Abstract
Lycoriella ingenua (Dufour) is a major pest in mushroom facilities in Serbia and worldwide. The study aimed to determine the virulence (in vitro) and effectiveness (in vivo) of three Serbian native populations of entomopathogenic nematodes (EPNs) Steinernema feltiae (Filipjev), P9, K2, and ZŠT, compared to a commercial population of S. feltiae against L. ingenua, and their impact on mushroom yield. In vitro bioassays showed that seven days after exposure to a series of nematode suspensions (IJ cm−2), two of the three native (P9 and K2) populations and the commercial population of S. feltiae caused significant mortality of L4 instar larvae of L. ingenua. The following LC50s were estimated: 18.47, 15.77, and 11.48 IJ cm−2 for P9, K2, and the commercial populations, respectively. These populations were further used for in vivo bioassays, where their IJs were applied as drench treatment twice (at the rate of 75 IJ cm−2) during casing time and seven days later. Control of L. ingenua larvae with the commercial population of S. feltiae was 85%, while the effectiveness of the native populations was 70%. The lack of adequate pest control measures emphasizes a need to promote local EPNs as biologically based and ecotoxicologically safe products.
1. Introduction
The mushroom sciarid fly, also known as the fungus gnat, Lycoriella ingenua (Dufour) (Diptera: Sciaridae), is a major pest in white button mushroom [Agaricus bisporus (Lange) Imbach], the most cultivated and best-selling species of all edible mushrooms in Serbia and worldwide [1,2,3,4,5]. The fly causes crop damage and mushroom yield reduction either through direct larval feeding on developing mushroom mycelia [6] or through competition for compost nutrients [1,2,7]. Additionally, both adults and larvae of L. ingenua are vectors of the most devastating mushroom pathogen, Trichoderma aggressivum (Samuels & Gams) (Hypocreales: Hypocreaceae), which leads to severe outbreaks of “green mold” and further crop losses [8]. Chemical control of mushroom sciarids is necessary even at very low larval densities, as the economic threshold for sciarid larvae is practically zero [9,10]. However, varying results have been published regarding the effectiveness of chemical treatments against sciarids, and reports of resistance to certain chemicals have been documented [11,12,13,14,15]. On the other hand, the synthetic insecticide diflubenzuron has been withdrawn from use in Serbia and the European Union [16,17]. Additionally, none of the EPPO-recommended bioinsecticides intended for the control of fungus gnat (based on pyrethrins and entomopathogenic nematodes) are available in Serbia, which limits the possibilities for pest control [4]. Application of chemical pesticides results in damage to the mycelium, decreased yield, and the presence of residues in harvested mushrooms [8,18]. Furthermore, some environmental issues and negative effects on mushroom yield and non-target species require sustainable alternatives to the use of pesticides [3,19].
The use of biocontrol agents and biopesticides has been considered a rational, safe, and viable alternative to synthetic chemical pesticides in edible mushroom production [3,20,21]. Since their first applications in the mid-1990s, entomopathogenic nematodes (EPNs) have become one of the most frequently used biocontrol agents in the management of harmful mushroom flies [21,22], due to the ability of EPN infective juveniles (IJs) to kill susceptible insects mainly owing their gut symbiotic bacteria [3].
EPN infective juveniles naturally occur in a warm and moist environment, such as soil, which makes them suitable for use under controlled conditions in mushroom-growing substrates [3,23]. Infective juveniles of several EPN species actively seek out and attack harmful insects in their environment, which provides an additional advantage over other biological control methods [3]. Another advantage of EPNs, compared to some chemical insecticides, is their relatively long persistence in optimal numbers for several weeks [24]. Additionally, it has been shown that many EPN species, including Steinernema feltiae (Filipjev), may reproduce in infected host cadavers of Lycoriella spp., including L. ingenua [14,15,16,17,18,19,20,21,22,23,24,25,26], thus enabling the production of a new generation of IJs, which further increases their persistence in mushroom casing [27]. Although EPNs have been proven to be generally safe for mushrooms at recommended application rates [21], some reports have shown that the application of EPNs, including S. feltiae, can result in a reduction in mycelium growth on the substrate surface and impact on yield [28,29]. However, that happens only during early flushes and after inadequate rates were applied, usually considerably higher than required for effective and economically justified sciarid control [21].
Several main factors affect the efficacy of EPNs against fungus gnats, such as the fly and nematode species and isolates and EPN application time and rate [21,24]. The most important factors affecting EPN success in controlling the pest depend on different host-finding strategies, EPN infectivity, and virulence, both varying between and within species [21]. Virulence of EPN species, e.g., Steinernema feltiae, Steinernema affinae, Steinernema kraussei, Steinernema carpocapsae, were tested against L. ingenua larvae in laboratory conditions [25,30], and only a few (namely H. bacteriophora and S. carpocapsae) were tested against this species in mushroom growing conditions [18,29,31]. Several EPN species have been commercialized, including S. feltiae, which is one of the most frequently used and most successful in sciarid control in many countries [29,32,33,34]. Although commercialized EPNs are available, several reports showed the potential of locally isolated EPN species against sciarid, i.e., their better adaptation to local environments [35,36,37,38]. Additionally, several native populations of S. feltiae have been isolated and identified recently in Serbia [39,40,41], some of which have demonstrated virulence similar to the commercial population of S. feltiae against several insect species [42,43]. The aim of the present study was to compare the biocontrol potential of several native populations with the commercial S. feltiae population against the fungus gnat. The first objective was to determine their virulence in vitro, subsequently followed by an evaluation of their effectiveness against L. ingenua and their impact on mushroom production in vivo.
The results of this study were ultimately expected to contribute to the promotion of EPN use for solving the problem of pest insects in mushroom industries worldwide, ensuring high-quality food products and reduction in chemical pesticide pollution of the environment.
2. Materials and Methods
2.1. Production of Entomopathogenic nematodes
Test populations of S. feltiae were produced in vivo using the last larval instar of the greater wax moth, Galleria mellonella (Lepidoptera: Pyralidae). The wax moth larvae were continuously reared from eggs (previously collected on Parafilm strips free of all possible parasites and culture contaminants) in glass containers and on an artificial diet [44]. To secure constant and certain availability of wax moths, and consequently nematodes, they were grown continuously at several places simultaneously in Cooled Incubators FOC Connect (VELP Scientifica, Usmate Velate, Italy) at variable temperatures. In order to multiply EPN populations, wax moth larvae were infected by placing them on filter paper soaked in a suspension of each S. feltiae population (at a concentration of 200 IJ cm−2) in Petri dishes. Ten wax moth larvae were used for in vitro bioassays, and 100 wax moth larvae were used for in vivo bioassays for EPN production. After nematodes completed their life cycle of the IJs new generation (8–9 days after inoculation), EPNs were extracted from cadavers with modified White traps [45]. Infective EPN juveniles emerging from White traps were collected over the first several days only to avoid other possible S. feltiae developmental stages emerging from disrupted cadavers and preserved in water at 7 °C. Up to two weeks-old IJs were used for in vitro experiments, while fresh IJs, not older than 4–5 days, were used in in vivo experiments. Their viability was checked on the treatment day and was above 99%.
