P. lividus is the species mainly responsible for macroalgae clearance and the subsequent shift from macroalgal stands to barren areas. A. lixula grazes on encrusting algae and is able to maintain the barren state even if the P. lividus population eventually declines [15].
Sea urchins exhibit three main feeding behaviors: (1) absorption by dermal skeleton of organic matter captured by sulcated spines and aboral tube feet, (2) consumption of macroalgae and invertebrates from the substratum with the use of Aristotle’s lantern and (3) the use of the ambulacral tube feet and spines to capture drift algae in the water column [16,17].
Since sea urchins are considered the main culprit in the reduction of macroalgal species and are often responsible for the creation of barren areas, their feeding ecology has been largely described in the literature [18]. There have been numerous peaks in the population density of A. lixula populations in the past [19], resulting in attention focusing on its potential impact on benthic communities in the Mediterranean, especially in the context of global warming [20,21].
The present study aims to assess population characteristics of A. lixula, namely variations in space and time of its biometric characteristics, allometric relationships, numerical abundance, reproduction, growth, age composition and spatial point pattern distribution, between sites with varying degrees of anthropogenic impact. We aimed to address a present knowledge gap on the population characteristics of A. lixula by assessing its population structure and characteristics in the supralittoral fringe of the Pagasitikos Gulf. Physio-chemical measurements were recorded during the study to identify the prevalent environmental conditions and allow for future reference and comparison.
2. Materials and Methods
2.1. Study Area
The study was performed in the upper infralittoral (3–6 m) in two locations in the northern part of the Pagasitikos Gulf (Central Greece), Agios Stefanos (latitude: 39.306201, longitude: 22.940283) and Kato Gatzea (latitude: 39.307062, longitude: 22.097511) (Figure 1).
Figure 1.
Pagasitikos Gulf depth profile and sampling locations, Site 1 (Agios Stefanos, latitude: 39.306201 and longitude: 22.940283) and Site 2 (Kato Gatzea, latitude: 39.307062 and longitude: 22.097511).
The Pagasitikos Gulf is a shallow (average depth 69 m) semi-enclosed basin with a total area of 520 km2 and mean water renewal time of 105 days with an estimated volume of 36 km3 [22]. Pagasitikos is less eutrophic in comparison to other gulfs in Greece, with a particular circulation pattern [23]. Volos is the only major city located in the north of the gulf (population 120,000 inhabitants) with a developed industrial sector. Due to the proximity of a military airport in the west part of the gulf, a fishing ban has been implemented, covering a wide area south of Agios Stefanos (Figure 1).
The Volos Wastewater Treatment Plant, applying daily chemical and biological treatment to 24,000–27,000 cubic meters of industrial and domestic wastes [24], discharges treated sewage effluents at a steady 24-h flow into the north-western part of the gulf, through a high-density, 800 m long polyethylene submarine pipeline to a depth of 54 m (Figure 1). At the last 230 m of the pipeline, 28 installed diffusers are discharging effluents at a steady 24-h flow into the marine environment [25].
2.2. Field Sampling
Sampling was carried out monthly between December 2016 and November 2017, in two locations in the north Pagasitikos Gulf. Vertical profiles (from surface to bottom) of temperature, salinity, dissolved oxygen, pH, chlorophyll-a and redox potential were measured monthly at each sampling location with a (conductivity, temperature, and depth) CTD (Seabird-19plus, Washington, DC, USA).
Agios Stefanos (S1) is a semi-enclosed bight relatively sheltered from wave action in close proximity to the sewage outflow of the wastewater treatment plant. Benthic substrate is characterized by flat, rubble outcroppings of limestone with sparse patches of sand with the presence of red algae including several coralligenous and brown algae such as Padina pavonica and Cystoseira sp. The coastline is characterized by mobile substrate with high abundance of the seagrass Zostera marina. Kato Gatzea (S2) is relatively exposed to wave action. Benthic substrate is sandy and muddy, characterized by rubble outcroppings of limestone. Vegetation is sparce, characterized by the angiosperms Zostera marina and Halophila stipulacea.
Forty A. lixula individuals were collected every month from each sampling location at a depth between 3 and 7 m by scuba diving and transported to the laboratory using a closed 35 lt container filled with sea water. Biometric characteristics, which included test diameter (greatest distance between the anterior and posterior) and test height (greatest vertical distance from the apex to the shell base), were recorded using a digital Vernier caliper to the nearest 0.01 mm (Figure 2). Total weight (wet weight), test weight (shell weight) and gonad weight were measured using the digital analytical balance Ohaus PR64/E (OHAUS, Parsippany, NJ, USA) to the nearest 0.001 g.
Figure 2.
Measured test dimensions: test diameter (TD) and test height (TH).
Population density was estimated seasonally by counting specimens in ten 50 × 50 cm quadrats (metal frame covering a sampling area of 0.25 m2), each randomly deployed [26], taking care to count small cryptic individuals inside crevices or under boulders.
2.3. Data Analysis
The data were initially evaluated for normality using the Shapiro–Wilk test and homogeneity of variance using the Bartlett and Levene tests. The null hypothesis of no significant differences between two sample means, when data were approximately normally distributed and homogenous, was assessed with Student’s t-test. The Mann–Whitney U test was employed when the assumption of normality was violated. When the assumption of homoscedasticity was not met, the parametric Welch unequal variances t-test was used. Welch’s ANOVA was employed for comparisons of more than two samples when data were normally distributed but violated the assumption of homogeneity of variance [27]. The Games–Howell post hoc test for unequal variances was used to identify possible differences between sample means.
The Curve Expert statistical software (version 1.4) (Hyams Development, Huntsville, AL, USA) was employed to identify the best fit (highest correlation coefficient). All identified relationships were non-linear equations (Y = aXb). The standard Student t-test was employed to assess allometric relationships. The two-sample t-test was used to compare the equations for each population.
One-way ANOVA was employed to assess populations’ spatial and temporal abundance. Spatial distribution was estimated from the quadrat counts using the Morisita index of aggregation (Iδ) [28,29]. The chi-square test was used to test the null hypothesis of randomness (no deviation from random distribution), (Iδ = 1).
Length–frequency distributions were converted into age classes with Bhattacharya’s method [30] using the software FiSAT II (FAO, Rome, Italy) (version 1.2.2.) [31]. Non-linear regression using Minitab 20 software (Minitab, State College, PA, USA) was employed, to identify the relationship that best described the test diameter–age relationship. The von Bertalanffy growth equation was used to estimate the growth parameters for the total population [32]. The inflection point (the point in time that the growth rate starts to decrease), which coincides with the size of sexual maturity of the species [33] in the study area, was estimated according to [34] as: inflection point = + , where K is the rate with which the organism approaches L∞ (theoretical length at an infinite age) and t0 the age to when the organism is zero size.
