Abstract
Apple scab poses a significant threat to wild apple orchards in the Ili region of Xinjiang, yet the pathogen responsible and its disease dynamics remain poorly understood. This study aimed to identify the causal agent of apple scab in wild apples and elucidate its disease development pattern to support effective monitoring and control strategies. Field surveys were conducted regularly from 2023 to 2025 in fixed plots and sample trees of Malus sieversii. A total of 29 isolates were obtained from diseased fruits collected in Xinyuan and Huocheng counties using tissue isolation and single-spore purification. Pathogenicity was confirmed via Koch’s postulates, and the pathogen was identified based on morphological and molecular characteristics. Scab symptoms first appeared on leaves in late April (during leaf expansion, disease index 0.34) and on fruits in early June (during fruit enlargement, disease index 0.57). The disease index peaked in late August (47.24 on leaves; 22.51 on fruits), followed by fruit drop at month-end and leaf abscission in late September. The pathogen overwintered mainly in remaining or fallen diseased leaves (isolation rate 17.71%), serving as the primary source of initial infection in the following growing season. The pathogen causing apple scab in Xinjiang wild apple orchards was identified as Venturia inaequalis. Overwintered infected leaves were confirmed as the key primary inoculum source. These findings clarify the taxonomic identity of the pathogen and its epidemic pattern, providing a theoretical basis for disease management.
1. Introduction
Malus sieversii (wild apple) is a Tertiary relict species and the foundation species of Tertiary relict broad-leaved forests in the arid zone of Central Asia [1]. Its distribution is confined to the Tianshan Mountains, with its presence in China limited to counties including Xinyuan, Huocheng, and Gongliu within the Ili region of Xinjiang Uygur Autonomous Region, as well as the Tacheng Prefecture [2,3,4]. Malus sieversii possesses rich genetic diversity, and enhancing its conservation and utilization is crucial for expanding the genetic diversity of cultivated apples [5,6,7,8]. However, diseases, primarily Apple Scab caused by Venturia inaequalis, are becoming increasingly prevalent in the main distribution areas of wild apple, severely impacting its healthy growth. Globally, Venturia inaequalis (Cooke) Wint. is the primary pathogen reported for Apple Scab [9,10]. Existing records indicate that Elias Fries in Switzerland first identified and named the apple scab fungus in 1819, describing its typical symptoms on apple trees [11]. In China, Apple Scab occurs mainly in the Northeast, the Weibei dry plateau, the Ili region of Xinjiang, and southwestern cool production areas [12,13]. Yuan F et al. first published research findings on Apple Scab in China in 1965 [14]. X. Hu et al. identified Venturia inaequalis as the pathogen in major occurrence areas of Shaanxi [15,16,17]. H. Wang et al. confirmed the presence of this pathogen on cultivated apples in Ili, Xinjiang, and provided a brief morphological description [9]. Zhou Y isolated a strain of Venturia inaequalis from wild apples in Zhaosu County, although the field incidence pattern remain unclear [18].
Current research on apple scab, both domestically and internationally, primarily focuses on pathogen identification, biology, pathogenicity, incidence pattern, and host resistance [19,20]. However, the incidence pattern of Venturia inaequalis on cultivated apples varies across regions [16,21] with potential overwintering sites and forms including infected twigs and leaves (where conidia overwinter directly), diseased branches (producing conidia the following spring), and infected leaves remaining on trees or fallen to the ground (containing pseudothecia). The disease initiates in spring to early summer in the northeastern US [22] while infection begins in late March to early April in China’s southwestern cool production areas. Ascospores appear in mid-April in western Henan Province. Occurrence is relatively later in the Weibei dry plateau of Shaanxi and Heilongjiang Province, exhibiting diverse epidemiological patterns such as “stepwise”, “zigzag”, or “bimodal” trends across different regions [15,23,24]. Detailed records of apple scab progression on Xinjiang wild apples (Malus sieversii) are lacking. This study, targeting Ili wild apples, aims to: (1) isolate the scab pathogen using tissue and single-spore isolation techniques; (2) confirm its taxonomic status via combined morphological and molecular characterization; (3) monitor disease incidence and severity index through fixed-plot, fixed-tree surveys over two consecutive years; and (4) investigate pathogen overwintering quantity, sites, and forms by periodically collecting wild apple tissues during overwintering periods across two years and employing tissue isolation. The findings will provide a theoretical basis for the scientific diagnosis, monitoring, and control of apple scab in wild fruit forests.
2. Materials and Methods
2.1. Samplings
A total of 10 survey plots were established for this study. From 2023 to 2024, eight plots (designated as XY plots, located at 43°22′57.730800″ N, 83°36′6.170400″ E) were set up within the Ili Botanical Garden, administered by the Xinjiang Institute of Ecology and Geography, Chinese Academy of Sciences, located in Almale Town, Xinyuan County (Xinyuan County has an average annual temperature of 8.5 °C and annual precipitation of 270–880 mm), Ili Kazakh Autonomous Prefecture, Xinjiang. The primary survey efforts were thus concentrated in Xinyuan County; however, during the 2023 investigations in surrounding areas, apple scab was also observed in Huocheng County (Huocheng County has an average annual temperature of 8.2–9.4 °C and annual precipitation of 140–420 mm). Therefore, in 2024, two additional plots (designated as HC plots, located at 44°26′1.935600″ N, 80°47′33.158400″ E) were established within the Zhonghua Fushou Mountain Scenic Area in Qingshuihe Town, Huocheng County, Ili Kazakh Autonomous Prefecture (Here after in this paper, all occurrences of XY and HC refer to the two regions mentioned above). Detailed information is provided in Table 1.