2.2. Rearing of Lycoriella ingenua
Natural mushroom infestation by L. ingenua was simulated to provide the fungus gnat larvae for experiments. Commercially produced phase I mushroom substrate was spawned with A. bisporus mycelia (1%) and placed into plastic containers inside insect-rearing cages. After 2 weeks of spawn-run at 25°C, the substrate was covered with a layer of mushroom casing soil (black peat, 1.4% limestone, 0.02% peracetic acid). The ambient temperature gradually decreased from 22°C to 17°C, and the substrate was incubated for one week (case-run). At the beginning of fructification (three weeks after casing), each rearing cage with mushroom substrate was inoculated with 50 adults of L. ingenua (collected from a commercial mushroom farm Fungi SS, Vranovo, Serbia, 44.360276° N, 20.595625° E) to lay eggs. Approximately four weeks after inoculation with adults, an F1 generation of the pest began to appear. New adults were collected and transferred to new containers with fruiting bodies for oviposition. The procedure was repeated to obtain the fifth generation of adult pests. When the fifth generation of L. ingenua larvae reached their early fourth instars in the casing layer, they were isolated with a fine brush and used in experiments.
2.3. Bioassays
Two types of bioassays (in vitro and in vivo) were carried out. The in vitro bioassay aimed at testing the virulence of three Serbian native populations of S. feltiae (K2, P9, and ZŠ7, collection of the Faculty of Agriculture, University of Belgrade) [39,40,41] to L. ingenua larvae, compared to the commercial population (Nemaplus, E-nema GmbH, Schwentinental, Germany). Subsequently, the efficacy of the two most virulent native S. feltiae populations (K2 and P9) and the commercial population in fungus gnat control was estimated in the in vivo bioassay. Additionally, the impact of chosen EPN populations on mushroom yield was evaluated. Bioassay in vitro was conducted in the Laboratory of Entomology and Agricultural Zoology, Faculty of Agriculture, University of Belgrade, Belgrade, Serbia, while bioassay in vivo was performed in experimental mushroom growing rooms at the Institute of Pesticides and Environmental Protection, Belgrade, Serbia.
2.3.1. Bioassay In Vitro
The in vitro virulence bioassay was performed using three native and commercial populations of S. feltiae, as mentioned. The bioassay was carried out in small plastic Petri dishes (35 mm diameter, approximately 10 cm2 in surface) with filter paper (three layers of Whatman No1) covering the bottom surface. A series of nematode suspensions containing 0, 50, 100, 200, 500, and 1000 IJs (preliminary defined, covering a range of 10–90% mortality of the L4 the fungus gnat larvae) in the amount of 0.5 mL, was applied to filter paper in each Petri dish. The concentration of the suspensions was expressed as IJ cm−2. Afterward, 10 fourth instar larvae of L. ingenua were added to each Petri dish. Apart from the genetically derived virulence of EPNs, the ability of IJs to successfully infect insect larvae depends on the body size of larval instars of the host [46], i.e., the size of natural body openings through which IJs of most EPN species are able to penetrate the insect body. Some researchers have shown that the later larval instar of the fungus gnat was used, the efficacy of EPNs was higher [47], which is why the early L4 instars of L. ingenua were chosen for in vitro bioassays in the present study. The Petri dishes were kept in an incubator (Cooled Incubators FOC Connect (VELP Scientifica, Usmate Velate, Italy) in the dark at 20 °C. The mortality of fungus gnat larvae was recorded three and seven days after exposure to the EPNs. The bioassay was performed in ten replicates.
2.3.2. Bioassay In Vivo
The in vivo bioassay was conducted in a climate-controlled mushroom growing chamber at the Institute of Pesticides and Environmental Protection, Belgrade (Serbia). The efficacy of the commercial and two chosen native populations of S. feltiae in controlling fungus gnat larvae and their impact on mushroom yield were evaluated. Commercially produced phase I mushroom substrate (1.5 kg) produced by Uča d.o.o. (Vranovo, Serbia) naturally infested with L. ingenua was spawned with A. bisporus A15 (Sylvan Hungaria Zrt, Dunaharaszti, Hungary) mycelia (1%) and placed into six plastic containers per treatment (l × w × h dimensions of 0.31 m × 0.215 m × 0.13 m), before they were placed inside insect rearing cages (one container per cage). After 2–3 weeks of spawn-run at 25 °C, the substrate was covered with casing soil (black peat soil produced by Terahum d.o.o. (Veliko Gradište, Serbia)), 1.4% limestone (Tara Stil d.o.o. Belgrade, Serbia), 0.02% peracetic acid 15% Peral S, MidraEko, Serbia) and incubated for one week (case-run at 22 °C). As previous experiments had shown a very low natural infestation rate of L. ingenua during springtime [48], each experimental plot was artificially infested with 10 fourth instar larvae of L. ingenua on the casing day. The timing of the application was chosen based on what is known about the biology of L ingenua [6,49] and the timing of infestation, which allowed a prediction of the appearance of the most susceptible instar of host larvae [3,21]. Also, the IJ infectiveness of the host is much lower in compost than in casing soil [50], and younger larval instars reside dominantly in compost and move upwards, while L3 and L4 are prevalent in the casing layer for a relatively short time [3]. Therefore, the casing application of EPNs at appropriate timing as drench treatment is reported as the most successful application method [3]. Regarding application rate and frequency, IJs of each tested S. feltiae population were used at a concentration previously adjusted to 75 IJs cm−2 in 450 mL of water and were applied twice times, at the casing time and seven days later (total of 150 IJ cm−2 in 0.9 L of water). After the second EPN treatment, the substrate was maintained at 17 °C in the insect-rearing cages for six weeks. In control plots, the mushroom substrate was treated with the same volume of tap water. The control efficacy (%) of EPNs was evaluated by counting mushroom fly adults captured on yellow sticky traps inside each cage. The yellow sticky traps were collected once a week and replaced with new ones. All traps were examined in the laboratory under a binocular microscope to count the emerged fungus gnat adults (adults that have managed to develop from L4 exposed larvae to the adult stage) [4]. Mushroom sciarid fly adults were identified based on visual observations (morphological characteristics and dimensions) according to the identification key [51]. The effectiveness of EPN populations in sciarid larvae control was calculated using Abbott’s formula [52] based on comparing the pest adult incidence between control and treatment plots [53]. Mushrooms were hand-picked for 30 days in both in vivo experiments. The impact of treatments on button mushroom yield (biological efficiency, BE %) was calculated as the ratio of fresh weight to total fruiting body yield and weight of dry spawned substrate and was expressed as percentages [54]. The weight of the dry-spawned substrate was determined by the oven-dry method [55]. The in vivo bioassay was performed in six replicates per treatment in a completely randomized design and repeated twice (bioassay 1 and bioassay 2).
