Accumulation and Transport of Cd, Pb, As, and Cr in Different Maize Varieties in Southwest China
Abstract
1. Introduction
2. Materials and Methods
2.1. Overview of the Experimental Area
2.2. Maize Varieties Used in the Experiment
2.3. Experimental Design
2.4. Sample Collection and Analysis
2.5. Evaluation Methods
2.5.1. Single-Factor Pollution Index and Nemero Comprehensive Pollution Index
2.5.2. Potential Ecological Risk Index Evaluation
2.5.3. Bioaccumulation Factor and Translocation Factor
2.6. Data Statistics and Analysis
3. Results
3.1. Pollution Status of the Experimental Area
3.2. Analysis of Biological Traits of Maize Plants and Soil Properties
3.2.1. Biological Traits of Maize Plants
3.2.2. Redundancy Analysis of Soil HM Contents and Maize Biological Traits
3.3. Analysis of Cd, Pb, As, and Cr Contents in Different Parts of Maize Plants
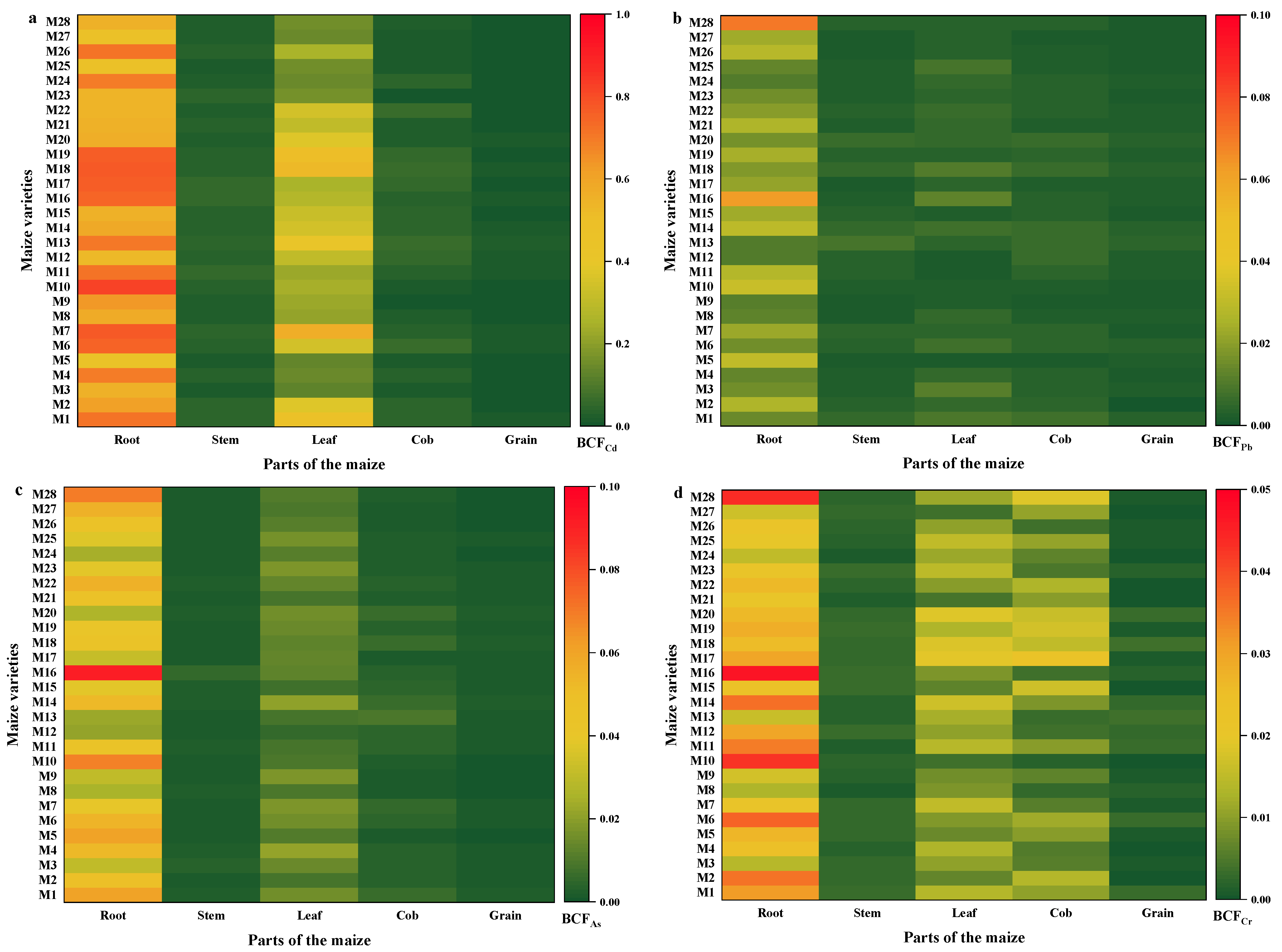
3.4. Analysis of BCFCd, BCFPb, BCFAs, and BCFCr in Different Parts of Maize Plants
3.5. Cluster Analysis of BCFCd, BCFPb, BCFAs, and BCFCr in Maize Grains
3.6. Analysis of TFCd, TFPb, TFAs, and TFCr in Different Parts of Maize Plants
3.7. Correlation Analysis of Cd, Pb, As, and Cr Contents in Different Parts of Maize Plants
3.8. Principal Component Analysis of Cd, Pb, As, and Cr Contents in Different Parts of Maize Plants
4. Discussion
5. Conclusions
Author Contributions
Funding
Institutional Review Board Statement
Data Availability Statement
Conflicts of Interest
References
- Jia, Z.; Wang, J.; Zhou, X.; Zhou, Y.; Li, Y.; Li, B.; Zhou, S. Identification of the sources and influencing factors of potentially toxic elements accumulation in the soil from a typical karst region in Guangxi Southwest, China. Environ. Pollut. 2020, 256, 113505. [Google Scholar] [CrossRef] [PubMed]
- Lin, H.; Wang, Z.; Liu, C.; Dong, Y. Technologies for removing heavy metal from contaminated soils on farmland: A review. Chemosphere 2022, 305, 135457. [Google Scholar] [CrossRef] [PubMed]
- Gogoi, B.; Acharjee, S.A.; Bharali, P.; Sorhie, V.; Walling, B.; Alemtoshi. A critical review on the ecotoxicity of heavy metals on multispecies in global context: A bibliometric analysis. Environ. Res. 2024, 248, 118280. [Google Scholar] [CrossRef] [PubMed]
- Schlögl, S.; Diendorfer, P.; Baldermann, A.; Vollprecht, D. Use of industrial residues for heavy metals immobilization in contaminated site remediation: A brief review. Int. J. Environ. Sci. Technol. 2023, 20, 2313–2326. [Google Scholar] [CrossRef]
- Gong, Y.; Zhao, D.; Wang, Q. An overview of field-scale studies on remediation of soil contaminated with heavy metals and metalloids: Technical progress over the last decade. Water Res. 2018, 147, 440–460. [Google Scholar] [CrossRef]
- Xu, D.M.; Fu, R.B.; Wang, J.X.; Shi, Y.X.; Guo, X.P. Chemical stabilization remediation for heavy metals in contaminated soils on the latest decade: Available stabilizing materials and associated evaluation methods—A critical review. J. Clean. Prod. 2021, 321, 128730. [Google Scholar] [CrossRef]
