Numerical Study of Influences of Onshore Wind on Hydrodynamic Processes of Solitary Wave over Fringing Reef
Abstract
1. Introduction
2. Descriptions on Numerical Model
3. Model Verification
4. Discussion on Results
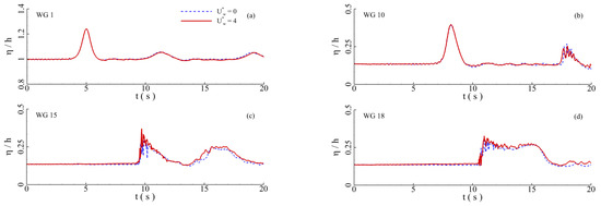
4.1. Hydrodynamic Analyses
4.2. Influences of Wind Speed
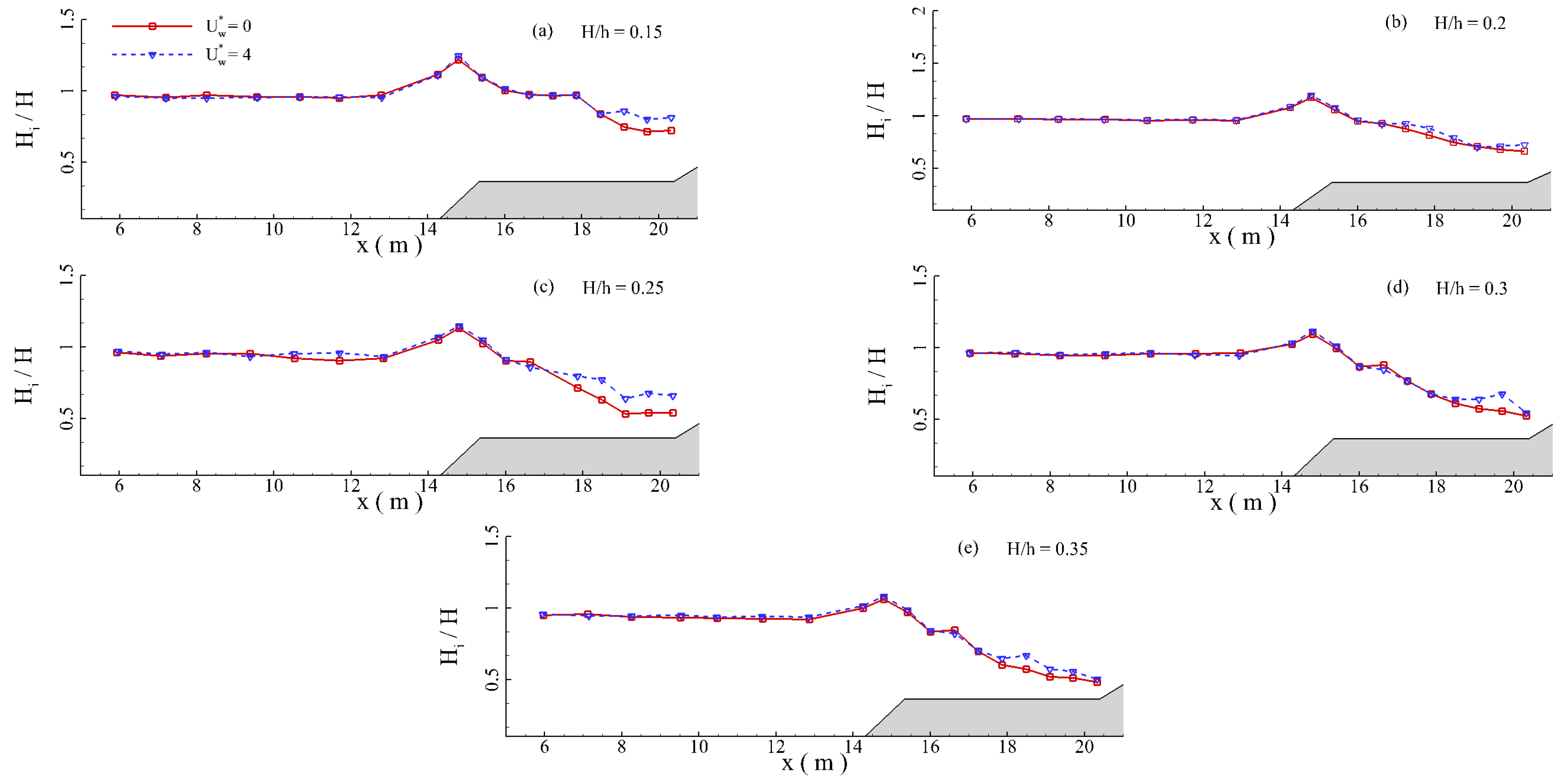
4.3. Influences of Wave Height and Water Depth
4.4. Influences of Forereef and Backreef Slopes
5. Conclusions
- (1)
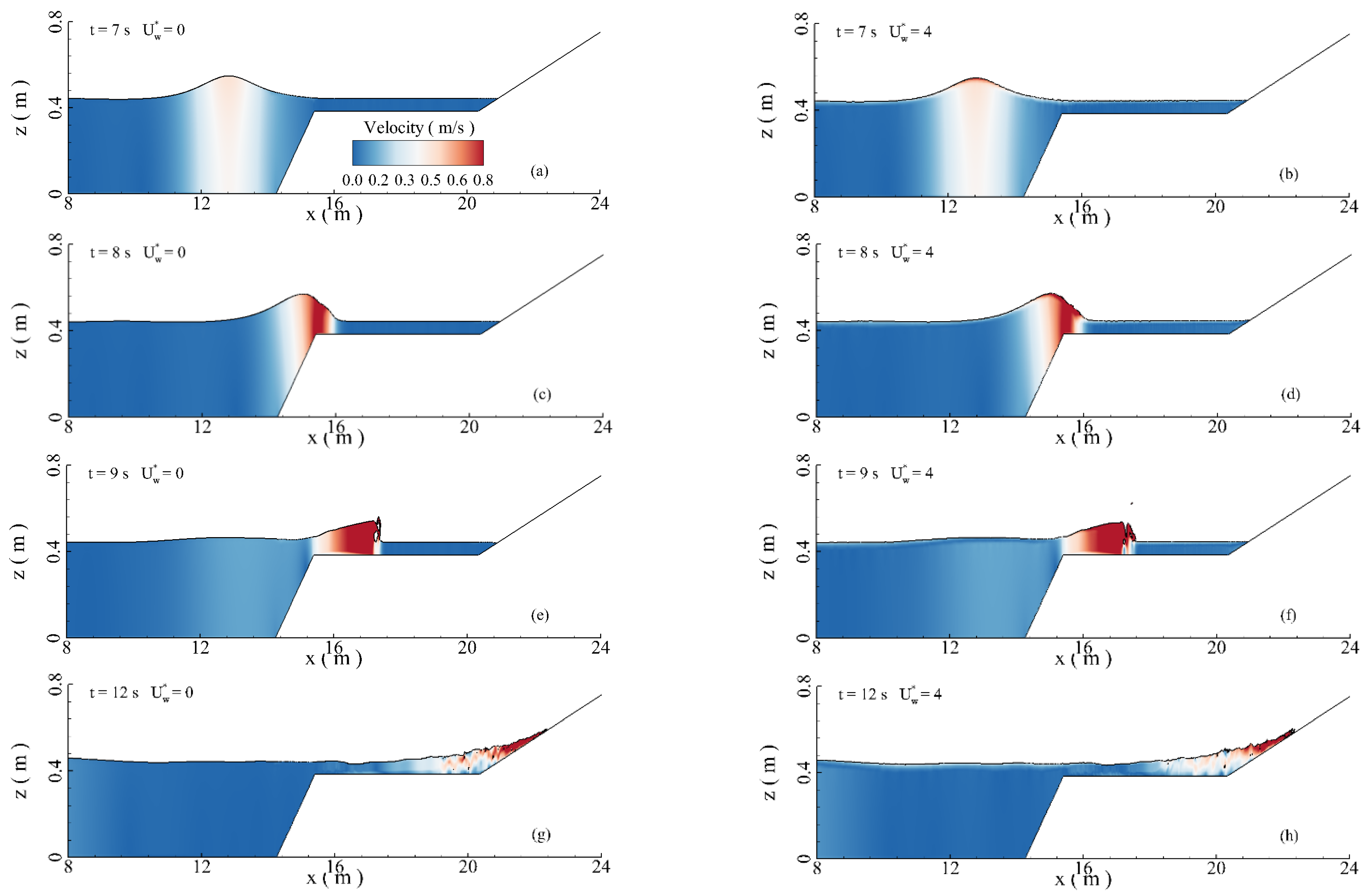
- The significant velocity differences between the water and air phases can produce a strong shear stress force at the water surface. In addition, when the strong onshore wind blows over the crest of solitary wave, low-pressure regions can be formed over the wave crest or the front side of breaking surge bore, resulting in strong pressure imbalances. Noticeable water surface oscillations can be observed, especially in the leeward region. Under the driving forces of the onshore wind, the breaking surge bore will produce a greater wave runup height. For the basic run, the maximum value of wave runup height of solitary wave under the action of onshore wind can be 22.6% greater than that without the wind;
- (2)
- As the wind speed continues to increase, the time of occurrence of wave breaking continues to advance. The wave reflection coefficient gradually decreases with the onshore wind speed. When the wind speed () increases from 0 to 6, the wave reflection coefficient