Sign in to use this feature.

Years

Between: -

Subjects

remove_circle_outline
remove_circle_outline
remove_circle_outline
remove_circle_outline
remove_circle_outline
remove_circle_outline
remove_circle_outline
remove_circle_outline
remove_circle_outline

Journals

remove_circle_outline
remove_circle_outline
remove_circle_outline
remove_circle_outline

Article Types

Countries / Regions

remove_circle_outline
remove_circle_outline
remove_circle_outline
remove_circle_outline

Search Results (544)

Search Parameters:
Keywords = irregular waves

Order results
Result details
Results per page
Select all
Export citation of selected articles as:
23 pages, 6036 KB  
Article
Improved Performance of Wave Energy Converters and Arrays for Wave-to-Onshore Power Grid Integration
by Madelyn Veurink, David Wilson, Rush Robinett and Wayne Weaver
J. Mar. Sci. Eng. 2026, 14(2), 184; https://doi.org/10.3390/jmse14020184 - 15 Jan 2026
Abstract
This paper focuses on power grid integration of wave energy converter (WEC) arrays that minimize added energy storage for maximizing power capture as well as smoothing the oscillatory power inputs into the grid. In particular, a linear right circular cylinder WEC array that [...] Read more.
This paper focuses on power grid integration of wave energy converter (WEC) arrays that minimize added energy storage for maximizing power capture as well as smoothing the oscillatory power inputs into the grid. In particular, a linear right circular cylinder WEC array that implements complex conjugate control is compared and contrasted to a nonlinear WEC array that implements an hourglass buoy shape while both are integrated into the grid utilizing phase control (i.e., relative spacing of the WEC array) on the input powers to the grid. The Hamiltonians of the two WEC systems are derived, enabling a direct comparison of real and reactive power, with reactive power reflecting the utilization of stored energy. The control systems are simulated in MATLAB/Simulink under both regular wave conditions and irregular seas generated from a Bretschneider spectrum. For the linear right circular cylinder buoy, the proportional-derivative complex conjugate controller requires an external energy storage device to supply reactive power, whereas the nonlinear hourglass buoy inherently provides reactive power through its geometric design. This study demonstrates that: (i) The unique geometry of the hourglass buoy reduces the required energy storage size for the nonlinear system while simultaneously increasing power output. (ii) Phase control of the hexagonal hourglass array further enhances real power capture. Together, these effects substantially decrease the size and demand on the individual buoys and grid integration energy storage requirements. Full article
(This article belongs to the Section Ocean Engineering)
Show Figures