- Tu, C.; Wei, J.; Guan, F.; Liu, Y.; Sun, Y.H.; Luo, Y.M. Biochar and bacteria inoculated biochar enhanced Cd and Cu immobilization and enzymatic activity in a polluted soil. Environ. Int. 2020, 137, 105576. [Google Scholar] [CrossRef]
- Cui, X.Q.; Zhang, J.W.; Wang, X.T.; Pan, M.H.; Lin, Q.; Khan, K.Y.; Yan, B.B.; Li, T.Q.; He, Z.L.; Yang, X.; et al. A review on the thermal treatment of heavy metal hyperaccumulator: Fates of heavy metals and generation of products. J. Hazard. Mater. 2021, 405, 123832. [Google Scholar] [CrossRef]
- Azhar, U.; Ahmad, H.; Shafqat, H.; Babar, M.; Munir, H.M.S.; Sagir, M.; Arif, M.; Hassan, A.; Rachmadona, N.; Rajendran, S.; et al. Remediation techniques for elimination of heavy metal pollutants from soil: A review. Environ. Res. 2022, 214, 113918. [Google Scholar] [CrossRef]
- Liu, J.; Qiao, S.; Chen, H.; Zhao, S.; Li, C.; Wu, Y.; Li, D.; Li, L. Multiple pathway exposure risks and driving factors of heavy metals in soil-crop system in a Pb/Zn smelting city, China. J. Clean. Prod. 2024, 459, 142523. [Google Scholar] [CrossRef]
- Ali, H.; Khan, E.; Ilahi, I. Environmental chemistry and ecotoxicology of hazardous heavy metals: Environmental persistence, toxicity, and bioaccumulation. J. Chem. 2019, 1, 6730305. [Google Scholar] [CrossRef]
- Gao, J.; Han, H.; Gao, C.; Wang, Y.; Dong, B.; Xu, Z. Organic amendments for in situ immobilization of heavy metals in soil: A review. Chemosphere 2023, 335, 139088. [Google Scholar] [CrossRef] [PubMed]
- Chen, L.; Zhang, X.; Zhang, M.; Zhu, Y.H.; Zhuo, R. Removal of heavy-metal pollutants by white rot fungi: Mechanisms, achievements, and perspectives. J. Clean. Prod. 2022, 354, 131681. [Google Scholar] [CrossRef]
- Yaashikaa, P.R.; Kumar, P.S.; Jeevanantham, S.; Saravanan, R. A review on bioremediation approach for heavy metal detoxification and accumulation in plants. Environ. Pollut. 2022, 301, 119035. [Google Scholar] [CrossRef]
- Deng, S.; Zhang, X.; Zhu, Y.; Zhuo, R. Recent advances in phyto-combined remediation of heavy metal pollution in soil. Biotechnol. Adv. 2024, 72, 108337. [Google Scholar] [CrossRef] [PubMed]
- Zeng, X.; Bai, L.; Gao, X.; Shan, H.; Wu, C.; Su, S. Agricultural planning by selecting food crops with low arsenic accumulation to efficiently reduce arsenic exposure to human health in an arsenic-polluted mining region. J. Clean. Prod. 2021, 308, 127403. [Google Scholar] [CrossRef]
- Samal, L.C.; Bhattacharya, P.; Biswas, P.; Maity, J.P.; Bundschuh, J.; Santra, S.C. Variety-specific arsenic accumulation in 44 different rice cultivars (O. sativa L.) and human health risks due to co-exposure of arsenic-contaminated rice and drinking water. J. Hazard. Mater. 2021, 407, 124804. [Google Scholar] [CrossRef]
- Xu, M.; Yang, L.; Chen, Y.; Jing, H.; Wu, P.; Yang, W. Selection of rice and maize varieties with low cadmium accumulation and derivation of soil environmental thresholds in karst. Ecotoxicol. Environ. Saf. 2022, 247, 114244. [Google Scholar] [CrossRef]