decreases by 8.66%. This is attributed to the reason that the propagation celerity of solitary wave gradually increases under the increasingly intensified blowing effects of onshore wind. The maximum value of wave runup height of solitary wave increases linearly with the onshore wind speed. When the wind speed () increases from 0 to 6, the maximum wave runup height increases by 38.49%;
- (3)
- When the relative wave height () increases from 0.15 to 0.35, wave reflection coefficient of the solitary wave in the windy and no-windy conditions decreases by 8.92% and 1.94%, respectively. Meanwhile, the maximum value of wave runup height of the solitary wave in the windy and no-windy conditions increases by 10.95% and 13.98%, respectively. The maximum value of wave runup height of solitary wave in the windy condition is always larger than that of solitary wave in no-windy condition, averagely 16.67% larger;
- (4)
- As the water depth gradually increases, the wave reflection coefficient of solitary wave tends to decrease monotonically. It is attributed to the reason that an increase in the water depth can cause the blocking effects of the forereef slope on the solitary wave to decreases. As the water depth () increases from 0.383 m to 0.503 m, the wave reflection coefficient of solitary wave in the windy and no-windy conditions decreases by 4.29% and 5.92%, respectively. However, the maximum value of wave runup height of the solitary wave in the windy and no-windy conditions increases by 33.8% and 10.25%, respectively. The maximum value of wave runup height of the solitary wave in the windy condition is always greater than that in no-wind condition, on average, 22.82% greater;