2.4. Data Analysis
All raw data sets were tested for normality and homogeneity of their variance with the Kolmogorov–Smirnov D-test and the Cochran test, respectively. Mean values of the fungus gnat fourth instar larvae mortality for each EPN population tested separately, three- and seven days post inoculation (dpi) were analyzed by t-test (p < 0.05). Concentration–mortality data were processed with a log–probit regression model [56] using the Polo Plus software version 2.0 (LeOra Software, Berkeley, CA, USA), which estimates lethal concentrations (LC50 and LC90) and slopes of regression lines. The concentration–mortality relationships were considered valid (i.e., they fitted the observed data) if there was no significant difference between the observed and expected data at p < 0.05 level. A pairwise comparison of LC50 was performed using the lethal dose ratio test: when 95% confidence limits (CLs) for LC ratios included 1, the LCs were not significantly different [57].
In in vivo trials, the effectiveness of EPN populations applied in sciarid larvae control was calculated by Abbott’s formula [52], based on adult pest incidence between the control and treatments [53]. Data transformation √(x + 0.1) was applied to normalize and eliminate zero values (number of fungus gnat adults, mushroom yield), while percentage data regarding the efficacy of EPN populations were transformed by arsin√x. Data were processed by one-way ANOVA (treatment as the factor), while the significance of differences between means per treatment and control was determined by Duncan’s post hoc test (p < 0.05) [58].
3. Results
3.1. Bioassay In Vitro
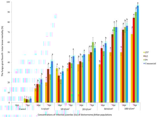
The results of the in vitro bioassay showed the highest virulence of the commercial EPN population, which caused approximately 100% mortality of L. ingenua larvae at the highest test concentration (100 IJ/cm2) (Figure 1). In most of the cases, the t-test revealed that mean values of the fungus gnat fourth instar larvae mortality, three- and seven-days post inoculation (dpi) were significantly different (p < 0.05), for each EPN population tested separately. The mortality of L. ingenua larvae ranged from 24 to 98%, 26 to 94%, and 41 to 96% when a series of concentrations (5–100 IJ cm−2) of S. feltia populations K2, P9, and commercial were applied, respectively. The local ZŠ7 population of S. feltiae showed the lowest virulence toward L. ingenua larvae, causing a moderate level of mortality (<70%) at its highest concentration in the first in vitro bioassay, after which it was excluded from further research (Figure 1).
Figure 1.
Lycoriella ingenua fourth instar larvae mortality (means ± SE%) caused by five concentrations of infective juveniles (IJ cm−2) of S. feltiae (native K2, P9, ZŠ7 and commercial) three and seven days post inoculation (dpi) at 20 °C (in vitro). Mean values of the larvae mortality for each EPN population separately, three and seven dpi, marked by different letters, are significantly different (t-test, p < 0.05).
In dose–response bioassays, log–probit regression analyses of the concentration–mortality data showed that the two native (K2 and P9) and commercial populations of S. feltiae caused significant mortality of L. ingenua fourth instar larvae. A lethal dose ratio test showed that the local population P9 was significantly more virulent toward fungus gnat larvae compared to the local population K2 (Table 1).
Table 1.
Virulence of two native (P9 and K2) and one commercial population of Steinernema feltiae towards Lycoriella ingenua fourth instars larvae 7 dpi expressed as lethal concentrations (LC) values (number of infective juveniles/cm2).
3.2. Bioassay In Vivo
In bioassay 1, significantly fewer L. ingenua adults were found on yellow sticky traps in cages where EPNs were applied, regardless of S. feltiae population, in comparison with control cages in all assessment periods (Table 2). Additionally, the commercial S. feltiae population showed the best performance in all assessment periods (with efficacy exceeding 75%, compared to the native populations that achieved lower efficacy ranging from 48 to 77% (population K2) and from 50 to 82% (for population P9). The post hoc Duncan’s test showed that the mean number of total adult flies per treatment per container for the entire test period was significantly lower in cages where EPN populations were used than it was in the control (F3,20 = 197.901, p < 0.001) (Figure 2). Also, the commercial population exhibited significantly better overall efficacy of 83% in the management of the pest fly larvae (F2,12 = 6.597, p < 0.05) compared to native populations P9 and K2, which achieved mutually similar efficacy (≈62%) over the entire test period (Figure 2).
Table 2.
Bioassay 1—The number (mean ± SE) of Lycoriella ingenua adults per container in the mushroom growing chamber (in vivo) treated with different EPN populations (means ± SE) and control efficacy at intervals of 8, 15, 22, 29 and 36 days after the first treatment—DAT; treatments = EPNs (P9, K2 and commercial, 150 IJ cm−2; control = water).
Figure 2.
The total number (mean ± SE) of Lycoriella ingenua adults per container for the entire test period in a mushroom growing chamber (in vivo) treated with different Steinernema feltiae populations and pest control efficacy (percentage of control treatment); treatments = P9, K2, and commercial population—150 IJ cm−2; control = water. Mean values marked by different letters differ significantly (Duncan’s post hoc test, p < 0.05).
In bioassay 2, as in bioassay 1, a significantly lower number of L. ingenua adults emerged in all assessment periods from the mushroom-growing substrate in all treatments with S. feltiae populations compared to the control treatment (Table 3). Compared to bioassay 1, higher efficacy was noted using the commercial and both native EPN populations up to 22 DAT, when it decreased to below 80% (Table 3). The results of the post hoc test showed that, throughout the entire test period, the mean total number of emerged adult flies per treatment per container was significantly lower in cages where S. feltiae populations were used than it was in the control (F3,20 = 1277.531, p < 0.001) (Figure 2). In addition, significantly fewer adult flies were recorded in cages with the commercial population compared to those with the two native populations. Nevertheless, Duncan’s test revealed that the efficacy of the commercial population (86.5%) was not significantly higher than the effectiveness of the native EPN populations (≈77%) (F2,12 = 1.631, p = 0.236) (Figure 2).
Table 3.
Bioassay 2—The total number (mean ± SE) of Lycoriella ingenua adults per container in the mushroom growing chamber (in vivo) treated with different EPN populations and control efficacy at intervals of 8, 15, 22, 29, and 36 days after treatment—DAT; treatments = Steinernema feltiae (P9, K2 and commercial—150 IJ cm−2; control = water).
3.3. Impact on Yield
In in vivo bioassay 1, no statistically significant differences were found in total mushroom weight between the untreated control and all EPN treatments applied (F3,20 = 1.769, p = 0.185) (Figure 3). Moreover, the commercial EPN population improved mushroom yield by up to 19%, while the local populations P9 and K2, applied at the total rate of 1.5 × 106 IJ m−2, increased productivity by 1 and 24%, respectively. In bioassay 2, a significant difference was shown between the yield in untreated control and treatments with local EPN populations (F3,20 = 4.269, p < 0.05). In addition, the total yield of harvested mushrooms treated with the commercial EPN population did not differ statistically, either from untreated control plots or from plots treated with both local populations (Figure 3). In both bioassays, approximately 80 kg of mushrooms per 100 kg of dry-weight compost were harvested in all plots, both treated with EPN populations and untreated control, over two flushes.