- Wang, L.; Liu, Q.; Fu, J.; Xiao, Y.; Yang, J.; Liao, X. Sustainable remediation of Cd-contaminated farmland through the rotation of rapeseed–rice varieties with different Cd accumulation potentials. Ecotoxicol. Environ. Saf. 2025, 289, 117453. [Google Scholar] [CrossRef]
- Balconi, C.; Galaretto, A.; Malvar, R.A.; Nicolas, S.D.; Redaelli, R.; Andjelkovic, V.; Revilla, P.; Bauland, C.; Gouesnard, B.; Butron, A.; et al. Genetic and Phenotypic Evaluation of European Maize Landraces as a Tool for Conservation and Valorization of Agrobiodiversity. Biology 2024, 13, 454. [Google Scholar] [CrossRef]
- Zeng, P.; He, S.; He, L.; Yang, M.; Zhu, X.; Wu, M. Screening of maize varieties with high biomass and low accumulation of Pb and Cd around lead and zinc smelting enterprises: Field experiment. Agriculture 2024, 14, 423. [Google Scholar] [CrossRef]
- Zha, Y.; Zhao, L.; Niu, T.; Yue, E.; Wang, X.; Shi, J. Multi-target element-based screening of maize varieties with low accumulation of heavy metals (HMs) and metalloids: Uptake, transport, and health risks. Agriculture 2023, 13, 1123. [Google Scholar] [CrossRef]
- Hu, P.; Tu, F.; Li, S.; Pan, Y.; Kong, C.; Zhang, X.; Wang, S.; Sun, Y.; Qiu, D.; Wu, L.; et al. Low-Cd wheat varieties and soil Cd safety thresholds for local soil health management in south Jiangsu province, east China. Agric. Ecosyst. Environ. 2023, 341, 108211. [Google Scholar] [CrossRef]
- Feng, L.X.; Li, Y.N.; Geng, L.P.; Gao, P.P.; Li, X.Y.; Li, D.H.; Hua, G.L.; Zhao, Q.L.; Liu, W.J.; Xue, P.Y. Foliar uptake screening: A promising strategy for identifying wheat varieties with low lead accumulation. Sci. Total Environ. 2024, 933, 173166. [Google Scholar] [CrossRef] [PubMed]
- Chen, Q.; Wu, F.B. Breeding for low cadmium accumulation cereals. J. Zhejiang Univ. Sci. B 2020, 21, 442–459. [Google Scholar] [CrossRef]
- Lin, L.; Wu, X.; Deng, X.; Lin, Z.; Liu, C.; Zhang, J.; He, T.; Yi, Y.; Liu, H.; Wang, Y.; et al. Mechanisms of low cadmium accumulation in crops: A comprehensive overview from rhizosphere soil to edible parts. Environ. Res. 2024, 245, 118054. [Google Scholar] [CrossRef]
- Zhang, Q.; Wang, L.; Zhu, J.; Liu, Q.; Zhao, F.; Liao, X. Screening of low-Cd-accumulating and Cd-remediating oilseed rape varieties using a newly indicator system for risk management of Cd-contaminated agricultural land. Chemosphere 2024, 358, 142148. [Google Scholar] [CrossRef]
- Zhang, Y.; Wang, R.; Luo, T.; Fu, J.; Yin, M.; Wang, M.; Zhao, Y. CRISPR-mediated BnaNRAMP1 homologous copies editing create a low Cd-accumulation oilseed rape germplasm with unaffected yield. J. Integr. Agric. 2024, in press. [Google Scholar] [CrossRef]
- Zhang, K.; Ding, S.; Yan, Y.; Huang, X.; Li, S.; Zhao, W.; Chen, X.; Dai, J. Screening of peanut cultivars with low-cadmium accumulation assisted by cadmium resistance: Promoting safe utilization of cadmium contaminated soils. Appl. Soil Ecol. 2024, 193, 105109. [Google Scholar] [CrossRef]