Sex determination was based on the color of the gonads and milt, with females exhibiting garnet-colored gonads and males with white gonads emitting a whitish liquid [35]. The gonadosomatic index (GSI) was calculated according to [36] as:
The spatial (site), temporal (season) and phyletic (sex) effects on the gonadosomatic index (factors) and their interactions were assessed using a general linear model (GLM) analysis of variance [37], a two-way ANOVA using a least squares regression approach with test diameter as a covariate. Statistical analyses were performed using Jamovi Version 2.2.5 [38], at an alpha level of 0.05.
To test the null hypothesis of equal proportions between the male and female ratio on a spatiotemporal scale, the chi-square goodness-of-fit test and the chi-square test for association were employed [39].
3. Results
3.1. Physicochemical Measurements
The measured physical variables displayed similar spatial and temporal values among sampling sites (Table 1).
Table 1.
Physical (T, temperature; S, salinity) and chemical (O2, dissolved oxygen; pH, Redox potential; Chla, Chlorophyl-a) variables recorded in the Pagasitikos Gulf (Site 1 Agios Stefanos, Site 2 Kato Gatzea).
A contour plot of the seawater column temperature over the course of the study is shown in Figure 3.
Figure 3.
Contour plot of the water column temperature (°C) measured at both sample sites over the course of the study.
Temperature ranged from 13.17 °C (March) to 27.08 °C (July). Salinity ranged from 36.12 psu (July) to 38.51 psu (March). Dissolved oxygen concentration ranged from 1.91 mg L−1 (July) to 6.64 mg L−1 (March). PH ranged from 8.23 (July) to 8.38 (November). Redox potential ranged from 102.66 mV (July) to 150.11 mV (March). Chlorophyll-a concentration ranged from 0.57 mg m−3 (June) to 2.54 mg m−3 (January).
3.2. Biometric Relationships
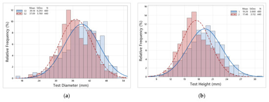
In total, 920 A. lixula individuals were collected. Test diameter ranged from 16.07 to 54.66 mm, test height from 8.45 to 30.96 mm, total weight from 7.08 to 67.83 g and shell weight from 0.65 to 43.21 g. Frequency distributions of A. lixula test diameter, test height, total weight and shell weight (Figure 4) indicated greater variability of the morphometric characteristics of the population at Site 2 (Agios Stefanos). The full set of biometric measurements for each sampling site, season and sex is presented in Table 2.

Figure 4.
Arbacia lixula frequency distributions with overlaid fitted normal distribution for each sampling site of (a) test diameter, (b) test height, (c) total weight and (d) test weight.
Table 2.
Spatial and temporal variations in the biometric characteristics, number (n), test diameter (TD), test height (TH), total weight (ToW) and test weight (TW), represented as mean value ± standard error (SE), significance level (ns: non-significant, *: p < 0.05, ***: p < 0.001). One-way ANOVA results (F, P) and Games–Howell pairwise comparisons of Arbacia lixula populations in the Pagasitikos Gulf (Site 1 Agios Stefanos, Site 2 Kato Gatzea).
Biometric characteristics exhibited significant temporal variation, with the highest values in autumn and lowest in winter and spring. All biometric relationships exhibited significant spatial differences, with significantly higher values indicated for A. lixula population located at the site in closer proximity to the sewage outflow (Site 1, Agios Stefanos). No significant difference was found between sexes except for the higher test height in females (Table 2).
3.3. Allometric Relationships
Relationships among morphometric characteristics of A. lixula populations are displayed in Table 3.
Table 3.
Allometric equations between test diameter (TD), test height (TH), total weight (ToW) and test weight (TW) of Arbacia lixula populations (Site 1 Agios Stefanos, Site 2 Kato Gatzea) for the total population (pooled) and each sampling site and sex during the study. N: number of individuals, r: correlation coefficient, t-test: statistical significance of the allometric relationship, allometry: allometric relationship between the two variables, slopes (b): statistical comparison between the slopes of the equations, intercepts (a): statistical comparison between the intercepts of the equations, significance level (ns: non-significant, *: p < 0.05, **: p < 0.01, ***: p < 0.001).
Morphometric relationships exhibited significant negative allometric relationships among variables. No significant differences in the regression lines of test weight vs. test height among sampling sites and sexes were indicated (Table 3).
We found no significant differences among sexes in regression lines of test weight vs. test diameter, test diameter vs. test height, total weight vs. test height and total weight vs. test diameter. However, significant differences were determined between the two sampling sites (Table 3).
3.4. Distribution Pattern
Spatial point pattern analysis was used to examine the spatial distribution of A. lixula seasonally at each sampling site. The highest population density was recorded during summer and the lowest during autumn for both sampling sites, with slightly higher values mainly in Site 2 (Kato Gatzea). The dispersion pattern was clustered during all seasons at both sites; however, the pattern was statistically significant during summer at both sites and during spring at the second site (Table 4).
Table 4.
Population density (ind. m−2) and dispersion pattern of Arbacia lixula at each sampling site (Site 1 Agios Stefanos, Site 2 Kato Gatzea) and season. SD (standard deviation), Iδ (Morisita index of aggregation), DF (degrees of freedom), X2 (chi-square test values), significance level (ns: non-significant, *: p < 0.05).
3.5. Age Composition
The dominant cohort was the four-year class which comprised 31.2% of the total population, with a total of six dominant age groups identified (Figure 5, Table 5).
Figure 5.
Population cohorts identified with Bhattacharya’s method for the total Arbacia lixula population.
Table 5.
Population characteristics of the age groups identified for the entire Arbacia lixula population (mean length, standard deviation, population size, separation index and population percentage at each age class).
3.6. Growth
Using non-linear regression, the relationship that best describes the test diameter–age relationship was estimated. The von Bertalanffy growth equation was used to calculate growth estimates for the entire A. lixula population. The estimated power equation that best describes the test diameter–age relationship for the entire population sample was estimated as: test diameter = 21.627 × age0.440 (correlation coefficient, r = 0.99).
The von Bertalanffy growth equation (Figure 6) for the entire population was estimated as: test diameter = .
Figure 6.
Von Bertalanffy growth equation for the entire Arbacia lixula population sampled.
Asymptotic length (Linf) was estimated at 62.88 mm. The maximum approximate age of the total A. lixula population was estimated at 15.27 years based on 3/k assumption according to [40].
3.7. Reproduction
The gonadosomatic index annual variation was displayed as an interval plot to assess and compare confidence intervals of the means of the GSI (Figure 7). The interval plot of the GSI indicated that the reproductive cycle undergoes a seasonal cycle which peaks in late spring (May) and attains its lowest value in late summer (August). The inflection point (approximate age of sexual maturity) was estimated at 4.45 years.
Figure 7.
Interval plot of the gonadosomatic index for the total Arbacia lixula population sampled (each interval displays the monthly mean 95% confidence interval).