Figure 3.
Biological efficiency (BE) of treatments with different Steinernema feltiae populations (P9, K2, and commercial population—150 IJ cm−2) and control (water) on Agaricus bisporus yield (mean ± SE) in bioassays 1 and 2 (in vivo); BE % = ratio of the fresh weight of total mushroom yield and dry spawned substrate weight (462.9 g). Mean values marked by different letters differ significantly (Duncan’s post hoc test, p < 0.05).
4. Discussion
In the current study, three out of four tested populations of S. feltiae (two natives, P9 and K2, and the commercial one) showed high virulence towards L. ingenua and caused significant mortality of fourth-instar larvae in bioassays in vitro (Figure 1). The third tested native Serbian population, ZŠ7, showed moderate virulence and was excluded from further research. The commercial population of S. feltiae used in the present study was more virulent than the two native strains from Serbia (P9 and K2) (Table 1). In addition, the P9 native strain was more effective in the fungus gnat larval control than the K2 strain, with a significantly higher median lethal concentration. The lower effects of native populations may be due to their lower natural virulence (genetically derived virulence) compared to the commercial population [59]. A possible introduction of late L4 instars that pupated soon after inoculation with IJs may be an additional reason, as pupae are less prone to EPN infection [47].
To the best of our knowledge, there are no available reports about experiments where EPNs have been used against L. ingenua in in vitro bioassays using filter paper as a medium where nematode suspensions were applied. It is noteworthy to emphasize that the type of substrate/medium to which EPNs have been applied can play an important role in successful infection by IJs as it can either promote or reduce IJ motility and, ultimately, the infection [59]. In the current study, the population of fourth instar L. ingenua larvae was suppressed by 90% by 100 IJ cm−2 of native P9 and K2 populations, or 83.7 IJ cm−2 of the commercial population of S. feltiae, using the described method (filter paper). In a comparable experimental setup, authors Ma et al. [35] had similar results, recording 90% mortality of the L4 of a different sciarid pest fly, Bradysia odoriphaga Yang & Zhang using 75 IJ cm−2 of indigenous S. feltiae applied on filter paper. Our results of in vitro bioassays were consistent with some other reports of laboratory and in-pot experiments with S. feltiae conducted with previously counted fungus gnat last larval instars. In a study by Shamshad et al. [60], a population of S. feltiae suppressed 90% of the L3 instar of L. ingenua (using spawned peat moss/lime substrate) with a slightly lower rate of EPNs than in our present study used (approximately 73 IJ cm−2). Moreover, the commercial S. feltiae population used in the current study was significantly more effective under laboratory conditions than other S. feltiae populations used in the study by Nickle and Cantelo [47]. These authors reported lower (72–81%) mortality of L3 and L4 instars of L. ingenua after S. feltiae IJs were applied as a drench treatment on mushroom-growing substrate at an application rate of 620 IJ cm−2, which was six-fold higher than the rate used in our current in vitro bioassays, confirming that different strains may exhibit different virulence.
Previous reports regarding in vivo experiments close to commercial production conditions showed 60–100% effectiveness of fungus gnat control by using different commercial populations of S. feltiae at application rates of 300 IJ cm−2 or higher [29,31,61,62]. However, there were also contradictory reports that much lower rates of S. feltiae (50–150 IJ cm−2) could equally suppress L. ingenua when applied at casing time as drench treatment. For example, Rinker et al. [29] showed that the application of 140 IJ cm−2 in 1 L of water per m2 at the casing time resulted in 88–95% mortality of L. ingenua adults four days after treatment. After monitoring the adult emergence for two to four weeks, two selected populations of S. feltiae were used in a lower volume of water, and application rates of 50 IJ cm−2 and 100 IJs cm−2, which reduced overall L. ingenua population by 52–88% and 72–96%, respectively [32]. The results of the current study in the first four weeks of monitoring adult fly emergence were consistent with those results. Additionally, Scheepmaker et al. [33] and Navarro et al. [63] demonstrated that another damaging mushroom fly, Lycoriella auripila Winnertz, could be controlled with equal success (approximately 60%) by applying a rate of 100 IJ cm−2 at casing time as with 300 IJ cm−2 of S. feltiae at different timings in a commercial mushroom production setup [33]. Moreover, Rinker et al. [29] demonstrated that S. feltiae application very low rates of 28–80 IJ cm−2 at casing time in substrate artificially infested with adults at the beginning of spawn run resulted in 69–97% of fungus gnat flies failing to emerge four days after treatment. A similar efficacy of the commercial S. feltiae population against L. ingenua at the same monitoring timings was obtained in the current study.
A study by Lewandowski et al. [6] showed that a 21-day generation time of the fungus gnat at 24 °C was dominated by L4 instars on the 14th day of the development cycle, suggesting that the optimal time for EPN application is one day or more before day 14, as IJs need some time to locate and infect the host. Assuming a similar development of L. ingenua at 25 °C, with artificial infestation at the beginning of the spawning period and a two-week spawning period, and nematode application at the casing time, as reported by Rinker et al. [29], our first application of 75 IJ cm−2 was performed at the right time to control the F0 generation of the pest. A similar level of control was reported by Olthof et al. [31], with casing treatment at the rate of 140 IJ cm−2 of S. feltiae 12 days after infestation with fungus gnat adults. These observations suggested that the appropriate timing of treatment with EPNs is more relevant for the successful control of L. ingenua than the application rate.
In the current in vivo bioassays, the first flies appeared at the beginning of the second week of the experiment (7–8 DAT), while their peak emergence was 36 DAT, suggesting a prevalence of L4 instars of the F0 generation after 14 days, i.e., two weeks after the second application (22 DAT) and later assuming longer development of the host at 17 °C. Our results (Table 2 and Table 3) showed more successful control of L. ingenua (approximately 85%) with all treatments of S. feltiae populations up to 22 DAT (14 days after the second IJ application) and optimal timing for suppression of the F0 generation of fungus gnat larvae with both applications. After 29 DAT, when the F1 generation of adults started to appear, L. ingenua control was moderate to high due to an insufficient number of IJs in the substrate.