- (5)
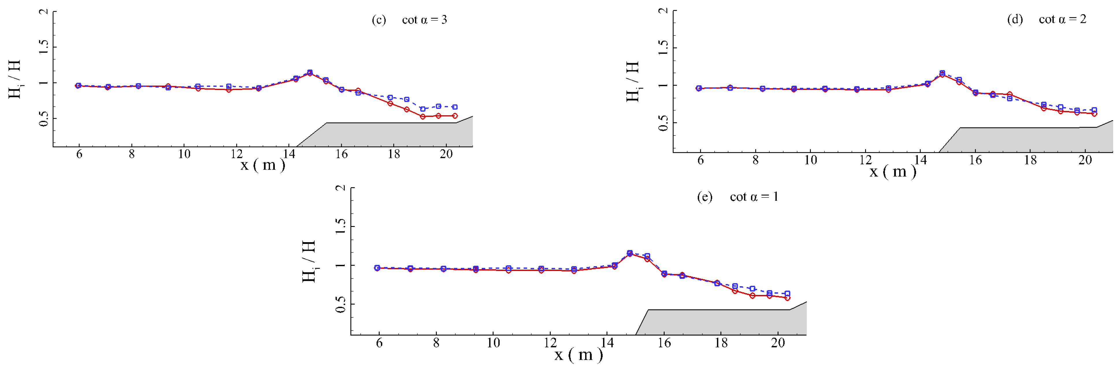
- When the forereef slope is mild, the differences in the spatial distributions of local wave heights after the wave breakings can be ignored. As the forereef slope () increases from 5 to 1, the wave reflection coefficient of solitary wave in the windy and no-windy conditions increases by 11.02% and 5.12%, respectively. However, the forereef slope can only slightly influence the maximum value of wave runup height, especially for the solitary wave in the windy condition. The maximum value of wave runup height of the solitary wave in the windy condition is, on average, 15.58% greater than that in the no-wind condition;
- (6)
- The variation of backreef slope has no noticeable influences on the wave reflection coefficient. The maximum value of wave runup height monotonically increases with the backreef slope for both solitary wave in the windy and no-wind conditions. As the backreef slope () increases from 20 to 5, the maximum value of wave runup height of the solitary wave in the windy and no-wind conditions increases by 13.81% and 10.27%, respectively. Meanwhile, the maximum value of wave runup height of the solitary wave in the windy condition is, on average, 15.49% greater than that in the no-wind condition.
