Optimal Drought Index Selection for Soil Moisture Monitoring at Multiple Depths in China’s Agricultural Regions
Abstract
1. Introduction
2. Materials and Methods
2.1. Study Area
2.2. Data
2.2.1. Land Cover Type Data
2.2.2. Site-Based Soil Moisture Data
2.2.3. Remote Sensing Data for Drought Indices Calculation
2.2.4. SPEI Data
2.3. Methods
2.3.1. Drought Indices Calculation
- (1)
- PDI
- (2)
- MPDI
- (3)
- TCI
- (4)
- VCI
- (5)
- VHI
- (6)
- TVDI
- (7)
- NVSWI
2.3.2. Time Series Correlation Analysis at the Pixel Level
3. Results
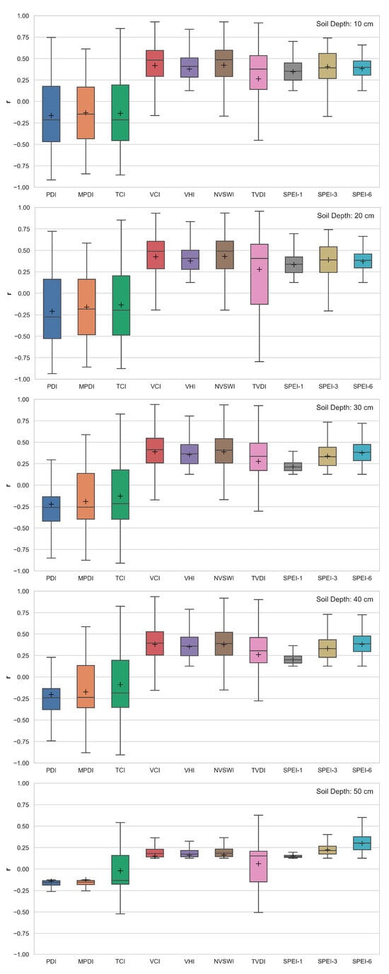
3.1. Spatial Performance of Different Drought Indices on Capturing Soil Moisture at a Soil Depth of 10 cm

3.2. Spatial Performance of Different Drought Indices on Capturing Soil Moisture at a Soil Depth of 20 cm

3.3. Spatial Performance of Different Drought Indices on Capturing Soil Moisture at a Soil Depth of 30 cm

3.4. Spatial Performance of Different Drought Indices on Capturing Soil Moisture at a Soil Depth of 40 cm

3.5. Spatial Performance of Different Drought Indices on Capturing Soil Moisture at a Soil Depth of 50 cm

3.6. Overall Performance of Different Drought Indices on Capturing Soil Moisture at Soil Depths of 10–50 cm
4. Discussion
4.1. Causes of Abnormal Performance of TCI and TVDI Indices
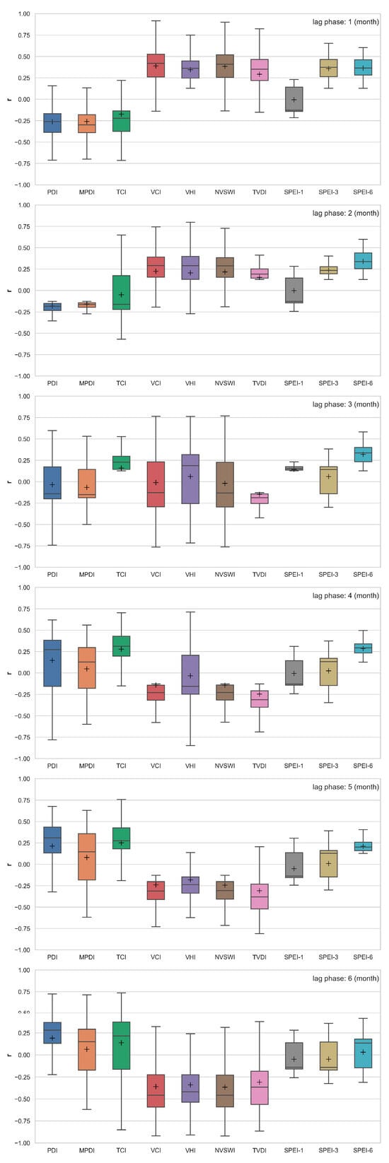
4.2. The Time Lag Effect of Drought Indices on Soil Moisture Monitoring
4.3. The Time Cumulative Effect of Drought Indices on Soil Moisture Monitoring
4.4. Limitations and Prospects
5. Conclusions
Author Contributions
Funding
Institutional Review Board Statement
Data Availability Statement
Conflicts of Interest
References
- Mishra, A.K.; Singh, V.P. A Review of Drought Concepts. J. Hydrol. 2010, 391, 202–216. [Google Scholar] [CrossRef]
- Intergovernmental Panel on Climate Change (IPCC). Synthesis Report of the IPCC Sixth Assessment Report; IPCC: Geneva, Switzerland, 2022; Available online: https://www.interacademies.org/news/synthesis-report-ipcc-sixth-assessment-report (accessed on 1 October 2023).
- Wu, B.; Ma, Z.; Yan, N. Agricultural Drought Mitigating Indices Derived from the Changes in Drought Characteristics. Remote Sens. Environ. 2020, 244, 111813. [Google Scholar] [CrossRef]
- United Nations Convention to Combat Desertification. Drought in Numbers 2022. 2023. Available online: https://www.unccd.int/sites/default/files/2022-05/Drought_in_Numbers_%28English%29.pdf (accessed on 1 October 2023).
- Food and Agriculture Organization of the United Nations. TheState of Food Security and Nutrition in the World 2021. 2021. Available online: https://www.who.int/publications/m/item/the-state-of-food-security-and-nutrition-in-the-world-2021 (accessed on 1 October 2023).
