SAR Observation of Waves under Ice in the Marginal Ice Zone
Abstract
1. Introduction
2. Data and Method
2.1. Sentinel-1 SAR Images
2.2. Sea Ice Concentration
2.3. CSARMOD Model
2.4. Manual Selection of SAR Cases
3. Results and Discussions
3.1. A Case Study
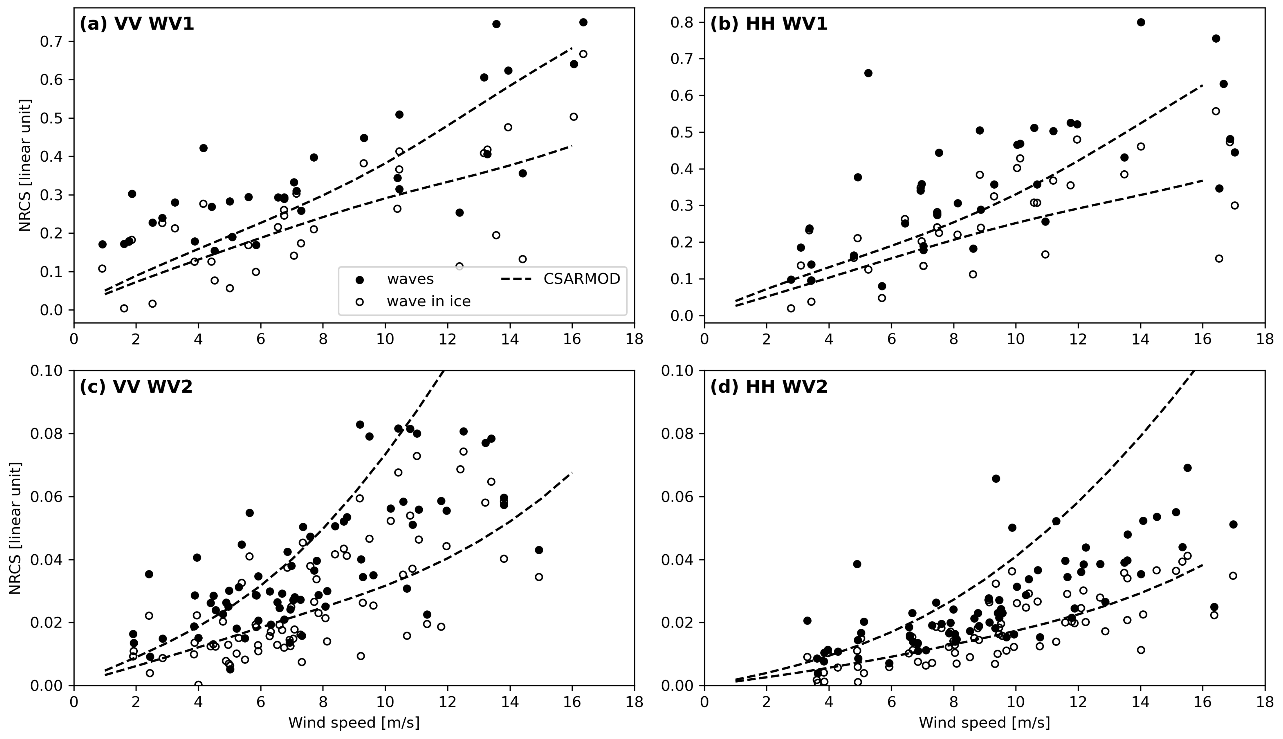
3.2. Statistics of NRCS and Azimuth Cutoff
3.3. Waves Penetrating Far inside Sea Ice
4. Summary
Author Contributions
Funding
Data Availability Statement
Acknowledgments
Conflicts of Interest
References
- Wadhams, P.; Holt, B. Waves in frazil and pancake ice and their detection in Seasat synthetic aperture radar imagery. J. Geophys. Res. 1991, 96, 8835. [Google Scholar] [CrossRef]
- Ito, M.; Ohshima, K.I.; Fukamachi, Y.; Hirano, D.; Mahoney, A.R.; Jones, J.; Takatsuka, T.; Eicken, H. Favorable Conditions for Suspension Freezing in an Arctic Coastal Polynya. J. Geophys. Res. Ocean. 2019, 124, 8701–8719. [Google Scholar] [CrossRef]
- Liu, A.K.; Peng, C.Y.; Weingartner, T.J. Ocean-ice interaction in the marginal ice zone using synthetic aperture radar imagery. J. Geophys. Res. 1994, 99, 22391. [Google Scholar] [CrossRef]
- Martin, S.; Kauffman, P. A Field and Laboratory Study of Wave Damping by Grease Ice. J. Glaciol. 1981, 27, 283–313. [Google Scholar] [CrossRef]
- Johannessen, O.M. Introduction: Summer marginal ice zone experiments during 1983 and 1984 in Fram Strait and the Greenland Sea. J. Geophys. Res. 1987, 92, 6716. [Google Scholar] [CrossRef]
- Rottier, P. SPRI participation in the Winter Marginal Ice Zone Experiment, MIZEX-87. Polar Rec. 1989, 25, 33–36. [Google Scholar] [CrossRef]
- Wadhams, P.; Squire, V.A.; Ewing, J.A.; Pascal, R.W. The Effect of the Marginal Ice Zone on the Directional Wave Spectrum of the Ocean. J. Phys. Oceanogr. 1986, 16, 358–376. [Google Scholar] [CrossRef]
- Stopa, J.E.; Sutherland, P.; Ardhuin, F. Strong and highly variable push of ocean waves on Southern Ocean sea ice. Proc. Natl. Acad. Sci. USA 2018, 115, 5861–5865. [Google Scholar] [CrossRef]
- Group, C.D. CEAREX Drift Experiment. Eos Trans. Am. Geophys. Union 1990, 71, 1115–1118. [Google Scholar] [CrossRef]
- Johannessen, O.; Sandven, S. SIZEX’89; A Prelaunch ERS-1 Experiment; Technical Report Technical Report 23; NERSC: Berkeley, CA, USA, 1989.
- Liu, A.K.; Vachon, P.W.; Peng, C.Y. Observation of wave refraction at an ice edge by synthetic aperture radar. J. Geophys. Res. 1991, 96, 4803. [Google Scholar] [CrossRef]
- Liu, A.K.; Holt, B.; Vachon, P.W. Wave propagation in the marginal ice zone: Model predictions and comparisons with buoy and synthetic aperture radar data. J. Geophys. Res. 1991, 96, 4605. [Google Scholar] [CrossRef]