Figure 1

18 pages, 1419 KB  
Review
How the Vestibular Labyrinth Encodes Air-Conducted Sound: From Pressure Waves to Jerk-Sensitive Afferent Pathways
by Leonardo Manzari
J. Otorhinolaryngol. Hear. Balance Med. 2026, 7(1), 5; https://doi.org/10.3390/ohbm7010005 - 14 Jan 2026
Abstract
Background/Objectives: The vestibular labyrinth is classically viewed as a sensor of low-frequency head motion—linear acceleration for the otoliths and angular velocity/acceleration for the semicircular canals. However, there is now substantial evidence that air-conducted sound (ACS) can also activate vestibular receptors and afferents in [...] Read more.
Background/Objectives: The vestibular labyrinth is classically viewed as a sensor of low-frequency head motion—linear acceleration for the otoliths and angular velocity/acceleration for the semicircular canals. However, there is now substantial evidence that air-conducted sound (ACS) can also activate vestibular receptors and afferents in mammals and other vertebrates. This sound sensitivity underlies sound-evoked vestibular-evoked myogenic potentials (VEMPs), sound-induced eye movements, and several clinical phenomena in third-window pathologies. The cellular and biophysical mechanisms by which a pressure wave in the cochlear fluids is transformed into a vestibular neural signal remain incompletely integrated into a single framework. This study aimed to provide a narrative synthesis of how ACS activates the vestibular labyrinth, with emphasis on (1) the anatomical and biophysical specializations of the maculae and cristae, (2) the dual-channel organization of vestibular hair cells and afferents, and (3) the encoding of fast, jerk-rich acoustic transients by irregular, striolar/central afferents. Methods: We integrate experimental evidence from single-unit recordings in animals, in vitro hair cell and calyx physiology, anatomical studies of macular structure, and human clinical data on sound-evoked VEMPs and sound-induced eye movements. Key concepts from vestibular cellular neurophysiology and from the physics of sinusoidal motion (displacement, velocity, acceleration, jerk) are combined into a unified interpretative scheme. Results: ACS transmitted through the middle ear generates pressure waves in the perilymph and endolymph not only in the cochlea but also in vestibular compartments. These waves produce local fluid particle motions and pressure gradients that can deflect hair bundles in selected regions of the otolith maculae and canal cristae. Irregular afferents innervating type I hair cells in the striola (maculae) and central zones (cristae) exhibit phase locking to ACS up to at least 1–2 kHz, with much lower thresholds than regular afferents. Cellular and synaptic specializations—transducer adaptation, low-voltage-activated K+ conductances (KLV), fast quantal and non-quantal transmission, and afferent spike-generator properties—implement effective high-pass filtering and phase lead, making these pathways particularly sensitive to rapid changes in acceleration, i.e., mechanical jerk, rather than to slowly varying displacement or acceleration. Clinically, short-rise-time ACS stimuli (clicks and brief tone bursts) elicit robust cervical and ocular VEMPs with clear thresholds and input–output relationships, reflecting the recruitment of these jerk-sensitive utricular and saccular pathways. Sound-induced eye movements and nystagmus in third-window syndromes similarly reflect abnormally enhanced access of ACS-generated pressure waves to canal and otolith receptors. Conclusions: The vestibular labyrinth does not merely “tolerate” air-conducted sound as a spill-over from cochlear mechanics; it contains a dedicated high-frequency, transient-sensitive channel—dominated by type I hair cells and irregular afferents—that is well suited to encoding jerk-rich acoustic events. We propose that ACS-evoked vestibular responses, including VEMPs, are best interpreted within a dual-channel framework in which (1) regular, extrastriolar/peripheral pathways encode sustained head motion and low-frequency acceleration, while (2) irregular, striolar/central pathways encode fast, sound-driven transients distinguished by high jerk, steep onset, and precise spike timing. Full article
(This article belongs to the Section Otology and Neurotology)
Show Figures

Figure 1

20 pages, 3478 KB  
Article
Quantitative Assessment of Wave Reflection from Oscillating Water Column Devices and Empirical Prediction of Reflection Coefficients
by Su-Young Lee and Kwang-Ho Lee
J. Mar. Sci. Eng. 2026, 14(2), 174; https://doi.org/10.3390/jmse14020174 - 13 Jan 2026
Abstract
This study experimentally investigated the wave reflection characteristics of a vertical-type OWC installed by partially removing a section of an existing rubble mound breakwater under irregular wave conditions. Hydraulic model experiments were carried out for multiple water depths and irregular wave conditions representative [...] Read more.
This study experimentally investigated the wave reflection characteristics of a vertical-type OWC installed by partially removing a section of an existing rubble mound breakwater under irregular wave conditions. Hydraulic model experiments were carried out for multiple water depths and irregular wave conditions representative of OWC operation. The results demonstrated that the OWC structure generally exhibited lower reflection coefficients compared with conventional vertical breakwaters, indicating a low-reflection behavior even in random seas. The influence of the non-dimensional amplitude of free-surface oscillations inside the chamber on the reflection coefficient was examined. In addition, an empirical formula for predicting the reflection coefficient under irregular waves was proposed based on key dimensionless parameters, and its accuracy was validated against experimental data. The findings of this study are expected to contribute to the design and performance evaluation of OWC devices and to provide useful input for harbor tranquility assessments in coastal and port engineering practice. Full article
(This article belongs to the Special Issue New Developments of Ocean Wind, Wave and Tidal Energy)
Show Figures

