Ciphered BCH Codes for PAPR Reduction in the OFDM in Underwater Acoustic Channels
Abstract
:1. Introduction
- A low-complexity scheme based on XOR-ciphered BCH encoded symbols for PAPR reduction in UWA OFDM systems.
- An offline vector identification technique to shortlist random key vectors that will result in the lowest possible PAPR of XOR-ciphered BCH codes.
- Evaluation of the proposed technique using a shallow underwater channel model showing PAPR as well as BER reduction.
2. Literature Review
3. System Architecture
3.1. OFDM Transceiver
3.2. XOR Encryption
3.3. Shallow Underwater Acoustic Channel
3.4. Peak to Average Power Ratio
4. Proposed Technique
| Algorithm 1 Key Vector Selection |
| 1. Initialize |
| 2. Repeat NR times |
| a. Generate a k-bit binary sequence Rj |
| b. Encode Rj using BCH(n, k) and generate encoded sequence Ej |
| c. j = j + 1 |
| 3. i = 0 |
| 4. Repeat Nw times |
| a. Randomly generate an n-bit key vector ki |
| b. j = 0 |
| c. Repeat NR times |
| j = j + 1 |
| d. |
| e. i = i + 1 |
| 5. |
| 6. |
| 7. |
5. Simulation Setup and Results
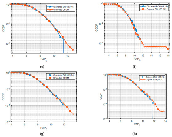
5.1. PAPR Performance
5.2. BER Performance
6. Conclusions
Author Contributions
Funding
Institutional Review Board Statement
Informed Consent Statement
Data Availability Statement
Acknowledgments
Conflicts of Interest
References
- Akyildiz, I.F.; Pompili, D.; Melodia, T. Challenges for Efficient Communication in Underwater Acoustic Sensor Networks. ACM SIGBED Rev. 2004, 1, 3–8. [Google Scholar] [CrossRef]
- Stojanovic, M. Low Complexity OFDM Detector for Underwater Acoustic Channels. In Proceedings of the OCEANS 2006, Boston, MA, USA, 18–21 September 2006; IEEE: Piscataway, NJ, USA, 2006. [Google Scholar]
- Stojanovic, M. Performance Analysis of Filtered Multitone Modulation Systems for Underwater Communication. In Proceedings of the OCEANS 2009, Biloxi, MS, USA, 26–29 October 2009. [Google Scholar]
- Huang, J.; Zhou, S.; Willett, P. Nonbinary Ldpc Coding for Multicarrier Underwater Acoustic Communication. IEEE J. Sel. Areas Commun. 2008, 26, 1684–1696. [Google Scholar] [CrossRef]
- Li, B.; Zhou, S.; Stojanovic, M.; Freitag, L.; Willet, P. Multicarrier Communication over Underwater Acoustic Channels with Nonuniform Doppler Shifts. IEEE J. Ocean. Eng. 2008, 33, 198–209. [Google Scholar]
- Hwang, S.-J.; Schniter, P. Efficient Multicarrier Communication for Highly Spread Underwater Acoustic Channels. IEEE J. Sel. Areas Commun. 2008, 26, 1674–1683. [Google Scholar] [CrossRef] [Green Version]
- Amini, P.; Chen, R.R.; Farhang-Boroujeny, B. Filterbank Multicarrier Communications for Underwater Acoustic Channels. IEEE J. Ocean. Eng. 2014, 40, 115–130. [Google Scholar] [CrossRef]
- Zhu, P.; Xu, X.; Tu, X.; Chen, Y.; Tao, Y. Anti-Multipath Orthogonal Chirp Division Multiplexing for Underwater Acoustic Communication. IEEE Access 2020, 8, 13305–13314. [Google Scholar] [CrossRef]
- Mason, S.; Anstett, R.; Anicette, N.; Zhou, S. A Broadband Underwater Acoustic Modem Implementation Using Coherent Ofdm. In Proceedings of the National Conference for Undergraduate Research (NCUR) 2007, San Rafael, CA, USA, 12–14 April 2007. [Google Scholar]
