Abstract
Papaya (Carica papaya L.) is a highly nutritious fruit crop cultivated commercially in the tropical and subtropical regions of the world. Being a shallow rooted fruit crop, it requires frequent application of nutrients. Papaya is highly remunerative due to its high productivity and responds positively to nutrient application. Papaya Ring Spot Virus (PRSV) is a major threat to papaya production, which causes severe yield loss and reduces fruit quality. To combat PRSV and enhance productivity, a nutrient formulation was developed by combining organic, inorganic nutrient sources with biocontrol agents to improve the health and vigor of the plants. Experiments were conducted to standardize the application time and evaluate the efficacy of nutrient formulation in enhancing yield, and to combat papaya ring spot virus (PRSV) incidence in papaya from January 2021 to December 2023 at Tamil Nadu Agricultural University, Coimbatore, Tamil Nadu, India. The results revealed that foliar application of nutrient formulation at monthly intervals from the 3rd to the 7th month after planting (MAP) along with regular application of recommended dose of fertilizers (RDF) at bimonthly intervals from the 3rd MAP significantly increased the yield (37.79% and 30.57% in TNAU Papaya CO 8 and Red Lady, respectively) and reduced PRSV disease incidence (22.49% in TNAU Papaya CO 8 and 16.53% in Red Lady). Metabolomics study indicates that foliar spray of nutrient formulation enhanced the activators and precursors of defense enzymes, viz., peroxidase (PO), polyphenol oxidase (PPO), phenyl ammonia lyase (PAL), catalase (CAT) and nitrate reductase (NRase) in the sprayed plants over unsprayed control. Therefore, the sprayed plants exhibited tolerance to PRSV incidence by maintaining vigor and induced systemic resistance by the defense enzymes.
1. Introduction
Over the years, ensuring nutritional security has become a pressing concern with the increasing global population. Though food security has been addressed successfully, the focus has shifted to promoting healthy lives through the daily consumption of fruits and vegetables. Papaya (Carica papaya L.) is a nutritionally rich fruit crop cultivated widely in the tropical and subtropical regions of the world. This monotypic species in the genus Carica is the only economically important member of the family Caricaceae, which originated in Tropical America. The total world papaya production during 2022 was 13.82 million metric tonnes [], and the major papaya producing countries are India, the Dominican Republic, Brazil, Mexico and Indonesia. This crop was introduced into India during the 16th century. India leads in papaya production, and 52.40 lakh metric tonnes of papaya fruits are produced from 1.48 lakh hectares with a productivity of 35.35 metric tonnes per hectare []. Papaya, also known as the “Wonder Fruit of the Tropics”, is a rich source of vitamin A (2020 IU/100 g), vitamin C, folate, riboflavin, calcium and fiber. The ripe fruits are used for dessert and processed into various value-added products, including candy, nectar, wine, tutti frutti, and syrup. The latex derived from immature fruits contains the proteolytic enzyme ‘papain’, mainly used in meat tenderization, manufacture of chewing gum, degumming of natural silk, pharmaceutical, beer, dairy, photographic, textile, optical, tanning and leather industries.
Papaya cultivation is highly remunerative owing to its high productivity. This crop exhibits continuous growth; once it starts flowering, vegetative and reproductive phases co-occur. Fruits can be harvested continuously from 8½–9 months after planting. Papaya feeds heavily and responds positively to nutrient application. Papaya roots extend only up to 45 cm in the soil, and due to shallow rooting, they cannot sustain themselves by absorbing nutrients from the deeper layers of soil. Hence, adequate and frequent application of nutrients at regular intervals during various crop growth and developmental stages is necessary for obtaining a higher yield with good fruit quality. Recommended dose of fertilizers (RDF) as soil application of 50 g each of N, P2O5 and K2O per plant at bimonthly intervals from the 3rd month after planting (MAP) and foliar application of 0.5% zinc sulfate and 0.1% boric acid at the 3rd, 5th and 7th MAP is recommended for papaya cultivation in Tamil Nadu []. In addition, foliar application of 0.5% calcium nitrate and 0.5% potassium sulfate, along with micronutrients and RDF, was also observed to enhance papaya’s growth, yield, and fruit quality [,].
Papaya is a polygamous species, and cultivated varieties exhibit dioecious and gynodioecious sex forms. TNAU papaya CO 8 (dioecious) and Red Lady (gynodioecious) are two important commercial varieties of papaya, widely cultivated in different papaya growing regions in India due to their higher potential yield. Papaya cultivation is severely affected by various biotic and abiotic stresses, and papaya ring spot virus (PRSV) remains predominant. PRSV belongs to the family Potyviridae and is transmitted through aphids non-persistently. Various aphid species have been reported in PRSV transmission, viz., Aphis craccivora, Myzus persicae, Aphis gossypii, Aphis citricola and Rhopalosiphum maidis []. PRSV has two strains, viz., PRSV-P (papaya strain), which infects the plants belonging to Caricaceae and Cucurbitaceae families and PRSV-W (watermelon strain), which affects only the cucurbits []. PRSV-infected plants produce various symptoms like mosaic mottling and chlorosis in leaves, water-soaked oily spots or streaks on the petiole and tree trunk, distortion of young leaves, and severe infestation leads to shoestring-like symptoms and results in stunted plant growth. Fruits show oily ring spots, and severe infestation leads to malformed fruits. Infestation may result in a yield loss of up to 80 to 90%, depending on the crop stage and the virus infection’s severity []. It was observed that the gynodioecious papaya varieties are comparatively more susceptible to PRSV than the dioecious varieties [].
Several scientific approaches are employed in various papaya producing countries to manage PRSV infestation. These include breeding approaches such as developing varieties with tolerance or resistance mechanisms through various breeding methods, host plant immunization, and transgenic approaches (GM crops). Agronomic approaches like vector control, alternate host control, and micronutrient application are also employed. Currently, commercial PRSV-resistant varieties are not available for cultivation in India. However, some studies suggest that the application of micronutrients may help to combat plant viral infections by indirectly improving plant immunity. This is achieved through the increased expression of pathogenesis-related (PR) genes and enhanced antioxidant enzyme activity []. For example, Fe3O4 nanoparticles have shown antiviral properties against turnip mosaic virus in Nicotiana benthamiana []. Additionally, soil and foliar application of ZnSO4 provided tolerance to cassava mosaic disease (CMD) in cassava []. The application of biocontrol agents, such as Bacillus sp., has also been reported to induce systemic resistance against mosaic virus in tobacco []. Therefore, adequate and proper nutrient application along with vector control will aid in boosting the papaya plant’s vigor, obtaining optimum yield with good-quality fruits, and combating PRSV without yield loss. Hence, it was hypothesized that a combination of organic and inorganic nutrients, and biocontrol agents could improve the vigor of papaya plants to combat PRSV, resulting in higher yield and enhanced fruit quality. Given this background, the present study was formulated to develop a nutrient formulation, to standardize the time of application and also to test its efficacy on papaya growth, yield, quality, shelf life and PRSV tolerance.
2. Materials and Methods
2.1. Preparation of Nutrient Formulation
The inputs utilized for preparation of papaya nutrient formulation are fresh cow dung, Bacillus subtilis, neem cake, sulfate of potash, zinc sulfate, boric acid, ferrous sulfate and calcium nitrate, and their special features are mentioned in Table 1.