Figure 1

26 pages, 25891 KB  
Article
LiDAR-Based Skin Depth Analysis of Subterranean RF Propagation in Sandstone and Limestone Caves
by Atawit Jantaupalee, Sirigiet Phunklang, Peerasan Khamsalee, Piyaporn Krachodnok and Rangsan Wongsan
Technologies 2026, 14(1), 53; https://doi.org/10.3390/technologies14010053 - 10 Jan 2026
Viewed by 244
Abstract
This study investigates radio frequency (RF) wave propagation in sandstone and limestone cave environments, emphasizing the use of LiDAR-derived three-dimensional (3D) models to characterize cave geometry and support waveguide-based propagation analysis incorporating skin depth effects. RF transmission and reception measurements were conducted under [...] Read more.
This study investigates radio frequency (RF) wave propagation in sandstone and limestone cave environments, emphasizing the use of LiDAR-derived three-dimensional (3D) models to characterize cave geometry and support waveguide-based propagation analysis incorporating skin depth effects. RF transmission and reception measurements were conducted under line-of-sight (LOS) conditions across frequency bands from Low Frequency (LF) to Ultra-High Frequency (UHF). Comparative results reveal distinct attenuation behaviors governed by differences in cave geometry and electrical properties. The sandstone cave, with a more uniform geometry and relatively higher electrical conductivity, exhibits lower attenuation across most frequency bands, whereas the limestone cave shows higher attenuation due to its irregular structure. LiDAR-based 3D models are employed to extract key geometric parameters, including cavity dimensions, wall roughness, and wall inclination, which are incorporated into the proposed analytical framework. The model is further validated using experimental field measurements, demonstrating that the inclusion of LiDAR-derived geometry and skin depth effects enables a more realistic representation of underground RF propagation for communication system analysis. Full article
(This article belongs to the Section Information and Communication Technologies)
Show Figures

Figure 1

18 pages, 6405 KB  
Article
Hydrodynamic Analysis of Scale-Down Model Tests of Membrane-Type Floating Photovoltaic Under Different Sea States
by Xin Qi, Lichao Xiong, Linyang Zhang and Puyang Zhang
Appl. Sci. 2026, 16(1), 331; https://doi.org/10.3390/app16010331 - 29 Dec 2025
Viewed by 202
Abstract
Floating photovoltaic (FPV) systems are increasingly deployed in offshore environments. Among various FPV concepts, membrane-type platforms offer distinct advantages, including reduced weight, lower material consumption, and cost-effectiveness. This study investigates the hydrodynamic response of a membrane-type offshore FPV system through a 1:40 scale [...] Read more.
Floating photovoltaic (FPV) systems are increasingly deployed in offshore environments. Among various FPV concepts, membrane-type platforms offer distinct advantages, including reduced weight, lower material consumption, and cost-effectiveness. This study investigates the hydrodynamic response of a membrane-type offshore FPV system through a 1:40 scale physical model test based on the Ocean Sun prototype. Static-water free-decay tests were first conducted to determine the natural periods and damping characteristics in heave, surge, and pitch motions. Subsequently, irregular-wave tests were performed under seven sea states representative of an offshore demonstration site. Free-decay results show model-scale natural periods of approximately 1.0 s for heave, 0.8 s for pitch, and 15 s for surge. The long surge natural period avoids resonance with short-period waves, while the high damping in heave and pitch effectively limit dynamic amplification. Under irregular waves, heave and pitch motions remain small, whereas surge motion exhibits pronounced long-frequency excursions. Spectral analysis reveals a dominant low-frequency surge peak at f ≈ 0.067 Hz (corresponding to the natural period of 15 s), superimposed with higher-frequency components associated with wave-induced motions. A strong correlation is observed between low-frequency surge and mooring tensions. Across Sea States 1–6, the motion responses increase gradually, while a marked rise in the exceedance probability of mooring forces occurs only in the most severe sea state. Weibull extreme-value fits show good linearity, indicating that the measured extremes are statistically consistent. The results provide experimental data and design insights for membrane-type FPV systems, establishing a foundation for future hydroelastic studies. Full article
(This article belongs to the Section Civil Engineering)
Show Figures