Author Contributions
Funding
Institutional Review Board Statement
Informed Consent Statement
Data Availability Statement
Conflicts of Interest
References
- Gourlay, M.R.; Colleter, G. Wave-generated flow on coral reefs—An analysis for two-dimensional horizontal reef-tops with steep faces. Coast. Eng. 2005, 52, 353–387. [Google Scholar] [CrossRef]
- Li, Y.; Zhang, C.; Chen, D.; Zheng, J.; Sun, J.; Wang, P. Barred beach profile equilibrium investigated with a process-based numerical model. Cont. Shelf Res. 2021, 222, 104432. [Google Scholar] [CrossRef]
- Buckley, M.L.; Lowe, R.; Hansen, J.; Van Dongeren, A. Wave setup over a fringing reef with large bottom roughness. J. Phys. Oceanogr. 2016, 46, 2317–2333. [Google Scholar] [CrossRef]
- Baldock, T.E.; Shabani, B.; Callaghan, D.P.; Hu, Z.; Mumby, P.J. Two-dimensional modelling of wave dynamics and wave forces on fringing coral reefs. Coast. Eng. 2020, 155, 103594. [Google Scholar] [CrossRef]
- Lugo-Fernandez, A.; Roberts, H.H.; Suhayda, J.N. Wave transformations across a Caribbean fringing-barrier coral reef. Cont. Shelf Res. 1998, 18, 1099–1124. [Google Scholar] [CrossRef]
- Lowe, R.J.; Koseff, J.R.; Monismith, S.G. Oscillatory flow through submerged canopies: 1. Velocity structure. J. Geophys. Res. 2005, 110, C10016. [Google Scholar] [CrossRef]
- Yao, Y.; He, F.; Tang, Z.; Liu, Z. A study of tsunami-like solitary wave transformation and run-up over fringing reefs. Ocean Eng. 2018, 149, 142–155. [Google Scholar] [CrossRef]
- Gourlay, M.R. Wave transformation on a coral reef. Coast Eng. 1994, 23, 17–42. [Google Scholar] [CrossRef]
- Gourlay, M.R. Wave set-up on coral reefs. 2. Wave set-up on reefs with various Profiles. Coast Eng. 1996, 28, 17–55. [Google Scholar] [CrossRef]
- Ning, Y.; Liu, W.J.; Zhao, X.Z.; Zhang, Y.; Sun, Z. Study of irregular wave run-up over fringing reefs based on a shock-capturing boussinesq model. Appl. Ocean Res. 2019, 84, 216–224. [Google Scholar] [CrossRef]
- Yao, Y.; Zhang, Q.; Chen, S.; Tang, Z. Effects of reef morphology variations on wave processes over fringing reefs. Appl. Ocean. Res. 2019, 82, 52–62. [Google Scholar] [CrossRef]
- Seelig, W.N. Laboratory study of reef-lagoon system hydraulics. J. Waterw. Port. Coast. Ocean Eng. 1983, 109, 380–391. [Google Scholar] [CrossRef]
- Buckley, M.L.; Lowe, R.; Hansen, J.; Van Dongeren, A. Dynamics of wave setup over a steeply sloping fringing reef. J. Phys. Oceanogr. 2015, 45, 150923131654000. [Google Scholar] [CrossRef]
- Demirbilek, Z.; Nwogu, O.G.; Ward, D.L. Laboratory Study of Wind Effect on Runup over Fringing Reefs, Report 1: Data Report; Coastal and Hydraulics Laboratory Technical Report ERDC/CHL-TR-07-4; U.S. Army Engineer Research and Development Center: Vicksburg, MS, USA, 2007. [Google Scholar]
- Becker, J.M.; Merrifield, M.A.; Yoon, H. Infragravity waves on fringing reefs in the tropical Pacific: Dynamic setup. J. Geophys. Res. Oceans. 2016, 121, 3010–3028. [Google Scholar] [CrossRef]
