Rapid Detection of Available Cr(VI) in Soil Based on pXRF Combined with Ion-Exchange Resin
Abstract
1. Introduction
2. Materials and Methods
2.1. Instruments and Chemicals
2.2. Sample Collection and Preparation
2.3. Detection of Cr(VI) in Soil Using pXRF and Ion-Exchange Resin
- The amount of resin and enrichment time affect the removal of Cr(VI) from the solution. The effects of resin amount and enrichment time on the removal rate of Cr(VI) in solution were examined. Four resin amounts (0.05, 0.10, 0.15, and 0.20 g) and eight enrichment times (5, 10, 15, 20, 25, 30, 45, and 60 min) were tested to assess their impact on spectral intensity. Based on these experiments, a calibration curve was established to relate Cr(VI) concentration in solution to spectral intensity. A solution with a Cr(VI) concentration of 20 mg/L was prepared from a 25 mL standard Cr(VI) stock solution, covering a concentration range from 0.1 to 100 mg/kg, consistent with the Soil Pollution Risk Control Standards for Construction Land (3–78 mg/kg) [50].
- To investigate the influence of interfering ions on the accuracy of experimental detection, one or more common interfering ions were introduced into the Cr(VI) solution (see Table 3). The selective adsorption of Cr(VI) by the resin was then verified using a resin dosage of 0.1 g and an oscillation time of 20 min.
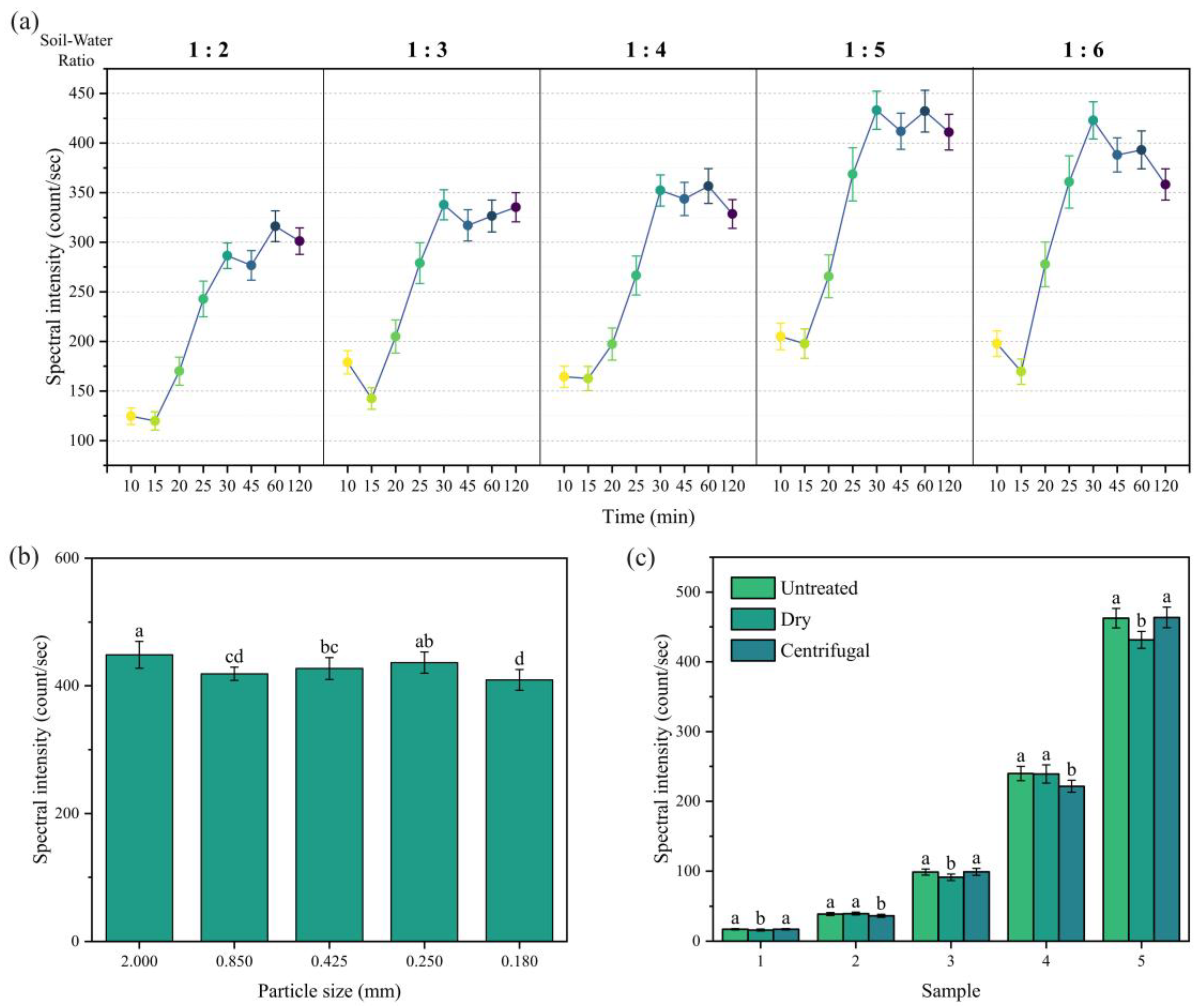
- To optimize the soil–liquid ratio and leaching time, which are critical for laboratory analysis but not convenient for on-site testing (due to the long leaching time of 120 min) [30], soil samples with an added Cr concentration of 1000 mg/kg were selected for analysis. A 0.01 mol/L CaCl2 solution was used as the leaching agent. The test included five soil–liquid ratios (1:2, 1:3, 1:4, 1:5, and 1:6) and eight different leaching times (10, 15, 20, 25, 30, 45, 60, and 120 min), with a resin dosage of 0.1 g and an oscillation time of 20 min.