Figure 1

18 pages, 3847 KB  
Article
Research on the Detection of Ocean Internal Waves Based on the Improved Faster R-CNN in SAR Images
by Gaoyuan Shen, Zhi Zeng, Hao Huang, Zhifan Jiao and Jun Song
J. Mar. Sci. Eng. 2026, 14(1), 23; https://doi.org/10.3390/jmse14010023 - 23 Dec 2025
Viewed by 314
Abstract
Ocean internal waves occur in stably stratified seawater and play a crucial role in energy cascade, material transport, and military activities. However, the complex and irregular spatial patterns of internal waves pose significant challenges for accurate detection in SAR images when using conventional [...] Read more.
Ocean internal waves occur in stably stratified seawater and play a crucial role in energy cascade, material transport, and military activities. However, the complex and irregular spatial patterns of internal waves pose significant challenges for accurate detection in SAR images when using conventional convolutional neural networks, which often lack adaptability to geometric variations. To address this problem, this paper proposes a refined Faster R-CNN detection framework, termed “rFaster R-CNN”, and adopts a transfer learning strategy to enhance model generalization and robustness. In the feature extraction stage, a backbone network called “ResNet50_CDCN” that integrates the CBAM attention mechanism and DCNv2 deformable convolution is constructed to enhance the feature expression ability of key regions in the images. Experimental results show that in the internal wave dataset constructed in this paper, this network improves the detection accuracy by approximately 3% compared to the original ResNet50 network. At the region proposal stage, this paper further adds two small-scale anchors and combines the ROI Align and FPN modules, effectively enhancing the spatial hierarchical information and semantic expression ability of ocean internal waves. compared with classical object detection algorithms such as SSD, YOLO, and RetinaNet, the proposed “rFaster R-CNN” achieves superior detection performance, showing significant improvements in both accuracy and robustness. Full article
(This article belongs to the Special Issue Artificial Intelligence and Its Application in Ocean Engineering)
Show Figures

Figure 1

25 pages, 5682 KB  
Article
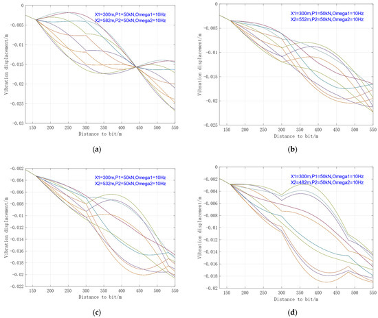
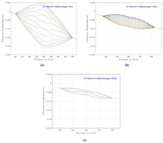
Investigation on Stress Propagation and Fatigue Damage Characteristics of Drill String Under Multiple Oscillation Actions
by Zhiguo Yang, Jianxin Ding, Yuankai Liao, Kai Xu, Zhen Guan, Haitao Wang, Jianhua Wang, Meng Li and Kanhua Su
Processes 2026, 14(1), 43; https://doi.org/10.3390/pr14010043 - 22 Dec 2025
Viewed by 282
Abstract
To extend the drilling limit of horizontal sections, the demand for utilizing multiple hydraulic oscillators at intervals has become increasingly prominent. However, current research on the operating range of multiple oscillators, their mutual interference characteristics, and the impact of oscillation on drill string [...] Read more.
To extend the drilling limit of horizontal sections, the demand for utilizing multiple hydraulic oscillators at intervals has become increasingly prominent. However, current research on the operating range of multiple oscillators, their mutual interference characteristics, and the impact of oscillation on drill string fatigue damage remains scarce. The results indicate that when the vibration ranges of multiple oscillators overlap, the overlapping segment experiences negative effects under identical excitation frequencies. If the oscillators operate at different frequencies, the displacement envelope of the drill string tends to become irregular. Within the normal amplitude range of oscillators, no significant fatigue damage is generally observed in adjacent sections of the drill string. However, when minor initial cracks exist in the drill string, an increase in oscillator amplitude leads to accelerated crack propagation, significantly hastening the fatigue failure process. In field operations, the parameters of multiple oscillators should be optimized according to specific working conditions, and timely non-destructive inspection of the drill string sections within the effective range of the oscillators must be conducted. The study provides novel insights into vibration wave propagation and fatigue damage in drill strings under multi-point excitation. Full article
(This article belongs to the Special Issue Development of Advanced Drilling Engineering)
Show Figures