Table 1.
Components of nutrient formulation and their features.
The nutrient formulation was prepared by adding 40 kg of fresh cow dung in 100 L of water, mixed and filtered. One kilogram of Bacillus subtilis and one kilogram of neem cake were added to the filtrate. Then, the solution was filled in an airtight container and kept for fermentation (10 days) with intermittent stirring on alternate days. After 10 days, the filtrate was collected and was supplemented with a 2.0 kg nutrient mixture, comprising 0.5% sulfate of potash, 0.25% calcium nitrate, 0.125% zinc sulfate, 0.25% ferrous sulfate and 0.15% boric acid. Then, the final volume was made up to 200 L and used to spray one acre of papaya crop on the same day.
2.2. Standardization of Time of Nutrient Formulation Foliar Spray on Growth, Yield, Quality and PRSV Management in Papaya
The present research consisted of two field experiments conducted during 2021–2023. The experimental fields were located at the College Orchard, Horticultural College and Research Institute, Tamil Nadu Agricultural University, Coimbatore at an elevation of 426.72 MSL and between 11° N latitude and 77° E longitude, receiving an average rainfall of 625 mm and experiencing a tropical climate. The first experiment was carried out during January 2021–June 2022 to standardize the time of application and assess the effect of nutrient formulation on growth, yield, quality and PRSV disease incidence of papaya. The experimental site consists of clayey loam soil (pH 7.74 and EC 0.67 dS m−1) with available nitrogen, phosphorus and potassium content of 217 kg ha−1, 11 kg ha−1 and 685 kg ha−1 respectively. The experiment involved four treatments, viz., T1: RDF + Foliar spray of nutrient formulation at bimonthly intervals (3rd, 5th and 7th MAP), T2: RDF + Foliar spray of nutrient formulation at monthly intervals (3rd, 4th, 5th, 6th and 7th MAP), T3: RDF + Foliar spray of ZnSO4 (0.5%) + Boric acid (0.1%) + Ca (NO3)2 (0.5%) + K2SO4 (0.25%) at bimonthly intervals (3rd, 5th and 7th MAP) and T4: Control (RDF alone) with five replications in a randomized complete block design (RCBD). TNAU Papaya CO 8 seedlings raised in a shade net nursery served as the planting material. At forty-five days old, the healthy and disease-free seedlings were transplanted with a spacing of 1.8 m × 1.8 m. All intercultural operations, such as irrigation, weeding, nutrient management, and plant protection, were carried out according to the Crop Production Guide, TNAU, 2020 [] recommendations.
2.3. Efficacy of Nutrient Formulation on Growth, Yield, Quality and PRSV Tolerance in Commercial Papaya Varieties
The second field experiment to test the efficacy of nutrient formulation in two commercial varieties of papaya was also conducted at the same location but in a different field from July 2022 to December 2023. The soil texture of the experimental field is sandy clay loam with soil pH and EC of 8.21 and 0.14 dS m−1, respectively. The available nitrogen, phosphorus and potassium contents were 182 kg ha−1, 33.2 kg ha−1 and 735 kg ha−1, respectively. The experiment was laid out in a split-plot design consisting of two main plots, i.e., M1—TNAU Papaya CO 8, M2—Red Lady and two subplots, i.e., S1—Foliar spray of nutrient formulation at monthly intervals (3rd, 4th, 5th, 6th and 7th MAP), S2—Control (without spray), with 13 replications to test the efficacy of nutrient formulation on growth, yield, quality and PRSV tolerance in papaya in commercial varieties. Forty-five days old, the healthy and disease-free seedlings of TNAU papaya CO 8 and Red Lady were transplanted with a spacing of 1.8 m × 1.8 m. All other intercultural operations were carried out as detailed in the previous experiment.
2.4. Observations
In both experiments, observations were recorded on plant growth parameters (plant height, stem girth and leaf area), days to first flowering and first harvest, yield and yield attributes (number of fruits, fruit weight, fruit yield per plant, fruit firmness, pulp thickness), shelf-life and quality attributes (total soluble solids, titratable acidity, total sugars, ascorbic acid, β–carotene and lycopene), papain yield (wet latex yield, dry latex yield) and papain enzyme activity and PRSV disease incidence.
2.4.1. Growth Attributes
The height of the plant was measured from ground level to the crown terminal at the time of first harvest and expressed in centimeters. Stem girth was measured on the trunk at the time of first harvest at 15 cm above the ground level and expressed in centimeters. The leaf area was calculated using the prediction method described by Karikari (1973) [] and expressed in cm2. The days taken for the first flower to appear from the planting date were counted as days to first flowering and expressed in days. The days from the planting date to the first fruit harvest at the color break stage were counted as days to the first harvest and expressed in days.
2.4.2. Yield Attributes
The total number of fruits on the plant was counted when the first harvest commenced and expressed in numbers. The average weight of five fruits of the same size was measured as fruit weight and expressed in kilograms. The yield was estimated by multiplying the number of fruits and the average weight, expressed in kilograms. The firmness of fruits was measured using a Digital Fruit Penetrometer (Model: GY-4, Sundoo Industries Co., Ltd., Wenzhou, China) with a 7.9 mm diameter cylindrical probe. Readings were taken at the proximal, distal and middle portions, and mean values were expressed as kg cm−2. After cutting the fruits into two longitudinal halves, the pulp thickness was measured at the broadest point and expressed in centimeters. Fruits harvested were kept at room temperature, and visually observed until the consumption stage, which was recorded as the number of days of shelf life.
2.4.3. Quality Attributes
The total soluble solid content in the pulp was determined using an ‘ERMA’ Hand Refractometer (ERMA®, Tokyo, Japan) and readings were recorded in °B. The total sugars was estimated by adopting the procedure outlined by Somogyi [] and expressed in %. Acidity and ascorbic acid were estimated as per the methods suggested by Ranganna (1977) [] and expressed as percent citric acid equivalent and mg 100 g−1 pulp, respectively. β-carotene and lycopene content of the fruit were estimated by the method suggested by Nagata and Yamashita (1992) [] and expressed in mg 100 g−1.
2.4.4. Papain Attributes
Papain was extracted from fruits in each treatment at 3- to 4-day intervals from 85 to 90 days after the fruit set. The collected latex was weighed using an electronic balance to measure the wet latex yield, expressed in g. Then, it was allowed to dry in the sun for 7–8 h. The dried crude papain was weighed using an electronic weighing balance and expressed in g. The papain activity was assayed by using the method described by Moore (1984) []. In this method, casein was used as a substrate, and the amount of tyrosine released from a basic casein solution was determined and reported as tyrosine units g−1 of papain.
2.4.5. PRSV Disease Incidence (%)
The incidence of Papaya Ring Spot Virus (PRSV) disease was recorded using the 0 to 9 scale score chart (Table 2) provided by Dhanam (2006) [], and the disease incidence was estimated.