- Longuet-Higgins, M.S.; Stewart, R.W. Radiation stresses in water waves; a physical discussion, with applications. Deep. Sea. Res. Oceanogr. Abstr. 1964, 11, 529–562. [Google Scholar] [CrossRef]
- Fernando, H.; Samarawickrama, S.; Balasubramanian, S.; Hettiarachchi, S.; Voropayev, S. Balasubramanian, S. Effects of porous barriers such as coral reefs on coastal wave propagation. J. Hydro. Environ. Res. 2008, 1, 187–194. [Google Scholar] [CrossRef]
- Kunkel, C.; Hallberg, R.; Oppenheimer, M. Coral Reefs reduce tsunami impact in model simulations. Geophys. Res. Lett. 2006, 33, L23612. [Google Scholar] [CrossRef]
- Lynett, P.J. Effect of a shallow water obstruction on long wave runup and overland flow velocity. J. Waterw. Port Coast. Ocean. Eng. 2007, 133, 455–462. [Google Scholar] [CrossRef]
- Ma, G.; Su, S.-F.; Liu, S.; Chu, J.-C. Numerical simulation of infragravity waves in fringing reefs using a shock-capturing non-hydrostatic model. Ocean. Eng. 2014, 85, 54–64. [Google Scholar] [CrossRef]
- Nwogu, O.; Demirbilek, Z. Infragravity wave motions and run-up over shallow fringing reefs. J. Waterw. Port Coast. Ocean Eng. 2010, 136, 295–305. [Google Scholar] [CrossRef]
- Péquignet, A.C.N.; Becker, J.M.; Merrifield, M.A.; Aucan, J. Forcing of resonant modes on a fringing reef during tropical storm Man-Yi. Geophys. Res. Lett. 2009, 36, L03607. [Google Scholar] [CrossRef]
- Gawehn, M.; van Dongeren, A.; van Rooijen, A.; Storlazzi, C.D.; Cheriton, O.M.; Reniers, A. Identification and classification of very low frequency waves on a coral reef flat. J. Geophys. Res. Oceans. 2016, 121, 7560–7574. [Google Scholar] [CrossRef]
- Qu, K.; Ren, X.Y.; Kraatz, S. Numerical investigation of tsunami-like wave hydrodynamic characteristics and its comparison with solitary wave. Appl. Ocean Res. 2017, 63, 36–78. [Google Scholar] [CrossRef]
- Ford, M.R.; Becker, J.M.; Merrifield, M.A. Reef flat wave processes and excavation pits: Observations and implications for Majuro Atoll, Marshall Islands. J. Coast Res. 2013, 29, 545–554. [Google Scholar] [CrossRef]
- Goda, Y. Derivation of unified wave overtopping formulae for seawalls with smooth, impermeable surfaces based on selected CLASH datasets. Coast. Eng. 2009, 56, 385–399. [Google Scholar] [CrossRef]
- Shao, K.; Liu, W.; Gao, Y.; Ning, Y. The influence of climate change on tsunami-like solitary wave inundation over fringing reefs. J. Integr. Environ. Sci. 2019, 16, 17–88. [Google Scholar] [CrossRef]
- Roeber, V.; Cheung, K.F.; Kobayashi, M.H. Shock-capturing Boussinesq-type model for nearshore wave processes. Coast. Eng. 2010, 57, 407–423. [Google Scholar] [CrossRef]
- Roeber, V.; Cheung, K.F. Boussinesq-type model for energetic breaking waves in fringing reef environments. Coast. Eng. 2012, 70, 1–20. [Google Scholar] [CrossRef]
- Kazolea, M.; Filippini, A.; Ricchiuto, M.; Abadie, S.; Medina, M.M.; Morichon, D.; Journeau, C.; Marcer, R.; Pons, K.; LeRoy, S.; et al. Wave propagation, breaking, and overtopping on a 2D reef: A comparative evaluation of numerical codes for tsunami modelling. Eur. J. Mech. B-fluid. 2019, 73, 122–131. [Google Scholar] [CrossRef]