Figure 1

24 pages, 6057 KB  
Article
Numerical Analysis Comparison Between ANSYS AQWA and OrcaFlex for a Hollow Box-Shaped Floating Structure
by Se Hwan Park, Sang Gyu Cheon and Woo Chul Chung
J. Mar. Sci. Eng. 2025, 13(12), 2407; https://doi.org/10.3390/jmse13122407 - 18 Dec 2025
Viewed by 600
Abstract
This study presents a numerical comparison between ANSYS AQWA (2023 R2) and the OrcaFlex package (OrcaWave + OrcaFlex) for a 10 × 10 × 2 m rectangular floating structure. The hydrodynamic coefficients and displacement/load RAOs obtained from the two solvers exhibit nearly identical [...] Read more.
This study presents a numerical comparison between ANSYS AQWA (2023 R2) and the OrcaFlex package (OrcaWave + OrcaFlex) for a 10 × 10 × 2 m rectangular floating structure. The hydrodynamic coefficients and displacement/load RAOs obtained from the two solvers exhibit nearly identical behavior, with deviations below 1% across all six motion modes. Under irregular wave conditions (Hs = 7 m, Tp = 8 s, 0° heading) and three mooring line lengths (145, 150, and 155 m), both solvers produced comparable mean surge motions and mean mooring tensions. However, OrcaFlex predicted 40–50% higher peak tensions due to its fully dynamic representation of slack–taut transitions and snap loading effects, whereas AQWA’s quasi-static catenary formulation filtered out these short-duration peaks. These findings confirm that although the two solvers are highly consistent in frequency-domain hydrodynamics, their time-domain predictions diverge when nonlinear mooring behavior becomes dominant. The study provides a transparent and reproducible benchmarking framework for cross-validation of potential-flow-based tools used in floating offshore structure design. Full article
(This article belongs to the Special Issue Autonomous Ship and Harbor Maneuvering: Modeling and Control)
Show Figures

Figure 1

28 pages, 2929 KB  
Article
Numerical Geometric Evaluation of an L-Shaped Oscillating Water Column Wave Energy Converter Under the Realistic Sea State Found in Rio Grande-RS
by Maycon da Silveira Paiva, Ana Paula Giussani Mocellin, Elizaldo Domingues dos Santos, Luiz Alberto Oliveira Rocha, Bianca Neves Machado and Liércio André Isoldi
Processes 2025, 13(12), 3942; https://doi.org/10.3390/pr13123942 - 5 Dec 2025
Viewed by 337
Abstract
This study conducts a numerical investigation of the geometry of the oscillating water column (OWC) wave energy converter under realistic irregular wave conditions found off the coast of Rio Grande, southern Brazil. Two OWC models were compared: the conventional design and the L-shaped [...] Read more.
This study conducts a numerical investigation of the geometry of the oscillating water column (OWC) wave energy converter under realistic irregular wave conditions found off the coast of Rio Grande, southern Brazil. Two OWC models were compared: the conventional design and the L-shaped configuration (L-OWC). The OWC structure consists of a hydropneumatic chamber and an air duct, where a turbine is coupled to an electric generator. Additionally, in the L-shaped chamber configuration, a water intake duct is considered. The constructal design method was employed for the geometric evaluation of the devices. For the L-OWC, the influence of the height-to-length ratio of the water intake duct on the obtained hydropneumatic power available was analyzed. In parallel, for the conventional OWC, the free-board submergence was investigated. Subsequently, the optimal geometry for each OWC model was selected to study the height-to-length ratio of the hydropneumatic chamber. Numerical simulations were performed using ANSYS Fluent software. Thus, the performance of the converters was improved by approximately 35.76 times for the L-OWC and 3.78 times for the conventional OWC. However, it is noteworthy that the optimal configuration of the conventional OWC achieved a performance 2.62 times higher than the optimal L-OWC geometry. Full article
Show Figures