Regarding the F1 generation, the first flies appeared at the beginning of the second week, while their peak emergence occurred at 36 DAT, confirming a prevalence of L3 and L4 instars between applications and after the second one 7 DAT. Our results (Table 2 and Table 3) showed successful control of L. ingenua (approximately 85%) with all treatments of S. feltiae populations up to 29 DAT (21 days after the second IJ application) and optimal timing for suppression of the fungus gnat generation F0. After 29 DAT, when the F1 generation of the pest started to appear, moderate to high control of L. ingenua was recorded due to insufficient abundance of IJs in the substrate. Grewal and Richardson [24] revealed that the number of S. feltiae IJs (applied at rates of 273–1635 IJ cm−2) decreased close to 15 % two weeks after application. Subsequently, the abundance of IJs remained at the same level throughout eight weeks, except at the lower application rates, where their number increased approximately twice, probably due to a higher IJ recycling rate after the peak of fungus gnat adult emergence in the third week. The remaining IJs were probably sufficient to control L. castanescens above 84% due to higher application rates, and the same was demonstrated by Rinker et al. [29] against L. ingenua. However, this was not the case in our experiments with the native population used, and IJs applied at almost half of the lowest application rate that was used by Grewal and Richardson [24]. These authors reported a significant decrease in IJs presence in the substrate two weeks after treatment. A similar trend may have occurred in our experiments, which was the possible reason for higher control efficacy up to 22 DAT (two weeks after the second application) than over the later monitoring periods, especially in bioassay 2 (Table 2). As expected, lower efficacy, though still significantly different from that of the control treatment, was probably attributed to IJs that had been reproduced in parasitized host larvae, as also demonstrated by Rinker et al. [29]. However, the efficacy of L. ingenua control using the commercial population in the two latest assessment periods remained above 75%.
Indigenous S. feltiae populations were tested against sciarids in several other studies [35,38], and our results on control efficacy are within a range of the reported findings. However, we are aware of few reports that exist on local isolates of S. feltiae and their control efficacy of the fungus gnat. A selected native Polish isolate PL and a French SN population, applied at an application rate of 100 IJ cm−2, lower than the rate used in the current experiments, achieved over 80% control efficacy against L. ingenua [27]. These populations outperformed both local Serbian isolates used in this study in terms of overall effectiveness up to 36 days of assessment. Conversely, the tested native populations in this work demonstrated better control efficacy up to 30 days of monitoring than both the SN (54%) and PL (72%) populations.
One of the reasons for the lower efficacy of native populations used in the current study, compared to the commercial population, is probably their lower virulence. In both in vivo trials (Table 2 and Table 3), both native populations showed significantly lower effectiveness 29 and 36 DAT compared to the commercial population, suggesting either their lower ability to survive in the mushroom-growing substrate or their lower reproducibility in infected L. ingenua cadavers. Additionally, the amount of water used in the treatment was slightly lower than it was in the previous studies, e.g., Rinker et al. [29], 1 L m−2, which demonstrated higher efficacy with similar or lower rates than we used. Substrate humidity, potentially lowered by air-conditioning, may have reduced the infection ability or decreased the number of IJs due to desiccation, as demonstrated by Tomalak and Lipa [50]. A key trait for improving commercial EPN populations is the selection based on desiccation tolerance [64]. That probably explains the better results in L. ingenua control by the commercial population of S. feltiae than the native populations tested in the study.
In this experimental setup, under presented conditions (timing of substrate infestation in the first place), the major reason for decreasing overall effectiveness of all tested populations was mainly due to the moderate control of L. ingenua in later assessment periods, 29 and 36 DAT, especially in the case of the native S. feltiae populations. As discussed previously, delaying the second application of EPNs for longer than 7 days after casing may contribute to a more effective control of L. ingenua. Additionally, a third application, 14 days after casing or later, should be considered for future research in order to ensure more successful sciarid control of later-developed larvae. Commercial manufacturers of EPN-based products currently recommend an application rate of 200 IJ cm−2 for sciarid control, factoring in a decrease in IJ viability in formulations during the EPN product’s shelf life. Based on the current study results, two treatments of 75 IJ cm−2, applied as a drench to the mushroom growing substrate at casing time and 7–14 days later, should be recommended to mushroom producers to obtain optimal control of L. ingenua larvae.
Whereas EPN effectiveness against mushroom sciarids is well known, the previously carried out research [3,21,49] focused mainly on commercialized EPN populations, especially against L. ingenua as one of the major mushroom pest species. Furthermore, studies on the effectiveness of native EPN populations tested in mushroom production conditions are particularly scarce. Although the effect of the commercial population was not surpassed by that of the native EPN populations, the results of the current study showed a promise for further research with native populations focused on the improvement of their efficacy and competitiveness.
An improvement in the activity of native EPNs could be achieved by increasing virulence through selective breeding, as previously suggested by Tomalak [27]. Additionally, the lower persistence of the native EPN populations may be overcome by lower IJ rates applied more frequently. Furthermore, identifying adversary elements (chemical or biological) in the mushroom growing substrate may contribute to the prolonged persistence of IJs of native populations if eliminated or suppressed.
Several studies have shown that the application of EPNs is able to reduce A. bisporus mycelial growth on the substrate surface and significantly affect the yield if the application rate is inadequate [28,29]. In the first in vivo bioassay of the current study, neither of the two tested S. feltiae populations had an adverse effect on A. bisporus yield. Mushroom production in bioassay 2 showed slight differences among different EPN strains in comparison to control, perhaps due to differences in substrate quality. Similar results were reported by Navaro and Gea [18], who found that the application of 100 IJ cm−2 of S. feltiae against Megaselia halterata (Wood) and L. auripila had no negative impact on mushroom production. The same number of mushrooms was harvested in our experiments in both flushes, both in the untreated control and all EPN treatments, as Navaro and Gea [18] previously observed in their experiments. In contrast, in the current study, the commercial EPN population improved mushroom yield by up to 19%, while the local populations P9 and K2 increased productivity by up to 1 % and 24%, respectively. Likewise, Grewal and Richardson [24] reported that S. feltiae applied at a rate of 300 IJ cm−2 increased the number of mushrooms by 8% and promoted total yield up to 11%. Sheepmaker et al. [33] noted that the application of S. feltiae increased yield in contrast to the insecticide diflubenzuron that was used to control L. auripila. Although Grewal et al. [28] and Rinker et al. [29] reported that EPNs, depending on their application rate, reduced mushroom yield in early flushes, such yield decline is usually compensated in subsequent flushes.
Further research in large-scale mushroom production facilities is needed, as well as testing the compatibility of EPN populations with other biocontrol agents as part of the concept of integrated pest management in mushroom production.
5. Conclusions
The results of the present study support the use of S. feltiae for the control of L. ingenua. Furthermore, the introduced native EPN populations demonstrated a potential for efficient biocontrol of the fungus gnat. Applications of these nematodes could help reduce the dependence on conventional chemical insecticides in mushroom production and improve the sustainability of this industry. The use of ecological inputs for the production of residue-free food contributes to protecting human health, the environment, and non-target organisms. A strategic goal was to strengthen local agriculture’s competitiveness in producing healthy, safe, and high-quality food. Furthermore, the use of low-risk ingredients, such as biopesticides and biocontrol agents, conforms to European Commission Regulation 1107/2009, national policy, and the United Nations Sustainable Development Goals, which promote environmentally sustainable practices to bolster the production and income of small-scale growers.
Author Contributions
Conceptualization, T.D., N.G. and D.M.; methodology, T.D., N.G., I.P. and D.M.; validation, D.M., I.P. and S.M.-M.; formal analyses, T.D., N.G. and D.M.; investigation, T.D., N.G., J.L., N.A., I.P. and L.Š.; interpretation of data: T.D., N.G., J.L., N.A., I.P., S.M.-M., L.Š., A.P. and D.M.; writing—original draft preparation, T.D. and N.G.; writing—review and editing, I.P., S.M.-M., L.Š. and D.M.; revising, I.P., S.M.-M., L.Š., A.P. and D.M.; visualization, J.L., N.A. and A.P.; supervision, D.M., L.Š., T.D. and N.G.; funding acquisition D.M. and I.P. All authors have read and agreed to the published version of the manuscript.