- Cumbersome sample pretreatment is not feasible in field environments. Therefore, methods for soil particle size sorting, soil–water mixture separation, and resin drying were compared and explored. Soil samples contaminated with 1000 mg/kg Cr were selected for analysis, with 0.01 mol/L CaCl2 used as the leaching solution. Soil was sieved using 10, 20, 40, and 60 mesh screens to obtain particle sizes of >2mm, 0.850–2 mm, 0.425–0.850 mm, 0.250–0.425 mm, and <0.250 mm. The resulting samples were then tested. Additionally, the effects of centrifugation of the soil–liquid mixture, separation of the extract by filter membrane, resin drying after Cr(VI) adsorption, and water absorption by filter paper on spectral intensity were investigated. The experimental steps are outlined in Figure 3 (resin dosage of 0.1 g, oscillation time of 20 min, soil–liquid ratio of 1:5, and leaching time of 30 min).
- To verify the accuracy of the pXRF method combined with resin enrichment for detecting Cr(VI) in the available state of soil, an error assessment test was conducted. The experimental procedure is outlined in Figure 4. Soil samples 1–5 were spiked with Cr and processed according to relevant standard methods [30]. The available Cr(VI) was leached using 0.01 mol/L CaCl2 and subjected to centrifugation. The centrifugation supernatant was separated in duplicate. One sample was used for Cr(VI) determination via spectrophotometry using dibenzoyl dihydrazide [51], labeled as No. I. The other was analyzed using the resin-enriched pXRF method (resin dosage of 0.1 g, shaking time of 20 min), labeled as No. II. Subsequently, the available Cr(VI) in the spiked soil samples (1–5) was leached (soil–liquid ratio of 1:5, leaching time of 30 min, 0.01 mol/L CaCl2 solution). The leachate was separated by filtration membrane, and the supernatant was measured using the resin-enriched pXRF method (resin dosage of 0.1 g, enrichment time of 20 min), labeled as No. III. The feasibility of the method was evaluated by comparing the three measurements and analyzing the associated errors. Following the method feasibility assessment, three soils from different regions were tested, demonstrating that the method can be generalized to a wide range of soils.
2.4. Analytical Criteria
3. Results
3.1. Effect of Resin Dosage and Enrichment Time on Spectral Intensity
3.2. Selective Adsorption of Cr(VI) Ions by Resin
3.3. Effect of Soil-to-Solution Ratio and Extraction Time on Spectral Intensity
3.4. Effect of Soil Particle Size, Resin Drying, and Soil-to-Solution Separation Methods on Spectral Intensity
3.5. Method Validation and Real Sample Analysis
4. Discussion
5. Conclusions
Author Contributions
Funding
Institutional Review Board Statement
Data Availability Statement
Conflicts of Interest
References
- Singh, V.; Singh, N.; Rai, S.N.; Kumar, A.; Singh, A.K.; Singh, M.P.; Sahoo, A.; Shekhar, S.; Vamanu, E.; Mishra, V. Heavy Metal Contamination in the Aquatic Ecosystem: Toxicity and Its Remediation Using Eco-Friendly Approaches. Toxics 2023, 11, 147. [Google Scholar] [CrossRef]
- Zha, Y.; Zhao, L.; Niu, T.X.; Yue, E.R.; Wang, X.B.; Shi, J. Multi-Target Element-Based Screening of Maize Varieties with Low Accumulation of Heavy Metals (HMs) and Metalloids: Uptake, Transport, and Health Risks. Agriculture 2023, 13, 1123. [Google Scholar] [CrossRef]
- Sharma, P.; Chouhan, R.; Bakshi, P.; Gandhi, S.G.; Kaur, R.; Sharma, A.; Bhardwaj, R. Amelioration of Chromium-Induced Oxidative Stress by Combined Treatment of Selected Plant-Growth-Promoting Rhizobacteria and Earthworms via Modulating the Expression of Genes Related to Reactive Oxygen Species Metabolism in Brassica juncea. Front. Microbiol. 2022, 13, 802512. [Google Scholar] [CrossRef] [PubMed]