Figure 1

28 pages, 6534 KB  
Article
Multi-Parameter and Multi-Layer Observations of Electromagnetic Precursors to a Huge Hokkaido Earthquake (M = 6.7) on 5 September, 2018, and Lithosphere–Atmosphere–Ionosphere Coupling Channel
by Masashi Hayakawa, Maria Solovieva, Galina Kopylova, Shinji Hirooka, Sudipta Sasmal, Kousik Nanda, Shih-Sian Yang, Koichiro Michimoto and Hide’aki Hinata
Atmosphere 2025, 16(12), 1372; https://doi.org/10.3390/atmos16121372 - 3 Dec 2025
Viewed by 397
Abstract
A series of multi-parameter, multi-layer observations was conducted to study possible electromagnetic precursors associated with the M 6.7 earthquake that struck Iburi, Hokkaido, Japan, at 18:07:59 UT on 5 September 2018. The most significant observation is seismogenic lower-ionospheric perturbations in the propagation anomalies [...] Read more.
A series of multi-parameter, multi-layer observations was conducted to study possible electromagnetic precursors associated with the M 6.7 earthquake that struck Iburi, Hokkaido, Japan, at 18:07:59 UT on 5 September 2018. The most significant observation is seismogenic lower-ionospheric perturbations in the propagation anomalies of sub-ionospheric VLF/LF signals recorded in Japan and Russia. Other substantial observations include the GIM-TEC irregularities, the intensification of stratospheric atmospheric gravity waves (AGWs), and the satellite and ground monitoring of air temperature (T), relative humidity (RH), atmospheric chemical potential (ACP), and surface latent heat flux (SLHF). We have found that there were very remarkable VLF/LF anomalies indicative of lower-ionospheric perturbations observed on 4 and 5 September just before the EQ date and even after it from the observations in Japan and Russia. In particular, the anomaly was detected for a particular propagation path from the JJY transmitter (Fukushima) to a VLF station at Wakkanai one day before the EQ, i.e., on 4 September, and is objectively confirmed by machine/deep learning analysis. An anomaly in TEC occurred only on 5 September, but it is unclear whether it is related to a pre-EQ effect or a minor geomagnetic storm. We attempted to determine whether any seismo-related atmospheric gravity wave (AGW) activity occurred in the stratosphere. Although numerous anomalies were detected, they are most likely associated with convective weather phenomena, including a typhoon. Finally, the Earth’s surface parameters based on satellite monitoring seem to indicate some anomalies from 29 August to 3, 4, and 5 September, a few days prior to EQ data, but the ground-based observation close to the EQ epicenter has indicated a clear T/RH and ACP on 2 September with fair weather, but no significant data on subsequent days because of severe meteorological activities. By integrating multi-layer observations, the LAIC (lithosphere–atmosphere–ionosphere coupling) process for the Hokkaido earthquake appears to follow a slow diffusion-type channel, where ionospheric perturbations arise a few days after ground thermal anomalies. This study also provides integrated evidence linking concurrent lower-ionospheric, atmospheric, and surface thermal anomalies, emphasizing the diagnostic value of such multi-parameter observations in understanding EQ-associated precursor signatures. Full article
Show Figures