- Biao, X.; Xi-Ping, D.; Xiangliang, P. Critical Review of Agricultural Science in China. Outlook Agric. 2003, 32, 149–154. [Google Scholar] [CrossRef]
- Leng, G.; Hall, J. Crop yield sensitivity of global major agricultural countries to droughts and the projected changes in the future. Sci. Total Environ. 2019, 654, 811–821. [Google Scholar] [CrossRef] [PubMed]
- Man, J.; Shi, Y.; Yu, Z.; Zhang, Y. Root growth, soil water variation, and grain yield response of winter wheat to supplemental irrigation. Plant Prod. Sci. 2016, 19, 193–205. [Google Scholar] [CrossRef]
- Li, Q.; Shi, G.; Shangguan, W.; Nourani, V.; Li, J.; Li, L.; Huang, F.; Zhang, Y.; Wang, C.; Wang, D.; et al. A 1 Km Daily Soil Moisture Dataset over China Using in Situ Measurement and Machine Learning. Earth Syst. Sci. Data 2022, 14, 5267–5286. [Google Scholar] [CrossRef]
- West, H.; Quinn, N.; Horswell, M. Remote Sensing for Drought Monitoring & Impact Assessment: Progress, Past Challenges and Future Opportunities. Remote Sens. Environ. 2019, 232, 111291. [Google Scholar] [CrossRef]
- Tian, L.; Yuan, S.; Quiring, S.M. Evaluation of Six Indices for Monitoring Agricultural Drought in the South-Central United States. Agric. For. Meteorol. 2018, 249, 107–119. [Google Scholar] [CrossRef]
- Liu, X.; Zhu, X.; Pan, Y.; Li, S.; Liu, Y.; Ma, Y. Agricultural Drought Monitoring: Progress, Challenges, and Prospects. J. Geogr. Sci. 2016, 26, 750–767. [Google Scholar] [CrossRef]
- Cao, M.; Chen, M.; Liu, J.; Liu, Y. Assessing the Performance of Satellite Soil Moisture on Agricultural Drought Monitoring in the North China Plain. Agric. Water Manag. 2022, 263, 107450. [Google Scholar] [CrossRef]
- Ghulam, A.; Qin, Q.; Zhan, Z. Designing of the Perpendicular Drought Index. Environ. Geol. 2007, 52, 1045–1052. [Google Scholar] [CrossRef]
- Ghulam, A.; Qin, Q.; Teyip, T.; Li, Z.-L. Modified Perpendicular Drought Index (MPDI): A Real-Time Drought Monitoring Method. ISPRS J. Photogramm. Remote Sens. 2007, 62, 150–164. [Google Scholar] [CrossRef]
- Kogan, F.N. Remote Sensing of Weather Impacts on Vegetation in Non-Homogeneous Areas. Int. J. Remote Sens. 1990, 11, 1405–1419. [Google Scholar] [CrossRef]
- Kogan, F.N. Global Drought Watch from Space. Bull. Am. Meteorol. Soc. 1997, 78, 621–636. [Google Scholar] [CrossRef]
- Bento, V.A.; Gouveia, C.M.; DaCamara, C.C.; Trigo, I.F. A Climatological Assessment of Drought Impact on Vegetation Health Index. Agric. For. Meteorol. 2018, 259, 286–295. [Google Scholar] [CrossRef]
- Abbas, S.; Nichol, J.; Qamer, F.; Xu, J. Characterization of Drought Development through Remote Sensing: A Case Study in Central Yunnan, China. Remote Sens. 2014, 6, 4998–5018. [Google Scholar] [CrossRef]