- Iyer, M.; Anand, U.; Thiruvenkataswamy, S.; Babu, H.W.S.; Narayanasamy, A.; Prajapati, V.K.; Tiwari, C.K.; Gopalakrishnan, A.V.; Bontempi, E.; Sonne, C.; et al. A review of chromium (Cr) epigenetic toxicity and health hazards. Sci. Total Environ. 2023, 882, 163483. [Google Scholar] [CrossRef] [PubMed]
- Rahman, Z.; Singh, V.P. The relative impact of toxic heavy metals (THMs) (arsenic (As), cadmium (Cd), chromium (Cr)(VI), mercury (Hg), and lead (Pb)) on the total environment: An overview. Environ. Monit. Assess. 2019, 191, 419. [Google Scholar] [CrossRef]
- Nakkeeran, E.; Patra, C.; Shahnaz, T.; Rangabhashiyam, S.; Selvaraju, N. Continuous biosorption assessment for the removal of hexavalent chromium from aqueous solutions using Strychnos nux vomica fruit shell. Bioresour. Technol. Rep. 2018, 3, 256–260. [Google Scholar] [CrossRef]
- Kapoor, R.T.; Mfarrej, M.F.B.; Alam, P.; Rinklebe, J.; Ahmad, P. Accumulation of chromium in plants and its repercussion in animals and humans. Environ. Pollut. 2022, 301, 119044. [Google Scholar] [CrossRef]
- Shahid, M.; Shamshad, S.; Rafiq, M.; Khalid, S.; Bibi, I.; Niazi, N.K.; Dumat, C.; Rashid, M.I. Chromium speciation, bioavailability, uptake, toxicity and detoxification in soil-plant system: A review. Chemosphere 2017, 178, 513–533. [Google Scholar] [CrossRef]
- Salnikow, K.; Zhitkovich, A. Genetic and epigenetic mechanisms in metal carcinogenesis and cocarcinogenesis: Nickel, arsenic, and chromium. Chem. Res. Toxicol. 2008, 21, 28–44. [Google Scholar] [CrossRef]
- Ullah, S.; Mahmood, S.; Ali, R.; Khan, M.R.; Akhtar, K.; Depar, N. Comparing chromium phyto-assessment in Brachiaria mutica and Leptochloa fusca growing on chromium polluted soil. Chemosphere 2021, 269, 128728. [Google Scholar] [CrossRef]
- Christou, A.; Georgiadou, E.C.; Zissimos, A.M.; Christoforou, I.C.; Christofi, C.; Neocleous, D.; Dalias, P.; Torrado, S.; Argyraki, A.; Fotopoulos, V. Hexavalent chromium leads to differential hormetic or damaging effects in alfalfa (Medicago sativa L.) plants in a concentration-dependent manner by regulating nitro-oxidative and proline metabolism. Environ. Pollut. 2020, 267, 115379. [Google Scholar] [CrossRef] [PubMed]
- Wani, K.I.; Naeem, M.; Aftab, T. Chromium in plant-soil nexus: Speciation, uptake, transport and sustainable remediation techniques. Environ. Pollut. 2022, 315, 120350. [Google Scholar] [CrossRef] [PubMed]
- Ashraf, M.A.; Rasheed, R.; Hussain, I.; Iqbal, M.; Farooq, M.U.; Saleem, M.H.; Ali, S. Taurine modulates dynamics of oxidative defense, secondary metabolism, and nutrient relation to mitigate boron and chromium toxicity in Triticum aestivum L. plants. Environ. Sci. Pollut. Res. 2022, 29, 45527–45548. [Google Scholar] [CrossRef] [PubMed]
- Prasad, S.; Yadav, K.K.; Kumar, S.; Gupta, N.; Cabral-Pinto, M.M.S.; Rezania, S.; Radwan, N.; Alam, J. Chromium contamination and effect on environmental health and its remediation: A sustainable approaches. J. Environ. Manag. 2021, 285, 112174. [Google Scholar] [CrossRef]
- Wise, S.S.; Aboueissa, A.E.; Martino, J.; Wise, J.P. Hexavalent Chromium-Induced Chromosome Instability Drives Permanent and Heritable Numerical and Structural Changes and a DNA Repair-Deficient Phenotype. Cancer Res. 2018, 78, 4203–4214. [Google Scholar] [CrossRef]
- Cao, L.Y.; Li, W.; Deng, H.; Wang, W.; Liang, Y.; Wei, Z.Y.; Wang, M.X.; Tan, W.F. Effect of land use pattern on the bioavailability of heavy metals: A case study with a multi-surface model. Chemosphere 2022, 307, 135842. [Google Scholar] [CrossRef]
- Yi, R.X.; Yang, X.Y.; Zhou, R.; Li, J.M.; Yu, H.W.; Hao, Z.Q.; Guo, L.B.; Li, X.Y.; Lu, Y.F.; Zeng, X.Y. Determination of Trace Available Heavy Metals in Soil Using Laser-Induced Breakdown Spectroscopy Assisted with Phase Transformation Method. Anal. Chem. 2018, 90, 7080–7085. [Google Scholar] [CrossRef]