Table 2.
Score chart for Papaya Ring Spot Virus (PRSV) disease incidence.
2.5. Estimation of Leaf Petiole Nutrient Content and Enzyme Activities
A recently matured sixth leaf petiole from the apex (index tissue) at first flowering and at first harvest was collected from all the treatments of the 2.3 experiment and prepared for leaf petiole nutrient analysis according to the procedure given by Bhargava and Chadha (1993) []. The leaf petiole samples were digested using diacid and triacid extract, and then the macro, secondary and micronutrients were determined by microwave plasma atomic emission spectroscopy (MPAES) and atomic absorption spectroscopy (AAS). Leaves were also collected from the nutrient formulation sprayed and control plants and subjected to biochemical (leaf chlorophyll and total phenols) and enzyme analysis (peroxidase (PO), polyphenol oxidase (PPO), catalase (CAT), nitrate reductase (NRase), phenylalanine ammonia lyase (PAL)). Fresh leaf samples weighing 250 mg were ground in 10 mL of 80% acetone using a pestle and mortar. The samples were homogenized at 5000 rpm for 5 min, and the volume was made up of 25 mL of 80% acetone. The absorbance of the solution was measured at two different wavelengths: ƛ = 663, 645 and the chlorophyll value was expressed in mg g−1 []. The leaf total phenol content was determined by the method given by Malik and Singh (1980) [] and expressed in mg g−1 of plant tissue. Peroxidase activity was measured using the method given by Malik and Singh (1980) []. The enzyme activity was expressed as change in absorbance of the reaction mixture min−1 g−1 of tissue. Polyphenol oxidase was estimated using phosphate buffer and catechol, and the activity was expressed as change in absorbance min−1 g−1 of plant sample []. Catalase activity was determined using phosphate buffer, hydrogen peroxide method [] and expressed in catalase activity min−1 g−1 of fresh weight of the sample. Nitrate reductase activity was assessed by the method given by Jaworski (1971) [] and the NRase activity was expressed by µg NO2 g−1 hr−1. Phenylalanine ammonia lyase was estimated using HCl buffer containing mercaptoethanol, TCA and the activity of PAL was expressed as µg min−1 g−1 [].
2.6. Estimation of Leaf Metabolites
Leaf samples from the index leaf were collected the next day after spraying during 7th MAP in the nutrient formulation-sprayed plants and control. Metabolite extraction and sample derivatization were performed as described by Lisec et al. (2006) [], and the metabolites were determined using GC MS. A total of 1 μL of the derivatized extract was injected into the DB-5MS capillary (30.0 m × 0.25 mm × 0.25 μm) (Shimadzu, Kyoto, Japan). The inlet temperature was set at 225 °C. After a solvent delay of six minutes, the initial GC oven temperature was set at 70 °C; after injection for 1 min, the GC oven temperature was raised to 300 °C with 5 °C min−1 and held at 300 °C for 5 min. The injection temperature was set to 300 °C, and the ion source temperature was matched. Helium was the carrier gas with a constant flow rate of 1 mL min−1. The measurement was performed with electron impact ionization (70 eV) (Shimadzu, Kyoto, Japan) in the full scan mode (m/z from 50 to 650). The metabolites were identified based on retention time index specific masses by comparing them with reference spectra in mass spectral libraries (NIST 2017).
3. Statistical Analysis
In the first experiment, standardization of time of nutrient formulation foliar spray on growth, yield, quality and PRSV management in papaya was set in a randomized complete block design (RCBD) with four treatments and five replications. In the second experiment, the efficacy of nutrient formulation on growth, yield, quality and PRSV tolerance in commercial papaya was set in a split-plot design with two main plots and two subplots. Treatment and replication data were collected from both experiments and the statistical analysis was performed by adopting statistical procedures as per the methods given by Panse and Sukhatme (1967) []. The collected data were analyzed using two-way ANOVA, and the significance of the treatment means was determined using the critical difference (CD) at p = 0.05. The statistical analysis was carried out in R studio and R Core team software version r 4.3.1 [] using the agricolae package []. PRSV disease incidence (%) data were subjected to arcsine data transformation and the graphs and regression analysis (Relationship between yield, PRSV incidence and wet latex yield) were carried out using MS—Excel.
4. Results
4.1. Effect of Nutrient Formulation on Growth, Yield, Quality and Papain Activity in Papaya
The experiment results revealed that foliar application of nutrient formulation at monthly intervals from the 3rd MAP to 7th MAP (T2) has significantly improved the growth attributes of papaya (Table 3), viz., plant height (185.8 cm), stem girth (28.6 cm) and leaf area (2541.2 cm2). In addition to that, early flowering (99 days) and early harvest (244 days) were also observed in the same treatment, whereas the control (T4) recorded fewer growth attributes and late flowering (108 days) and late harvest (255 days). The treatment with bimonthly application of nutrient formulation (T1) also performed on par with the treatment T2, for plant height (181.1 cm) and stem girth (26.6 cm).

