CFD Research on the Hydrodynamic Performance of Submarine Sailing near the Free Surface with Long-Crested Waves
Abstract
1. Introduction
2. Geometry and Simulation Conditions
2.1. Geometry of the Model
2.2. Simulation Conditions
3. Mathematical Formulation
3.1. Numerical Method
3.2. Wave-Generating Method
3.2.1. Irregular Wave Generation
3.2.2. Damping Method
4. Numerical Modeling
4.1. Computational Domain and Boundary Conditions
4.2. Grid Generation
5. Verification and Validation
5.1. Wave Generation Technique
5.2. Uncertainty of the Numerical Method
- (1)
 - 0 < R < 1, Monotonic convergence;
 - (2)
 - R < 0, Oscillatory convergence;
 - (3)
 - R > 1, Divergence.
 
6. Results and Discussion
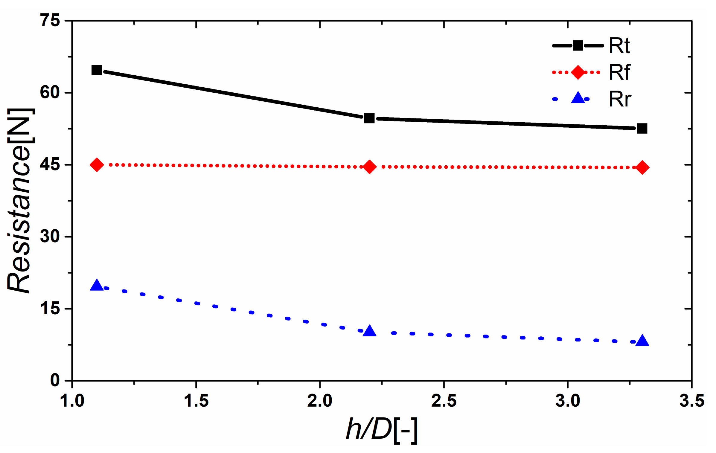
6.1. Resistance
6.1.1. Calm Water
6.1.2. Irregular Waves
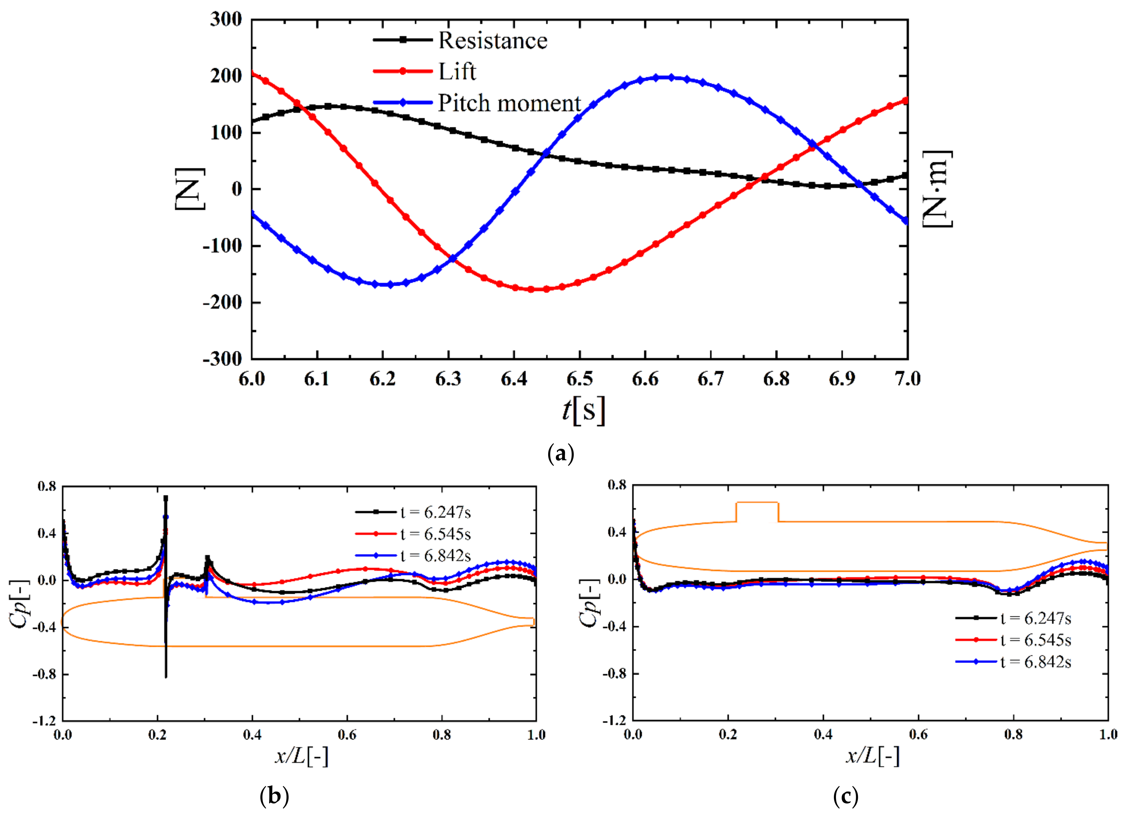
6.2. Lift and Pitch Moment
6.2.1. Calm Water
6.2.2. Irregular Waves
7. Conclusions
Author Contributions
Funding
Conflicts of Interest
References
- Groves, N.C.; Huang, T.T.; Chang, M.S. Geometric Characteristics of DARPA (Defense Advanced Research Projects Agency) SUBOFF Models (DTRC Model Numbers 5470 and 5471); David Taylor Research Center Bethesda MD Ship Hydromechanics Dept.: Bethesda, MD, USA, 1989. [Google Scholar]
 - Liu, H.-L.; Huang, T.T. Summary of DARPA SUBOFF Experimental Program Data; Naval Surface Warfare Center Carderock Div Bethesda MD Hydromechanics: Bethesda, MD, USA, 1998. [Google Scholar]
 - Chase, N. Simulations of the DARPA Suboff Submarine Including Self-Propulsion with the E1619 Propeller; Iowa University: Iowa City, IA, USA, 2012. [Google Scholar]
 - Chase, N.; Carrica, P.M. Submarine propeller computations and application to self-propulsion of DARPA Suboff. Ocean Eng. 2013, 60, 68–80. [Google Scholar] [CrossRef]
 - Zhang, J.; Maxwell, J.A.; Gerber, A.G.; Holloway, A.G.L.; Watt, G.D. Simulation of the flow over axisymmetric submarine hulls in steady turning. Ocean Eng. 2013, 57, 180–196. [Google Scholar] [CrossRef]
 - Dubbioso, G.; Broglia, R.; Zaghi, S. CFD analysis of turning abilities of a submarine model. Ocean Eng. 2017, 129, 459–479. [Google Scholar] [CrossRef]
 - Dawson, E. An Investigation into the Effects of Submergence Depth, Speed and Hull Length-to-Diameter Ratio on the Near Surface Operation of Conventional Submarines. Master’s Thesis, University of Tasmania, Hobart, TAS, Australia, 2014. [Google Scholar]