- Zhou, J.; Du, B.Y.; Liu, H.L.; Cui, H.B.; Zhang, W.T.; Fan, X.J.; Cui, J.; Zhou, J. The bioavailability and contribution of the newly deposited heavy metals (copper and lead) from atmosphere to rice (Oryza sativa L.). J. Hazard. Mater. 2020, 384, 121285. [Google Scholar] [CrossRef]
- Wang, Y.K.; Zhang, Z.; Li, Y.Y.; Liang, C.Y.; Huang, H.C.; Wang, S. Available heavy metals concentrations in agricultural soils: Relationship with soil properties and total heavy metals concentrations in different industries. J. Hazard. Mater. 2024, 471, 134410. [Google Scholar] [CrossRef]
- Weerasundara, L.; Amarasekara, R.W.K.; Magana-Arachchi, D.N.; Ziyath, A.M.; Karunaratne, D.; Goonetilleke, A.; Vithanage, M. Microorganisms and heavy metals associated with atmospheric deposition in a congested urban environment of a developing country: Sri Lanka. Sci. Total Environ. 2017, 584, 803–812. [Google Scholar] [CrossRef]
- Zhou, Y.X.; Zhu, D.; Peng, Y.; Zhu, Y.M.; Shao, Y.N. Terahertz spectroscopy-based rapid detection of exchangeable heavy metal pollution in soil using Scenedesmus obliquus. J. Environ. Chem. Eng. 2024, 12, 113709. [Google Scholar] [CrossRef]
- Zhou, Y.J.; Jia, Z.Y.; Wang, J.X.; Chen, L.; Zou, M.M.; Li, Y.; Zhou, S.L. Heavy metal distribution, relationship and prediction in a wheat-rice rotation system. Geoderma 2019, 354, 113886. [Google Scholar] [CrossRef]
- Shi, J.D.; Zhao, D.; Ren, F.T.; Huang, L. Spatiotemporal variation of soil heavy metals in China: The pollution status and risk assessment. Sci. Total Environ. 2023, 871, 161768. [Google Scholar] [CrossRef] [PubMed]
- Jahandari, A.; Abbasnejad, B. Environmental pollution status and health risk assessment of selective heavy metal(oid)s in Iran’s agricultural soils: A review. J. Geochem. Explor. 2024, 256, 107330. [Google Scholar] [CrossRef]
- Shahid, M.; Pinelli, E.; Dumat, C. Review of Pb availability and toxicity to plants in relation with metal speciation; role of synthetic and natural organic ligands. J. Hazard. Mater. 2012, 219, 1–12. [Google Scholar] [CrossRef]
- Zhao, S.L.; Shen, Z.P.; Duo, L. Heavy metal uptake and leaching from polluted soil using permeable barrier in DTPA-assisted phytoextraction. Environ. Sci. Pollut. Res. 2015, 22, 5263–5270. [Google Scholar] [CrossRef]
- Bilo, F.; Borgese, L.; Cazzago, D.; Zacco, A.; Bontempi, E.; Guarneri, R.; Bernardello, M.; Attuati, S.; Lazo, P.; Depero, L.E. TXRF analysis of soils and sediments to assess environmental contamination. Environ. Sci. Pollut. Res. 2014, 21, 13208–13214. [Google Scholar] [CrossRef]
- Hrdlicka, A.; Hegrová, J.; Bucková, M.; Prochazka, D.; Holá, M.; Novotny, K.; Porízka, P.; Kanicky, V.; Kaiser, J. Feasibility of direct analysis of algae contamination with chromium and copper on the filter with laser-induced breakdown spectroscopy and laser ablation inductively coupled plasma mass spectrometry. Spectrochim. Acta Part B At. Spectrosc. 2022, 195, 106488. [Google Scholar] [CrossRef]
- Janotková, I.; Prokes, L.; Vaculovic, T.; Holá, M.; Pinkas, J.; Steffan, I.; Kubán, V.; Kanicky, V. Comparison of inductively coupled plasma optical emission spectrometry, energy dispersive X-ray fluorescence spectrometry and laser ablation inductively coupled plasma mass spectrometry in the elemental analysis of agricultural soils. J. Anal. At. Spectrom. 2013, 28, 1940–1948. [Google Scholar] [CrossRef]
- Ministry of Environmental Protection of the People’s Republic of China. Notice on Issuing the Series of Technical Regulations on Sample Analysis and Testing Methods for Detailed Investigation of Soil Pollution Status in China. 2017. Available online: https://www.mee.gov.cn/gkml/hbb/bgth/201711/t20171106_425226.htm (accessed on 1 November 2024).