Table 3.
Effect of nutrient formulation foliar spray on growth attributes of papaya.
The yield attributes, viz., number of fruits per plant (32.51), fruit weight (1.40 kg), fruit yield (45.51 kg plant−1), fruit firmness (3.33 kg cm−2) and shelf life (6.21 days) were significantly improved in the treatment with monthly application of nutrient formulation in papaya (T2) (Table 4). However, the treatment with bimonthly application of nutrient formulation (T1) also performed on par with the treatment T2, for number of fruits (31.20), fruit yield (43.06 kg plant−1) and fruit firmness (3.08 kg cm−2). Control plants recorded comparatively lesser yield, viz., 21.80% less when compared to the best performing treatment (T2). The shelf life of fruits from plants treated with foliar application of nutrient formulation at monthly intervals (T2) was higher (6.21 days) and the least value was recorded in the control (3.81 days). Nutrient formulation spray at monthly intervals (T2) resulted in a 29.64% reduction in PRSV incidence when compared to control (T4) (Table 4).

Table 4.
Effect of nutrient formulation foliar spray on yield attributes, shelf life and PRSV incidence of papaya.
The same treatment receiving foliar application of nutrient formulation at monthly intervals (T2) significantly improved the quality attributes in papaya by recording maximum TSS (12.58 °Brix), ascorbic acid (48.05 mg 100 g−1), β-carotene (2.83 mg 100 g−1) and lycopene (2.13 mg 100 g−1) with minimum titratable acidity (0.112%). However, maximum total sugars of 12.34% was recorded in the treatment with foliar application of nutrient formulation at bimonthly intervals (T1). The control plants recorded the least values for all the analyzed quality parameters. Similarly, nutrient formulation spray significantly improved the papain yield (wet latex and dry latex) and proteolytic enzyme activity compared to control (T4) (Table 5).