- Wang, X.; Wang, X.; Jiang, R.; Wang, W.; Chen, Q.; Wang, X. Channel Modelling and Estimation for Shallow Underwater Acoustic Ofdm Communication Via Simulation Platform. Appl. Sci. 2019, 9, 447. [Google Scholar] [CrossRef] [Green Version]
- Yonggang, W. Underwater Acoustic Channel Estimation for Pilot Based Ofdm. In Proceedings of the 2011 IEEE International Conference on Signal Processing, Communications and Computing (ICSPCC), Xi’an, China, 14–16 September 2011. [Google Scholar]
- Li, B.; Huang, J.; Zhou, S.; Ball, K.; Stojanovic, M.; Freitag, L.; Willett, P. Mimo-Ofdm for High-Rate Underwater Acoustic Communications. IEEE J. Ocean. Eng. 2009, 34, 634–644. [Google Scholar]
- Stojanovic, M. Ofdm for Underwater Acoustic Communications: Adaptive Synchronization and Sparse Channel Estimation. In Proceedings of the IEEE International Conference on Acoustics, Speech and Signal Processing 2008 (ICASSP 2008), Las Vegas, NV, USA, 31 March–4 April 2008. [Google Scholar]
- Han, S.H.; Lee, J.H. Papr Reduction of Ofdm Signals Using a Reduced Complexity Pts Technique. IEEE Signal Process. Lett. 2004, 11, 887–890. [Google Scholar] [CrossRef]
- Jiang, T.; Yang, Y.; Song, Y.-H. Exponential Companding Technique for Papr Reduction in Ofdm Systems. IEEE Trans. Broadcast. 2005, 51, 244–248. [Google Scholar] [CrossRef]
- Jiang, Y. New Companding Transform for Papr Reduction in Ofdm. IEEE Commun. Lett. 2010, 14, 282–284. [Google Scholar] [CrossRef]
- Wong, K.T.; Wang, B.; Chen, J.-C. Ofdm Papr Reduction by Switching Null Subcarriers and Data-Subcarriers. Electron. Lett. 2011, 47, 62–63. [Google Scholar] [CrossRef] [Green Version]
- Rahmatallah, Y.; Mohan, S. Peak-to-Average Power Ratio Reduction in Ofdm Systems: A Survey and Taxonomy. IEEE Commun. Surv. Tutor. 2013, 15, 1567–1592. [Google Scholar] [CrossRef]
- Rojo, G.; Stojanovic, M. Peak-to-Average Power Ratio (Par) Reduction for Acoustic Ofdm Systems. In Proceedings of the OCEANS 2009, Biloxi, MS, USA, 26–29 October 2009. [Google Scholar]
- Jawhar, Y.A.; Audah, L.; Taher, M.A.; Ramli, K.N.; Shah, N.S.M.; Musa, M.; Ahmed, M.S. A Review of Partial Transmit Sequence for Papr Reduction in the Ofdm Systems. IEEE Access 2019, 7, 18021–18041. [Google Scholar] [CrossRef]
- Hanzo, L.; Steele, R.; Fortune, P.-M. A Subband Coding, Bch Coding, and 16-Qam System for Mobile Radio Speech Communications. IEEE Trans. Veh. Technol. 1990, 39, 327–339. [Google Scholar] [CrossRef]
- Krasikov, I.; Litsyn, S. On Spectra of Bch Codes. IEEE Trans. Inf. Theory 1995, 41, 786–788. [Google Scholar] [CrossRef] [Green Version]
- Kashani, Z.H.; Shiva, M. Bch Coding and Multi-Hop Communication in Wireless Sensor Networks. In Proceedings of the 2006 IFIP International Conference on Wireless and Optical Communications Networks, Bangalore, India, 11–13 April 2006. [Google Scholar]
- Nagaraj, N.; Vaidya, V.; Vaidya, P.G. Re-Visiting the One-Time Pad. arXiv 2005, arXiv:cs/0508079. [Google Scholar]
- Kumar, P.; Kumar, P. Performance Evaluation of Dft-Spread Ofdm and Dct-Spread Ofdm for Underwater Acoustic Communication. In Proceedings of the 2012 IEEE Vehicular Technology Conference (VTC Fall), Quebec City, QC, Canada, 3–6 September 2012. [Google Scholar]