- Schulz-Stellenfleth, J. Spaceborne synthetic aperture radar observations of ocean waves traveling into sea ice. J. Geophys. Res. 2002, 107, 3106. [Google Scholar] [CrossRef]
- Wadhams, P.; Squire, V.A.; Goodman, D.J.; Cowan, A.M.; Moore, S.C. The attenuation rates of ocean waves in the marginal ice zone. J. Geophys. Res. 1988, 93, 6799. [Google Scholar] [CrossRef]
- Shen, H.; Perrie, W.; Hu, Y.; He, Y. Remote Sensing of Waves Propagating in the Marginal Ice Zone by SAR. J. Geophys. Res. Ocean. 2018, 123, 189–200. [Google Scholar] [CrossRef]
- Stopa, J.E.; Ardhuin, F.; Thomson, J.; Smith, M.M.; Kohout, A.; Doble, M.; Wadhams, P. Wave Attenuation Through an Arctic Marginal Ice Zone on 12 October 2015: 1. Measurement of Wave Spectra and Ice Features From Sentinel 1A. J. Geophys. Res. Ocean. 2018, 123, 3619–3634. [Google Scholar] [CrossRef]
- Wadhams, P.; Parmiggiani, F.; de Carolis, G. The Use of SAR to Measure Ocean Wave Dispersion in Frazil–Pancake Icefields. J. Phys. Oceanogr. 2002, 32, 1721–1746. [Google Scholar] [CrossRef]
- Wadhams, P. SAR imaging of wave dispersion in Antarctic pancake ice and its use in measuring ice thickness. Geophys. Res. Lett. 2004, 31, L15305. [Google Scholar] [CrossRef]
- Sutherland, P.; Gascard, J. Airborne remote sensing of ocean wave directional wavenumber spectra in the marginal ice zone. Geophys. Res. Lett. 2016, 43, 5151–5159. [Google Scholar] [CrossRef]
- Sutherland, P.; Brozena, J.; Rogers, W.E.; Doble, M.; Wadhams, P. Airborne Remote Sensing of Wave Propagation in the Marginal Ice Zone. J. Geophys. Res. Ocean. 2018, 123, 4132–4152. [Google Scholar] [CrossRef]
- Horvat, C.; Blanchard-Wrigglesworth, E.; Petty, A. Observing Waves in Sea Ice With ICESat-2. Geophys. Res. Lett. 2020, 47, e2020GL087629. [Google Scholar] [CrossRef]
- Collard, F.; Marié, L.; Nouguier, F.; Kleinherenbrink, M.; Ehlers, F.; Ardhuin, F. Wind-Wave Attenuation in Arctic Sea Ice: A Discussion of Remote Sensing Capabilities. J. Geophys. Res. Oceans 2022, 127, e2022JC018654. [Google Scholar] [CrossRef]
- Lavergne, T.; Sørensen, A.M.; Kern, S.; Tonboe, R.; Notz, D.; Aaboe, S.; Bell, L.; Dybkjær, G.; Eastwood, S.; Gabarro, C.; et al. Version 2 of the EUMETSAT OSI SAF and ESA CCI sea-ice concentration climate data records. Cryosphere 2019, 13, 49–78. [Google Scholar] [CrossRef]
- Mouche, A.; Chapron, B. Global C-Band Envisat, RADARSAT-2 and Sentinel-1 SAR measurements in copolarization and cross-polarization. J. Geophys. Res. Oceans 2015, 120, 7195–7207. [Google Scholar] [CrossRef]