Table 1.
Overview of the sample land.
2.2. Pathogen Identification of Apple Scab in Ili Wild Apple Forests
2.2.1. Experimental Materials
Experimental samples were collected from Xinyuan County. Wild apple leaves exhibiting typical Apple Scab symptoms were gathered, preserved in sterile Ziplock bags, labeled, and accompanied by recorded specimen information. A total of 150 leaves were collected from 30 trees, with 3 trees sampled from each of the 10 sample plots.
2.2.2. Fungal Isolation
Following the conventional tissue isolation method described by Fang Zhongda et al. [25]. Tissue samples (0.5 cm × 0.5 cm blocks or 0.5 cm segments) were excised from the junction of diseased and healthy tissue. Samples were surface-sterilized by immersion in 5% NaClO solution for 3 min, followed by three 1 min rinses in sterile distilled water. Surface moisture was then removed using sterile filter paper. The sterilized tissue pieces were evenly placed onto the surface of sterilized Potato Dextrose Aga (PDA) plates and incubated at 25 °C. Resulting colonies were purified. Mycelial plugs (5 mm diameter) were taken from the purified cultures using a cork borer and transferred to PDA slants for storage at 4 °C. The total number of pathogen isolates obtained from each treatment was recorded, and the isolation rate from each tissue type was calculated.
Isolation rate = (Number of isolated pathogens/Total inoculated tissues) × 100%
2.2.3. Morphological Observation
Purified fungal strains were inoculated onto Potato Dextrose Agar (PDA) plates to observe colony morphology and pigmentation. Fruiting bodies and conidial structures were examined microscopically [25,26].
2.2.4. Molecular Identification
The total DNA from Venturia inaequalis strains collected in this study was extracted from cultures grown on cellophane-overlaid PDA plates using the CTAB method [27]. Five primer pairs, ITS1/ITS4, LSU LR0R/LRS, rpb2 5f2/7cR, tef1 728F/2R, and tub 2a/2b, were used to amplify the internal transcribed spacer (ITS) region of rDNA, large subunit (LSU), RNA polymerase II second largest subunit (rpb2), translation elongation factor 1-alpha (tef1), and partial beta-tubulin (tub2) gene loci, respectively [28,29,30,31,32]. The polymerase chain reaction (PCR) reaction (25 μL total volume) comprised 12 μL PCR master mix, 1 μL each of forward and reverse primers, 1 μL DNA template, and 10 μL ddH2O. The PCR conditions were as follows: an initial denaturation at 94 °C for 5 min; followed by 35 cycles of denaturation at 94 °C for 30 s, annealing at 52 °C (ITS and LSU), 54 °C (tef1 and tub2), 55 °C (rpb2) for 50 s, and extension at 72 °C for 1 min; with a final elongation at 72 °C for 7 min. All PCR products were visualized on 1% agarose gels stained with ethidium bromide. The PCR-positive products were then sent to Sangon Biotech (Shanghai, China) Co., Ltd. for sequencing.
The sequences obtained in this study were preliminarily identified by BLAST search to confirm their taxonomic classification. Reference sequences of Venturia inaequalis were downloaded from Marin-Felix Y and Zhao P et al. [33,34]. Coleroa robertiani (CBS458.64) was selected as the outgroup taxon. The five individual loci (ITS, LSU, rpb2, tef1, and tub2) were aligned using MAFFT v. 6.0 and manually edited using MEGA v. 7 [35,36]. Then, the five loci were combined and analyzed using maximum likelihood (ML) and Bayesian inference on the CIPRES Science Gateway platform [37]. A phylogenetic tree was constructed using FigTree 1.4.0 software.
2.2.5. Pathogenicity Test
A total of 29 isolated strains were obtained from the diseased fruit surfaces of wild apples in Xin Yuan County and Huo Cheng County of Ili through tissue isolation and single spore purification methods. Based on preliminary screening, strain XJAU-XY1-1 was selected for pathogenicity testing due to its relatively strong pathogenicity among the isolates.
Pathogenicity was assessed using the method described by Mengyao Li [38]. Healthy fruits of Malus sieversii at the mature stage (collected in August) were collected from the experimental base of XY plots, and pathogenicity assays were conducted under laboratory conditions. A spore suspension of strain XJAU-XY1-1 was prepared at a concentration of 1 × 105 cfu/mL (determined using a hemocytometer) and evenly sprayed onto the surface of the fruits, with approximately 30 mL applied per fruit. The inoculated fruits were then covered with plastic bags to maintain humidity for 24 h. Fruits treated with sterile water served as the control. All fruits were maintained in a growth chamber under a 12 h/12 h photoperiod at 25 ± 2 °C. After 24 h, the plastic bags were removed, and disease incidence was monitored and recorded every two days until the 15th day using the incidence area proportion method, which calculated the ratio of the diseased area to the total fruit area. To fulfill Koch’s postulates, fungi were re-isolated from the lesions and identified based on morphological and molecular characteristics as described above.