- Nemerow, N.L. Stream, Lake, Estuary, and Ocean Pollution; Van Nostrand Reinhold: New York, NY, USA, 1991. [Google Scholar]
- China National Environmental Monitoring Centre. Background Values of Soil Elements in China; China Environmental Science Press: Beijing, China, 1990; pp. 330–379. [Google Scholar]
- Hakanson, L. An ecological risk index for aquatic pollution control: A sedimentological approach. Water Res. 1980, 14, 975–1001. [Google Scholar] [CrossRef]
- Yang, L.; Wu, P.; Yang, W. Study on safe usage of agricultural land in typical karst areas based on Cd in soil and maize: A case study of Northwestern Guizhou, China. Agriculture 2022, 12, 1156. [Google Scholar] [CrossRef]
- Haque, E.; Adamcakova-Dodd, A.; Jing, X.; Wang, H.; Jarmusch, A.K.; Thorne, P.S. Multi-omics inhalation toxicity assessment of urban soil dusts contaminated by multiple legacy sources of lead (Pb). J. Hazard. Mater. 2024, 480, 136120. [Google Scholar] [CrossRef] [PubMed]
- Chen, M.; Zhang, Y.; Ji, W.; Chen, Q.; Li, Y.; Long, T.; Wang, L. Source identification and exposure risk management for soil arsenic in urban reclamation areas with high background levels: A case study in a coastal reclamation site from the Pearl River Delta, China. J. Hazard. Mater. 2024, 465, 133294. [Google Scholar] [CrossRef] [PubMed]
- Liu, W.; Li, J.; Zheng, J.; Song, Y.; Shi, Z.; Lin, Z.; Chai, L. Different pathways for Cr(III) oxidation: Implications for Cr(VI) reoccurrence in reduced chromite ore processing residue. Environ. Sci. Technol. 2020, 54, 11971–11979. [Google Scholar] [CrossRef]
- Lin, G.; Zhang, C.; Yang, Z.; Li, Y.; Liu, C.; Ma, L.Q. High geological background concentrations of As and Cd in karstic soils may not contribute to greater risks to human health via rice consumption. J. Hazard. Mater. 2024, 480, 135876. [Google Scholar] [CrossRef]
- Cao, C.; Zhang, N.; Tao, R.; Zheng, J.; Hu, H.; Li, J.; Ma, Y.; Liao, X. Screening for low-cadmium accumulation in maize varieties based on species sensitivity distribution and research on soil environmental thresholds. Agronomy 2023, 13, 1960. [Google Scholar] [CrossRef]
- Liang, C.; Xiao, H.; Hu, Z.; Zhang, X.; Hu, J. Uptake, transportation, and accumulation of C60 fullerene and heavy metal ions (Cd, Cu, and Pb) in rice plants grown in an agricultural soil. Environ. Pollut. 2018, 235, 330–338. [Google Scholar] [CrossRef]
- Du, C.; Yu, X.; Du, J.; Mao, Y.; Duan, Z.; Bao, L.; Zhang, N.; Chen, J. Variety difference of Cd, Pb, and As accumulation and translocation in different varieties of Zea mays. Ecol. Environ. Sci. 2019, 28, 1867–1875. [Google Scholar] [CrossRef]
- Baker, A.J.M. Accumulators and excluders—Strategies in the response of plants to heavy metals. J. Plant Nutr. 1981, 3, 643–654. [Google Scholar] [CrossRef]