 - Amiri, M.M.; Esperança, P.T.; Vitola, M.A.; Sphaier, S.H. How does the free surface affect the hydrodynamics of a shallowly submerged submarine? Appl. Ocean Res. 2018, 76, 34–50. [Google Scholar] [CrossRef]
 - Li, D.; Yang, Q.; Zhai, L.; Wang, Z.; He, C.-L. Numerical investigation on the wave interferences of submerged bodies operating near the free surface. Int. J. Nav. Archit. Ocean Eng. 2021, 13, 65–74. [Google Scholar] [CrossRef]
 - Wilson-Haffenden, S.; Renilson, M.; Ranmuthugala, D.; Dawson, E. An investigation into the wave making resistance of a submarine travelling below the free surface. In Proceedings of the International Maritime Conference 2010: Maritime Industry-Challenges, Opportunities and Imperatives, Sydney, Australia, 27–29 January 2010; p. 495. [Google Scholar]
 - Jagadeesh, P.; Murali, K. RANS predictions of free surface effects on axisymmetric underwater body. Eng. Appl. Comput. Fluid Mech. 2010, 4, 301–313. [Google Scholar] [CrossRef]
 - Mansoorzadeh, S.; Javanmard, E. An investigation of free surface effects on drag and lift coefficients of an autonomous underwater vehicle (AUV) using computational and experimental fluid dynamics methods. J. Fluids Struct. 2014, 51, 161–171. [Google Scholar] [CrossRef]
 - Nematollahi, A.; Dadvand, A.; Dawoodian, M. An axisymmetric underwater vehicle-free surface interaction: A numerical study. Ocean Eng. 2015, 96, 205–214. [Google Scholar] [CrossRef]
 - Attiya, B.; Altimemy, M.; Caspar, J.; Daskiran, C.; Liu, I.-H.; Oztekin, A. Large eddy simulations of multiphase flows past a finite plate near a free surface. Ocean Eng. 2019, 188, 106342. [Google Scholar] [CrossRef]
 - Carrica, P.M.; Kim, Y.; Martin, J.E. Near-surface self propulsion of a generic submarine in calm water and waves. Ocean Eng. 2019, 183, 87–105. [Google Scholar] [CrossRef]
 - Wang, L.; Martin, J.E.; Felli, M.; Carrica, P.M. Experiments and CFD for the propeller wake of a generic submarine operating near the surface. Ocean Eng. 2020, 206, 107304. [Google Scholar] [CrossRef]
 - Willy, C.J. Attitude Control of an Underwater Vehicle Subjected to Waves. Master’s Thesis, Massachusetts Institute of Technology, Boston, MA, USA, 1994. [Google Scholar]
 - Milgram, J.H. Strip theory for underwater vehicles in water of finite depth. J. Eng. Math. 2007, 58, 31–50. [Google Scholar] [CrossRef][Green Version]