- Zhang, R.Q.; Zhao, X.J.; He, Y.X.; He, Y.F.; Ma, L. Extraction methods optimization of available heavy metals and the health risk assessment of the suburb soil in China. Environ. Monit. Assess. 2023, 195, 1221. [Google Scholar] [CrossRef]
- Gao, H.; Koopmans, G.F.; Song, J.; Groenenberg, J.E.; Liu, X.Y.; Comans, R.N.J.; Weng, L.P. Evaluation of heavy metal availability in soils near former zinc smelters by chemical extractions and geochemical modelling. Geoderma 2022, 423, 115970. [Google Scholar] [CrossRef]
- Potts, P.J.; Sargent, M. In situ measurements using hand-held XRF spectrometers: A tutorial review. J. Anal. At. Spectrom. 2022, 37, 1928–1947. [Google Scholar] [CrossRef]
- Basham, M.R.; Cerato, A.B.; Miller, G.A. Rapid field detection of calcium-based stabilizers in soils via portable X-ray fluorescence (PXRF) spectrometry. Transp. Geotech. 2024, 49, 101446. [Google Scholar] [CrossRef]
- Shrestha, G.; Calvelo-Pereira, R.; Roudier, P.; Martin, A.P.; Turnbull, R.E.; Kereszturi, G.; Jeyakumar, P.; Anderson, C.W.N. Quantification of multiple soil trace elements by combining portable X-ray fluorescence and reflectance spectroscopy. Geoderma 2022, 409, 115649. [Google Scholar] [CrossRef]
- Havukainen, J.; Hiltunen, J.; Puro, L.; Horttanainen, M. Applicability of a field portable X-ray fluorescence for analyzing elemental concentration of waste samples. Waste Manag. 2019, 83, 6–13. [Google Scholar] [CrossRef]
- Sirkovich, E.C.; Walser, S.L.; Perdrial, N.; Richardson, J.B. Evaluating trace elements in urban forest soils across three contrasting New England USA towns and cities by pXRF and mass spectrometry. Environ. Pollut. 2023, 336, 122441. [Google Scholar] [CrossRef]
- Sut-Lohmann, M.; Ramezany, S.; Kästner, F.; Raab, T. Feasibility of pXRF to evaluate chosen heavy metals in soil highly influenced by municipal waste disposal-A monitoring study of a former sewage farm. Land Degrad. Dev. 2022, 33, 439–451. [Google Scholar] [CrossRef]
- Moghimi, F.; Jafari, A.H.; Yoozbashizadeh, H.; Askari, M. Adsorption behavior of Sb(III) in single and binary Sb(III)-Fe(II) systems on cationic ion exchange resin: Adsorption equilibrium, kinetic and thermodynamic aspects. Trans. Nonferrous Met. Soc. China 2020, 30, 236–248. [Google Scholar] [CrossRef]
- Thiripelu, P.; Manjunathan, J.; Revathi, M.; Ramasamy, P. Removal of hexavalent chromium from electroplating wastewater by ion-exchange in presence of Ni(II) and Zn(II) ions. J. Water Process Eng. 2024, 58, 104815. [Google Scholar] [CrossRef]
- Mystrioti, C.; Papassiopi, N. Removal of Heavy Metals from Contaminated Aquatic Streams Using a Resin Supported Green nZVI. Sustainability 2024, 16, 1938. [Google Scholar] [CrossRef]
- GB/T 17296-2009; Classification and Codes for Chinese Soil. General Administration of Quality Supervision, Inspection and Quarantine of the People’s Republic of China: Beijing, China, 2009. Available online: https://openstd.samr.gov.cn/bzgk/gb/newGbInfo?hcno=D59C90AB5DA4F335F0D2BBFE79893627 (accessed on 1 November 2024).