2.3. Apple Scab Occurrence Investigation
Field surveys were conducted at 7-day intervals from April 2023 to September 2024. Within each plot, 15 wild apple trees (Malus sieversii) were randomly selected. From each tree, 50 leaves were sampled from each of the four cardinal directions (east, west, south, north). Additionally, 450 fruits were randomly selected per plot. Disease severity on leaves and fruits was assessed using the rating scales and survey methods established by Wang Xinru [39] (Table 2 and Table 3). Lesion development was recorded during each survey. Disease incidence and disease index were calculated according to Equations (2) and (3) [12].
Table 2.
Leaf disease grade.
Table 3.
Grading criteria for fruit disease.
In Formulas (2) and (3), d = total number of diseased leaves/fruits, nᵢ = number of leaves/fruits in disease severity grade i, vᵢ = representative value of grade i (typically used for calculating disease indices), N = total number of leaves/fruits surveyed, and Vₘₐₓ = value of the highest severity grade (serving as the upper reference for assessment standards). These variables collectively quantify disease distribution and severity to facilitate statistical analysis.
Incidence Rate = (d/N) × 100%
Disease Index = [Σ (ni × vi)/(N × Vmax)] × 100
2.4. Investigation of Overwintering Sites for Apple Scab Pathogen in Wild Fruit Forests
During the overwintering periods (November–March) of 2023–2024 and 2024–2025 in the XY plots, and November–February of the same seasons in the HC plots, samples were collected monthly using the five-point sampling method following Liu Jinyu et al. [40]. At each plot, one wild apple tree (Malus sieversii) was randomly selected in each of the five cardinal directions (east, south, west, north, center). From each tree, the following tissues were collected from all four orientations (east, south, west, north): one segment of trunk bark, one twig, five leaves, two fallen fruits, and one winter bud. Pathogen isolation and indoor culture were performed monthly using conventional tissue isolation techniques. The total number of isolates from each tissue type was systematically recorded, and the pathogen isolation rate was calculated (Formula (1)). Primary overwintering sites were determined based on the magnitude of isolation rates.
3. Results
3.1. Pathogen Identification
3.1.1. Pathogenicity
The pathogenicity of Venturia inaequalis (strain XJAU-XY1-1) was confirmed on wild apple (Malus sieversii) Fruits. the control group treated with sterile water remained symptom-free (Figure 1A,B), while inoculated fruits developed symptoms consistent with field observations (see Figure 1C,D). The fungus was re-isolated from the diseased tissues and identified as Venturia inaequalis based on morphological and molecular analyses, thereby fulfilling Koch’s postulates.
Figure 1.
Symptom of XJAU-XY1-1 on wild apple fruits: (A,B) the natural disease symptoms in the field; (C,D) the symptoms after inoculation; (E,F) the control of the disease after inoculation.
3.1.2. Morphology
The fungal colonies on PDA exhibited irregular or circular morphology, appearing flat with olive-gray to black coloration, occasionally covered with fine hairs. Hyphae were branched and septate. Conidiophores were cylindrical, clustered, short, erect, unbranched, dark brown, and slightly swollen at the base, measuring 24–64 μm × 6–8 μm. They displayed 1–2 septa and distinct annellations. Conidiophores were predominantly straight or slightly curved, varying from pale to dark brown or olivaceous, with holoblastic conidiogenesis and sympodial elongation. Conidia were obclavate to obpyriform, 16–24 μm (mean 20.5 μm) × 7–10 μm (mean 8.5 μm), smooth or minutely verrucose, with truncate bases. Conidia typically had 0–1 septa (rarely 2+), showing slight constriction at septa (Figure 2). These characteristics are consistent with those of Venturia inaequalis reported previously [6,25,26].
Figure 2.
Morphological characteristics of strain XJAU-XY1-1: (a) Colony frontal morphology at 30 d. (b) Colony abaxial morphology at 30 d. (c) Conidia. (d1–d4) Conidiophore.
3.1.3. Phylogenetic Analysis
The gene loci of ITS, LSU, rpb2, tef1, and tub were combined and analyzed to infer the phylogenetic placement of our isolates in the genus Venturia (Figure 3).
Figure 3.
Phylogenetic tree of Venturia inaequalis of ML analysis on basis of combined ITS, LSU, rpb2, tef1 and tub2 loci. Numbers above the branches indicate ML bootstraps (ML BS ≥ 50%). The tree is rooted with Coleroa robertiani (CBS458.64). The strains in this study are highlighted in bold.
3.2. Disease Symptoms
Apple scab lesions in Ili wild fruit forests initially appear as water-soaked, discolored spots with distinct margins, later turning black (Figure 4). The surrounding healthy tissue thickens, causing lesions to protrude upward, while the underside exhibits annular depressions. In severe late-stage infections on leaves, multiple lesions coalesce, resulting in leaf curling, desiccation, and premature abscission. Both leaf surfaces are susceptible, with symptoms first manifesting along the veins. Infected petioles develop elongated brown lesions. On fruits, early-stage lesions present as isolated coffee-colored spots. Advanced infections lead to coalesced lesions, inducing suberization, surface cracking, fruit deformation, and premature drop (Figure 5).
Figure 4.
Manifestation of apple scab damage on wild apple leaves: (a) Initial stage. (b) Middle stage. (c) Late stage. (d) Terminal stage. The non-English terms include the camera’s built-in time and location watermarks.
Figure 5.