- Quiroga, P.D.; Cheung, K.F. Laboratory study of solitary-wave transformation over bed-form roughness on fringing reefs. Coast. Eng. 2013, 80, 35–48. [Google Scholar] [CrossRef]
- Liu, W.; Shao, K.; Ning, Y. A study of the maximum momentum flux in the solitary wave run-up zone over back-reef slopes based on a boussinesq model. J. Mar. Sci. Eng. 2019, 7, 109. [Google Scholar] [CrossRef]
- Qu, K.; Liu, T.W.; Chen, L.; Yao, Y.; Kraatz, S.; Huang, J.X.; Lan, G.Y.; Jiang, C.B. Study on transformation and runup processes of tsunami-like wave over permeable fringing reef using a nonhydrostatic numerical wave model. Ocean Eng. 2022, 243, 110228. [Google Scholar] [CrossRef]
- Jeffreys, H. On the formation of water waves by wind. Proc. R. Soc. Lond. Ser. A Math. Phys. Eng. Sci. 1925, 107, 189–206. [Google Scholar]
- Miles J, W. On the generation of surface waves by shear flows. J. Fluid Mech. 1957, 3, 185–204. [Google Scholar] [CrossRef]
- Banner, M.L.; Melville, W.K. On the separation of air flow over water waves. J. Fluid Mech. 1976, 77, 825–842. [Google Scholar] [CrossRef]
- Douglass, S.L.; Weggel, J.R. Laboratory experiments on the influence of wind on nearshore wave breaking. Coast. Eng. Proc. 1988, 21, 46. [Google Scholar] [CrossRef]
- Sous, D.; Forsberg, P.L.; Touboul, J.; Nogueira, G.G. Laboratory experiments of surf zone dynamics under on-and offshore wind conditions. Coast. Eng. 2021, 163, 103797. [Google Scholar] [CrossRef]
- King, D.M.; Baker, C.J. Changes to wave parameters in the surf zone due to wind effects. J. Hydraul Res. 1996, 34, 55–76. [Google Scholar] [CrossRef]
- Liu, X. A laboratory study of spilling breakers in the presence of light-wind and surfactants. J. Geophys Res-Oceans. 2016, 121, 1846–1865. [Google Scholar] [CrossRef]
- Touboul, J.; Giovanangeli, J.P.; Kharif, C. Freak waves under the action of wind: Experiments and simulations. Eur. J. Mech. B-fluid. 2006, 25, 662–676. [Google Scholar] [CrossRef]
- Tian, Z.; Choi, W. Evolution of deep-water waves under wind forcing and wave breaking effects: Numerical simulations and experimental assessment. Eur. J. Mech. B-fluid. 2013, 41, 11–22. [Google Scholar] [CrossRef]
- Yan, S.; Ma, Q.W. Numerical simulation of interaction between wind and 2D freak waves. Eur. J. Mech. B-fluid. 2010, 29, 18–31. [Google Scholar] [CrossRef]
- Marino, E.; Borri, C.; Lugni, C. Influence of wind–waves energy transfer on the impulsive hydrodynamic loads acting on offshore wind turbines. J. Wind Eng. Ind. Aerod. 2011, 99, 767–775. [Google Scholar] [CrossRef]
- Zou, Q.; Chen, H. Wind and current effects on extreme wave formation and breaking. J. Phys. Oceanogr. 2017, 47, 1817–1841. [Google Scholar] [CrossRef]
- Hieu, P.D.; Vinh, P.N.; Son, N.T. Study of wave–wind interaction at a seawall using a numerical wave channel. Appl. Math. Mode. 2014, 38, 5149–5159. [Google Scholar] [CrossRef]