Table 5.
Effect of nutrient formulation foliar spray on quality attributes and papain activity of papaya.
4.2. Efficacy of Nutrient Formulation
4.2.1. Effect of Nutrient Formulation on Growth, Yield, Quality and PRSV Tolerance in Commercial Varieties of Papaya
The large-scale field trial with TNAU Papaya CO 8 and Red Lady revealed that the foliar spray of nutrient formulation significantly improved both papaya varieties’ growth, yield and quality attributes. In contrast, PRSV disease incidence was less in the foliar-sprayed plants. TNAU Papaya CO 8 with nutrient formulation spray (M1S1) recorded the maximum plant height (228.38 cm), leaf area (2550.66 cm2) followed by Red Lady with nutrient formulation spray (M2S1); the control treatment in Red Lady (M2S2) recorded minimum plant height and leaf area (Table 6). Red Lady with nutrient formulation spray (M2S1) recorded the maximum stem girth (35.8 cm at first harvest) with early flowering (114 days) and early harvest (221 days), whereas control treatment in TNAU papaya CO 8 (M1S2) recorded late flowering (128 days) and late harvest (257 days) (Table 6).

Table 6.
Effect of nutrient formulation foliar spray on growth attributes in commercial varieties of papaya.
The maximum number of fruits per plant (33.65), fruit weight (1.63 kg) and fruit yield (54.68 kg plant−1) were recorded in TNAU Papaya CO 8 with nutrient formulation spray (M1S1). However, Red Lady variety receiving no nutrient spray (M2S2) recorded lower number of fruits (26.92) with minimum fruit weight (1.29 kg) and fruit yield (34.86 kg plant−1) (Table 7).

Table 7.
Effect of nutrient formulation foliar spray on yield attributes in commercial varieties of papaya.
There were significant differences among the treatments for various attributes associated with shelf life (Table 8). Maximum fruit firmness (3.89 kg cm−2), and shelf life (6.58 days) were recorded in TNAU Papaya CO 8 with nutrient formulation spray (M1S1), whereas treatment M2S2, i.e., Red Lady receiving no nutrient spray recorded lesser shelf life (3.69 days) with minimum fruit firmness (2.78 kg cm−2).

Table 8.
Effect of nutrient formulation foliar spray on shelf life attributes in commercial varieties of papaya.
The papaya variety, Red Lady receiving foliar application of nutrient formulation at monthly intervals (M2S1) recorded higher TSS (13.20 °Brix), total sugars (12.86%), ascorbic acid (56.20 mg 100 g−1), with lesser titratable acidity (0.90%). However, maximum β-carotene (2.83 mg 100 g−1) and lycopene (2.13 mg 100 g−1) were recorded in TNAU papaya CO 8 with foliar application of nutrient formulation at monthly intervals (M1S1). The control plants in both the varieties recorded the least values for all the analyzed quality parameters (Table 9a,b).

Table 9.
Effect of nutrient formulation foliar spray on quality attributes in commercial varieties of papaya.
4.2.2. Effect of Nutrient Formulation on Biochemical Attributes, Petiole Nutrient Content and Enzyme Activities in Commercial Varieties of Papaya
The foliar spray of nutrient formulation significantly increased the total chlorophyll, total phenols and leaf petiole nutrient content in both varieties compared to their respective control. The total chlorophyll content was maximum both at first flowering and first harvest in the Red Lady variety receiving nutrient formulation foliar spray (M2S1), viz., 2.479 mg g−1 and 2.513 mg g−1, respectively, which is on par with TNAU papaya CO 8 receiving nutrient formulation foliar spray (M1S1) and the minimum total chlorophyll content of 1.557 mg g−1 and 1.578 mg g−1, respectively, at first flowering and at first harvest was observed in M2S2 (Red Lady without nutrient formulation spray). For total phenol content, TNAU papaya CO 8 receiving nutrient formulation foliar spray at monthly intervals (M1S1) registered a maximum of 2.431 mg g−1 and 3.321 mg g−1 at first flowering and at first harvest, respectively, and minimum total phenol content was registered in Red Lady receiving no foliar spray of nutrient formulation (M2S2) (Figure 1).

Figure 1.
Effect of nutrient formulation foliar spray on total chlorophyll and total phenol content in commercial varieties of papaya. M1—TNAU Papaya CO 8; M2—Red Lady; S1—Foliar spray of nutrient formulation at monthly intervals; S2—Control (without spray).
The maximum macronutrient content was observed in TNAU papaya CO 8 receiving nutrient formulation foliar spray (M1S1) at flowering, viz., N (1.19%), P (0.21%) and K (2.21%), whereas Red Lady receiving nutrient formulation foliar spray (M2S1) recorded the highest N (1.50%), P (0.34%) and K (2.82%) at harvest (Figure 2). In both the varieties, secondary and micronutrient contents were recorded at the maximum in the foliar sprayed treatments compared to control.

Figure 2.
Effect of nutrient formulation foliar spray on leaf petiole nutrient content in commercial varieties of papaya. M1—TNAU Papaya CO 8; M2—Red Lady; S1—Foliar spray of nutrient formulation at monthly intervals; S2—Control (without spray).
The foliar application of nutrient formulation comparatively enhanced the activities of defense enzymes. The treatment M1S1 (TNAU papaya CO 8 with nutrient formulation foliar spray) recorded the maximum peroxidase activity (0.470 and 0.780 ∆A min−1 g−1), polyphenol oxidase activity (0.810 and 0.950 ∆A min−1 g−1), catalase activity (1.597 and 1.614 activity min−1 g−1), nitrate reductase activity (5.92 and 6.64 µg NO2 g−1 hr−1) and PAL activity (0.530 and 0.590 activity min−1 g−1) at first flowering and first harvest, respectively, followed by M2S1 (Red Lady with nutrient formulation foliar spray) and the minimum enzyme activities were observed in Red Lady without nutrient formulation foliar spray (M2S2) (Figure 3).