- Wang, P.; Chen, H.; Kopittke, P.M.; Zhao, F.J. Cadmium contamination in agricultural soils of China and the impact on food safety. Environ. Pollut. 2019, 249, 1038–1048. [Google Scholar] [CrossRef]
- Mo, S.Q.; Cao, Y.N.; Tan, Q. Research progress on the mechanism of root secretions in the ecological remediation of heavy metal contaminated soils. J. Ecol. 2022, 41, 382–392. [Google Scholar] [CrossRef]
- Belimov, A.A.; Safronova, V.I.; Tsyganov, V.E.; Borisov, A.Y.; Kozhemyakov, A.P.; Stepanok, V.V.; Martenson, A.M.; Gianinazzi-Pearson, V.; Tikhonovich, I.A. Genetic variability in tolerance to cadmium and accumulation of heavy metals in pea (Pisum sativum L.). Euphytica 2003, 131, 25–35. [Google Scholar] [CrossRef]
- Zhou, X.; Hu, H.; Ying, C.; Zheng, J.; Zhou, F.; Jiang, H.; Ma, Y. Study on chromium uptake and transfer of different maize varieties in chromium-polluted farmland. Sustainability 2022, 14, 14311. [Google Scholar] [CrossRef]
- Florijn, P.J.; Nelemans, J.A.; Van Beusichem, M.L. The influence of the form of nitrogen nutrition on uptake and distribution of cadmium in lettuce varieties. J. Plant Nutr. 1992, 15, 2405–2416. [Google Scholar] [CrossRef]
- Liu, Q.; Wang, S.; He, T.; Bao, L.; Zhang, N.M. Differences in lead and cadmium accumulation and translocation in different varieties of Zea mays. J. Ecol. Rural Environ. 2024, 40, 130–137. [Google Scholar] [CrossRef]
- Liu, W.; Zhou, Q.; Zhang, Y.; Wei, S. Lead accumulation in different Chinese cabbage cultivars and screening for pollution-safe cultivars. J. Environ. Manag. 2010, 91, 781–788. [Google Scholar] [CrossRef]









| Number | Variety Name | Main Agronomic Feature of Maize |
|---|---|---|
| M1 | Datian 183 | Ear shape: conical to cylindrical, grain color: medium yellow |
| M2 | Diwo 1 | Ear shape: cylindrical, grain color: yellow |
| M3 | Diwo 8 | Ear shape: cylindrical, grain color: orange-yellow |
| M4 | Dunyu 735 | Ear shape: cylindrical, grain color: yellow |
| M5 | Haoyu 1511 | Ear shape: conical to cylindrical, grain color: medium yellow |
| M6 | Hongdan 6 | Ear shape: cylindrical, grain color: orange-red |
| M7 | Huaxingdan 7 | Ear shape: cylindrical, grain color: yellow |
| M8 | Huaxingdan 88 | Ear shape: conical, grain color: orange-yellow |
| M9 | Huayu 17 | Ear shape: cylindrical, grain color: yellow-red |
| M10 | Huidan 888 | Ear shape: cylindrical, grain color: orange-yellow |
| M11 | Huidan 936 | Ear shape: conical to cylindrical, grain color: orange |
| M12 | Jiyuan 8 | Ear shape: cylindrical, grain color: orange-yellow |
| M13 | Jinboshi 917 | Ear shape: cylindrical, grain color: yellow |
| M14 | Jinyu 150 | Ear shape: cylindrical, grain color: yellow |
| M15 | Jinyu 932 | Ear shape: conical, grain color: yellow |
| M16 | Jingdan 16 | Ear shape: conical to cylindrical, grain color: medium yellow |
| M17 | Ludan 25 | Ear shape: conical to cylindrical, grain color: orange-yellow |
| M18 | Luodan 297 | Ear shape: cylindrical, grain color: yellow |