 - Tian, W.; Song, B.; Ding, H. Numerical research on the influence of surface waves on the hydrodynamic performance of an AUV. Ocean Eng. 2019, 183, 40–56. [Google Scholar] [CrossRef]
 - Kim., Y.; Carrica., P.M.; Martin, J.E. Vertical zigzag and controlled turn maneuvers of a generic submarine in deep water and near the surface in irregular waves. In Proceedings of the 33rd Symposium on Naval Hydrodynamics, Osaka, Japan, 18–23 October 2020. [Google Scholar]
 - Menter, F.R. Two-equation eddy-viscosity turbulence models for engineering applications. AIAA J. 1994, 32, 1598–1605. [Google Scholar] [CrossRef]
 - Bell, J.B.; Colella, P.; Glaz, H.M. A second-order projection method for the incompressible Navier-Stokes equations. J. Comput. Phys. 1989, 85, 257–283. [Google Scholar] [CrossRef]
 - Howell, L.H.; Bell, J.B. An adaptive mesh projection method for viscous incompressible flow. SIAM J. Sci. Comput. 1997, 18, 996–1013. [Google Scholar] [CrossRef]
 - Osher, S.; Sethian, J.A. Fronts propagating with curvature-dependent speed: Algorithms based on Hamilton-Jacobi formulations. J. Comput. Phys. 1988, 79, 12–49. [Google Scholar] [CrossRef]
 - Cho, K.W.; Kwon, J.H.; Lee, S. Development of a fully systemized chimera methodology for steady/unsteady problems. J. Aircr. 1999, 36, 973–980. [Google Scholar] [CrossRef]
 - Li, T.; Yan, C.; Li, Y. Investigation and enhancement of cut-paste algorithm in overlapping grid. J. Beijing Univ. Aeronaut. Astronaut. 2005, 31, 402. [Google Scholar]
 - Liu, L.; Wang, X.; He, R.; Zhang, Z.; Feng, D. CFD prediction of stern flap effect on Catamaran seakeeping behavior in long crest head wave. Appl. Ocean Res. 2020, 104, 102367. [Google Scholar] [CrossRef]
 - Yu, J.; Yao, C.; Liu, L.; Zhang, Z.; Feng, D. Assessment of full-scale KCS free running simulation with body-force models. Ocean Eng. 2021, 237, 109570. [Google Scholar] [CrossRef]
 - The Specialist Committee on Waves. Final report and recommendations to the 23rd ITTC. In Proceedings of the 23rd ITTC, Venice, Italy, 8–14 September 2002. [Google Scholar]
 - ITTC. ITTC-Recommended Procedures and Guidelines, Practical Guidelines for Ship CFD Applications, Rio de Janeiro, Brazil. 2011. Available online: https://ittc.info/media/1703/75-03-02-02.pdf (accessed on 15 November 2021).