Figure 3.
Influence of nutrient formulation on enzyme activity of papaya leaves. M1—TNAU Papaya CO 8; M2—Red Lady; S1—Foliar spray of nutrient formulation at monthly intervals; S2—Control (without spray).
4.2.3. Effect of Nutrient Formulation Spray on Papain Attributes
Foliar application of nutrient formulation greatly influenced both varieties’ papain yield and proteolytic enzyme activity. The treatment M1S1 (TNAU papaya CO 8 with nutrient formulation foliar spray) recorded high wet latex (27.81 g fruit−1; 936.02 g tree−1) and dry latex yield (7.02 g fruit−1; 236.36 g tree−1) with high proteolytic enzyme activity (995.94 TU mg−1) followed by M2S1 (Red Lady with nutrient formulation foliar spray), whereas the treatment M2S2 (Red Lady without foliar spray) had minimum papain yield papain activity (Figure 4).

Figure 4.
Influence of nutrient formulation on papain yield and proteolytic enzyme activity in papaya. M1—TNAU Papaya CO 8; M2—Red Lady; S1—Foliar spray of nutrient formulation at monthly interval; S2 -Control (without spray).
4.2.4. Relationship Between Yield, PRSV Disease Incidence and Wet Latex Yield
The result indicated a significant positive linear relationship between yield and wet latex yield (R2 = 0.940). However, there was a significant negative linear relationship between yield and PRSV disease incidence (R2 = 0.808) and wet latex yield and PRSV disease incidence (R2 = 0.869) (Figure 5).