- Wu, J.; Qiao, G.; Qi, X. The Research on Improved Companding Transformation for Reducing Papr in Underwater Acoustic Ofdm Communication System. Discret. Dyn. Nat. Soc. 2016, 2016, 3167483. [Google Scholar] [CrossRef] [Green Version]
- Tao, J. Dft-Precoded Mimo Ofdm Underwater Acoustic Communications. IEEE J. Ocean. Eng. 2017, 43, 805–819. [Google Scholar] [CrossRef]
- Gomathi, R.M.; Manickam, J.M.L. Papr Reduction Technique Using Combined Dct and Ldpc Based Ofdm System for Underwater Acoustic Communication. ARPN J. Eng. Appl. Sci. 2016, 11, 4424–4430. [Google Scholar]
- Abd El-galil, M.S.; Soliman, N.F.; Abdalla, M.I.; Elaskily, M.A.; Abd El-Samie, F.E. Tanhr Nonlinear Companding Scheme for Uwa System. Int. J. Electron. Lett. 2020, 1–7. [Google Scholar] [CrossRef]
- Xing, S.; Qiao, G.; Ma, L. A Blind Side Information Detection Method for Partial Transmitted Sequence Peak-to-Average Power Reduction Scheme in Ofdm Underwater Acoustic Communication System. IEEE Access 2018, 6, 24128–24136. [Google Scholar] [CrossRef]
- Han, J.; Ma, S.; Wang, Y.; Leus, G. Low-Complexity Equalization of Mimo-Osdm. IEEE Trans. Veh. Technol. 2019, 69, 2301–2305. [Google Scholar] [CrossRef] [Green Version]
- Qasem, Z.A.; Leftah, H.A.; Sun, H.; Qi, J.; Esmaiel, H. X-Transform Time-Domain Synchronous Im-Ofdm-Ss for Underwater Acoustic Communication. IEEE Syst. J. 2021, 1–12. [Google Scholar] [CrossRef]
- Jiang, T.; Zhu, G.; Zheng, J. Block Coding Scheme for Reducing Papr in Ofdm Systems with Large Number of Subcarriers. J. Electron. 2004, 21, 482–489. [Google Scholar]
- Jiang, T.; Zhu, G. Complement Block Coding for Reduction in Peak-to-Average Power Ratio of Ofdm Signals. IEEE Commun. Mag. 2005, 43, S17–S22. [Google Scholar] [CrossRef]
- Ghassemi, A.; Gulliver, T.A. Papr Reduction of Ofdm Using Pts and Error-Correcting Code Subblocking-Transactions Papers. IEEE Trans. Wirel. Commun. 2010, 9, 980–989. [Google Scholar] [CrossRef]
- Yang, K.; Chang, S.-I. Peak-to-Average Power Control in Ofdm Using Standard Arrays of Linear Block Codes. IEEE Commun. Lett. 2003, 7, 174–176. [Google Scholar] [CrossRef]
- Jones, A.E.; Wilkinson, T.A.; Barton, S.K. Block Coding Scheme for Reduction of Peak to Mean Envelope Power Ratio of Multicarrier Transmission Schemes. Electron. Lett. 1994, 30, 2098–2099. [Google Scholar] [CrossRef]
- Tasadduq, I.A.; Rao, R.K. Weighted Ofdm with Block Codes for Wireless Communication. In Proceedings of the 2001 IEEE Pacific Rim Conference on Communications, Computers and Signal Processing (IEEE Cat. No. 01CH37233), Victoria, BC, Canada, 26–28 August 2001. [Google Scholar]
- Carrascosa, P.C.; Stojanovic, M. Adaptive Channel Estimation and Data Detection for Underwater Acoustic Mimo–Ofdm Systems. IEEE J. Ocean. Eng. 2010, 35, 635–646. [Google Scholar] [CrossRef]
- Kim, J.; Cho, Y.-H.; Ko, H.; Im, T. Performance Comparison of Short-Length Error-Correcting Codes in an Underwater Ofdm Systems. In Proceedings of the 2019 International Conference on Information and Communication Technology Convergence (ICTC), Jeju, Korea, 16–18 October 2019. [Google Scholar]
- Porter, M. Bellhop Code. Available online: http://oalib.hlsresearch.com/AcousticsToolbox/ (accessed on 1 December 2021).