The main effect plot was employed as a graphical tool to assess the effect of different factors (sex, site, season) on the gonadosomatic index (Figure 8). The main effects plot graphs as the response of mean for each factor level connected by a line. When the line is not horizontal, the main effect is indicated, and the steeper the slope of the line, the greater the magnitude of the main effect. Figure 8 indicates that all factors have a significant effect on the GSI, with sex and season (spring) exhibiting a greater effect.
Figure 8.
Main effects plot of the influence that spatial (site), phyletic (sex) and temporal (season) factors exert on the GSI.
To determine the statistical significance of each factor to the gonadosomatic index, analysis of covariance (ANCOVA) was used, with test diameter as a covariate (Table 6).
Table 6.
ANCOVA results of spatial, temporal and size effects and mean sum of squares (SS/DF) on the surveyed Arbacia lixula population gonadosomatic index (GSI).
ANCOVA (Table 6) verified the main effects plot indications, with significant effects of site, sex and season on the gonadosomatic index (overall model F = 81.80, P < 0.001, MS = 207.70). Furthermore, it was indicated that test diameter also has a significant effect on the GSI of A. lixula. The coefficient of determination (R2) indicated that the model explained 62% of the variance in GSI variation, exhibiting a good data fit.
One-way ANOVA of the gonadosomatic index between sexes indicated that the GSI of males for the total population was significantly higher compared to females. Spearman’s correlation indicated a significant correlation between temperature and GSI (r = −0.14, P < 0.001).
3.8. Sex Ratio
The expected female to male ratio of 1:1 was assessed using the chi-square test (Figure 9 and Figure 10).
Figure 9.
Results of the chi-square goodness-of-fit test of observed and expected overall sex ratio and their proportion.
Figure 10.
Results of chi-square test for association of observed and expected sex ratio between sites.
The chi-square goodness-of-fit test (Figure 9) indicated a significant difference between the overall observed (1.07:1) and expected (1:1) female to male ratio, with a significantly higher number of females and lower number of males (X2 = 4.68, P = 0.031). The chi-square test for association (Figure 10) indicated a significant difference between observed and expected female to male ratios between sites, with female abundance in Agios Stefanos (32% of total female number), significantly higher than expected (X2 = 9.02, P = 0.003). The chi-square test for association indicated no significant difference in the overall female to male ratio between seasons. However, a significant difference in the overall female to male ratio between seasons was detected in Site 1 (Agios Stefanos).
4. Discussion
Sea urchins often determine the extent of abundance and distribution of multicellular photosynthetic organisms in the sublittoral coastal zone, and have a substantial effect on their surrounding ecosystem [5]. They affect dynamics, structure and assemblages of coastal marine habitats, including seagrass meadows [41].
The proximity of the population collected from Site 1 (Agios Stefanos) to the treated sewage effluents discharge is probably the main reason why at this site, sea urchins are significantly larger in size and weight due to higher food availability. Areas with high food availability create ideal conditions for increased development [42], resulting in an improved physiological condition of the sea urchins. Black sea urchin, despite its high dispersal capacity, has exhibited phenotypic variability even within restricted geographical areas [43].
The co-occurring sea urchin P. lividus density similarly increased progressively towards the sewage outlet of Cortiou cove (Morocco), with higher densities observed in the vicinity of the discharge point [44]. It has been demonstrated that P. lividus is not adversely affected by organic pollution, and in fact displays increased growth in the presence of organic pollution [9]. Environmental factors that include food quantity ingested, amount of food absorbed and the quantity of dry matter absorbed may also affect growth, resulting in morphological differences [45]. Phenotypic variation of organisms at different spatial scales could be the result of interaction among several factors, including interspecific competition, availability of resources and climatic conditions [43]. It has been demonstrated that there is a positive relationship between food availability and test thickness (and thus urchin weight) [45].
Variation in weight and test diameter of the gracious sea urchin Tripneustes gratilla was linked to diet, season and population density [46]. Increased size could also contribute to specific feeding habits. A. lixula has been shown to change its feeding habit depending on food availability [13,47]. Hence, black sea urchin morphology could be affected by food type available at each site. An increase in test weight could also contribute to improved stability when exposed to hydrodynamic forces [45]. Furthermore, a heavier test (greater mass) could contribute to a higher chance of survival [48,49]. It has been noted that increased test thickness helps the P. lividus individuals escape fish predation and thus increase their longevity [45].
Spatial point pattern analysis of the spatial distribution of A. lixula indicated the highest population density during summer (4.0 ± 5.96 ind. m−2) and lowest during autumn (0.8 ± 1.69 ind. m−2) for both sampling sites, with slightly higher values mainly in Site 2 (Kato Gatzea). Similarly, around Ustica Island (Italy), the density of A. lixula was more abundant in summer (3.1 ± 0.5 ind. m−2) and less abundant in autumn (0.7 ± 0.2 ind. m−2) [50]. Along the Ligurian coast (Italy), A. lixula density ranged between 0.2 ± 0.9 ind. m−2 and 6.1 ± 1.1 ind. m−2 [51] and on the north coast of Sicily, its density was 3.10 ± 0.72 ind. m−2 [17].
The advantages of living in patches (clustered distribution) include the protection from predators and waves [52,53]. High densities are the result of both a highly successful recruitment [54] and the anti-predatory benefits of dense aggregations [1]. Variations in P. lividus density can be misleading, mainly due to variable daily and seasonal behavior and the adopted census method used [9]. P. lividus populations can be relatively stable for several years; however, rapid changes in density of large individuals are often observed, with annual changes in density occurring very frequently [9,55].
Fish predation has been considered the most important factor controlling sea urchin populations [4]. However, it has been demonstrated that factors other than fish predation actually control sea urchin densities [56]. Poor recruitment, losses during larval life, migrations, variations in abundance of sea urchin predators, overfishing of predators (especially crabs and fish), pollution, high rainfall, diseases and increased fishing efforts are potentially contributing factors for observed short- and long-term fluctuations [2,57,58,59]. A direct result of high fishing pressure is that sea urchins can lack natural direct control, with a tendency to increase in population densities [5]. It has been reported that at the density of about 7–9 ind. m−2, P. lividus can affect benthic assemblage composition and biodiversity, and reduce total algal cover, resulting in bare areas of coralline encrusting algae [60].
Several techniques, each with its own limitations, have been employed for the study of growth and population structure in echinoids, namely the study of size–frequency distributions, the analysis of growth rings in the test, mark–recapture techniques (usually with tetracycline and calcein labeling) [61,62] and monitoring of animals in enclosures [63]. Size distribution analysis generally works well with short-lived animals that show clearly defined modes; however, these modes are difficult to discern and interpret in longer-lived animals that grow more slowly with age, as has been shown in sea urchins [64,65]. This is mainly due to the variation in growth of smaller individuals and results in size classes of mixed ages for the smaller as well as for the larger size classes [61]. The present study used data on size–frequency distributions through time to assess growth and dynamics of the study populations. An initially similar size class of juvenile P. lividus could result in a variable size distribution, with individuals growing at a different rate as a result of intraspecific competition [9]. Observed growth inhibition in the natural environment could contribute to the stabilization of field aggregative populations by maintaining a protected pool of small individuals with high growth potential but inhibited by the density of larger ones. A decrease in the density of large individuals would remove the inhibition of small sea urchin growth [66].