| M19 | Shengyu 16 | Ear shape: conical to cylindrical, grain color: orange-yellow |
| M20 | Shengyu 607 | Ear shape: conical to cylindrical, grain color: orange-yellow |
| M21 | Shengxing 199 | Ear shape: conical to cylindrical, grain color: yellow |
| M22 | Xikang 18 | Ear shape: cylindrical, grain color: white |
| M23 | Xianyu 1798 | Ear shape: conical to cylindrical, grain color: yellow |
| M24 | Xingdan 106 | Ear shape: conical to cylindrical, grain color: medium yellow |
| M25 | Yunhuang 7 | Ear shape: conical to cylindrical, grain color: medium yellow |
| M26 | Yunli 4 | Ear shape: conical to cylindrical, grain color: orange-yellow |
| M27 | Zuyu 606 | Ear shape: conical to cylindrical, grain color: orange-yellow |
| M28 | Zuyu 809 | Ear shape: conical to cylindrical, grain color: orange-yellow |
| Single-Factor Pollution Index (Pi) | Pollution Level | Nemero Comprehensive Pollution Index (PN) | Pollution Level |
|---|---|---|---|
| Pi ≤ 1 | No Pollution | PN ≤ 0.7 | No Pollution (Safe) |
| 1 < Pi ≤ 2 | Light Pollution | 0.7 < PN ≤ 1 | Slight Pollution (Warning) |
| 2 < Pi ≤ 3 | Moderate Pollution | 1 < PN ≤ 2 | Light Pollution |
| Pi > 3 | Severe Pollution | 2 < PN ≤ 3 | Moderate Pollution |
| PN > 3 | Severe Pollution |
| Potential Ecological Risk Index (Ei) | Integrated Potential Ecological Risk Index (RI) | Risk Level |
|---|---|---|
| Ei ≤ 40 | RI ≤ 150 | Slight Risk |
| 40 < Ei ≤ 80 | 150 < RI ≤ 300 | Low Risk |
| 80 < Ei ≤ 160 | 300 < RI ≤ 600 | Moderate Risk |
| 160 < Ei ≤ 320 | 600 < RI ≤ 1200 | High Risk |
| Ei > 320 | RI > 1200 | Extremely High Risk |
| Variety Number | Root Dry Weight (g·plant−1) | Stem Dry Weight (g·plant−1) | Leaf Dry Weight (g·plant−1) | Cob Dry Weight (g·plant−1) | Grain Dry Weight (g·plant−1) | Yield (kg·hm−2) | Plant Height (cm) | Stem Diameter (mm) | Root Length (cm) |
|---|---|---|---|---|---|---|---|---|---|
| M1 | 21.4 ± 0.7 hi | 78.4 ± 9.5 ab | 98.2 ± 8.9 cde | 19.5 ± 1.9 hi | 230.3 ± 12.4 ghijk | 9304.8 ± 499.5 ghijk | 296.0 ± 5.1 ab | 24.3 ± 0.2 ab | 19.7 ± 1.7 lmno |
| M2 | 31.4 ± 1.0 b | 75.5 ± 9.2 abc | 104.4 ± 9.5 bcd | 26.5 ± 2.4 cdefgh | 242.8 ± 6.7 efgh | 9808.4 ± 270.6 efgh | 233.0 ± 5.0 hijk | 25.8 ± 2.6 a | 22.7 ± 1.2 hijk |
| M3 | 16.7 ± 0.5 no | 48.1 ± 5.8 fghi | 86.7 ± 7.9 cdefghi | 22.1 ± 5.3 efghi | 205.0 ± 8.3 lmno | 8282.5 ± 336.5 lmno | 254.3 ± 4.6 efg | 19.3 ± 0.9 cdefgh | 28.0 ± 0.8 bcde |
| M4 | 16.7 ± 0.5 no | 60.0 ± 7.3 bcdefgh | 72.7 ± 6.6 ghij | 12.5 ± 4.7 j | 182.6 ± 2.9 p | 7377.6 ± 117.2 p | 287.3 ± 2.5 bc | 18.3 ± 1.1 defghi | 28.7 ± 0.9 bc |
| M5 | 22.9 ± 0.7 g | 74.8 ± 9.1 abc | 119.2 ± 10.8 ab | 37.6 ± 5.3 a | 273.2 ± 3.7 a | 11,037.0 ± 151.1 a | 259.7 ± 3.3 ef | 22.4 ± 0.4 abcd | 25.7 ± 1.7 defg |
| M6 | 25.7 ± 0.8 de | 90.4 ± 11.0 a | 124.9 ± 11.4 a | 32.8 ± 1.4 abc | 216.0 ± 11.2 jklmn | 8726.7 ± 454.4 jklmn | 226.7 ± 5.7 jkl | 17.0 ± 2.4 fghi | 18.0 ± 0.8 no |
| M7 | 18.8 ± 0.6 lm | 43.1 ± 5.2 hi | 78.4 ± 7.1 efghij | 30.2 ± 3.2 bcd | 210.1 ± 5.7 klmno | 8487.6 ± 228.4 klmno | 218.7 ± 12.8 kl | 15.1 ± 1.4 hi | 21.3 ± 1.2 jklm |