- Tian, F.; Wu, J.; Liu, L.; Leng, S.; Yang, J.; Zhao, W.; Shen, Q. Exceptional Drought across Southeastern Australia Caused by Extreme Lack of Precipitation and Its Impacts on NDVI and SIF in 2018. Remote Sens. 2019, 12, 54. [Google Scholar] [CrossRef]
- Zhang, L.; Jiao, W.; Zhang, H.; Huang, C.; Tong, Q. Studying Drought Phenomena in the Continental United States in 2011 and 2012 Using Various Drought Indices. Remote Sens. Environ. 2017, 190, 96–106. [Google Scholar] [CrossRef]
- Liu, Q.; Zhang, J.; Zhang, H.; Yao, F.; Bai, Y.; Zhang, S.; Meng, X.; Liu, Q. Evaluating the Performance of Eight Drought Indices for Capturing Soil Moisture Dynamics in Various Vegetation Regions over China. Sci. Total Environ. 2021, 789, 147803. [Google Scholar] [CrossRef]
- Babaeian, E.; Sadeghi, M.; Jones, S.B.; Montzka, C.; Vereecken, H.; Tuller, M. Ground, Proximal, and Satellite Remote Sensing of Soil Moisture. Rev. Geophys. 2019, 57, 530–616. [Google Scholar] [CrossRef]
- Li, X.; Xu, X.; Liu, W.; He, L.; Zhang, R.; Xu, C.; Wang, K. Similarity of the Temporal Pattern of Soil Moisture across Soil Profile in Karst Catchments of Southwestern China. J. Hydrol. 2017, 555, 659–669. [Google Scholar] [CrossRef]
- Yao, P.; Fan, H.; Wu, Q.; Ouyang, J.; Li, K. Compound Impact of COVID-19, Economy and Climate on the Spatial Distribution of Global Agriculture and Food Security. Sci. Total Environ. 2023, 880, 163105. [Google Scholar] [CrossRef] [PubMed]
- Shah, W.U.H.; Lu, Y.; Liu, J.; Rehman, A.; Yasmeen, R. The Impact of Climate Change and Production Technology Heterogeneity on China’s Agricultural Total Factor Productivity and Production Efficiency. Sci. Total Environ. 2024, 907, 168027. [Google Scholar] [CrossRef] [PubMed]
- Shahabfar, A.; Eitzinger, J. Agricultural Drought Monitoring in Semi-Arid and Arid Areas Using MODIS Data. J. Agric. Sci. 2011, 149, 403–414. [Google Scholar] [CrossRef]
- Yue, H.; Liu, Y.; Qian, J. Comparative Assessment of Drought Monitoring Index Susceptibility Using Geospatial Techniques. Environ. Sci. Pollut. R. 2021, 28, 38880–38900. [Google Scholar] [CrossRef] [PubMed]
- Shahabfar, A.; Ghulam, A.; Eitzinger, J. Drought Monitoring in Iran Using the Perpendicular Drought Indices. Int. J. Appl. Earth Obs. Geoinf. 2012, 18, 119–127. [Google Scholar] [CrossRef]
- Zormand, S.; Jafari, R.; Koupaei, S.S. Assessment of PDI, MPDI and TVDI Drought Indices Derived from MODIS Aqua/Terra Level 1B Data in Natural Lands. Nat. Hazards 2017, 86, 757–777. [Google Scholar] [CrossRef]