For P. lividus, 2 cm individuals are generally considered 2 years old, on average, and 4 cm individuals are considered 4–5 years old. Growth curves cannot account for the largest individuals that are 7 cm in diameter [9]. It is possible that these large individuals are several decades old, as suggested by [61] for Strongylocentrotus droebachiensis. Strongylocentrotus purpuratus at Cape Arago, Oregon, USA, of 15 to 20 mm test diameter are about 1 year old, animals of 25–30 mm test diameter are about 2 years old, and animals of 35–37 mm test diameter are about 3 years old [67]. Work on Strongylocentrotus purpuratus at Cape Arago [68,69] indicated that age estimations from the size above 40 mm test diameter are inaccurate due to the strong influence of habitat on size. The estimated age and size of S. purpuratus during the first three years of life generally agree with the determined age–size estimates of [70] for the related species, Strongylocentrotus intermedius, from Hokkaido, Japan.
Sea urchins follow a unique form of skeletal growth among organisms, where the skeleton (test) is composed of single calcite plates that follow a pentaradial symmetry [71]. There are many different functions for modeling growth, but the von Bertalanffy model is the most commonly used because it satisfactorily describes the growth pattern of many species [33]. The inflection point in the von Bertalanffy growth curve (4.45 years) coincides approximately with the size of sexual maturity of the species, reflecting the high energy investment towards reproduction of adults at the expense of somatic growth [33]. However, unfavorable conditions and limiting food supply can decrease the size at which reproduction begins [55]. Food quantity and quality can affect sea urchin reproductive maturation and growth [72,73]. Growth can be affected by environmental and demographic conditions [33]. In the Mediterranean, maximum growth of P. lividus occurs between 12 and 18 degrees in spring, sometimes in autumn, and is minimal in winter [74]. Variations in food abundance, preference, assimilation and nutritive value directly affect metabolism and seasonal patterns in feeding and somatic growth of echinoids [75]. In the present study, the maximum approximate age of the total A. lixula population was estimated at 15.27 years. The maximum age of P lividus using the von Bertalanffy model was estimated in Croatia [76] at 15 years.
The reproductive cycle undergoes a seasonal cycle with a peak in May and low in August, in agreement with [77]. In the south-western Mediterranean (Algeria) [35], massive emission of A. lixila gametes begins and coincides with the rise in temperature (20 °C), with maximum gonad volume in May and minimum at the end of summer to the beginning of autumn [35]. In the Ligurian Sea (Italy), A. lixula was reported to exhibit high fecundity and a long planktonic larval stage with abundant pluteus observed in the plankton during October and November, with a secondary peak in June and July [78]. An experimental investigation [77] indicated that larval survival and size of A. lixula significantly increase with temperature.
In the Mediterranean, two spawning periods have been reported to occur for P. lividus, one in early summer and a second in autumn [59], that appear to be influenced by the increase in temperature to a critical point in June, and then a decrease past this critical temperature again in August. It appears that the increase in sea temperature serves as a cue for spawning induction, as suggested for A. lixula [35] and P. lividus populations [59]. Additional factors apart from temperature increase appear to play a role in spawning, namely, illumination, pheromones or gametes in the water [79]. Sea urchin gonads act as the main organ of nutrient storage [80] with the amount of nutrient intake and subsequent gonad growth depending on food quantity/quality and consumption, digestion and absorption rate [81,82].
The gonadosomatic index in males was significantly higher compared to the females. The opposite was indicated for P. lividus, where the index was found to be significantly higher in females compared to males, suggesting that females might have better efficiency in converting nutrients into gonad tissue compared to males [83]. All three factors (sex, site, season) posed a significant effect on the GSI, in contrast with [35], which indicated no significant differences between sexes and sites. The gonad index is directly correlated with food availability [84], which influences the condition of the nutritive phagocytes.
The overwhelming majority of the coastal areas are globally influenced by pollution, affecting commercial coastal and marine resources. Sewage comprises the largest source of contamination, by volume, of the marine and coastal environment [85], with coastal sewage discharges exhibiting an increasing trend over the past 30 years. The control of aquatic pollution is therefore imperative as an immediate need for sustained management and conservation of existing fisheries and aquatic resources. Numerous pollution indicator organisms have been extensively used as bioindicators since pollutant concentrations in their tissues relate to the surrounding marine environment. Echinoids are valuable biological indicators of heavy metal contamination [86], with A. lixula identified as an indicator species with the advantage to occupy polluted and unpolluted areas alike [87,88]. Patterns of fluctuating asymmetry have been shown to occur in A. lixula [89], since a degree of pollutant bioaccumulation occurs when A. lixula develops in polluted sediment [87,90].
Complex interactions and human impacts could have adverse effects on the whole coastal biota, with wider socioeconomic implications [51]. Anthropogenic activities in the marine coastal environment could potentially affect the natural system, causing degradation and fragmentation of habitats [91]. Assessing, interpreting and predicting these direct and indirect changes are essential to fine-tune conservation activities and environmental management [3]. Subtidal rocky substrates of the Mediterranean Sea are highly disturbed by anthropogenic activities, ranging from seafood collection to diving tourism [92], that can affect marine food webs by altering dynamics among trophic levels [93,94].
5. Conclusions
The global increase in marine pollution has increased the demand for monitoring and control strategies of anthropogenic contaminants in the marine environment. Herbivorous sea urchins play a key role in the general functioning of ecosystems. The population of A. lixula, an indicator species with the ability to occupy both polluted and unpolluted areas, that was in closer proximity to treated sewage effluents exhibited significantly higher biometric relationships, resulting in possible improved physiological conditions. We observed a significantly higher number of females at the site in closer proximity to the treated sewage effluents. Population monitoring of this ecologically important echinoderm in relation to pollution and climate warming could act as an important management tool for the protection and sustainable management of sensitive Mediterranean shallow-water ecosystems.
Author Contributions
Conceptualization, D.V.; Data curation, L.T. and A.L.; Formal analysis, D.K., A.L. and N.N.; Funding acquisition, D.V.; Investigation, D.K.; Methodology, L.T., A.L. and D.V.; Project administration, D.V.; Resources, N.N. and D.V.; Software, D.K.; Supervision, L.T., A.L. and D.V.; Visualization, D.V.; Writing—original draft, D.K.; Writing—review and editing, D.K., L.T. and N.N. All authors have read and agreed to the published version of the manuscript.