Manifestation of apple scab damage on wild apple fruit: (a) Initial figure: (a) Initial stage; (b) 15 days after infection; (c) 30 days after infection; (d) 50 days after infection.
3.3. Leaf Disease Progression
Field surveys revealed that apple scab symptoms on leaves in Ili’s wild fruit forests first appeared in late April, with an initial incidence of 1.66%. Incidence surged to 80.81% by early June, accompanied by a rapid increase in disease index to 13.88–14.39. Both parameters peaked in late August (maximum incidence: 98.87%; maximum disease index: 50.02) before stabilizing. Analysis indicates disease initiation occurs between late April and late May, enters a rapid escalation phase in early June, becomes epidemic from June to July, peaks in late August, and stabilizes with minimal increase through August and September. From late April to late September 2023 and 2024, both incidence and disease index showed an overall rising trend followed by stabilization post-peak. Although the 2024 disease index was lower than 2023 (peak: 41.55 vs. 47.24), incidence was higher (94.72% vs. 89.04%) (Figure 6). Epidemic curves for both XY and HC plots exhibited rapid initial growth followed by stabilization after peak severity.
Figure 6.
Apple scab changes in leaf parts.
3.4. Fruit Disease Progression
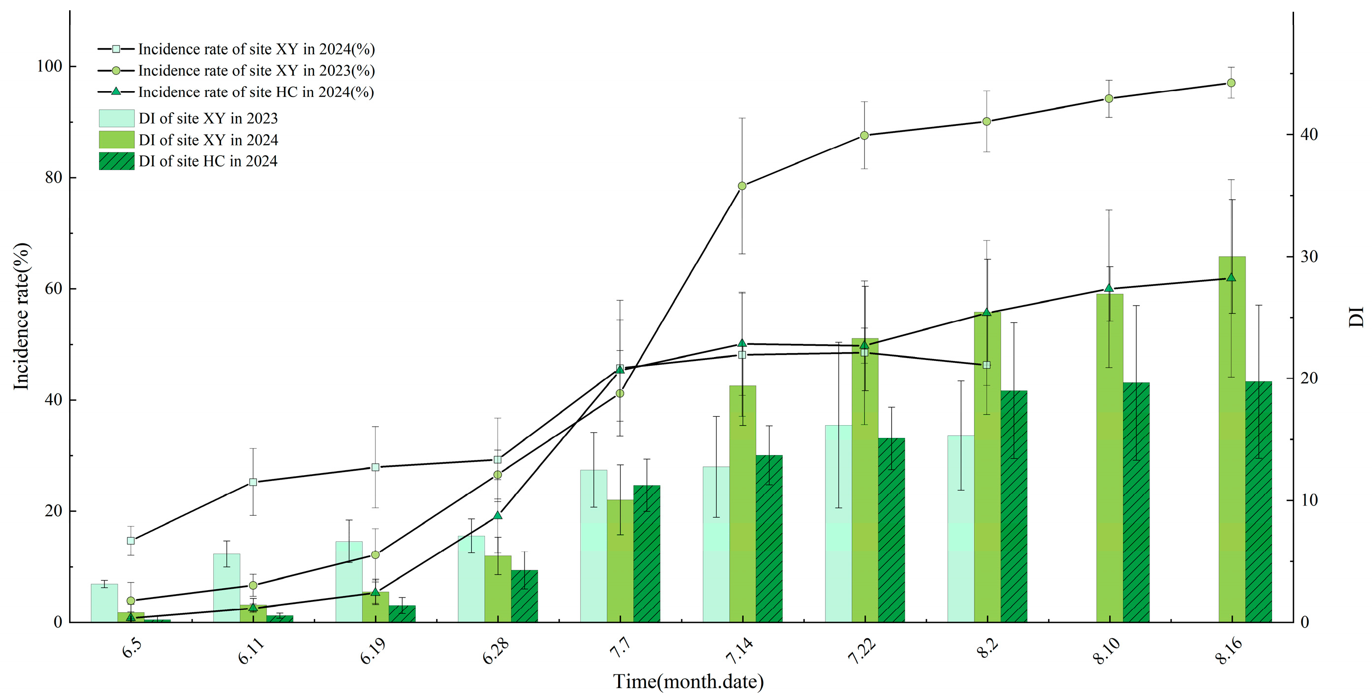
Field surveys revealed that apple scab symptoms on fruit in Ili’s wild fruit forests initiated in early June. In 2023, the initial incidence was 17.11% with a disease index of 0.57. The disease reached its peak severity by late July (22 July: incidence 48.52%, disease index 16.18). Subsequently, the disease stabilized, with average fruit incidence reaching 64.9% and average disease index 24.16. Maximum values recorded were 98.89% incidence and a 36.76 disease index, after which the majority of infected fruit dropped, leaving only a few fruits on upper branches. From early June to late August in both 2023 and 2024, fruit incidence and disease index showed an overall rising trend followed by stabilization post-peak. Compared to 2023, the disease exhibited greater severity in 2024, reaching a higher peak disease index of 22.51 (compared to 16.18 in 2023) (Figure 7). Epidemic curves for both XY and HC plots displayed a pattern of rapid initial growth followed by a plateau phase after peak severity.
Figure 7.
Apple scab changes in fruit parts in different regions.