- Wang, C.; Tandeo, P.; Mouche, A.; Stopa, J.E.; Gressani, V.; Longepe, N.; Vandemark, D.; Foster, R.C.; Chapron, B. Classification of the global Sentinel-1 SAR vignettes for ocean surface process studies. Remote Sens. Environ. 2019, 234, 111457. [Google Scholar] [CrossRef]
- Huang, X.; Zhang, B.; Perrie, W.; Lu, Y.; Wang, C. A novel deep learning method for marine oil spill detection from satellite synthetic aperture radar imagery. Mar. Pollut. Bull. 2022, 179, 113666. [Google Scholar] [CrossRef] [PubMed]
- Engen, G.; Johnsen, H. SAR-ocean wave inversion using image cross spectra. IEEE Trans. Geosci. Remote Sens. 1995, 33, 1047–1056. [Google Scholar] [CrossRef]
- Torres, R.; Snoeij, P.; Geudtner, D.; Bibby, D.; Davidson, M.; Attema, E.; Potin, P.; Rommen, B.; Floury, N.; Brown, M.; et al. GMES Sentinel-1 mission. Remote Sens. Environ. 2012, 120, 9–24. [Google Scholar] [CrossRef]
- Belmonte Rivas, M.; Stoffelen, A. Characterizing ERA-Interim and ERA5 surface wind biases using ASCAT. Ocean Sci. 2019, 15, 831–852. [Google Scholar] [CrossRef]







| Latitude () | −66.33 | −67.90 | −69.43 | −70.92 |
| Longitude () | −97.00 | −99.22 | −101.76 | −104.68 |
| NRCS | 0.47 | 0.50 | 0.16 | 0.10 |
| Azimuth cutoff (m) | 275.24 | 273.66 | 112.31 | 59.95 |
Publisher’s Note: MDPI stays neutral with regard to jurisdictional claims in published maps and institutional affiliations. |
© 2022 by the authors. Licensee MDPI, Basel, Switzerland. This article is an open access article distributed under the terms and conditions of the Creative Commons Attribution (CC BY) license (https://creativecommons.org/licenses/by/4.0/).
Share and Cite
Dai, Z.; Li, H.; Liu, D.; Wang, C.; Shi, L.; He, Y. SAR Observation of Waves under Ice in the Marginal Ice Zone. J. Mar. Sci. Eng. 2022, 10, 1836. https://doi.org/10.3390/jmse10121836
Dai Z, Li H, Liu D, Wang C, Shi L, He Y. SAR Observation of Waves under Ice in the Marginal Ice Zone. Journal of Marine Science and Engineering. 2022; 10(12):1836. https://doi.org/10.3390/jmse10121836
Chicago/Turabian StyleDai, Ziyue, Huimin Li, Dongbo Liu, Chen Wang, Lijian Shi, and Yijun He. 2022. "SAR Observation of Waves under Ice in the Marginal Ice Zone" Journal of Marine Science and Engineering 10, no. 12: 1836. https://doi.org/10.3390/jmse10121836
APA StyleDai, Z., Li, H., Liu, D., Wang, C., Shi, L., & He, Y. (2022). SAR Observation of Waves under Ice in the Marginal Ice Zone. Journal of Marine Science and Engineering, 10(12), 1836. https://doi.org/10.3390/jmse10121836