- Bokusheva, R.; Kogan, F.; Vitkovskaya, I.; Conradt, S.; Batyrbayeva, M. Satellite-Based Vegetation Health Indices as a Criteria for Insuring against Drought-Related Yield Losses. Agric. For. Meteorol. 2016, 220, 200–206. [Google Scholar] [CrossRef]
- Quiring, S.M.; Ganesh, S. Evaluating the Utility of the Vegetation Condition Index (VCI) for Monitoring Meteorological Drought in Texas. Agric. For. Meteorol. 2010, 150, 330–339. [Google Scholar] [CrossRef]
- Baniya, B.; Tang, Q.; Xu, X.; Haile, G.; Chhipi-Shrestha, G. Spatial and Temporal Variation of Drought Based on Satellite Derived Vegetation Condition Index in Nepal from 1982–2015. Sensors 2019, 19, 430. [Google Scholar] [CrossRef]
- Bhuiyan, C.; Singh, R.P.; Kogan, F.N. Monitoring Drought Dynamics in the Aravalli Region (India) Using Different Indices Based on Ground and Remote Sensing Data. Int. J. Appl. Earth Obs. Geoinf. 2006, 8, 289–302. [Google Scholar] [CrossRef]
- Javed, T.; Li, Y.; Rashid, S.; Li, F.; Hu, Q.; Feng, H.; Chen, X.; Ahmad, S.; Liu, F.; Pulatov, B. Performance and Relationship of Four Different Agricultural Drought Indices for Drought Monitoring in China’s Mainland Using Remote Sensing Data. Sci. Total Environ. 2021, 759, 143530. [Google Scholar] [CrossRef] [PubMed]
- Pei, F.; Wu, C.; Liu, X.; Li, X.; Yang, K.; Zhou, Y.; Wang, K.; Xu, L.; Xia, G. Monitoring the vegetation activity in China using vegetation health indices. Agric. For. Meteorol. 2018, 248, 215–227. [Google Scholar] [CrossRef]
- Sandholt, I.; Rasmussen, K.; Andersen, J. A Simple Interpretation of the Surface Temperature/Vegetation Index Space for Assessment of Surface Moisture Status. Remote Sens. Environ. 2002, 79, 213–224. [Google Scholar] [CrossRef]
- Bian, Z.; Roujean, J.L.; Fan, T.; Dong, Y.; Hu, T.; Cao, B.; Li, H.; Du, Y.; Xiao, Q.; Liu, Q. An Angular Normalization Method for Temperature Vegetation Dryness Index (TVDI) in Monitoring Agricultural Drought. Remote Sens. Environ. 2023, 284, 113330. [Google Scholar] [CrossRef]
- Wang, C.; Qi, S.; Niu, Z.; Wang, J. Evaluating soil moisture status in China using the temperature–vegetation dryness index (TVDI). Can. J. Remote Sens. 2004, 30, 671–679. [Google Scholar] [CrossRef]
- Nigatu, Z.M.; Fan, D.; You, W.; Melesse, A.M.; Pu, L.; Yang, X.; Wan, X.; Jiang, Z. Crop Production Response to Soil Moisture and Groundwater Depletion in the Nile Basin Based on Multi-Source Data. Sci. Total Environ. 2022, 825, 154007. [Google Scholar] [CrossRef] [PubMed]
- Cong, D.; Zhao, S.; Chen, C.; Duan, Z. Characterization of Droughts during 2001–2014 Based on Remote Sensing: A Case Study of Northeast China. Ecol. Inform. 2017, 39, 56–67. [Google Scholar] [CrossRef]