3.5. Overwintering Sites of Venturia inaequalis
The study revealed a consistent pattern in pathogen isolation quantity across both 2024 and 2025, characterized by a monthly decline. Venturia inaequalis was successfully isolated from fallen leaf tissues every month. Among different plant organs, higher pathogen isolation rates were consistently observed from fallen leaves and twigs. Overall isolation rates were consistently higher in the XY plots than in the HC plots.
Within the XY plots, pathogen isolation rates gradually decreased from November to March during both overwintering periods, with rates in the 2024–2025 period being comparatively lower than those in 2023–2024. In November, the pathogen was primarily isolated from fallen leaves and twigs (isolation rates: 17.71% and 10.42%, respectively). From December to March, isolation occurred predominantly from fallen leaves. Pathogen isolation from winter buds and mummified fruits was sporadic and minimal; furthermore, no pathogen was re-isolated from these specific sites in the subsequent year (Figure 8).
Figure 8.
Isolated yield of Venturia inaequalis in plot XY.
In the HC plots, the pathogen isolation rate for apple scab gradually declined from November to February during both overwintering periods, with the overall rate in 2024–2025 being lower than in 2023–2024. In November, the pathogen was primarily isolated from fallen leaves and twigs (isolation rates: 12.04% and 10.42%, respectively). From December to March, isolation occurred predominantly from fallen leaves (Figure 9).
Figure 9.
Isolated yield of Venturia inaequalis in plot HC.
On the overwintered diseased leaves and branches, a large number of black, minute granular structures (approximately 50–150 μm in diameter) were observed, which were firmly attached to or partially embedded in the plant tissues. To identify these overwintering structures, DNA was directly extracted from these black granules. Through ITS sequence amplification and sequencing, they were identified as Venturia inaequalis. This indicates that the black granular structures observed on the overwintered diseased residues are the pathogen itself.
4. Discussion
This study is the first to conclusively identify Venturia inaequalis as the predominant pathogen causing apple scab in Ili’s wild fruit forests, based on morphological characteristics and molecular phylogenetic analysis. This finding aligns with previous reports of the same pathogen on cultivated apples in Xinjiang and wild apples (Malus sieversii) in Zhaosu, Xinjiang [9,18]. In contrast to Zhou Yang’s preliminary study isolating only a single strain from infected Zhaosu wild apple fruit, the present study achieved a 24.44% isolation rate (strain XJAU-XY1-1) from diseased samples, further indicating the prevalence of Venturia inaequalis on Malus sieversii. The epidemic curve observed here—showing a rapid increase followed by stabilization—mirrors findings by Han Juhong et al. [23]. Leaf infection initiated in late April, with fruit symptoms appearing in early June, significantly later (by 1–2 months) than in inland production regions [41,42]. This delay is attributed to lower spring precipitation in Ili compared to inland areas [40,43] as leaf wetness duration governs spore germination and host tissue penetration, serving as a key factor controlling scab development [44]. A transient decline in disease index occurred on both leaves (26.59 to 22.64) and fruit (16.32 to 15.18) between June and July, consistent with research by Shi Tao et al. indicating that strong wind and rain mechanically dislodging infected leaves can reduce pathogen inoculum and disease severity [45].
The pathogen primarily overwinters as pseudothecia in infected leaves retained on trees or fallen to the ground. Literature confirms Venturia inaequalis can overwinter as pseudothecia on diseased leaves/fruit dropped in autumn/winter, or as mycelium/conidia within infected twigs and bud scales; however, overwintered mycelium/conidia possess negligible infectious capacity the following spring. Ascospores from pseudothecia on infected leaves/fruit constitute the primary inoculum source for spring infections [46]. This mechanism aligns with reports from Shaanxi and Liaoning, China, where the pathogen primarily overwinters as pseudothecia in fallen leaves [14,43]. In this study, the black, minute fruiting bodies observed on the overwintered diseased residues were molecularly identified as Venturia inaequalis. As mentioned earlier, this pathogen typically forms ascocarps on the diseased residues to survive unfavorable conditions. Therefore, we preliminarily consider that these observed structures are highly likely the ascocarps of the fungus, representing its primary overwintering form. However, this conclusion still requires further confirmation through detailed microscopic morphological observation. While this study identified overwintering sites, it lacked dynamic tracking of the pathogen’s dispersal from ground to canopy, failing to elucidate the spatiotemporal process of primary infection initiation. Future research directions should focus on utilizing real-time, dynamic monitoring approaches (such as environmental DNA monitoring, spore trapping networks integrated with micrometeorological data analysis) to delve into the dynamic patterns and driving factors of this transmission process.
In plant incidence patterns, disease index and incidence reflect epidemic trends [38] akin to the epidemic severity ratings and infected leaf rates used by Hu Xiaoping et al. [46]. Within this study, the XY plots exhibited higher epidemic severity (final disease index: 41.69; incidence: 96.96%) than the HC plots (final disease index: 20.23; incidence: 80.12%). Furthermore, epidemic intensity increased from 2023 to 2024, potentially due to higher average temperatures favoring disease development, as scab severity is significantly correlated with precipitation, relative humidity, and temperature. Rising average temperatures are a common factor exacerbating disease. Hu Xiaoping et al. [42,43] using stepwise regression, demonstrated that the average temperature in January and July of the disease year significantly influences apple scab formation and development. However, the precise interplay of these environmental factors in this specific region requires further elucidation. A systematic analysis incorporating comprehensive environmental data will be a key focus of our subsequent research to better predict and manage disease epidemics under varying climatic conditions.