Funding
This research received no external funding.
Institutional Review Board Statement
All experimental procedures were conducted according to the guidelines of the EU Directive 2010/63/EU regarding the protection of animals used for scientific purposes. The experiments were performed at the registered experimental facility (EL-43BIO/exp-01) of the Laboratory of Aquaculture, Department of Ichthyology and Aquatic Environment, University of Thessaly by FELASA accredited scientists (functions A–D).
Informed Consent Statement
Not applicable.
Data Availability Statement
Not applicable.
Conflicts of Interest
The authors declare no conflict of interest.
References
- Alcoverro, T.; Mariani, S. Effects of sea urchin grazing on seagrass (Thalassodendron ciliatum) beds of a Kenyan lagoon. Mar. Ecol. Prog. Ser. 2002, 226, 255–263. [Google Scholar] [CrossRef] [Green Version]
- Fernandez, C.; Pasqualini, V.; Johnson, M.; Ferrat, L.; Caltagirone, A.; Boudouresque, C.F. Stock evaluation of the sea urchin Paracentrotus lividus in a lagoonal environment. Echinoderm Res. 2001, 319–323. [Google Scholar]
- Benedetti-Cecchi, L.; Pannacciulli, F.; Bulleri, F.; Moschella, P.S.; Airoldi, L.; Relini, G.; Cinelli, F. Predicting the consequences of anthropogenic disturbance: Large-scale effects of loss of canopy algae on rocky shores. Mar. Ecol. Prog. Ser. 2001, 214, 137–150. [Google Scholar] [CrossRef] [Green Version]
- Sala, E.; Zabala, M. Fish predation and the structure of the sea urchin Paracentrotus lividus populations in the NW Mediterranean. Mar. Ecol. Prog. Ser. 1996, 140, 71–81. [Google Scholar] [CrossRef] [Green Version]
- Sala, E.; Boudouresque, C.F.; Harmelin-Vivien, M. Fishing, Trophic Cascades, and the Structure of Algal Assemblages: Evaluation of an Old but Untested Paradigm. Oikos 1998, 82, 425. [Google Scholar] [CrossRef]
- Chapman, A.R.O. Stability of sea urchin dominated barren grounds following destructive grazing of kelp in St. Margaret’s Bay, Eastern Canada. Mar. Biol. 1981, 62, 307–311. [Google Scholar] [CrossRef]
- Witman, J.D. Subtidal coexistence: Storms, grazing, mutualism, and the zonation of kelps and mussels. Ecol. Monogr. 1987, 57, 167–187. [Google Scholar] [CrossRef]
- Fletcher, W.J. Interactions among subtidal Australian sea urchins, gastropods, and algae: Effects of experimental removals. Ecol. Monogr. 1987, 57, 89–109. [Google Scholar] [CrossRef]
- Boudouresque, C.F.; Verlaque, M. Ecology of Paracentrotus lividus. Dev. Aquac. Fish. Sci. 2001, 32, 177–216. [Google Scholar] [CrossRef]
- Palacín, C.; Turon, X.; Ballesteros, M.; Giribet, G.; López, S. Stock evaluation of three littoral echinoid species on the Catalan coast (North-Western Mediterranean). Mar. Ecol. 1998, 19, 163–177. [Google Scholar] [CrossRef]
- Bulleri, F.; Benedetti-Cecchi, L.; Cinelli, F. Grazing by the sea urchins Arbacia lixula L. and Paracentrotus lividus Lam. in the Northwest Mediterranean. J. Exp. Mar. Bio. Ecol. 1999, 241, 81–95. [Google Scholar] [CrossRef]
- Privitera, D.; Chiantore, M.; Mangialajo, L.; Glavic, N.; Kozul, W.; Cattaneo-Vietti, R. Inter- and intra-specific competition between Paracentrotus lividus and Arbacia lixula in resource-limited barren areas. J. Sea Res. 2008, 60, 184–192. [Google Scholar] [CrossRef]
- Wangensteen, O.S.; Turon, X.; García-Cisneros, A.; Recasens, M.; Romero, J.; Palacín, C. A wolf in sheep’s clothing: Carnivory in dominant sea urchins in the Mediterranean. Mar. Ecol. Prog. Ser. 2011, 441, 117–128. [Google Scholar] [CrossRef] [Green Version]
- Guidetti, P.; Fraschetti, S.; Terlizzi, A.; Boero, F. Distribution patterns of sea urchins and barrens in shallow Mediterranean rocky reefs impacted by the illegal fishery of the rock-boring mollusc Lithophaga lithophaga. Mar. Biol. 2003, 143, 1135–1142. [Google Scholar] [CrossRef]
- Bonaviri, C.; Fernández, T.V.; Fanelli, G.; Badalamenti, F.; Gianguzza, P. Leading role of the sea urchin Arbacia lixula in maintaining the barren state in southwestern Mediterranean. Mar. Biol. 2011, 158, 2505–2513. [Google Scholar] [CrossRef]
- Contreras, S.; Castilla, J. Feeding behavior and morphological adaptations in two sympatric sea urchin species in central Chile. Mar. Ecol. Prog. Ser. 1987, 38, 217–224. [Google Scholar] [CrossRef]
- Agnetta, D.; Badalamenti, F.; Ceccherelli, G.; Di Trapani, F.; Bonaviri, C.; Gianguzza, P. Role of two co-occurring Mediterranean sea urchins in the formation of barren from Cystoseira canopy. Estuar. Coast. Shelf Sci. 2015, 152, 73–77. [Google Scholar] [CrossRef] [Green Version]
- Lawrence, J.M. Chapter 1 Edible sea urchins: Use and life-history strategies. In Edible Sea Urchins: Biology and Ecology; Lawrence; Elsevier: Amsterdam, The Netherlands, 2007; Volume 37, ISBN 0167-9309. [Google Scholar]
- Francour, P.; Boudouresque, C.F.; Harmelin, J.G.; Harmelin-Vivien, M.L.; Quignard, J.P. Are the Mediterranean waters becoming warmer? Information from biological indicators. Mar. Pollut. Bull. 1994, 28, 523–526. [Google Scholar] [CrossRef]
- Gianguzza, P.; Agnetta, D.; Bonaviri, C.; Di Trapani, F.; Visconti, G.; Gianguzza, F.; Riggio, S. The rise of thermophilic sea urchins and the expansion of barren grounds in the Mediterranean Sea. Chem. Ecol. 2011, 27, 129–134. [Google Scholar] [CrossRef] [Green Version]
- Privitera, D.; Noli, M.; Falugi, C.; Chiantore, M. Benthic assemblages and temperature effects on Paracentrotus lividus and Arbacia lixula larvae and settlement. J. Exp. Mar. Bio. Ecol. 2011, 407, 6–11. [Google Scholar] [CrossRef]