- HJ/T 166-2004; The Technical Specification for Soil Environmental Monitoring. State Environmental Protection Administration of the People’s Republic of China: Beijing, China, 2004. Available online: https://www.mee.gov.cn/image20010518/5406.pdf (accessed on 1 November 2024).
- HJ 962-2018; Soil-Determination of pH-Potentiometry. Ministry of Ecology and Environment of the People’s Republic of China: Beijing, China, 2018. Available online: https://www.mee.gov.cn/ywgz/fgbz/bz/bzwb/jcffbz/201808/t20180815_451430.shtml (accessed on 1 November 2024).
- NY/T 1121.6-2006; Soil Testing Part 6: Method for Determination of Soil Organic Matter. Ministry of Agriculture of the People’s Republic of China: Beijing, China, 2006. Available online: https://neigae.cas.cn/fxcs/fwzn/202302/P020230206607345436530.pdf (accessed on 1 November 2024).
- HJ 717-2014; Soil Quality—Determination of Total Nitrogen—Modified Kjeldahl Method. Ministry of Environmental Protection of the People’s Republic of China: Beijing, China, 2014. Available online: https://www.mee.gov.cn/ywgz/fgbz/bz/bzwb/jcffbz/201412/t20141208_292648.shtml (accessed on 1 November 2024).
- HJ 632-2011; Soil-Determination of Total Phosphorus by Alkali Fusion–Mo-Sb Anti Spectrophotometric Method. Ministry of Environmental Protection of the People’s Republic of China: Beijing, China, 2011. Available online: https://www.mee.gov.cn/ywgz/fgbz/bz/bzwb/jcffbz/201112/t20111213_221313.htm (accessed on 1 November 2024).
- HJ 1315-2023; Soil and Sediment—Determination of 19 Total Metal Elements—Inductively Coupled Plasma Mass Spectrometry. Ministry of Environmental Protection of the People’s Republic of China: Beijing, China, 2023. Available online: https://www.mee.gov.cn/ywgz/fgbz/bz/bzwb/jcffbz/202312/t20231208_1058562.shtml (accessed on 1 November 2024).
- HJ 802-2016; Soil Quality—Determination of Conductivity—Electrode Method. Ministry of Environmental Protection of the People’s Republic of China: Beijing, China, 2016. Available online: https://www.mee.gov.cn/ywgz/fgbz/bz/bzwb/jcffbz/201606/t20160630_356524.shtml (accessed on 1 November 2024).
- GB 36600-2018; Soil Environmental Quality—Risk Control Standard for Soil Contamination of Development Land. Ministry of Environmental Protection of the People’s Republic of China: Beijing, China, 2018. Available online: https://openstd.samr.gov.cn/bzgk/gb/newGbInfo?hcno=EAEFE2655651E09C7798C158BF8369B6 (accessed on 1 November 2024).
- DZ/T 0064.17-2021; Methods for Analysis of Ground Quality-Part 17: Determination of Total Chromium and Chromium(VI) Content-1,5 Diphenylcarbahydrazide Spectrophotometry. Ministry of Natural Resources of the People’s Republic of China: Beijing, China, 2021. Available online: https://www.chinesestandard.net/PDF/English.aspx/DZT0064.17-2021 (accessed on 1 November 2024).
- Fu, X.; Gou, Y.; Li, G.; Zhao, S.; Ma, S.; Zhao, C. Detection of available heavy metals in soil using gold nanoparticles-modified ion exchange membrane with laser-induced breakdown spectroscopy. Microchem. J. 2024, 204, 110922. [Google Scholar] [CrossRef]
- Wei, M.L.; Li, Y.; Yu, B.W.; Liu, L.; Xue, Q.; Du, Y.J. Assessment of semi-dynamic leaching characteristics of lead and zinc from stabilized contaminated soil using sustainable phosphate-based binder after carbonation. J. Clean. Prod. 2022, 332, 130126. [Google Scholar] [CrossRef]
- Sykora, J.; Komendová, R. Field determination of trace concentrations of hazardous metals in waters by portable EDXRF. Environ. Monit. Assess. 2024, 196, 1226. [Google Scholar] [CrossRef] [PubMed]