 - AMSE. Standard for Verification and Validation in Computational FLUID Dynamics and Heat Transfer-ASME V & V 20-2009; The American Society of Mechanical Engineers: New York, NY, USA, 2009. [Google Scholar]
 - AMSE. Multivariate Metrics-Supplement 1 of ASME V & V 20-2009; The American Society of Mechanical Engineers: New York, NY, USA, 2016. [Google Scholar]
 - Xing, T.; Stern, F. Factors of safety for Richardson extrapolation. J. Fluids Eng. 2010, 132, 6. [Google Scholar] [CrossRef]
 - Sadat-Hosseini, H.; Carrica, P.; Kim, H.; Toda, Y.; Stern, F. URANS simulation and valiation of added resistance and motions of the KVLCC2 crude carrier with fixed and free surge conditions. In Proceedings of the Gothenburg 2010: A Workshop on CFD in Ship Hydrodynamics, Gothenburg, Sweden, January 2010. [Google Scholar]
 - Sadat-Hosseini, H.; Wu, P.-C.; Carrica, P.M.; Kim, H.; Toda, Y.; Stern, F. CFD verification and validation of added resistance and motions of KVLCC2 with fixed and free surge in short and long head waves. Ocean Eng. 2013, 59, 240–273. [Google Scholar] [CrossRef]
 - Guo, H. Numerical simulation of wave motions and added resistance of KCS for different wave lengths. Ocean Eng. 2020, 6, 11–23. [Google Scholar]
 































| Parameters | Symbol | Units | Model | 
|---|---|---|---|
| Hull length | L | m | 4.356 | 
| Hull diameter | D | m | 0.508 | 
| Center of gravity | Xg | m | 1.975 | 
| Wetted-surface area | S | m2 | 6.058 | 
| Case | Froude Number | Depths (h/D) | Sea State | Free Surface | 
|---|---|---|---|---|
| 1 | 0.336 | 1.1 | - | Calm water | 
| 2 | 0.336 | 2.2 | - | Calm water | 
| 3 | 0.336 | 3.3 | - | Calm water | 
| 4 | 0.336 | 1.1 | 4 | Irregular waves | 
| 5 | 0.336 | 2.2 | 4 | Irregular waves | 
| 6 | 0.336 | 3.3 | 4 | Irregular waves | 
| ωe | S(ωe) | m0 | |
|---|---|---|---|
| CFD | 5.747 | 119.996 | 664.72 | 
| Theory | 5.516 | 119.992 | 657.72 | 
| Diff. (%) | 4.2% | <0.1% | 1.1% | 
| Grid Nodes (M *) | Hull | Fairwater | Background | Total | 
|---|---|---|---|---|
| Coarse | 1.37 | 0.18 | 0.41 | 1.96 | 
| Medium | 3.87 | 0.50 | 1.18 | 5.55 | 
| Fine | 11.07 | 1.44 | 3.46 | 15.97 | 
| R | P | UFS (% D) | USN (% D) | |
|---|---|---|---|---|
| Grid | 0.583 | 0.778 | 4.61 | 4.63 | 
| Time-step | 0.165 | 1.300 | 0.42 | 
| USN (% D) | UD (% D) | UV (% D) | E (% D) | 
|---|---|---|---|
| 4.63 | 1.00 | 4.73 | 3.09 | 
Publisher’s Note: MDPI stays neutral with regard to jurisdictional claims in published maps and institutional affiliations.  | 
© 2022 by the authors. Licensee MDPI, Basel, Switzerland. This article is an open access article distributed under the terms and conditions of the Creative Commons Attribution (CC BY) license (https://creativecommons.org/licenses/by/4.0/).
Share and Cite
Dong, K.; Wang, X.; Zhang, D.; Liu, L.; Feng, D. CFD Research on the Hydrodynamic Performance of Submarine Sailing near the Free Surface with Long-Crested Waves. J. Mar. Sci. Eng. 2022, 10, 90. https://doi.org/10.3390/jmse10010090
Dong K, Wang X, Zhang D, Liu L, Feng D. CFD Research on the Hydrodynamic Performance of Submarine Sailing near the Free Surface with Long-Crested Waves. Journal of Marine Science and Engineering. 2022; 10(1):90. https://doi.org/10.3390/jmse10010090
Chicago/Turabian StyleDong, Kai, Xianzhou Wang, Donglei Zhang, Liwei Liu, and Dakui Feng. 2022. "CFD Research on the Hydrodynamic Performance of Submarine Sailing near the Free Surface with Long-Crested Waves" Journal of Marine Science and Engineering 10, no. 1: 90. https://doi.org/10.3390/jmse10010090
APA StyleDong, K., Wang, X., Zhang, D., Liu, L., & Feng, D. (2022). CFD Research on the Hydrodynamic Performance of Submarine Sailing near the Free Surface with Long-Crested Waves. Journal of Marine Science and Engineering, 10(1), 90. https://doi.org/10.3390/jmse10010090
        
                                                