- Petihakis, G.; Triantafyllou, G.; Korres, G.; Pollani, A.; Theodorou, A. Ecosystem modeling: Towards the development of a management tool for a marine coastal system. Part I: General circulation, hydrological and dynamical structure. J. Mar. Syst. 2012, 94, S34–S48. [Google Scholar] [CrossRef]
- Korres, G.; Triantafyllou, G.; Petihakis, G.; Raitsos, D.E.; Hoteit, I.; Pollani, A.; Colella, S.; Tsiaras, K. A data assimilation tool for the Pagasitikos Gulf ecosystem dynamics: Methods and benefits. J. Mar. Syst. 2012, 94, S102–S117. [Google Scholar] [CrossRef]
- Karageorgis, A.; Sioulas, A.; Anagnostou, C. Use of surface sediments in Pagassitikos Gulf, Greece, to detect anthropogenic influence. Geo-Mar. Lett. 2001, 21, 200–211. [Google Scholar] [CrossRef]
- Hatzikosti, M. Directive 2000/60—Common Ministerial Decree for the Treatment of Liquid Wastes and Biological Treatment of Volos City; University of Thessaly: Volos, Greece, 2011. [Google Scholar]
- Gotelli, N.J. Quantitative Ecology and Marine Biology; Bakus, G.J., Ed.; A.A. Balkema: Rotterdam, The Netherlands, 1992; Volume 67. [Google Scholar]
- Krishnamoorthy, K.; Mathew, T.; Ramachandran, G. Upper limits for exceedance probabilities under the one-way random effects model. Ann. Occup. Hyg. 2007, 51, 397–406. [Google Scholar] [PubMed] [Green Version]
- Morisita, M. Iσ-Index, a measure of dispersion of individuals. Res. Popul. Ecol. 1962, 4, 1–7. [Google Scholar] [CrossRef]
- Dale, M.R.T.; Dixon, P.; Fortin, M.J.; Legendre, P.; Myers, D.E.; Rosenberg, M.S. Conceptual and mathematical relationships among methods for spatial analysis. Ecography 2002, 25, 558–577. [Google Scholar] [CrossRef]
- Bhattacharya, C.G. A simple method of resolution of a distribution into Gaussian components. Biometrics 1967, 23, 115–135. [Google Scholar] [CrossRef]
- Gayanilo, F.; Sparre, P.; Pauly, D. FAO-ICLARM Stock Assessment Tools II (FiSAT II) User’s Guide; FAO: Rome, Italy, 2005. [Google Scholar]
- Lester, N.P.; Shuter, B.J.; Abrams, P.A. Interpreting the von Bertalanffy model of somatic growth in fishes: The cost of reproduction. Proc. R. Soc. B Biol. Sci. 2004, 271, 1625–1631. [Google Scholar] [CrossRef] [Green Version]
- Ouréns, R.; Flores, L.; Fernández, L.; Freire, J. Habitat and density-dependent growth of the sea urchin Paracentrotus lividus in Galicia (NW Spain). J. Sea Res. 2013, 76, 50–60. [Google Scholar] [CrossRef]
- RICKER, W.E. Growth rates and models. Fish Physiol. 1979, 8, 677–743. [Google Scholar]
- Elakkermi, M.; Mezali, K.; Soualili, D.L. Interpopulation variability of the reproductive cycle of Arbacia lixula (Echinodermata: Echinoidea) in the Mostaganem shallow-water area (south-western Mediterranean). Reg. Stud. Mar. Sci. 2021, 45, 101810. [Google Scholar] [CrossRef]
- Guillou, M.; Lumingas, L.J.L. Variation in the reproductive strategy of the sea urchin Sphaerechinus granularis (Echinodermata: Echinoidea) related to food availability. J. Mar. Biol. Assoc. UK 1999, 79, 131–136. [Google Scholar] [CrossRef]
- Rutherford, A. Introducing ANOVA And ANCOVA: A GLM Approach; Sage: New York, NY, USA, 2001; ISBN 9780761951612. [Google Scholar]
- The Jamovi Project. Jamovi. (Version 2.2) (Computer Software). 2021. Available online: https://www.jamovi.org (accessed on 15 October 2021).
- Mchugh, M.L. The Chi-square test of independence Lessons in biostatistics. Biochem. Med. 2013, 23, 143–149. [Google Scholar] [CrossRef] [PubMed] [Green Version]
- Froese, R.; Binohlan, C. Empirical relationships to estimate asymptotic length, length at first maturity and length at maximum yield per recruit in fishes, with a simple method to evaluate length frequency data. J. Fish Biol. 2000, 56, 758–773. [Google Scholar] [CrossRef]
- Valentine, J.F.; Heck, K.L. The role of sea urchin grazing in regulating subtropical seagrass meadows: Evidence from field manipulations in the northern Gulf of Mexico. J. Exp. Mar. Bio. Ecol. 1991, 154, 215–230. [Google Scholar] [CrossRef]
- Alvarado, J.J. Seasonal occurrence and aggregation behavior of the sea urchin Astropyga pulvinata (Echinodermata: Echinoidea) in Bahía Culebra, Costa Rica. Pac. Sci. 2008, 62, 579–592. [Google Scholar] [CrossRef] [Green Version]
- Deli, T.; Mohamed, A.B.; Attia, M.H.B.; Zitari-Chatti, R.; Said, K.; Chatti, N. High genetic connectivity among morphologically differentiated populations of the black sea urchin Arbacia lixula (Echinoidea: Arbacioida) across the central African Mediterranean coast. Mar. Biodivers. 2019, 49, 603–620. [Google Scholar] [CrossRef]
- Bayed, A.; Quiniou, F.; Benrha, A.; Guilloi, M. The Paracentrotus lividus populations from the northern Moroccan Atlantic coast: Growth, reproduction and health condition. J. Mar. Biol. Assoc. UK 2005, 85, 999–1007. [Google Scholar] [CrossRef] [Green Version]
- Fernandez, C.; Boudouresque, C.F. Phenotypic plasticity of Paracentrotus lividus (Echinodermata: Echinoidea) in a lagoonal environment. Mar. Ecol. Prog. Ser. 1997, 152, 145–154. [Google Scholar] [CrossRef] [Green Version]
- Balisco, R.A.T. Notes on the Gracious Sea Urchin Tripneustes gratilla (Echinodermata: Echinoidea) in Pag-asa Island, Kalayaan, Palawan, Philippines. Palawan Sci. 2015, 7, 27–35. [Google Scholar]
- Cobb, J.; Lawrence, J.M. Diets and coexistence of the sea urchins Lytechinus variegatus and Arbacia punctulata (Echinodermata) along the central Florida gulf coast. Mar. Ecol. Prog. Ser. 2005, 295, 171–182. [Google Scholar] [CrossRef]
- Ebert, T.A. Longevity, Life History, and Relative Body Wall Size in Sea Urchins. Ecol. Monogr. 1982, 52, 353–394. [Google Scholar] [CrossRef]