Figure 1

16 pages, 307 KB  
Article
Characterizations for S-Convex-Averaging Domains via Two-Dimensional Diffusion-Wave Equations
by Jianwei Wang, Nan Jiang and Ming Liu
Mathematics 2025, 13(23), 3867; https://doi.org/10.3390/math13233867 - 2 Dec 2025
Viewed by 190
Abstract
In this paper, we introduce the concept of s-convex-averaging domains, which are extensions of circular and irregular convex domains, by using s-convex functions and generalized Orlicz norms. Based on the quasi-hyperbolic metric and Lp-averaging domains, several fundamental properties of [...] Read more.
In this paper, we introduce the concept of s-convex-averaging domains, which are extensions of circular and irregular convex domains, by using s-convex functions and generalized Orlicz norms. Based on the quasi-hyperbolic metric and Lp-averaging domains, several fundamental properties of s-convex-averaging domains are characterized. These properties are applied to the domains of a class of two-dimensional diffusion-wave equations. Furthermore, we establish intrinsic relationships between the considered partial differential equations and the geometric structure of s-convex-averaging domains. Finally, the embedding inequality for the solutions of these kinds of partial differential equations is derived. Full article
19 pages, 3999 KB  
Review
A Review of Whistler Wave Propagation and Interaction Experiments at Arecibo Observatory, Puerto Rico
by Min-Chang Lee
Physics 2025, 7(4), 62; https://doi.org/10.3390/physics7040062 - 1 Dec 2025
Viewed by 778
Abstract
BU–MIT whistler wave injection experiments, which were conducted at Arecibo Observatory, started with the joint US–USSR Active Space Plasma Program Experiment on 24 December 1989. In this experiment, a satellite-borne VLF transmitter injected radio waves at the frequency and power of 10 kHz [...] Read more.
BU–MIT whistler wave injection experiments, which were conducted at Arecibo Observatory, started with the joint US–USSR Active Space Plasma Program Experiment on 24 December 1989. In this experiment, a satellite-borne VLF transmitter injected radio waves at the frequency and power of 10 kHz and 10 kW. A series of controlled whistler wave experiments with the Arecibo HF heater were subsequently carried out during 1990–1998 until the HF heater was damaged by Hurricane Georges in 1998. In these ionospheric HF heating experiments, 28.5 kHz whistler waves were launched from the nearby naval transmitter (code-named NAU) located at Aguadilla, Puerto Rico. HF heater waves were used to create ionospheric ducts (in the form of parallel-plate waveguides) to facilitate the entry of NAU whistler waves from the neutral atmosphere into the ionosphere. Conjugate whistler wave propagation experiments were conducted between Arecibo, Puerto Rico and Trelew, Argentina in 1997. After 1999, whistler wave experiments in the absence of an HF heater had been conducted. Naturally-occurring large-scale ionospheric irregularities due to spread F or Traveling Ionospheric Disturbances (TIDs) were relied on to guide NAU launched 40.75 kHz whistler waves to propagate from the ionosphere further into the radiation belts, to cause 390 keV charged-particle precipitation. A train of TIDs, resulting from the 9.2 Mw earthquake off the west coast of Sumatra, Indonesia, was observed in our 26 December 2004 Arecibo experiments, about a day after the earthquake-launched tsunami waves traveled across the Indian Ocean, then into remote parts of the Atlantic Ocean. The author’s recent research efforts, motivated by Arecibo experiments, focus on Solar Powered Microwave Transmitting Systems, to simulate Solar Energy Harvesting via Solar Power Satellite (SPS) (also known as Space Based Solar Power (SBSP)) These experiments involved a large number of the author’s BU and MIT students working on theses and participating in the Undergraduate Research Opportunities Program (UROP), in collaboration with other colleagues at several universities and national laboratories. Full article
Show Figures

Graphical abstract

24 pages, 3176 KB  
Article
Investigation on Seakeeping of WTIVs Considering the Effect of Leg-Spudcan Well
by Mingsheng Xiahou, Yuefeng Wei, Jinjia Wu, Xueqin Liu, Wei Lu and Deqing Yang
Appl. Sci. 2025, 15(23), 12701; https://doi.org/10.3390/app152312701 - 30 Nov 2025
Viewed by 326
Abstract
Aiming at the limited applicability of traditional empirical formulas in roll prediction for offshore wind turbine installation vessels (WTIVs), this study proposes a collaborative verification method that integrates model tests with Computational Fluid Dynamics (CFD) simulations. This approach reveals the influence mechanism of [...] Read more.
Aiming at the limited applicability of traditional empirical formulas in roll prediction for offshore wind turbine installation vessels (WTIVs), this study proposes a collaborative verification method that integrates model tests with Computational Fluid Dynamics (CFD) simulations. This approach reveals the influence mechanism of the fluid trapped in the leg-spudcan well region on the roll period and damping, facilitating high-precision prediction. A numerical model of the WTIV in a jack-up operating condition was established, and a CFD method based on the RANS equations was employed alongside experimental data for synergistic analysis. The results demonstrate that the fluid in the leg-spudcan well generates a significant additional moment of inertia, which reduces the natural roll period by approximately 7% and increases the damping coefficient by approximately 58%. Furthermore, an increase in leg length leads to a linear increase in damping and a linear decrease in the roll period. The motion response transfer functions derived from tests and the motion response errors of key structures in irregular waves are generally less than 10%. On this basis, a motion response conversion method applicable to any location on the entire ship is derived, providing a reliable numerical analysis tool for WTIV seakeeping evaluation and operational window assessment. Full article
Show Figures