| M8 | 21.0 ± 0.6 ij | 50.0 ± 6.1 efghi | 76.8 ± 7.0 fghij | 31.0 ± 1.8 abcd | 271.2 ± 3.2 ab | 10,958.5 ± 128.3 ab | 269.3 ± 8.5 de | 18.8 ± 1.7 cdefghi | 26.3 ± 0.5 cdefg |
| M9 | 24.9 ± 0.8 ef | 65.4 ± 7.9 bcdef | 93.1 ± 8.5 cdefg | 27.2 ± 1.5 cdefg | 253.9 ± 14.6 abcdef | 10,259.8 ± 589.0 abcdef | 276.0 ± 8.5 cd | 20.0 ± 2.1 bcdefg | 31.3 ± 1.7 a |
| M10 | 28.7 ± 0.9 c | 61.9 ± 7.5 bcdefg | 106.3 ± 9.7 abc | 29.4 ± 1.3 bcde | 258.3 ± 5.8 abcde | 10,435.9 ± 234.1 abcde | 261.3 ± 9.4 def | 19.3 ± 2.3 cdefgh | 24.7 ± 0.9 fghi |
| M11 | 30.1 ± 0.9 bc | 77.5 ± 9.4 ab | 123.6 ± 11.2 ab | 31.3 ± 2.0 abcd | 246.4 ± 10.0 defg | 9955.5 ± 405.5 defg | 304.7 ± 12.3 a | 21.7 ± 1.2 bcde | 20.3 ± 1.2 klmn |
| M12 | 19.3 ± 0.6 klm | 63.0 ± 7.7 bcdefg | 78.5 ± 7.1 efghij | 24.0 ± 5.1 defgh | 217.7 ± 8.4 jklmn | 8794.7 ± 340.3 jklmn | 245.7 ± 5.3 fgh | 20.2 ± 2.0 bcdefg | 19.0 ± 0.8 mno |
| M13 | 22.7 ± 0.7 gh | 57.4 ± 7.0 cdefghi | 96.3 ± 8.8 cdef | 27.4 ± 3.4 cdefg | 221.0 ± 15.7 ijklm | 8929.1 ± 633.0 ijklm | 239.0 ± 3.7 ghij | 17.5 ± 0.5 efghi | 20.3 ± 0.5 klmn |
| M14 | 29.8 ± 0.9 c | 92.7 ± 11.3 a | 121.7 ± 11.1 ab | 36.5 ± 1.8 ab | 264.4 ± 9.2 abcd | 10,684.4 ± 370.3 abcd | 246.0 ± 7.8 fgh | 20.1 ± 2.9 bcdefg | 24.0 ± 0.8 fghij |
| M15 | 18.0 ± 0.6 mn | 60.2 ± 7.3 bcdefgh | 90.7 ± 8.2 cdefgh | 33.2 ± 6.0 abc | 239.6 ± 6.3 efghi | 9680.9 ± 254.4 efghi | 266.0 ± 7.8 de | 20.2 ± 2.7 bcdefg | 25.7 ± 1.7 defg |
| M16 | 26.7 ± 0.8 d | 57.8 ± 7.0 cdefghi | 90.9 ± 8.3 cdefgh | 20.7 ± 4.4 fghi | 194.4 ± 5.9op | 7855.1 ± 237.4 op | 184.7 ± 7.8 m | 21.6 ± 1.6 bcde | 20.0 ± 0.8 klmn |
| M17 | 16.1 ± 0.5 o | 40.3 ± 4.9 i | 64.9 ± 5.9 j | 28.1 ± 1.4 cde | 208.4 ± 11.3 lmno | 8418.3 ± 456.9 lmno | 216.3 ± 4.0 l | 18.0 ± 1.1 defghi | 22.3 ± 1.2 ijkl |
| M18 | 23.5 ± 0.7 fg | 63.3 ± 7.7 bcdefg | 94.4 ± 8.6 cdef | 27.8 ± 1.7 cdefg | 250.8 ± 7.1 bcdefg | 10,133.1 ± 287.4 bcdefg | 222.0 ± 10.7 kl | 14.8 ± 1.0 i | 17.0 ± 0.8 o |
| M19 | 18.6 ± 0.6 lm | 63.6 ± 7.7 bcdefg | 105.2 ± 9.6 abcd | 27.7 ± 4.7 cdefg | 248.2 ± 13.8 cdefg | 10,027.6 ± 558.9 cdefg | 262.7 ± 1.7 de | 20.4 ± 2.8 bcdefg | 30.3 ± 1.2 ab |
| M20 | 17.9 ± 0.5 mn | 51.9 ± 6.3 efghi | 93.0 ± 8.5 cdefg | 30.7 ± 2.0 abcd | 233.7 ± 10.3 fghij | 9442.5 ± 414.5 fghij | 228.0 ± 5.9 ijkl | 16.9 ± 0.9 fghi | 25.3 ± 2.1 efgh |
| M21 | 16.3 ± 0.5 o | 68.3 ± 8.3 bcde | 86.8 ± 7.9 cdefghi | 29.9 ± 1.8 bcd | 225.6 ± 11.7 hijkl | 9115.5 ± 472.6 hijkl | 262.7 ± 8.2 de | 19.5 ± 1.0 cdefgh | 26.7 ± 1.2 cdef |
| M22 | 20.8 ± 0.6 ijk | 71.9 ± 8.7 bcd | 84.8 ± 7.7 defghij | 28.0 ± 1.6 cdef | 202.8 ± 5.3 mnop | 8194.2 ± 213.8 mnop | 298.0 ± 4.5 ab | 20.4 ± 1.4 bcdef | 28.3 ± 1.2 bcd |
| M23 | 20.7 ± 0.6 ijk | 53.5 ± 6.5 defghi | 77.8 ± 7.1 efghij | 20.5 ± 1.9 ghi | 200.7 ± 8.3 mnop | 8109.6 ± 335.5 mnop | 311.0 ± 1.4 a | 15.5 ± 3.2 hi | 25.7 ± 1.7 defg |