Funding
This research was funded by the Science Fund of the Republic of Serbia: Green Program of Cooperation between Science and Industry #GRANT No. 3/4848 (2023-25) Microbial recipe for edible mushroom production—MICRO-MUSH, and by the Ministry of Science, Technological Development and Innovation of the Republic of Serbia: contract Nos. 451-03-136/2025-03/200214 and 451-03-137/2025-03/200116.
Institutional Review Board Statement
Not applicable.
Informed Consent Statement
Not applicable.
Data Availability Statement
The original contributions presented in this study are included in the article. Further inquiries can be directed to the corresponding author.
Conflicts of Interest
The authors declare no conflicts of interest.
References
- Park, I.K.; Choi, K.S.; Kim, D.H.; Choi, I.H.; Kim, L.S.; Bak, W.C.; Choi, J.W.; Shin, S.C. Fumigant activity of plant essential oils and components from horseradish (Armoracia rusticana), anise (Pimpinella anisum) and garlic (Allium sativum) oils against Lycoriella ingenua (Diptera: Sciaridae). Pest Manag. Sci. 2006, 62, 723–728. [Google Scholar] [CrossRef] [PubMed]
- Erler, F.; Polat, E.; Demir, H.; Catal, M.; Tuna, G. Control of mushroom sciarid fly Lycoriella ingenua populations with insect growth regulators applied by soil drench. J. Econ. Entomol. 2011, 104, 839–844. [Google Scholar] [CrossRef]
- Rinker, D.L. Insect, mite, and nematode pests of commercial mushroom production. In Edible and Medicinal Mushrooms: Technology and Applications, 1st ed.; Zied, D.C., Pardo-Giménez, A., Eds.; John Wiley & Sons Ltd.: Chichester, UK, 2017; pp. 221–237. [Google Scholar] [CrossRef]
- Drobnjaković, T.; Marčić, D.; Potočnik, I.; Rekanović, E.; Prijović, M.; Milijašević-Marčić, S.; Stepanović, M. Control of mushroom sciarid fly Lycoriella inguena (Dufour) with an azadirachtin-based insecticide. Pestic. Phytomed. 2019, 34, 111–121. [Google Scholar] [CrossRef]
- Doroški, A.; Klaus, A.; Režek Jambrak, A.; Djekic, I. Food waste originated material as an alternative substrate used for the cultivation of oyster mushroom (Pleurotus ostreatus): A review. Sustainability 2022, 14, 12509. [Google Scholar] [CrossRef]
- Lewandowski, M.; Sznyk, A.; Bednarek, A. Biology and morphometry of Lycoriella ingenua (Diptera: Sciaridae). Biol. Lett. 2004, 41, 41–50. [Google Scholar]
- Binns, E.S. Field and laboratory observations on the substrates of the mushroom fungus gnat Lycoriella auripila (Diptera: Sciaridae). Ann. Appl. Biol. 1980, 96, 143–152. [Google Scholar] [CrossRef]
- Shamshad, A. The development of integrated pest management for the control of mushroom sciarid flies, Lycoriella ingenua (Dufour) and Bradysia ocellaris (Comstock), in cultivated mushrooms. Pest Manag. Sci. 2010, 66, 1063–1074. [Google Scholar] [CrossRef]
- Kielbasa, R.; Snetsinger, R. Life history of a sciarid fly, Lycoriella mali, and its injury threshold on the commercial mushroom [includes taxonomy]. PSU Bull. 1980, 833, 14. [Google Scholar]
- White, P.F. The effect of sciarid larvae (Lycoriella auripila) on the yield of the cultivated mushroom (Agaricus bisporus). Ann. Appl. Biol. 1986, 109, 11–17. [Google Scholar] [CrossRef]
- Brewer, K.K.; Keil, C.B. Permethrin resistance in Lycoriella mali (Diptera: Sciaridae). J. Econ. Entomol. 1989, 82, 17–21. [Google Scholar] [CrossRef]
- Brewer, K.K.; Keil, C.B. A mixed function oxidase factor contributing to permethrin and dichlorvos resistance in Lycoriella mali (Fitch) Diptera: Sciaridae. Pestic. Sci. 1989, 26, 29–39. [Google Scholar] [CrossRef]
- Bartlett, G.R.; Keil, C.B.O. Identification and characterization of a permethrin resistance mechanism in populations of the fungus gnat Lycoriella mali (Fitch) (Diptera: Sciaridae). Pestic. Biochem. Physiol. 1998, 58, 173–181. [Google Scholar] [CrossRef]
- Scheepmaker, J.W.A.; Geels, F.P.; Smits, P.H.; Van Griensven, L.J.L.D. Control of the mushroom pests Lycoriella auripila (Diptera: Sciaridae) and Megaselia halterata (Diptera: Sciaridae) and Megaselia halterata (Diptera: Phoridae) by Steinernema feltiae (Nematoda: Steinernematidae) in field experiments. Ann. Appl. Biol. 1997, 131, 359–368. [Google Scholar] [CrossRef]
- Smith, J.E. Dimilin resistance in mushroom sciarids. Mushroom J. 2002, 656, 15. [Google Scholar]
- EC (European Commission). EU Pesticide Database—Active Substances, Safeners and Synergists. Available online: https://ec.europa.eu/food/plant/pesticides/eu-pesticides-database/start/screen/active-substances (accessed on 20 September 2024).
- Team of Editors. Pesticides in Agriculture and Forestry in Serbia, 22nd ed.; Plant Protection Society of Serbia: Belgrade, Serbia, 2024. (In Serbian) [Google Scholar]
- Navarro, M.J.; Gea, F.J. Entomopathogenic nematodes for the control of phorid and sciarid flies in mushroom crops. Pesqui. Agropecu. Bras. 2014, 49, 11–17. [Google Scholar] [CrossRef]
- United Nations Sustainable Development Goals (UN SDGs). Available online: https://www.google.com/url?sa=t&source=web&rct=j&opi=89978449&url=https://www.un.org/sustainabledevelopment/wp-content/uploads/2019/01/SDG_Guidelines_AUG_2019_Final.pdf&ved=2ahUKEwiV1OOS8eCLAxW7UMMIHZ-zLnoQFnoECBIQAQ&usg=AOvVaw0KEB_8CHsPLDf_-O85r1rc (accessed on 7 June 2024).