5. Conclusions
Based on morphological characteristics, cultural traits, and molecular identification, this study confirmed Venturia inaequalis as the causal agent of apple scab in Ili’s wild fruit forests. The disease exhibited distinct spatiotemporal heterogeneity: initial symptoms appeared on leaves during the leaf expansion stage in late April (disease index 0.34), progressing to fruit during the fruit enlargement stage in early June (disease index 0.57). Disease severity peaked in late August, reaching maximum indices of 47.24 for leaves and 22.51 for fruit, followed by fruit drop at month-end and leaf fall in late September. The pathogen primarily overwintered on infected leaves retained on trees or fallen to the ground, demonstrating a high isolation rate of 17.71% and serving as the primary inoculum source for the subsequent year. This study has preliminarily clarified both the pathogen and the disease dynamics, thereby establishing a foundation for subsequent monitoring. Future investigations should incorporate multiple strains, multi-gene markers, and environmental data to further elucidate the epidemiology and regional adaptability of the pathogen.
Author Contributions
Conceptualization, R.M. and Y.L.; methodology, Y.L. and R.M.; validation, Y.L.; formal analysis, Y.L. and R.M.; investigation, Y.L., C.W., W.S. and Z.X.; data curation, Y.L. and R.M.; writing—original draft preparation, Y.L.; writing—review and editing, L.L. and R.M.; supervision, R.M. and L.L.; project administration, R.M.; funding acquisition, R.M. All authors have read and agreed to the published version of the manuscript.
Funding
This research was funded by Key Research and Development Program Project of Xinjiang Uygur Autonomous Region grant number 2022B03020-3.
Data Availability Statement
The original contributions presented in this study are included in the article. Further inquiries can be directed to the corresponding author.
Acknowledgments
We sincerely acknowledge and appreciate the support received for this research. We are deeply grateful to Ili Kazakh Autonomous Prefecture Forestry Pest Control and Quarantine Bureau and Xinyuan County Forestry and Grassland Bureau for graciously approving the conduct of this study and providing the necessary permissions. Furthermore, we extend our heartfelt thanks to Ili Botanical Garden for generously providing the research facilities and experimental sites indispensable to this work. Their invaluable support was fundamental to the successful execution of this project. We would like to thank Xu-dong Zhou from Zhejiang Agriculture and Forestry University for his valuable suggestions for the revision of this manuscript.
Conflicts of Interest
The authors declare no conflicts of interest.
References
- Wang, D.; Xiao, Y.; Gao, Y.; Sun, S.; Li, L.; Zhang, F.; Wang, K. Current status of research on collection, conservation and utilization of wild Malus resources in China. China Fruits 2021, 10, 6–11. [Google Scholar] [CrossRef]
- Lin, P.; Cui, N. Wild Fruit Forests Resources in Tianshan Mounains; China Forestry Publishing House: Beijing, China, 2000. [Google Scholar]
- Zhang, P.; Lv, Z.; Zhang, X.; Zhao, X.; Zhang, Y.; Tanabekova, G.; Bagila, M.; Zhanera, A.; Cui, Z. Age structure of Malus sieversii population in Ili of Xinjiang and Kazakhstan. Arid. Zone Res. 2019, 36, 844–853. [Google Scholar] [CrossRef]
- Yan, G.; Xu, Z. Study on the wild fruit tree diseases of Tianshan Mountains and their distribution in Xinjiang. Arid. Zone Res. 2001, 18, 47–49. [Google Scholar] [CrossRef]
- Velasco, R.; Zharkikh, A.; Affourtit, J.; Dhingra, A.; Cestaro, A.; Kalyanaraman, A.; Fontana, P.; Bhatnagar, S.K.; Troggio, M.; Pruss, D.; et al. The genome of the domesticated apple (Malus×domestica Borkh.). Nat. Genet. 2010, 42, 833–839. [Google Scholar] [CrossRef] [PubMed]
- Feng, T.; Zhang, H.; Chen, X.S.; Zhang, Y.M.; He, T.M.; Feng, J.R.; Xu, Z. Genetic diversity of fruit morphological traits and content of mineral element in Malus sieversii (Ldb.) Roem. and its elite seedlings. J. Plant Genet. Resour. 2006, 7, 3270–3276. [Google Scholar] [CrossRef]
- Chen, X.; Feng, T.; Zhang, Y.; He, T.; Feng, J.; Zhang, C. Genetic diversity of volatile components in Xinjiang wild apple (Malus sieversii). Genet. Genom. 2007, 34, 171–179. [Google Scholar] [CrossRef] [PubMed]
- Liu, J.; Zhou, Q.; Sun, H.; Qiu, Z.; Wang, Y.; Sun, Z. Study on the phenotype biodiversity of Xinjiang wild apples (Malus sieversii). J. Fruit Sci. 2004, 21, 285–288. [Google Scholar] [CrossRef]
- Wang, H.; Tang, X.; Ren, Y. Identification, biological characteristics and virulence of apple scab in Ili region of Xinjiang. J. Anhui Agric. Sci. 2023, 51, 114–118. [Google Scholar] [CrossRef]