Figure 5.
Relationship between papaya yield, wet latex yield and PRSV disease incidence.
4.2.5. Influence of Nutrient Formulation on Leaf Metabolites
The chromatogram of gas chromatography of nutrient formulation-sprayed papaya leaf samples along with control was analyzed. The major chemical constituents identified from the chromatogram of nutrient formulation-sprayed papaya leaf samples were maleic acid, ketoglutaric acid, sucrose, α-glucopyranose, coumaric acid, palmitic acid, caffeic acid, ascorbic acid and tartaric acid.
5. Discussion
5.1. Influence of Nutrient Formulation on Growth Parameters
The foliar application of nutrient formulation at monthly intervals registered a positive influence on growth parameters, viz., plant height, stem girth and leaf area in TNAU papaya CO 8 and Red Lady compared to the control. It is mainly attributed to the modulation of metabolic activities in papaya by the nutrients and hormones in the nutrient formulation. Cow dung is rich in nitrogen (0.1%) and hormones, viz., indole acetic acid and gibberellins [], and when applied as foliar spray, it influences plant height positively in cassava []. Potassium notably impacts stem girth by maintaining osmoregulation and cell elongation [], which all together prompted the production of PGRs and enhanced plant growth. The higher expansion of the leaf surface could be attributed to the impact of essential nutrients such as calcium, sulfur, zinc and boron. These nutrients might have stimulated cell division, leading to an increase in leaf area through enhanced auxin synthesis [,,,].
The foliar application of nutrient formulation recorded early flowering and early harvest compared to the control, and this might be attributed to the beneficial impact of boron and zinc, which promoted the increased production of metabolites. Boron and zinc are known to facilitate chlorophyll formation and enhance leaf area, ultimately leading to improved assimilation and accelerated metabolite synthesis in plants. In addition, boron plays a significant role in reproductive growth, especially flower bud formation and development, along with anther and pollen growth. Early flowering might be due to the positive influence of micronutrients in the nutrient formulation, which was also reported by earlier workers [,].
5.2. Influence of Nutrient Formulation on Leaf Petiole Nutrient
Nutrient formulation spray significantly improved the petiole nutrient content in TNAU Papaya CO 8 and Red Lady. This might be due to the cow dung and neem cake, which contains macro- and micronutrients readily available in the nutrient formulation, and the foliar spray of macro- and micronutrients positively influenced the petiole nutrient content. As an immobile phloem element, boron is not easily transported throughout the plant, making foliar spray an effective method to maintain the optimal boron levels necessary for growth and development. This increase in leaf boron concentration after applying boron-containing fertilizer was also documented in papaya [,].
5.3. Influence of Nutrient Formulation on Biochemical Parameters
The elevation in chlorophyll levels in plants treated with nutrient formulation might be linked to increased leaf nitrogen and magnesium concentrations (Figure 1). These elements are essential, as they contribute to forming the tetrapyrrole ring and serve as the central atom within chlorophyll molecules [,].
Micronutrients, including Zn, Fe, Mn and Cu, are crucial for producing cytosolic superoxide dismutase, catalase, mitochondrial superoxide dismutase and cytochrome oxidase, respectively, and scavenging ROS in plant tissues and are negatively correlated with disease spread [,]. Peroxidase activity was 80% higher in plants sprayed with nutrient formulation than in control plants, irrespective of varieties. This might be due to the upregulation of POX genes by Bacillus bacteria present in the nutrient formulation [,]. Plants sprayed with the nutrient formulation exhibited 1.3 times higher catalase activity than control plants. This may be due to iron supplementation via foliar spray, as catalase is a tetrameric metalloenzyme consisting of four identical, tetrahedrally arranged subunits, each with a heme group in its active center [,].
Additionally, due to the increased activity of polyphenol oxidase (PPO) and phenylalanine ammonia-lyase (PAL) in papaya plants sprayed with nutrient formulation, the disease severity is reduced. PPO detoxifies the cellular hydrogen peroxide generated in response to pathogen attack. It also oxidizes phenolic compounds into antimicrobial quinones, limiting the virus’s spread by inactivating viral RNA []. The induced systemic resistance (ISR) elicited by Bacillus might enhance the synthesis of antioxidant enzymes, including PAL [].
Nitrate reductase (NR)-dependent nitric oxide (NO) production was required to regulate the AOX pathway, which plays an important role in the NO-mediated defense response by promoting the nuclear translocation of NPR1 (Non-expression of pathogenesis-related) to induce the PR (pathogenesis-related protein) gene expression []. Similar findings of increased defense by enhanced antioxidant enzymes were reported in papaya [,].
5.4. Influence of Nutrient Formulation on Yield and Yield Attributes
The number of fruits per plant, fruit weight and yield per plant exhibited favorable outcomes due to the foliar application of nutrient formulation with improved fruit columns and fruit biometrics. The application of neem cake and cow dung nourishes the plants by providing macro- and micronutrients, which help to increase the yield []. Zinc maintains membrane stability, while boron improves calcium mobility in fruits. This contributes positively to enhanced photosynthate production and facilitates a steady supply of carbohydrates for efficient calcium absorption, ultimately increasing the number of fruits []. A maximum number of leaves, leaf area and chlorophyll content positively correlated to improved photosynthesis and photosynthate production, which increased the number of fruits per plant, resulting in higher yield per plant [,].
The increase in fruit weight might be due to improved enzyme activity transporting and accumulating more nutrients and photosynthates, calcium interaction with other nutrients, and enlarging the middle lamella and cell wall. Boron also enhances fruit weight by accumulating dry matter content []. Zinc aids in synthesizing endogenous auxins and other growth-promoting substances [] and controls the permeability of the cell wall, thereby promoting water mobilization in fruits.
5.5. Influence of Nutrient Formulation on Fruit Quality Attributes
The plants receiving nutrient formulation spray significantly enhanced total soluble solids (TSS) and total sugars. Boron facilitates the breakdown of complex polysaccharides into simpler sugars through hydrolysis and aids in increasing TSS. Potassium plays a role in the transport of sugars, leading to an increase in sugar levels through the effective movement of photosynthates from leaves to fruits. The increase in total soluble solids and sugar levels may be ascribed to the transformation of carbohydrates into simple sugars as fruits ripen, followed by the subsequent utilization of sugars in the respiration process. Similar results were also observed in papaya [] and guava []. Potassium and sulfur likely aided the plants in increasing the accumulation of ascorbic acid in the fruits by inhibiting the enzymatic system responsible for the oxidation of ascorbic acid. Boron and zinc led to a rise in the ascorbic acid level in papaya, possibly due to the conversion of sugars into ascorbic acid []. The reduced titratable acidity might be due to the favorable influence of zinc and boron on converting acids into sugars and their derivatives through the glycolytic pathway or respiration []. Lycopene and β-carotene content are the deciding factors of pulp and peel color in papaya. The improvement of lycopene and β-carotene might be due to the combined effects of zinc and boron, which facilitate the accumulation and activation of vital enzymes involved in pigment production. Similar results were observed by Zelená [] in tomatoes. Pulp thickness increased significantly due to the micronutrients present in the nutrient formulation. According to Ortiz et al. (2011) [], calcium acts as an intermolecular binding agent that protects the middle lamella’s pectin–protein complexes and the calcium buildup in pectin polysaccharides.
5.6. Influence of Nutrient Formulation on Shelf Life and Papain Activity
Fruit firmness was enhanced in the nutrient formulation-sprayed fruits in both varieties, and it might be due to the effect of calcium in thickening the cell wall. It binds these pectin chains together, forming connections between them and fortifying the cell wall to withstand enzymatic breakdown during the ripening stage []. In the present study, an increase in shelf life was observed in the sprayed fruits, which might be due to the direct or indirect influence of calcium on fruit ripening attributes (respiration and ethylene production) [] and an increase in boron concentration in the middle lamella of the fruit’s cell wall. Boron provides physical strength to the cell wall and also improves fruit color and appearance []. Nutrient formulation spray which contained calcium and sulfur significantly improved the wet and dry latex yield and proteolytic enzyme activity. This might be due to the increased vascular integrity on the surface of the fruit. Foliar spray of bioregulator increased the latex yield and papain activity in TNAU Papaya CO 8 [,].
5.7. Influence of Nutrient Formulation on PRSV Disease Incidence
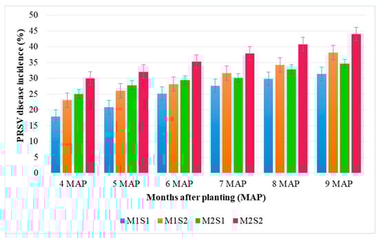
The foliar application of nutrient formulation at monthly intervals from the 3rd to 7th MAP (S1) recorded less PRSV disease incidence in TNAU Papaya CO 8 and Red Lady when compared to control (S2) (Figure 6).