Figure 1

30 pages, 28169 KB  
Article
System Identification of a Moored ASV with Recessed Moon Pool via Deterministic and Bayesian Hankel-DMDc
by Giorgio Palma, Ivan Santic, Andrea Serani, Lorenzo Minno and Matteo Diez
J. Mar. Sci. Eng. 2025, 13(12), 2267; https://doi.org/10.3390/jmse13122267 - 28 Nov 2025
Viewed by 311
Abstract
This study addresses the system identification of a small autonomous surface vehicle (ASV) under moored conditions using Hankel dynamic mode decomposition with control (HDMDc) and its Bayesian extension (BHDMDc). Experiments were carried out on a Codevintec CK-14e ASV in the CNR-INM towing tank, [...] Read more.
This study addresses the system identification of a small autonomous surface vehicle (ASV) under moored conditions using Hankel dynamic mode decomposition with control (HDMDc) and its Bayesian extension (BHDMDc). Experiments were carried out on a Codevintec CK-14e ASV in the CNR-INM towing tank, under both irregular and regular head wave conditions. The ASV under investigation features a recessed moon pool, which induces nonlinear responses due to sloshing, thereby increasing the modeling challenge. Data-driven reduced-order models were built from measurements of vessel motions and mooring loads. The HDMDc framework provided accurate deterministic predictions of vessel dynamics, while the Bayesian formulation enabled uncertainty-aware characterization of the model response by accounting for variability in hyperparameter selection. Validation against experimental data demonstrated that both HDMDc and BHDMDc can predict the vessel’s response under unseen regular and irregular wave excitations. In conclusion, this study shows that HDMDc-based ROMs are a viable data-driven alternative for system identification, demonstrating for the first time their generalization capability for an unseen sea condition different from the training set, achieving high accuracy in reproducing the vessel dynamics. Full article
(This article belongs to the Special Issue Machine Learning for Prediction of Ship Motion)
Show Figures

Figure 1

41 pages, 14371 KB  
Article
An Improved Variable-Speed Control Strategy for Air Turbine of Floating Oscillating Water Column Wave Energy Converter
by Yuxuan Liu, Cheng Zhang, Jiahao Wang and Chongwei Zhang
Water 2025, 17(23), 3377; https://doi.org/10.3390/w17233377 - 26 Nov 2025
Viewed by 475
Abstract
This study proposes an improved variable-speed control strategy for Wells turbines in floating oscillating water column (OWC) wave energy converters (WECs) to address efficiency loss caused by turbine stalling. By optimizing the ϕ from the conventional critical value from 0.3 to 0.11, the [...] Read more.
This study proposes an improved variable-speed control strategy for Wells turbines in floating oscillating water column (OWC) wave energy converters (WECs) to address efficiency loss caused by turbine stalling. By optimizing the ϕ from the conventional critical value from 0.3 to 0.11, the system achieves maximum mechanical power output while avoiding stall effects. A dynamic rotor-speed controller is designed to modulate turbine rotation behavior in response to real-time airflow velocity. This approach is validated using numerical simulations and MATLAB/Simulink R2021b models under both regular and irregular wave conditions. Results show a 124% increase in turbine power compared to uncontrolled operation, with stable DC-link voltage (+0.2%) and reduce torque ripple. The strategy enhances energy conversion efficiency by 51.2% and ensures safe operation under mechanical speed limits (3000 rpm), thus offering a practical solution for offshore WEC systems. Full article
(This article belongs to the Special Issue Recent Advances in Offshore Hydrodynamics)
Show Figures

Figure 1

Back to TopTop