- Lawal, S.; Hewitson, B.; Egbebiyi, T.S.; Adesuyi, A. On the Suitability of Using Vegetation Indices to Monitor the Response of Africa’s Terrestrial Ecoregions to Drought. Sci. Total Environ. 2021, 792, 148282. [Google Scholar] [CrossRef] [PubMed]
- Cunha, A.P.M.; Alvalá, R.C.; Nobre, C.A.; Carvalho, M.A. Monitoring Vegetative Drought Dynamics in the Brazilian Semiarid Region. Agric. For. Meteorol. 2015, 214–215, 494–505. [Google Scholar] [CrossRef]
- Cao, B.; Liu, Q.; Du, Y.; Roujean, J.-L.; Gastellu-Etchegorry, J.-P.; Trigo, I.F.; Zhan, W.; Yu, Y.; Cheng, J.; Jacob, F.; et al. A Review of Earth Surface Thermal Radiation Directionality Observing and Modeling: Historical Development, Current Status and Perspectives. Remote Sens. Environ. 2019, 232, 111304. [Google Scholar] [CrossRef]
- Vicente-Serrano, S.M.; Peña-Angulo, D.; Murphy, C.; López-Moreno, J.I.; Tomas-Burguera, M.; Domínguez-Castro, F.; Tian, F.; Eklundh, L.; Cai, Z.; Alvarez-Farizo, B.; et al. The Complex Multi-Sectoral Impacts of Drought: Evidence from a Mountainous Basin in the Central Spanish Pyrenees. Sci. Total Environ. 2021, 769, 144702. [Google Scholar] [CrossRef]
- Shi, X.; Chen, F.; Shi, M.; Ding, H.; Li, Y. Construction and Application of Optimized Comprehensive Drought Index Based on Lag Time: A Case Study in the Middle Reaches of Yellow River Basin, China. Sci. Total Environ. 2023, 857, 159692. [Google Scholar] [CrossRef] [PubMed]
- Peng, J.; Wu, C.; Zhang, X.; Wang, X.; Gonsamo, A. Satellite Detection of Cumulative and Lagged Effects of Drought on Autumn Leaf Senescence over the Northern Hemisphere. Glob. Change Biol. 2019, 25, 2174–2188. [Google Scholar] [CrossRef] [PubMed]
- Zhang, Z.; Ju, W.; Zhou, Y.; Li, X. Revisiting the Cumulative Effects of Drought on Global Gross Primary Productivity Based on New Long-term Series Data (1982–2018). Glob. Change Biol. 2022, 28, 3620–3635. [Google Scholar] [CrossRef] [PubMed]
- Liu, L.; Gudmundsson, L.; Hauser, M.; Qin, D.; Li, S.; Seneviratne, S.I. Soil Moisture Dominates Dryness Stress on Ecosystem Production Globally. Nat. Commun. 2020, 11, 4892. [Google Scholar] [CrossRef]
- Tian, Y.; Xu, Y.-P.; Wang, G. Agricultural Drought Prediction Using Climate Indices Based on Support Vector Regression in Xiangjiang River Basin. Sci. Total Environ. 2018, 622–623, 710–720. [Google Scholar] [CrossRef]
- Vicente-Serrano, S.M.; Beguería, S.; López-Moreno, J.I. A Multiscalar Drought Index Sensitive to Global Warming: The Standardized Precipitation Evapotranspiration Index. J. Clim. 2010, 23, 1696–1718. [Google Scholar] [CrossRef]
- Seneviratne, S.I.; Corti, T.; Davin, E.L.; Hirschi, M.; Jaeger, E.B.; Lehner, I.; Orlowsky, B.; Teuling, A.J. Investigating soil moisture–climate interactions in a changing climate: A review. Earth-Sci. Rev. 2010, 99, 125–161. [Google Scholar] [CrossRef]