- Fu, X.L.; Zhao, C.J.; Ma, S.X.; Tian, H.W.; Dong, D.M.; Li, G.L. Determining available potassium in soil by laser-induced breakdown spectroscopy combined with cation exchange membrane adsorption. J. Anal. At. Spectrom. 2020, 35, 2697–2703. [Google Scholar] [CrossRef]
- Fu, Y.; Wang, L.L.; Peng, W.Y.; Fan, Q.Y.; Li, Q.C.; Dong, Y.X.; Liu, Y.J.; Boczkaj, G.; Wang, Z.H. Enabling simultaneous redox transformation of toxic chromium(VI) and arsenic(III) in aqueous media-A review. J. Hazard. Mater. 2021, 417, 126041. [Google Scholar] [CrossRef]
- Gong, Y.; Tian, R.; Li, H. Coupling effects of surface charges, adsorbed counterions and particle-size distribution on soil water infiltration and transport. Eur. J. Soil Sci. 2018, 69, 1008–1017. [Google Scholar] [CrossRef]
- Alsalman, M.A.; Hezam, M.S.; Alqahtani, S.M.; Baloch, A.A.B.; Alharbi, F.H. Anions’ Radii—New data points calibrated to match Shannon’s table. Comput. Mater. Sci. 2025, 247, 113491. [Google Scholar] [CrossRef]
- Zhang, X.; Hu, X.F.; Bai, Y.P.; Wu, J.S. Risk Assessment of Gas Leakage from School Laboratories Based on the Bayesian Network. Int. J. Environ. Res. Public Health 2020, 17, 426. [Google Scholar] [CrossRef]
- Vasile, G.G.; Tenea, A.G.; Dinu, C.; Iordache, A.M.M.; Gheorghe, S.; Mureseanu, M.; Pascu, L.F. Bioavailability, Accumulation and Distribution of Toxic Metals (As, Cd, Ni and Pb) and Their Impact on Sinapis alba Plant Nutrient Metabolism. Int. J. Environ. Res. Public Health 2021, 18, 12947. [Google Scholar] [CrossRef]
- Shi, Y.X.X.; Xu, H.R.; Shen, J.; Guo, L.Y.; Yan, J.; Jiang, J.; Hong, Z.N.; Xu, R.K. A new simple index for characterizing the labile heavy metal concentration in soil by diffusive gradients in thin films technique. Environ. Pollut. 2024, 351, 124061. [Google Scholar] [CrossRef]
- Han, H.Y.; Xu, Y.Y.; Zhang, C. Determination of Available Cadmium and Lead in Soil by Flame Atomic Absorption Spectrometry after Cloud Point Extraction. Commun. Soil Sci. Plant Anal. 2011, 42, 1739–1751. [Google Scholar] [CrossRef]
- Handley, S.A.; Wanandy, T.; Prentice, L. Validation of the Randox colorimetric assays for serum copper and zinc. Ann. Clin. Biochem. 2024, 61, 182–194. [Google Scholar] [CrossRef] [PubMed]
- Steinebach, F.; de Neuville, B.C.; Morbidelli, M. Relating saturation capacity to charge density in strong cation exchangers. J. Chromatogr. A 2017, 1507, 95–103. [Google Scholar] [CrossRef] [PubMed]
- Wang, Y.; Nakano, T.; Chen, X.; Xu, Y.-L.; He, Y.-J.; Wu, Y.-X.; Zhang, J.-Q.; Tian, W.; Zhou, M.H.; Wang, S.-X. Studies on adsorption properties of magnetic composite prepared by one-pot method for Cd(II), Pb(II), Hg(II), and As(III): Mechanism and practical application in food. J. Hazard. Mater. 2024, 466, 133437. [Google Scholar] [CrossRef]






| Measurement | Method | Result |
|---|---|---|
| pH | Potentiometry [44] | 8.46 |
| Organic matter | Potassium dichromate method [45] | 10.76 g/kg |
| N | Modified Kjeldahl method [46] | 0.969 g/kg |
| P | Mo–Sb anti-spectrophotometric method [47] | 0.659 g/kg |
| K | Inductively coupled plasma mass spectrometry [48] | 32.79 g/kg |
| Ca | Inductively coupled plasma mass spectrometry [48] | 8972.5 mg/kg |
| Mn | Inductively coupled plasma mass spectrometry [48] | 1612.5 mg/kg |
| Fe | Inductively coupled plasma mass spectrometry [48] | 33,525 mg/kg |
| Cr | Inductively coupled plasma mass spectrometry [48] | 64.88 mg/kg |
| Conductivity | Electrode method [49] | 67.7 μS/cm |
| Measurement | Beijing | Hainan | Sichuan |
|---|---|---|---|
| pH [44] | 8.00 | 6.50 | 5.63 |
| Cr [48] | 17.98 mg/kg | 78.59 mg/kg | 30.92 mg/kg |
| Ion | Add | Volume | Concentration |