- Ehlers, R.-U. Forum on safety and regulations. In Nematodes as Biocontrol Agents; Grewal, P.S., Ehlers, R.-U., Shapiro-Ilan, D.I., Eds.; CABI Publishing: Wallingford, UK, 2005; pp. 107–114. [Google Scholar] [CrossRef]
- Jess, S.; Schweizer, H.; Kilpatrick, M. Mushroom applications. In Nematodes as Biocontrol Agents; Grewal, P.S., Ehlers, R.-U., Shapiro-Ilan, D.I., Eds.; CABI Publishing: Wallingford, UK, 2005; pp. 191–213. [Google Scholar] [CrossRef]
- Jess, S.; Schweizer, H. Biological control of Lycoriella ingenue (Diptera: Sciaridae) in commercial mushroom (Agaricus bisporus) cultivation: A comparison between Hypoaspis miles and Steinernema feltiae. Pest Manag. Sci. 2009, 65, 1195–1200. [Google Scholar] [CrossRef] [PubMed]
- Matuska-Łyźwa, J.; Duda, S.; Dominika Nowak, D.; Kaca, W. Impact of abiotic and biotic environmental conditions on the development and infectivity of entomopathogenic nematodes in agricultural soils (review). Insects 2024, 15, 421. [Google Scholar] [CrossRef]
- Grewal, P.S.; Richardson, P.N. Effects of application rates of Steinernema feltiae (Nematoda: Steinernematidae) on biological control of the mushroom fly Lycoriella auripila (Diptera: Sciaridae). Biocontrol Sci. Technol. 1993, 3, 29–40. [Google Scholar] [CrossRef]
- Gouge, D.H.; Hague, N.G.M. The susceptibility of different species of sciarid flies to entomopathogenic nematodes. J. Helminthol. 1995, 69, 313–318. [Google Scholar] [CrossRef]
- Hay, D.B.; Fenlon, J.S. A modified binomial model that describes the infection dynamics of the entomopathogenic nematode Steinernema feltiae (Steinernematidae; Nematoda). Parasitology 1995, 111, 627–633. [Google Scholar] [CrossRef]
- Tomalak, M. Selective breeding of Steinernema feltiae (Filipjev) (Nematoda: Steinernematidae) for improved efficacy in control of a mushroom fly, Lycoriella solani Winnertz (Diptera: Sciaridae). Biocontrol Sci. Technol. 1994, 4, 187–198. [Google Scholar] [CrossRef]
- Grewal, P.S.; Richardson, I.P.N.; Collins, G.; Edmonson, R.N. Comparative effects of Steinernema feltiae (Nematoda: Steinernematidae) and insecticides on yield and cropping of the mushroom Agaricus bisporus. Ann. Appl. Biol. 1992, 121, 511–520. [Google Scholar] [CrossRef]
- Rinker, D.L.; Olthof, T.H.A.; Dano, J.; Alm, G. Effects of Entomopathogenic Nematodes on Control of a Mushroom-infesting Sciarid Fly and on Mushroom Production. Biocontrol Sci. Technol. 1995, 5, 109–120. [Google Scholar] [CrossRef]
- Hay, D.B.; Richardson, P.N. Inter- and intraspecific variation in infectivity of Steinernema spp. to larvae of the mushroom fly Lycoriella solani. Entomol. Exp. Appl. 1995, 77, 11–15. [Google Scholar] [CrossRef]
- Olthof, T.H.A.; Rinker, D.L.; Dano, J. The effect of entomophilic nematodes on a sciarid fly, Lycoriella mali, and on growth and yield of mushrooms, Agaricus bisporus. J. Nematol. 1991, 23, 543. [Google Scholar]
- Grewal, P.S.; Tomalak, M.; Keil, C.B.O.; Gaugler, R. Evaluation of a genetically selected strain of Steinernema feltiae against the mushroom sciarid Lycoriella mali. Ann. Appl. Biol. 1993, 123, 695–702. [Google Scholar] [CrossRef]
- Scheepmaker, J.W.A.; Geels, F.P.; Rutjens, A.J.; Smits, P.H.; Van Griensven, L.J.L.D. Comparison of the efficacy of entomopathogenic nematodes for the biological control of the mushroom pests Lycoriella auripila (Sciaridae) and Megaselia halterata (Phoridae). Biocontrol Sci. Technol. 1998, 8, 277–287. [Google Scholar] [CrossRef]
- Katumanyane, A. Prospects for Using Entomopathogenic Nematodes as a Biocontrol Agent Against Fungus Gnats, Bradysia spp. (Diptera: Sciaridae) in Nursery and Glass House Crops. Masters Thesis, Stellenbosch University, Stellenbosch, South Africa, 2017; pp. 1–122. [Google Scholar]
- Ma, J.; Chen, S.; Moens, M.; Han, R.; De Clercq, P. Efficacy of entomopathogenic nematodes (Rhabditida: Steinernematidae and Heterorhabditidae) against the chive gnat, Bradysia odoriphaga. J. Pest Sci. 2013, 86, 551–561. [Google Scholar] [CrossRef]
- Katumanyane, A.; Ferreira, T.; Malan, A.P. Greenhouse application of Steinernema yirgalemense to control fungus gnats, Bradysia impatiens. BioControl 2018, 63, 729–738. [Google Scholar] [CrossRef]
- Katumanyane, A.; Ferreira, T.; Malan, A.P. Potential use of local entomopathogenic nematodes to control Bradysia impatiens (Diptera: Sciaridae) under laboratory conditions. Afr. Entomol. 2018, 26, 350–358. [Google Scholar] [CrossRef]
- Chen, C.; Ma, H.; Ma, M.; Li, J.; Zheng, S.; Song, Q.; Gu, X.; Shapiro-Ilan, D.; Ruan, W. An innovative strategy for control of fungus gnats using entomopathogenic nematodes alone or in combination with waterlogging. J. Nematol. 2021, 52, e2020-57. [Google Scholar] [CrossRef] [PubMed]
- Grujić, N.; Lozančić, S.; Nježić, B. Preliminary survey of entomopathogenic nematodes in Serbia. In Proceedings of the IX International Scientific Agricultural Symposium “Agrosym 2018”, Jahorina, Bosnia and Herzegovina, 4–7 October 2018; p. 658. [Google Scholar]
- Grujić, N.; Lozančić, S.; Paunović, D.; Nježić, B. Morphological and molecular characterisation of Steinernema feltiae population from Belgrade. In Proceedings of the VIII Congress on Plant Protecion, Zlatibor, Serbia, 25–29 November 2019; pp. 176–177. [Google Scholar]
- Grujić, N.; Tepić, S.; Živković, A.; Vasić, M.; Nježić, B. Novi nalazi entomopatogenih nematoda u Srbiji i Republici Srpskoj. Zbornik rezimea radova XIV Simpozijum o zaštiti bilja. New findings of entomopathogenic nematodes in Serbia and Republic of Serpska. In Proceedings of the XIV Symposium on Plant Protection, Zlatibor, Serbia, 22–25 November 2021; p. 64. (In Serbian). [Google Scholar]
- Grujić, N.; Nježić, B. Patogenost nekih vrsta entomopatogenih nematoda prema Phthorimaea operculella (Gelechiidae: Lepidoptera). Zbornik rezimea radova XV Savetovanje o zaštiti bilja. Pathogenicity of some species of entomopathogenic nematodes to Phthorimaea operculella (Gelechiidae: Lepidoptera). In Proceedings of the XV Conference on Plant Protection, Zlatibor, Serbia, 22–25 February 2021; p. 50. (In Serbian). [Google Scholar]