- Ebert, T.A. Allometry, design and constraint of body components and of shape in sea urchins. J. Nat. Hist. 1988, 22, 1407–1425. [Google Scholar] [CrossRef]
- Gianguzza, P.; Chiantore, M.; Bonaviri, C.; Cattaneo-Vietti, R.; Vielmini, I.; Riggio, S. The effects of recreational Paracentrotus lividus fishing on distribution patterns of sea urchins at Ustica Island MPA (Western Mediterranean, Italy). Fish. Res. 2006, 81, 37–44. [Google Scholar] [CrossRef]
- Chiantore, M.; Vielmini, I.; Privitera, D.; Mangialajo, L.; Cattaneo-Vietti, R. Habitat effects on the population structure of Paracentrotus lividus and Arbacia lixula. Chem. Ecol. 2008, 24, 145–157. [Google Scholar] [CrossRef]
- Pearse, J.S.; Arch, S.W. The aggregation behavior of Diadema (Echinodermata, Echinoidea). Micronesia 1969, 5, 165–171. [Google Scholar]
- Tuya, F.; Cisneros-Aguirre, J.; Ortega-Borges, L.; Haroun, R.J. Bathymetric segregation of sea urchins on reefs of the Canarian Archipelago: Role of flow-induced forces. Estuar. Coast. Shelf Sci. 2007, 73, 481–488. [Google Scholar] [CrossRef]
- Rose, C.D.; Sharp, W.C.; Kenworthy, W.J.; Hunt, J.H.; Lyons, W.G.; Prager, E.J.; Valentine, J.F.; Hall, M.O.; Whitfield, P.E.; Fourqurean, J.W. Overgrazing of a large seagrass bed by the sea urchin Lytechinus variegatus in Outer Florida Bay. Mar. Ecol. Prog. Ser. 1999, 190, 211–222. [Google Scholar] [CrossRef]
- Benedetti-Cecchi, L.; Cinelli, F. Habitat heterogeneity, sea urchin grazing and the distribution of algae in littoral rock pools on the west coast of Italy (western Mediterranean). Mar. Ecol. Prog. Ser. 1995, 126, 219. [Google Scholar] [CrossRef] [Green Version]
- Sala, E.; Ribes, M.; Hereu, B.; Zabala, M.; Alvà, V.; Coma, R.; Garrabou, J. Temporal variability in abundance of the sea urchins Paracentrotus lividus and Arbacia lixula in the northwestern Mediterranean: Comparison between a marine reserve and an unprotected area. Mar. Ecol. Prog. Ser. 1998, 168, 135–145. [Google Scholar] [CrossRef]
- Sala, E. Fish predators and scavengers of the sea urchin Paracentrotus lividus in protected areas of the north-west Mediterranean sea. Mar. Biol. 1997, 129, 531–539. [Google Scholar] [CrossRef]
- López, S.; Turon, X.; Montero, E.; Palacín, C.; Duarte, C.M.; Tarjuelo, I. Larval abundance, recruitment and early mortality in Paracentrotus lividus (Echinoidea). Interannual variability and plankton-benthos coupling. Mar. Ecol. Prog. Ser. 1998, 172, 239–251. [Google Scholar] [CrossRef] [Green Version]
- Byrne, M. Annual reproductive cycles of the commercial sea urchin Paracentrotus lividus from an exposed intertidal and a sheltered subtidal habitat on the west coast of Ireland. Mar. Biol. 1990, 104, 275–289. [Google Scholar] [CrossRef]
- Hereu, B. Depletion of palatable algae by sea urchins and fishes in a Mediterranean subtidal community. Mar. Ecol. Prog. Ser. 2006, 313, 95–103. [Google Scholar] [CrossRef] [Green Version]
- Russell, M.P.; Ebert, T.A.; Petraitis, P.S. Field estimates of growth and mortality of the green sea urchin, Strongylocentrotus droebachiensis. Ophelia 1998, 48, 137–153. [Google Scholar] [CrossRef]
- Rogers, L.; Bennett, D.R.; Bennett, W.; Ebert, T. Modeling Red Sea Urchin Growth Using Six Growth Models. Fish. Bull. 2003, 101, 614–626. [Google Scholar]
- Turon, X.; Giribet, G.; López, S.; Palacín, C. Growth and population structure of Paracentrotus lividus (Echinodermata: Echinoidea) in two contrasting habitats. Mar. Ecol. Prog. Ser. 1995, 122, 193–204. [Google Scholar] [CrossRef]
- Ebert, T.A.; Russell, M.P. Growth and mortality estimates for red sea urchin Strongylocentrotus franciscanus from San Nicolas Island, California. Mar. Ecol. Prog. Ser. Oldend. 1992, 81, 31–41. [Google Scholar] [CrossRef]
- Ebert, T.A.; Russell, M.P. Growth and mortality of subtidal red sea urchins (Strongylocentrotus franciscanus) at San Nicolas Island, California, USA: Problems with models. Mar. Biol. 1993, 117, 79–89. [Google Scholar] [CrossRef]
- Grosjean, P.; Spirlet, C.; Jangoux, M. Experimental study of growth in the echinoid Paracentrotus lividus (Lamarck, 1816) (Echinodermata). J. Exp. Mar. Bio. Ecol. 1996, 201, 173–184. [Google Scholar] [CrossRef]
- Conor, J.J. Gonad growth in the sea urchin, Strongylocentrotus purpuratus (Stimpson) (echinodermata: Echinoidea) and the assumptions of gonad index methods. J. Exp. Mar. Bio. Ecol. 1972, 10, 89–103. [Google Scholar] [CrossRef]
- Ebert, T.A. Negative growth and longevity in the purple sea urchin Strongylocentrotus purpuratus (Stimpson). Science 1967, 157, 557–558. [Google Scholar] [CrossRef] [PubMed]
- Ebert, T.A. Growth rates of the sea urchin Strongylocentrotus purpuratus related to food availability and spine abrasion. Ecology 1968, 49, 1075–1091. [Google Scholar] [CrossRef]
- Fuji, A. Ecological studies on the growth and food consumption of Japanese common littoral sea urchin, Strngylocentrotus Intermedius (A. Agassiz). In Memoirs of the Faculty of Fisheries Hokkaido University; Hokkaido University: Hokkaido, Japan, 1967; Volume 15 (2), pp. 83–160. [Google Scholar]
- Zachos, L.G. A new computational growth model for sea urchin skeletons. J. Theor. Biol. 2009, 259, 646–657. [Google Scholar] [CrossRef]
- Fernandez, C.; Pergent, G. Effect of different formulated diets and rearing conditions on growth parameters in the sea urchin Paracentrotus lividus. J. Shellfish Res. 1998, 17, 1571–1581. [Google Scholar]