- Tutte, W.T. Fish and I. In Coding Theory and Cryptography; Springer: Berlin, Germany, 2000; pp. 9–17. [Google Scholar]
- Huo, F.; Gong, G. Xor Encryption Versus Phase Encryption, an in-Depth Analysis. IEEE Trans. Electromagn. Compat. 2015, 57, 903–911. [Google Scholar] [CrossRef]
- Gligoroski, D.; Knapskog, S.J.; Andova, S. Cryptcoding-Encryption and Error-Correction Coding in a Single Step. In Proceedings of the International Conference on Security and Management, Las Vegas, NV, USA, 26–29 June 2006. [Google Scholar]
- Murad, M.; Tasadduq, I.A.; Otero, P.; Poncela, J. Flexible Ofdm Transceiver for Underwater Acoustic Channel: Modeling, Implementation and Parameter Tuning. Wirel. Pers. Commun. 2020, 116, 1423–1441. [Google Scholar] [CrossRef]
- Tasadduq, I.A.; Murad, M.; Otero, P. Cpm-Ofdm Performance over Underwater Acoustic Channels. J. Mar. Sci. Eng. 2021, 9, 1104. [Google Scholar] [CrossRef]
- Liu, C.; Zakharov, Y.V.; Chen, T. Doubly Selective Underwater Acoustic Channel Model for a Moving Transmitter/Receiver. IEEE Trans. Veh. Technol. 2012, 61, 938–950. [Google Scholar]
- Wang, X.; Wang, J.; He, L.; Song, J. Doubly Selective Underwater Acoustic Channel Estimation with Basis Expansion Model. In Proceedings of the 2017 IEEE International Conference on Communications (ICC), Paris, France, 21–25 May 2017. [Google Scholar]
- Bocus, M.J.; Agrafiotis, D.; Doufexi, A. Underwater Acoustic Video Transmission Using Mimo-Fbmc. In Proceedings of the 2018 OCEANS-MTS/IEEE Kobe Techno-Oceans (OTO), Kobe, Japan, 28–31 May 2018. [Google Scholar]
- Stojanovic, M. Underwater Acoustic Communications: Design Considerations on the Physical Layer. In Proceedings of the 5th Annual Conference on Wireless on Demand Network Systems and Services, Garmisch-Partenkirchen, Germany, 23–25 January 2008. [Google Scholar]
- Wan, L. Underwater Acoustic Ofdm: Algorithm Design, Dsp Implementation, and Field Performance. Ph.D. Thesis, University of Connecticut, Mansfield, CT, USA, 2014. [Google Scholar]
- Murad, M.; Tasadduq, I.A.; Otero, P. Towards Multicarrier Waveforms Beyond Ofdm: Performance Analysis of Gfdm Modulation for Underwater Acoustic Channels. IEEE Access 2020, 8, 222782–222799. [Google Scholar] [CrossRef]
- Morse, P.M.; Ingard, K.U. Theoretical Acoustics; Princeton University Press: Princeton, NJ, USA, 1986. [Google Scholar]