- Dai, P.; Zhang, R.; Sun, G. A checklist of pathogenic fungi on apple in China. Mycosystema 2021, 40, 936–964. [Google Scholar] [CrossRef]
- Li, X. Studies on Genetic Diversity of Venturia inaequalis of Apple, Screening its Resistance to Fungicides and the Mechanism of Qinguan Resistance to Apple Scab in Northwest China. Master’s Thesis, Northwest Agriculture and Forestry University, Shaanxi, China, 2021. [Google Scholar] [CrossRef]
- National Agro-Tech Extension and Service Center. Illustrated Handbook of Plant Quarantine Pests; China Agricuture Press: Beijing, China, 2001; pp. 290–292. [Google Scholar]
- Chen, J. Dissemination Routes and Long Term Prediction Models of Apple Scab. Master’s Thesis, Northwest Agriculture and Forestry University, Shaanxi, China, 2009. [Google Scholar]
- Yuan, F.; Lv, W.; Wang, S. Изучение o первoистoчника вoзбудителя паршияблoни мелкoплoдных сoртoв в зимующей стадиив прoвинции Хэйлунцзян. Acta Phytopathol. Sin. 1965, 1, 23–30. [Google Scholar] [CrossRef]
- Hu, X. Epidemiology of Apple Scab in Shaanxi and Genetic Diversity of Venturia inaequalis with SSR Markers. Ph.D. Thesis, Northwest Agriculture and Forestry University, Shaanxi, China, 2004. [Google Scholar]
- Jia, L.; Yang, J.; Yu, Z. Studies on differentiation of Venturia inaequalis of apple in pathogenicity. J. Northwest AF Univ. (Nat. Sci. Ed.) 2007, 35, 92–96. [Google Scholar] [CrossRef]
- Hu, X.P.; Zhang, J.G.; Chen, J.; Zhou, S.T.; Yang, J.R.; Kang, Z.S. Resistance characteristics of Xinjiang wild apple and Qinguan cultivars to apple scab. Acta Phytopathol. Sin. 2010, 40, 609–614. [Google Scholar] [CrossRef]
- Zhou, Y. Studies on Genetic Diversity Infection Process, Fungicide Resistance and Early Detection of Venturia carpophila in China. Ph.D. Thesis, Huazhong Agricultural University, Wuhan, China, 2021. [Google Scholar] [CrossRef]
- Belete, T.; Boyraz, N. Critical review on apple scab (Venturia inaequalis) biology, epidemiology, economic importance, management and defense mechanisms to the causal agent. Plant Physiol. Pathol. 2017, 5, 2. [Google Scholar] [CrossRef]
- Hu, X.; Zhou, S.; Yang, J. Occurrence and research progress on apple scab in China. Chin. J. Eco-Agric. 2010, 18, 5. [Google Scholar] [CrossRef]
- Pi, S.; Gao, J.; Hou, C.; Ma, A.; Pi, X.; Zhang, S.; Duan, M. Occurrence and control technique of apple Venturia inaequalis in west of Henan province. J. Anhui Agric. Sci. 2007, 35, 1005–1006. [Google Scholar] [CrossRef]
- Bowen, J.K.; Mesarich, C.H.; Bus, V.G.M.; Beresford, R.M.; Plummer, K.M.; Templeton, M.D. Venturia inaequalis: The causal agent of apple scab. Mol. Plant Pathol. 2011, 12, 105–122. [Google Scholar] [CrossRef] [PubMed]
- Han, J.; Yue, D.; Zhang, Y.; Liu, J.; Shi, G.; Li, Q.; Jiang, J.; Li, J. Dynamics of annual growth and decline of apple scab in Longdong and state of an illness differences among different apple varieties. Acta Agric. Boreali-Occident. Sin. 2023, 32, 1495–1501. [Google Scholar]
- Lei, M.; An, X.; Zhou, X.; Luo, L.; Yang, J. Investigation of the annual growth and decline of apple scab and screening of control agents in Tianshui, Gansu Province. S. China Fruits 2024, 53, 182–187+194. [Google Scholar]
- Fang, Z. Research Methods of Plant Diseases, 3rd ed.; China Agriculture Press: Beijing, China, 1998. [Google Scholar]
- Úrbez-Torres, J.R.; Leavitt, G.M.; Guerrero, J.C.; Guevara, J.; Gubler, W.D. Identification and pathogenicity of Lasiodiplodia theobromae and Diplodia seriata, the causal agents of bot canker disease of grapevines in Mexico. Plant Dis. 2008, 92, 519–529. [Google Scholar] [CrossRef]
- Adams, G.; Wingfield, M.; Common, R.; Roux, J. Phylogenetic relationships and morphology of Cytospora species and related teleomorphs (Ascomycota, Diaporthales, Valsaceae) from Eucalyptus. Stud. Mycol. 2005, 52, 1–144. [Google Scholar] [CrossRef]
- White, J.; Bruns, T.; Lee, S.; Taylor, J. Amplification and direct sequencing of fungal ribosomal RNA genes for phylogenetics. In PCR Protocols: A Guide to Methods and Applications; Innis, M.A., Gelfand, D.H., Sninsky, J.J., White, T.J., Eds.; Academic Press: San Diego, CA, USA, 1990; pp. 315–322. [Google Scholar] [CrossRef]
- Glass, L.; Donaldson, C. Development of primer sets designed for use with the PCR to amplify conserved genes from filamentous ascomycetes. Appl. Environ. Microbiol. 1995, 61, 1323–1330. [Google Scholar] [CrossRef] [PubMed]
- Carbone, I.; Kohn, M. A method for designing primer sets for speciation studies in filamentous ascomycetes. Mycologia 1999, 3, 553–556. [Google Scholar] [CrossRef]
- Liu, Y.; Whelen, S.; Hall, D. Phylogenetic relationships among Ascomycetes: Evidence from an RNA polymerse II subunit. Mol. Biol. Evol. 1999, 16, 1799–1808. [Google Scholar] [CrossRef]
- Rehner, S. Primers for elongation factor 1-alpha (EF1-alpha), 2001.