- Meidel, S.K.; Scheibling, R.E. Effects of food type and ration on reproductive maturation and growth of the sea urchin Strongylocentrotus droebachiensis. Mar. Biol. 1999, 134, 155–166. [Google Scholar] [CrossRef]
- Shpigel, M.; McBride, S.C.; Marciano, S.; Lupatsch, I. The effect of photoperiod and temperature on the reproduction of European sea urchin Paracentrotus lividus. Aquaculture 2004, 232, 343–355. [Google Scholar] [CrossRef]
- Vadas, R.L. Preferential Feeding: An Optimization Strategy in Sea Urchins. Ecol. Monogr. 1977, 47, 337–371. [Google Scholar] [CrossRef]
- Tomšić, S.; Conides, A.; Radić, I.D.; Glamuzina, B. Growth, size class frequency and reproduction of purple sea urchin, Paracentrotus lividus (Lamarck, 1816) in Bistrina Bay (Adriatic Sea, Croatia). Acta Adriat. 2010, 51, 67–77. [Google Scholar]
- Wangensteen, O.S.; Turon, X.; Casso, M.; Palacín, C. The reproductive cycle of the sea urchin Arbacia lixula in northwest Mediterranean: Potential influence of temperature and photoperiod. Mar. Biol. 2013, 160, 3157–3168. [Google Scholar] [CrossRef] [Green Version]
- Pedrotti, M.L. Spatial and temporal distribution and recruitment of echinoderm larvae in the ligurian sea. J. Mar. Biol. Assoc. UK 1993, 73, 513–530. [Google Scholar] [CrossRef]
- Pearse, J.S.; McClary, D.J.; Sewell, M.A.; Austin, W.C.; Perez-Ruzafa, A.; Byrne, M. Simultaneous spawning of six species of echinoderms in barkley sound, british columbia. Int. J. Invertebr. Reprod. Dev. 1988, 14, 279–288. [Google Scholar] [CrossRef]
- Siikavuopio, S.I.; Christiansen, J.S.; Dale, T. Effects of temperature and season on gonad growth and feed intake in the green sea urchin (Strongylocentrotus droebachiensis). Aquaculture 2006, 255, 389–394. [Google Scholar] [CrossRef] [Green Version]
- Lares, M.T.; McClintock, J.B. The effects of food quality and temperature on the nutrition of the carnivorous sea urchin Eucidaris tribuloides (Lamarck). J. Exp. Mar. Bio. Ecol. 1991, 149, 279–286. [Google Scholar] [CrossRef]
- Lawrence, J.M.; Plank, L.R.; Lawrence, A.L. The effect of feeding frequency on consumption of food, absorption efficiency, and gonad production in the sea urchin Lytechinus variegatus. Comp. Biochem. Physiol. A Mol. Integr. Physiol. 2003, 134, 69–75. [Google Scholar] [CrossRef]
- Baião, L.F.; Rocha, F.; Costa, M.; Sá, T.; Oliveira, A.; Maia, M.R.G.; Fonseca, A.J.M.; Pintado, M.; Valente, L.M.P. Effect of protein and lipid levels in diets for adult sea urchin Paracentrotus lividus (Lamarck, 1816). Aquaculture 2019, 506, 127–138. [Google Scholar] [CrossRef]
- Bernard, F.R. Fishery and Reproductive Cycle of the Red Sea Urchin, Strongylocentrotus franciscanus, in British Columbia. J. Fish. Res. Board Canada 1977, 34, 604–610. [Google Scholar] [CrossRef]
- GESAMP (IMO/FAO/UNESCO-IOC/WMO/WHO/IAEA/UN/UNEP Joint Group of Experts on the Scientific Aspects of Marine Environmental Protection) and Advisory Committee on Protection of the Sea. Protecting the Oceans from Land-Based Activities—Land-Based Sources and Activities Affecting the Quality and Uses of the Marine, Coastal and Associated Freshwater Environment; No. 71; Reports and Studies GESAMP: London, UK, 2001; p. 162. [Google Scholar]
- Sonico, M.G.I. Distribution of Sea Urchins in Punta Dumalag, Matina Aplaya, Davao City. J. Eng. Environ. Agric. Res. 2018, 1, 4. [Google Scholar] [CrossRef]
- Portocali, P.; Iliopoulou-Georgudaki, J.; Catsiki, V.A.; Papapetropoulou, M. The role of echinoderms as bioindicators of seawater pollution: A case study from Patraicos and Corinthiacos gulf, N. Peloponnesus, Greece. Toxicol. Environ. Chem. 1997, 59, 293–303. [Google Scholar] [CrossRef]
- Catsiki, V.A.; Papathanassiou, E.; Bei, F. Heavy metal levels in characteristic benthic flora and fauna in the central Aegean Sea. Mar. Pollut. Bull. 1991, 22, 566–569. [Google Scholar] [CrossRef]
- Savriama, Y.; Stige, L.C.; Gerber, S.; Pérez, T.; Alibert, P.; David, B. Impact of sewage pollution on two species of sea urchins in the Mediterranean Sea (Cortiou, France): Radial asymmetry as a bioindicator of stress. Ecol. Indic. 2015, 54, 39–47. [Google Scholar] [CrossRef]
- Carballeira, C.; De Orte, M.R.; Viana, I.G.; Carballeira, A. Implementation of a minimal set of biological tests to assess the ecotoxic effects of effluents from land-based marine fish farms. Ecotoxicol. Environ. Saf. 2012, 78, 148–161. [Google Scholar] [CrossRef] [PubMed]
- Fernández-Boán, M.; Fernández, L.; Freire, J. History and management strategies of the sea urchin Paracentrotus lividus fishery in Galicia (NW Spain). Ocean Coast. Manag. 2012, 69, 265–272. [Google Scholar] [CrossRef]
- Garrabou, J.; Sala, E.; Arcas, A.; Zabala, M. The impact of diving on rocky sublittoral communities: A case study of a bryozoan population. Conserv. Biol. 1998, 12, 302–312. [Google Scholar] [CrossRef]
- McClanahan, T.R.; Sala, E. A Mediterranean rocky-bottom ecosystem fisheries model. Ecol. Modell. 1997, 104, 145–164. [Google Scholar] [CrossRef]
- Jackson, J.B.C.; Kirby, M.X.; Berger, W.H.; Bjorndal, K.A.; Botsford, L.W.; Bourque, B.J.; Bradbury, R.H.; Cooke, R.; Erlandson, J.; Estes, J.A.; et al. Historical overfishing and the recent collapse of coastal ecosystems. Science 2001, 293, 629–637. [Google Scholar] [CrossRef] [Green Version]
Publisher’s Note: MDPI stays neutral with regard to jurisdictional claims in published maps and institutional affiliations. |
© 2022 by the authors. Licensee MDPI, Basel, Switzerland. This article is an open access article distributed under the terms and conditions of the Creative Commons Attribution (CC BY) license (https://creativecommons.org/licenses/by/4.0/).