- Otero, P. Fundamentos de Propagación de Ondas; Universidad de Malaga: Malaga, Spain, 2015. [Google Scholar]
- Kulhandjian, H.; Melodia, T. Modeling Underwater Acoustic Channels in Short-Range Shallow Water Environments. In Proceedings of the International Conference on Underwater Networks & Systems, Rome, Italy, 12–14 November 2014. [Google Scholar]
- Ruiz-Vega, F.; Clemente, M.C.; Otero, P.; Paris, J.F. Ricean Shadowed Statistical Characterization of Shallow Water Acoustic Channels for Wireless Communications. arXiv 2011, arXiv:1112.4410. [Google Scholar]
- Radosevic, A.; Proakis, J.G.; Stojanovic, M. Statistical Characterization and Capacity of Shallow Water Acoustic Channels. In Proceedings of the OCEANS 2009—EUROPE, Bremen, Germany, 11–14 May 2009. [Google Scholar]
- Jeruchim, M.; Balaban, P.; Shanmugan, K.S. Simulation of Communication Systems, 2nd ed.; Kluwer Academic/Plenum: New York, NY, USA, 2000. [Google Scholar]
- Stojanovic, M. On the Relationship between Capacity and Distance in an Underwater Acoustic Communication Channel. ACM SIGMOBILE Mob. Comput. Commun. Rev. 2007, 11, 34–43. [Google Scholar] [CrossRef]
- Hebbar, R.P.; Poddar, P.G. Generalized Frequency Division Multiplexing–Based Acoustic Communication for Underwater Systems. Int. J. Commun. Syst. 2020, 33, e4292. [Google Scholar] [CrossRef]
- Hasan, M.M. VLM Precoded SLM Technique for PAPR Reduction in OFDM Systems. Wirel. Pers. Commun. 2013, 73, 791–801. [Google Scholar] [CrossRef]












| Code | n | k | t | Generator Polynomial |
|---|---|---|---|---|
| BCH (31,6) | 31 | 6 | 7 | 1 1 0 0 1 0 1 1 0 1 1 1 1 0 1 0 1 0 0 0 1 0 0 1 1 1 |
| BCH (31,11) | 31 | 11 | 5 | 1 0 1 1 0 0 0 1 0 0 1 1 0 1 1 0 1 0 1 0 1 |
| BCH (31,16) | 31 | 16 | 3 | 1 0 0 0 1 1 1 1 1 0 1 0 1 1 1 1 |
| BCH (63,7) | 63 | 7 | 15 | 1 0 1 0 1 0 0 1 1 0 0 1 0 0 0 1 0 0 1 0 1 1 0 1 1 0 0 0 1 1 1 0 1 0 0 0 0 1 1 0 1 0 1 1 1 0 0 1 1 1 1 0 1 1 1 1 1 |
| BCH (63,10) | 63 | 10 | 13 | 1 0 0 1 1 1 0 1 0 1 1 0 0 1 0 0 1 0 0 1 1 0 0 0 1 0 1 1 0 1 0 1 0 1 1 1 0 1 0 1 0 1 0 0 0 0 0 1 1 0 1 1 0 1 |
| BCH (63,16) | 63 | 16 | 11 | 1 1 0 0 1 1 0 1 1 0 0 1 0 0 1 1 0 0 0 0 1 0 1 1 1 1 0 1 1 1 0 1 0 0 1 1 1 0 1 1 0 0 1 0 1 0 1 1 |
| BCH (63,24) | 63 | 24 | 7 | 1 1 1 1 0 1 1 0 1 0 0 1 1 0 1 0 1 1 0 0 0 0 1 0 0 0 0 0 1 0 0 1 0 0 1 0 0 0 0 1 |