- Grujić, N.; Popović, A.; Galac, M.; Drobnjaković, T.; Nježić, B.; Tarasco, E. Pathogenicity of entomopathogenic nematodes to Phthorimaea operculella (Zeller) (Lepidoptera, Gelechideae). In Proceedings of the IX Congress on Plant Protecion, Zlatibor, Serbia, 25–28 November 2024; p. 92. [Google Scholar]
- Wiesner, A.; Gotz, P. Silica beads induce cellular and humoral immune responses in Galleria mellonella larvae and in isolated plasmatocytes, obtained by a newly adapted nylon wool separation method. J. Insect Physiol. 1993, 39, 865–876. [Google Scholar] [CrossRef]
- White, G.F. A method for obtaining infective nematode larvae from cultures. Science 1927, 66, 302–303. [Google Scholar] [CrossRef]
- Richardson, P.N. Susceptibility of mushroom pests to the insect-parasitic nematodes Steinernema feltiae and Heterorhabditis heliothidis. Ann. Appl. Biol. 1987, 111, 433–438. [Google Scholar] [CrossRef]
- Nickle, W.R.; Cantelo, W.W. Control of a Mushroom-infesting Fly, Lycoriella mali, with Steinernema feltiae. J. Nemtatol. 1991, 23, 145–147. [Google Scholar] [CrossRef]
- Grujić, N.; Drobnjaković, T.; Andjelković, N.; Luković, J.; Milijašević-Marčić, S.; Šantrić, L.; Potočnik, I.; Marčić, D. Potential of different strains of Steinernema feltiae (Filipjev) to control Lycoriella ingenue (Dufour) and impact on mushroom yield. In Proceedings of the 35th Symposium of the European Society of Nematologists, Cordoba, Spain, 15–19 April 2024; p. 258. [Google Scholar]
- Keil, C.B. Arthropod pests. In Mushroom Integrated Pest Management; Penn State University: State College, PA, USA, 2002; pp. 47–51. [Google Scholar]
- Tomalak, M.; Lipa, J.J. Factors affecting entomophilic activity of Neoaplectana feltiae in mushroom compost. Entomol. Exp. Appl. 1991, 59, 105–110. [Google Scholar] [CrossRef]
- Menzel, F.; Mohrig, W. Revision der paläarktischen Trauermücken (Diptera: Sciaridae) A revision of the Palaearctic black fungus gnats (Diptera: Sciaridae). In Studia Dipterologica—Suppl.6; Ampyx-Verlag: Halle, Germany, 1999; pp. 1–761. (In German) [Google Scholar]
- Abbott, W.S. A method of computing the effectiveness of an insecticide. J. Econ. Entomol. 1925, 18, 265–267. [Google Scholar] [CrossRef]
- Gea, F.J.; Navarro, M.J.; Tello, J.C. Reduced sensitivity of the mushroom pathogen Verticillium fungicola to prochloraz-manganese in vitro. Mycol. Res. 2005, 109, 741–745. [Google Scholar] [CrossRef]
- Chrysay-Tokousbalides, M.; Kastanias, M.A.; Philippoussis, A.; Diamantopoulou, P. Selective fungitoxicity of famaxadone, tebuconazole and trifloxystrobin between Verticillium fungicola and Agaricus bisporus. Crop Prot. 2007, 26, 469–475. [Google Scholar] [CrossRef]
- Reeb, J.E.; Milota, M.R. Moisture content by the oven-dry method for industrial testing. In Proceedings of the 50th Annual Dubois Meeting of the Western Dry Kiln Association, Portland, OR, USA, May 1999; pp. 66–74. Available online: https://ir.library.oregonstate.edu/concern/conference_proceedings_or_journals/fq977v782 (accessed on 10 July 2024).
- Finney, D.J. Probit Analysis, 2nd ed.; Cambridge University Press: Cambridge, UK, 1971; pp. 1–333. [Google Scholar]
- Robertson, J.L.; Jones, M.M.; Olguin, E.; Alberts, B. Bioassays with Arthropods, 3rd ed.; CRC Press: Boca Raton, FL, USA; Taylor & Francis Group: Boca Raton, FL, USA, 2017; p. 212. [Google Scholar] [CrossRef]
- StatSoft Inc. STATISTICA (Data Analysis Software System), Version 7. Available online: https://www.statsoft.de/en/data-science-applications/tibco-statistica/ (accessed on 12 September 2024).
- Grewal, P.S.; Peters, A. Formulation and Quality. In Nematodes as Biocontrol Agents; Grewal, P.S., Ehlers, R.-U., Shapiro-Ilan, D.I., Eds.; CABI Publishing: Wallingford, UK, 2005; pp. 79–90. [Google Scholar] [CrossRef]
- Shamshad, A.; Clift, A.D.; Mansfield, S. Toxicity of six commercially formulated insecticides and biopesticides to third instar larvae of mushroom sciarid, Lycoriella ingenua Dufour (Diptera: Sciaridae), in New South Wales, Australia. Austral. J. Entomol. 2008, 47, 256–260. [Google Scholar] [CrossRef]
- Jess, S.; Kilpatrick, M. An integrated approach to the control of Lycoriella solani (Diptera:Sciaridae) during production of the cultivated mushroom (Agaricus bisporus). Pest Manag. Sci. 2000, 56, 477–485. [Google Scholar] [CrossRef]
- Jess, S.; Bingham, J.F.W. Biological control of sciarid and phorid pests of mushroom with predatory mites from the genus Hypoaspis (Acari: Hypoaspidae) and the entomopathogenic nematode Steinernema feltiae. Bull. Entomol. Res. 2004, 94, 159–167. [Google Scholar] [CrossRef]
- Navarro, M.J.; Carrasco, J.; Gea, F. Chemical and Biological Control of Diptera in Spanish Mushroom Crops. In Proceedings of the 8th International Conference on Mushroom Biology and Mushroom Products (ICMBMP8), New Delhi, India, 19–22 November 2014; pp. 549–556. [Google Scholar]
- Shapiro-Ilan, D.I.; Brown, I.; Lewis, E.E. Freezing and desiccation tolerance in entomopathogenic nematodes: Diversity and correlation of traits. J. Nematol. 2014, 46, 27–34. [Google Scholar] [PubMed]
Disclaimer/Publisher’s Note: The statements, opinions and data contained in all publications are solely those of the individual author(s) and contributor(s) and not of MDPI and/or the editor(s). MDPI and/or the editor(s) disclaim responsibility for any injury to people or property resulting from any ideas, methods, instructions or products referred to in the content. |
© 2025 by the authors. Licensee MDPI, Basel, Switzerland. This article is an open access article distributed under the terms and conditions of the Creative Commons Attribution (CC BY) license (https://creativecommons.org/licenses/by/4.0/).