| M24 | 16.5 ± 0.5 no | 54.3 ± 6.6 defghi | 68.1 ± 6.2 ij | 16.5 ± 2.8 ij | 199.6 ± 12.1 mnop | 8064.0 ± 490.6 mnop | 217.7 ± 6.5 kl | 18.2 ± 1.8 defghi | 20.0 ± 0.8 klmn |
| M25 | 16.7 ± 0.5 no | 44.9 ± 5.5 ghi | 72.2 ± 6.6 hij | 20.5 ± 0.4 ghi | 196.9 ± 2.0 nop | 7956.2 ± 79.2 nop | 242.3 ± 4.5 ghi | 15.9 ± 1.3 ghi | 26.0 ± 1.6 cdefg |
| M26 | 19.7 ± 0.6 jkl | 58.4 ± 7.1 cdefghi | 118.6 ± 10.8 ab | 36.3 ± 1.4 ab | 268.6 ± 9.9 abc | 10,852.9 ± 398.3 abc | 254.0 ± 2.9 efg | 19.4 ± 2.9 cdefgh | 23.5 ± 0.4 ghij |
| M27 | 23.8 ± 0.7 fg | 61.1 ± 7.4 bcdefgh | 93.3 ± 8.5 cdefg | 25.2 ± 0.6 defgh | 256.6 ± 7.7 abcde | 10,367.4 ± 309.6 abcde | 261.3 ± 6.9 def | 18.9 ± 1.8 cdefghi | 24.7 ± 1.2 fghi |
| M28 | 36.5 ± 1.1 a | 78.3±9.5ab | 97.5 ± 8.9 cdef | 25.7 ± 3.2 cdefgh | 212.9 ± 6.5 jklmno | 8601.3 ± 260.8 jklmno | 267.0 ± 8.3 de | 23.0 ± 0.6 abc | 18.3 ± 1.2 no |
| Average | 22.2 | 63.1 | 93.5 | 27.1 | 229.7 | 9280.8 | 254.0 | 19.4 | 23.7 |
| Coefficient of Variation | 23.88% | 24.07% | 20.25% | 24.57% | 12.01% | 12.01% | 11.87% | 16.40% | 16.90% |
| Item | Principal Component 1 | Principal Component 2 | Principal Component 3 |
|---|---|---|---|
| Cd | 7.39 | 2.92 | 0.71 |
| Pb | 7.50 | −2.67 | 0.62 |
| As | 8.04 | −0.56 | −0.07 |
| Cr | 7.94 | 0.38 | −1.17 |
| Eigenvalue | 3.55 | 0.32 | 0.09 |
| Contribution Rate (%) | 88.82 | 7.94 | 2.16 |
| Cumulative Contribution Rate (%) | 88.82 | 96.76 | 98.92 |
Disclaimer/Publisher’s Note: The statements, opinions and data contained in all publications are solely those of the individual author(s) and contributor(s) and not of MDPI and/or the editor(s). MDPI and/or the editor(s) disclaim responsibility for any injury to people or property resulting from any ideas, methods, instructions or products referred to in the content. |
© 2025 by the authors. Licensee MDPI, Basel, Switzerland. This article is an open access article distributed under the terms and conditions of the Creative Commons Attribution (CC BY) license (https://creativecommons.org/licenses/by/4.0/).
Share and Cite
Liu, Q.; Wang, S.; Zhou, J.; Bao, L.; Zhou, W.; Zhang, N. Accumulation and Transport of Cd, Pb, As, and Cr in Different Maize Varieties in Southwest China. Agriculture 2025, 15, 203. https://doi.org/10.3390/agriculture15020203
Liu Q, Wang S, Zhou J, Bao L, Zhou W, Zhang N. Accumulation and Transport of Cd, Pb, As, and Cr in Different Maize Varieties in Southwest China. Agriculture. 2025; 15(2):203. https://doi.org/10.3390/agriculture15020203
Chicago/Turabian StyleLiu, Qi, Sheng Wang, Jijiang Zhou, Li Bao, Wenbing Zhou, and Naiming Zhang. 2025. "Accumulation and Transport of Cd, Pb, As, and Cr in Different Maize Varieties in Southwest China" Agriculture 15, no. 2: 203. https://doi.org/10.3390/agriculture15020203
APA StyleLiu, Q., Wang, S., Zhou, J., Bao, L., Zhou, W., & Zhang, N. (2025). Accumulation and Transport of Cd, Pb, As, and Cr in Different Maize Varieties in Southwest China. Agriculture, 15(2), 203. https://doi.org/10.3390/agriculture15020203