| BCH (127,8) | 127 | 8 | 31 | 1 1 1 0 0 0 1 0 0 1 1 1 0 1 0 1 1 0 1 0 0 0 0 0 1 0 1 0 1 0 1 1 1 1 0 1 0 0 1 0 0 0 0 1 1 0 0 0 1 1 0 1 0 1 0 0 1 1 0 0 1 1 1 1 1 0 0 1 0 0 1 0 1 0 0 0 1 0 1 1 1 0 0 1 1 0 1 1 1 0 1 1 1 1 1 1 0 1 1 0 1 1 0 0 1 0 1 1 0 0 0 0 1 0 0 0 1 1 1 1 |
| BCH (127,22) | 127 | 22 | 23 | 1 0 1 0 0 1 1 0 1 1 1 1 1 1 1 0 0 0 0 1 1 1 0 0 0 1 0 0 0 0 0 1 0 0 1 1 1 0 1 0 0 1 0 1 0 1 0 1 0 0 1 0 1 0 0 0 1 1 1 0 1 1 0 0 1 0 0 1 0 1 1 1 0 0 1 0 1 1 0 1 1 0 0 1 1 1 1 1 1 1 0 1 0 0 1 1 1 0 0 0 1 0 0 0 1 1 |
| BCH (127,36) | 127 | 36 | 15 | 1 1 0 0 1 1 0 0 1 1 0 0 0 0 1 1 1 1 0 0 1 1 0 1 1 0 1 1 0 1 0 1 0 1 0 0 1 0 0 0 0 1 1 1 1 0 1 0 0 0 1 0 0 1 0 0 1 1 1 1 1 0 1 0 0 1 0 1 1 1 1 1 0 0 1 1 1 0 1 0 0 0 1 1 1 1 0 1 1 1 0 1 |
| BCH (127,50) | 127 | 50 | 13 | 1 0 1 1 0 0 1 0 0 1 0 0 1 1 0 1 0 1 0 0 1 0 1 0 1 0 1 0 1 0 0 1 1 0 1 1 0 0 1 1 0 0 0 0 0 0 0 1 0 1 0 1 0 0 0 1 0 0 0 1 1 0 1 0 0 0 0 0 1 1 0 0 0 1 0 0 0 1 |
| Code | No. of Symbols | No. of Vectors | Key Vectors (Hex) | Gain over BCH (dB) |
|---|---|---|---|---|
| BCH (31,6) | All 2k | 900 × 103 10 × 103 50 × 103 100 × 103 | 0DA1BDB0 5813A4C0 7C2157D4 243ADB40 | 7.6588 7.4783 7.4397 7.6109 |
| BCH (31,11) | All 2k | 30 × 103 30 × 103 30 × 103 30 × 103 | 0C912BDC 31CF7963 45EE06B4 03BC0550 | 4.9975 4.9975 4.9975 4.9975 |
| BCH (31,16) | All 2k | 10 × 103 10 × 103 2500 2500 | 778D14A4 6E9E5E56 37D46C5D 4599D87C | 3.2545 3.2545 3.2545 3.2545 |
| BCH (63,7) | All 2k | 20 × 103 50 × 103 50 × 103 50 × 103 | 31DC0A4E92769604 64F1EA51AFD4CF7E 344DDD2044A4BEAC 2924410DE70648C3 | 9.8923 9.7317 9.8782 9.8218 |
| BCH (63,10) | All 2k | 10 × 103 10 × 103 20 × 103 10 × 103 | 3AB7480E3466653B 25FD2809A8DA12B5 571232A7E4372046 17AC03EFE0B5814D | 8.5194 8.5194 8.5194 8.5194 |
| BCH (63,16) | All 2k | 1000 1000 1000 1000 | 4CEF656704A38285 6E892F8204C475FE 4CA8A16F750B7891 47C2E8C0DD58608D | 6.0206 6.0206 6.5812 6.0206 |
| BCH (63,24) | Random 218 | 6000 500 1000 400 | 1BD6BEB858D9AF8D 42B4DF5FA1F308A0 3D4DBDC2F65C0AEC 33B03FB68BC55EF3 | 1.4927 1.5664 1.0067 1.4927 |
| BCH (127,8) | Random 220 | 100 100 500 100 | 3938BBED30C10407F8AB226D735D56AC 2E5678670CCF3D50F32840268A11AB4E 3D430D3A3A137AA36128FD9AF05C4853 195AE63DC2718151B55338F761F95625 | 11.6499 11.7250 11.5146 11.7058 |