- Zhou, K.; Li, J.; Zhang, T.; Kang, A. The Use of Combined Soil Moisture Data to Characterize Agricultural Drought Conditions and the Relationship among Different Drought Types in China. Agric. Water Manag. 2021, 243, 106479. [Google Scholar] [CrossRef]
- Li, Z.-L.; Leng, P.; Zhou, C.; Chen, K.-S.; Zhou, F.-C.; Shang, G.-F. Soil Moisture Retrieval from Remote Sensing Measurements: Current Knowledge and Directions for the Future. Earth Sci. Rev. 2021, 218, 103673. [Google Scholar] [CrossRef]
- Van Loon, A.F. Hydrological Drought Explained. WIREs Water 2015, 2, 359–392. [Google Scholar] [CrossRef]
- Zhu, Y.; Liu, Y.; Wang, W.; Singh, V.P.; Ren, L. A Global Perspective on the Probability of Propagation of Drought: From Meteorological to Soil Moisture. J. Hydrol. 2021, 603, 126907. [Google Scholar] [CrossRef]
- Yao, P.; Lu, H.; Shi, J.; Zhao, T.; Yang, K.; Cosh, M.H.; Gianotti, D.J.S.; Entekhabi, D. A Long Term Global Daily Soil Moisture Dataset Derived from AMSR-E and AMSR2 (2002–2019). Sci. Data 2021, 8, 143. [Google Scholar] [CrossRef] [PubMed]




Disclaimer/Publisher’s Note: The statements, opinions and data contained in all publications are solely those of the individual author(s) and contributor(s) and not of MDPI and/or the editor(s). MDPI and/or the editor(s) disclaim responsibility for any injury to people or property resulting from any ideas, methods, instructions or products referred to in the content. |
© 2025 by the authors. Licensee MDPI, Basel, Switzerland. This article is an open access article distributed under the terms and conditions of the Creative Commons Attribution (CC BY) license (https://creativecommons.org/licenses/by/4.0/).
Share and Cite
Yao, P.; Fan, H.; Wu, Q. Optimal Drought Index Selection for Soil Moisture Monitoring at Multiple Depths in China’s Agricultural Regions. Agriculture 2025, 15, 423. https://doi.org/10.3390/agriculture15040423
Yao P, Fan H, Wu Q. Optimal Drought Index Selection for Soil Moisture Monitoring at Multiple Depths in China’s Agricultural Regions. Agriculture. 2025; 15(4):423. https://doi.org/10.3390/agriculture15040423
Chicago/Turabian StyleYao, Peiwen, Hong Fan, and Qilong Wu. 2025. "Optimal Drought Index Selection for Soil Moisture Monitoring at Multiple Depths in China’s Agricultural Regions" Agriculture 15, no. 4: 423. https://doi.org/10.3390/agriculture15040423
APA StyleYao, P., Fan, H., & Wu, Q. (2025). Optimal Drought Index Selection for Soil Moisture Monitoring at Multiple Depths in China’s Agricultural Regions. Agriculture, 15(4), 423. https://doi.org/10.3390/agriculture15040423