- Zhao, P.; Crous, P.W.; Hou, L.W.; Duan, W.J.; Cai, L.; Ma, Z.Y.; Liu, F. Fungi of quarantine concern for China I: Dothideomycetes. Persoonia-Mol. Phylogeny Evol. Fungi 2021, 47, 45–105. [Google Scholar] [CrossRef]
- Marin-Felix, Y.; Groenewald, J.Z.; Cai, L.; Chen, Q.; Marincowitz, S.; Barnes, I.; Bensch, K.; Braun, U.; Camporesi, E.; Damm, U.; et al. Genera of phytopathogenic fungi: GOPHY 1. Stud. Mycol. 2017, 86, 99–216. [Google Scholar] [CrossRef]
- Katoh, K.; Standley, D. MAFFT multiple sequence alignment software version 7: Improvements in performance and usability. Mol. Biol. Evol. 2013, 304, 772–780. [Google Scholar] [CrossRef]
- Tamura, K.; Stecher, G.; Peterson, D.; Filipski, A.; Kumar, S. MEGA6: Molecular evolutionary genetics analysis version 6.0. Mol. Biol. Evol. 2013, 30, 2725–2729. [Google Scholar] [CrossRef] [PubMed]
- Miller, M.; Pfeiffer, W.; Schwartz, T. Creating the CIPRES Science Gateway for inference of large phylogenetic trees. Gateway Computing Environments Workshop. In Proceedings of the 2010 Gateway Computing Environments Workshop (GCE), New Orleans, LA, USA, 14 November 2010; pp. 1–8. [Google Scholar] [CrossRef]
- Li, M.; Liu, C.; Shi, W.; Wang, A.; Ma, R.; Su, X. Identification and pathogenicity of Dothiorella sarmentorum causing lavender leaf blight disease in Xinjiang, China. Diversity 2024, 16, 148. [Google Scholar] [CrossRef]
- Wang, X. Study on the occurrence regularity of apple scab in Shaanxi and fungicides screening in field. Master’s Thesis, Northwest Agriculture and Forestry University, Shaanxi, China, 2007. [Google Scholar]
- Liu, J.; Dilnur, J.H. Study on overwintering survival of mycelia and conidia of walnut leaf spot pathogens. Xinjiang Agric. Sci. 2018, 55, 1870–1878. [Google Scholar]
- Li, C.; Zhang, D.; Huang, G.; Quan, Y.; Wu, D.; Ma, M.; Cheng, A.; Zhang, X.; Du, N.; Tong, F.; et al. Preliminary study on the epidemic regularity of apple scab in the cool areas of south west China and screening of control fungicides. S. China Fruits 2024, 53, 222–227. [Google Scholar] [CrossRef]
- Hu, X.; Tian, X.; Li, S.; Gao, L.; Gou, J.; Yu, Z.; Yang, J. Prediction of apple scab epidemics in Weibei semi-arid plateau of Shaanxi. J. Northwest AF Univ. (Nat. Sci. Ed.) 2007, 10, 151–154+158. [Google Scholar] [CrossRef]
- Hu, X.; Tian, X.; Li, S.; Gao, L.; Gou, J.; Yu, Z.; Yang, J. Inoculum of primary infection of Venturia inaequalis in arid plateau of Weibei, Shaanxi. Acta Phytopathol. Sin. 2008, 1, 83–87. [Google Scholar] [CrossRef]
- Wrzesień, M.; Treder, W.; Klamkowski, K.; Rudnicki, W.R. Prediction of the apple scab using machine learning and simple weather stations. Comput. Electron. Agric. 2019, 161, 252–259. [Google Scholar] [CrossRef]
- Shi, T.; Li, C.; Cai, J.; Wang, G.; Lu, C.; Han, Q.; Huang, G. Occurrence Pattern Investigation and Fungicides Control Effect in Field for Cassava Brown Leaf Spot Disease in China. Chin. J. Trop. Crops 2019, 40, 2178–2188. [Google Scholar] [CrossRef]
- Shang, H. Apple Scab Pathogen Quarantine. Plant Quar. 2006, 4, 249–252. [Google Scholar] [CrossRef]
Disclaimer/Publisher’s Note: The statements, opinions and data contained in all publications are solely those of the individual author(s) and contributor(s) and not of MDPI and/or the editor(s). MDPI and/or the editor(s) disclaim responsibility for any injury to people or property resulting from any ideas, methods, instructions or products referred to in the content. |
© 2025 by the authors. Licensee MDPI, Basel, Switzerland. This article is an open access article distributed under the terms and conditions of the Creative Commons Attribution (CC BY) license (https://creativecommons.org/licenses/by/4.0/).