| BCH (127,22) | Random 220 | 300 1000 1000 100 | 455EA099475B134A14C375EA9CBF8018 1F27F92B1A3EEE260B89073BCDC4854B 6ED23998D6EDA9D4939D85F76738753B 7C72213050301219B2ECEC77FF2C0EC3 | 7.8241 8.5194 8.5194 8.1648 |
| BCH (127,36) | Random 220 | 100 100 100 100 | 51874DF0E5A3550DEFA7C12EADDE812E 372AC8B3BD34F81FCE3A58193396A821 0B9D9E7FC5D042409B3A77AA4A0E8370 1D23FAA5C239438B4E9D917118A172E2 | 1.8035 1.7430 1.5278 1.8035 |
| BCH (127,50) | Random 220 | 100 100 100 100 | 6B9372C81B6A95C4BE47BC9F543F5ADB 0E6950513B228A58D4809AC1AF7CA5A0 77E4C718EA54FC99141B0983B1055CE6 3C13DC982F9922E6EC58AEF7AB35CB0D | 0.9485 0.6437 0.9485 0.8899 |
| Symbol | Quantity |
|---|---|
| No. of subcarriers | 32, 64, 128 |
| Mapping | BPSK |
| FFT size | 32, 64, 128 |
| CP length | N/4 |
| Equalizer | Zero Forcing |
| Bandwidth | 10 kHz |
| Symbol | Quantity |
|---|---|
| TX–RX distance | 500, 1500 m |
| Depth | 10 m |
| Max doppler shift | 10 Hz |
| Gain vector | [0; −1.5; −2.5; −2] dB |
| Tau vector Atmospheric pressure Salinity Density Water temperature | [0; 1; 2.5; 7] ms 1.01325 × 105 Pa 35 parts/1000 103 Kg/m3 25 °C |
Publisher’s Note: MDPI stays neutral with regard to jurisdictional claims in published maps and institutional affiliations. |
© 2022 by the authors. Licensee MDPI, Basel, Switzerland. This article is an open access article distributed under the terms and conditions of the Creative Commons Attribution (CC BY) license (https://creativecommons.org/licenses/by/4.0/).
Share and Cite
Murad, M.; Tasadduq, I.A.; Otero, P. Ciphered BCH Codes for PAPR Reduction in the OFDM in Underwater Acoustic Channels. J. Mar. Sci. Eng. 2022, 10, 91. https://doi.org/10.3390/jmse10010091
Murad M, Tasadduq IA, Otero P. Ciphered BCH Codes for PAPR Reduction in the OFDM in Underwater Acoustic Channels. Journal of Marine Science and Engineering. 2022; 10(1):91. https://doi.org/10.3390/jmse10010091
Chicago/Turabian StyleMurad, Mohsin, Imran A. Tasadduq, and Pablo Otero. 2022. "Ciphered BCH Codes for PAPR Reduction in the OFDM in Underwater Acoustic Channels" Journal of Marine Science and Engineering 10, no. 1: 91. https://doi.org/10.3390/jmse10010091
APA StyleMurad, M., Tasadduq, I. A., & Otero, P. (2022). Ciphered BCH Codes for PAPR Reduction in the OFDM in Underwater Acoustic Channels. Journal of Marine Science and Engineering, 10(1), 91. https://doi.org/10.3390/jmse10010091