|---|---|---|---|
| Cr6+ | Cr6+ standard solution | 25 mL | Each cation concentration 20 mg/kg |
| Cr6+, Cr3+ | Cr6+, Cr3+ standard solution | ||
| Cr6+, Ca2+ | Cr6+ standard solution, CaCl2 | ||
| Cr6+, Na+ | Cr6+ standard solution, Na2CO3 | ||
| Cr6+, Zn2+ | Cr6+ standard solution, ZnSO4·7H2O | ||
| Cr6+, Mg2+ | Cr6+ standard solution, MgSO4 | ||
| Cr6+, K+ | Cr6+ standard solution, KH2PO4 | ||
| Cr6+, Cu2+, Pb2+, Cd2+ | Cr6+, Cu2+, Pb2+, Cd2+ standard solution | ||
| Cr3+ | Cr3+ standard solution |
| Sample | I (mg/kg) | II (mg/kg) | II RE | II RSD | III (mg/kg) | III RE | III RSD |
|---|---|---|---|---|---|---|---|
| 1 | 0.3749 | 0.3966 | 5.79% | 8.55% | 0.3291 | 12.22% | 5.33% |
| 2 | 0.8544 | 1.0277 | 20.29% | 4.04% | 0.8648 | 1.22% | 5.73% |
| 3 | 2.2769 | 2.5840 | 13.49% | 8.38% | 2.3345 | 2.53% | 4.44% |
| 4 | 4.5788 | 4.7965 | 4.75% | 2.30% | 5.6841 | 24.14% | 4.27% |
| 5 | 10.1020 | 10.8287 | 7.19% | 0.98% | 11.2940 | 11.80% | 3.05% |
| Sample | Sample No. | Lab (mg/kg) | This Work (mg/kg) | RE |
|---|---|---|---|---|
| Cinnamon soil | 1 | 8.814 | 10.264 | 16.46% |
| 2 | 25.966 | 29.035 | 11.82% | |
| 3 | 44.250 | 38.565 | 12.85% | |
| Lateritic red soil | 4 | 11.803 | 13.840 | 17.26% |
| 5 | 31.584 | 25.499 | 19.27% | |
| 6 | 40.240 | 36.870 | 8.37% | |
| Yellow soil | 7 | 7.636 | 6.713 | 12.09% |
| 8 | 18.404 | 15.317 | 16.77% | |
| 9 | 31.682 | 28.987 | 8.51% |
| Elements | Accuracy | Pretreatment | Portable | Instruments | Time (min) | Detection Costs | Ref. |
|---|---|---|---|---|---|---|---|
| Available Cu, Zn, As, Cd | 85.8–109.5% | Complicated | No | ICP-MS | 120 | Very high | [31] |
| Available As, Pb, Cd | R2 = 0.49~0.98 | Complicated | No | ICP-OES | 120 | High | [60] |
| Available Cr(VI) | R2 = 0.95~0.99 | Complicated | No | FAAS/ICP-MS | >1 day | High/Very high | [61] |
| Available Cd, Pb | 91.0–115% | Complicated | No | FAAS | 120 | High | [62] |
| Available Cr(VI) | 80.73–124.14% R2 = 0.99 | Simple | Yes | pXRF | 50 | Low | This work |
Disclaimer/Publisher’s Note: The statements, opinions and data contained in all publications are solely those of the individual author(s) and contributor(s) and not of MDPI and/or the editor(s). MDPI and/or the editor(s) disclaim responsibility for any injury to people or property resulting from any ideas, methods, instructions or products referred to in the content. |
© 2025 by the authors. Licensee MDPI, Basel, Switzerland. This article is an open access article distributed under the terms and conditions of the Creative Commons Attribution (CC BY) license (https://creativecommons.org/licenses/by/4.0/).
Share and Cite
Fu, T.; Liu, W.; Fu, X.; Huang, Y.; Lou, H.; Song, J.; Li, G. Rapid Detection of Available Cr(VI) in Soil Based on pXRF Combined with Ion-Exchange Resin. Agriculture 2025, 15, 545. https://doi.org/10.3390/agriculture15050545
Fu T, Liu W, Fu X, Huang Y, Lou H, Song J, Li G. Rapid Detection of Available Cr(VI) in Soil Based on pXRF Combined with Ion-Exchange Resin. Agriculture. 2025; 15(5):545. https://doi.org/10.3390/agriculture15050545
Chicago/Turabian StyleFu, Taige, Wei Liu, Xinglan Fu, Yuehua Huang, Huanhuan Lou, Jie Song, and Guanglin Li. 2025. "Rapid Detection of Available Cr(VI) in Soil Based on pXRF Combined with Ion-Exchange Resin" Agriculture 15, no. 5: 545. https://doi.org/10.3390/agriculture15050545
APA StyleFu, T., Liu, W., Fu, X., Huang, Y., Lou, H., Song, J., & Li, G. (2025). Rapid Detection of Available Cr(VI) in Soil Based on pXRF Combined with Ion-Exchange Resin. Agriculture, 15(5), 545. https://doi.org/10.3390/agriculture15050545