- Qu, K.; Wen, B.; Ren, X.; Kraatz, S.; Sun, W.; Deng, B.; Jiang, C. Numerical investigation on hydrodynamic load of coastal bridge deck under joint action of solitary wave and wind. Ocean Eng. 2020, 217, 108037. [Google Scholar] [CrossRef]
- Wen, B.H.; Qu, K.; Lan, G.Y.; Sun, W.Y.; Yao, Y.; Deng, B.; Jiang, C.B. Numerical study on hydrodynamic characteristics of coastal bridge deck under joint action of regular waves and wind. Ocean Eng. 2022, 245, 110450. [Google Scholar] [CrossRef]
- Fergizer, J.; Peric, M. Computational Methods for Fluid Dynamics; Springer: Berlin/Heidelberg, Germany, 2002. [Google Scholar]
- Jasak, H. Error Analysis and Estimation for the Finite Volume Method with Applications to Fluid Flows. Ph.D. Dissertation, University of London, London, UK, 1996. [Google Scholar]
- Rhie, C.; Chow, W. A Numerical Study of the Turbulent Flow Past an Isolated Airfoil with Trailing Edge Separation. In Proceedings of the 3rd Joint Thermophysics, Fluids, Plasma and Heat Transfer Conference, Fluid Dynamics and Co-located Conferences, St. Louis, MO, USA, 7–11 June 1982. [Google Scholar]
- Issa, R. Solution of the implicitly discretized fluid flow equations by operator splitting. J. Comput. Phys. 1986, 62, 40–65. [Google Scholar] [CrossRef]
- Wilcox, D.C. Turbulence Modeling for CFD; DCW Industries Inc.: La Canada, CA, USA, 1994. [Google Scholar]
- Darwish, M.; Moukalled, F. Convective schemes for capturing interfaces of free surface flow on unstructured grids. Num. Heat Transf. B-Fund. 2006, 49, 19–42. [Google Scholar] [CrossRef]
- Willmott, C.J. On the Validation of Models. Phys. Geogr. 1981, 2, 184–194. [Google Scholar] [CrossRef]




























Publisher’s Note: MDPI stays neutral with regard to jurisdictional claims in published maps and institutional affiliations. |
© 2022 by the authors. Licensee MDPI, Basel, Switzerland. This article is an open access article distributed under the terms and conditions of the Creative Commons Attribution (CC BY) license (https://creativecommons.org/licenses/by/4.0/).
Share and Cite
Guo, L.; Qu, K.; Huang, J.X.; Li, X.H. Numerical Study of Influences of Onshore Wind on Hydrodynamic Processes of Solitary Wave over Fringing Reef. J. Mar. Sci. Eng. 2022, 10, 1645. https://doi.org/10.3390/jmse10111645
Guo L, Qu K, Huang JX, Li XH. Numerical Study of Influences of Onshore Wind on Hydrodynamic Processes of Solitary Wave over Fringing Reef. Journal of Marine Science and Engineering. 2022; 10(11):1645. https://doi.org/10.3390/jmse10111645
Chicago/Turabian StyleGuo, L., K. Qu, J. X. Huang, and X. H. Li. 2022. "Numerical Study of Influences of Onshore Wind on Hydrodynamic Processes of Solitary Wave over Fringing Reef" Journal of Marine Science and Engineering 10, no. 11: 1645. https://doi.org/10.3390/jmse10111645
APA StyleGuo, L., Qu, K., Huang, J. X., & Li, X. H. (2022). Numerical Study of Influences of Onshore Wind on Hydrodynamic Processes of Solitary Wave over Fringing Reef. Journal of Marine Science and Engineering, 10(11), 1645. https://doi.org/10.3390/jmse10111645