Figure 6.
Influence of nutrient formulation on PRSV disease incidence (%). M1—TNAU Papaya CO 8; M2—Red Lady; S1—Foliar spray of nutrient formulation at monthly intervals; S2—Control (without spray).
The reduction in disease incidence among treatments might be due to the increased synthesis of defensive enzymes like peroxidase, catalase, NR and PPO [] and repellent activity of volatile compounds produced during the fermentation of cow dung []. Bacillus subtilis improved plant growth by producing growth-promoting substances and preventing disease development []. The antifeedant activity against aphid vectors is achieved by azadiractin, nimbin, and nimbinin present in the neem cake []. The combined application of organic nutrient sources, inorganic micronutrients and biocontrol agents improves plant health and vigor; thereby, the yield loss and viral disease symptom expression were reduced considerably [,,].
5.8. Influence of Nutrient Formulation on Metabolites of Leaf
The major chemical constituents identified from the chromatogram of nutrient formulation-sprayed papaya leaf samples were maleic acid, ketoglutaric acid, sucrose, α- glucopyranose, coumaric acid, palmitic acid, caffeic acid, ascorbic acid and tartaric acid. Malic acid promotes plant growth by increasing chlorophyll content and protecting the photosynthetic structures, thereby significantly increasing plant biomass [,]. As a result of more photosynthesis, the level of sucrose and α- glucopyranose (a cyclic form of glucose) increased and acted as signaling molecules against plant pathogens []. Under biotic stress, mROS (mitochondrial ROS) affects the behavior of the whole cell, causing various reactions that can result in programmed cell death (PCD) []. Thus, leaf respiration is one of the most important metabolic processes in immune response []. Ketoglutaric acid is one of the key intermediate organic acids of the tricarboxylic acid (TCA) cycle and is also important for the metabolism of various secondary metabolites such as glucosinolate, flavonoid and alkaloids possessing different biological functions, including defense against pathogens []. It also serves as a source of two amino acids, viz., glutamate and glutamine, thereby stimulating protein synthesis and inhibiting protein degradation [].
Ascorbic acid protects the cells from reactive oxygen species and the level of ascorbic acid was positively correlated with the extent of viral resistance []. Along with the primary function to directly detoxify ROS, ascorbic acid has also been linked to other metabolic regulation processes, including violaxanthin de-epoxidase in photosynthesis, cell wall expansion, and cell division []. Therefore, it prevents PCD more effectively and immediately than ROS eliminators []. Tartaric acid is described as a ‘specialized primary metabolite’ originating from carbohydrate metabolism and ascorbic acid catabolism and is hypothesized to possess antioxidant properties []. The increase in PAL enzyme activity favors the conversion of phenylalanine to cinnamic acid. When subjected to hydroxylation, cinnamic acid forms coumaric acid, followed by the oxidation of its side chain, ultimately producing salicylic acid []. Salicylic acid possesses the capacity to impede all three primary phases of virus infection, including replication, transmission between the cells and long-distance movement []. The cell wall-bound coumaric acids also serve as storage of phenylpropanoid units for lignin biosynthesis, marking the initial stages of lignifications []. The biosynthesis of monolignols involves the conversion of coumaric acid into caffeic acid, both of which are higher in treated plants when compared to control []. The lignin thus synthesized acts as a physical barrier to aphids, affecting its stylet penetration, thereby reducing viral infection [].
6. Conclusions
From this study, it was concluded that the foliar application of nutrient formulation at monthly intervals (3rd, 4th, 5th, 6th and 7th month after planting) along with the regular application of a recommended dose of fertilizer at bimonthly intervals from the 3rd month after planting is beneficial for enhancing papaya growth, yield, quality, shelf life, and combating Papaya Ring Spot Virus (PRSV). Combining organic and inorganic nutrient sources with biocontrol agents improves the plant’s nutrient status and defense enzymes, thereby combating PRSV disease and resulting in enhanced yield with quality fruit production.
Author Contributions
Conceptualization, K.C., P.L. and K.M.K.; methodology, K.C. and K.M.K.; software, K.C., N.K.K., M.B. and R.B.; Validation, K.C., N.K.K., M.B. and R.B.; formal analysis, N.K.K., M.B. and R.B.; investigation, K.C., N.K.K., M.B. and R.B.; resources, K.C. and P.L.; data curation, K.C., N.K.K. and S.A.; writing—original draft preparation, N.K.K., M.B. and R.B.; writing—review and editing, K.C., M.S.K., E.T., S.A. and S.M.; visualization, K.C.; supervision, K.C.; project administration, K.C. All authors have read and agreed to the published version of the manuscript.
Funding
This research received no external funding.
Institutional Review Board Statement
Not Applicable.
Data Availability Statement
The data presented in the study are contained within the article.
Acknowledgments
The authors are thankful to the Tamil Nadu Agricultural University, Coimbatore, for supporting their research work.
Conflicts of Interest
The authors declare no conflicts of interest.
References
- Statista. Available online: https://www.statista.com/statistics/578039/world-papaya-production/#:~:text=This%20statistic%20depicts%20the%20production,million%20metric%20tons%20in%202021 (accessed on 4 October 2024).
- Agricultural Statistics at a Glance 2022–23. Available online: https://desagri.gov.in/wp-content/uploads/2023/05/Agricultural-Statistics-at-a-Glance-2022.pdf (accessed on 20 October 2024).
- Crop Production Guide Horticulture Crops; Directorate of Horticulture and Plantation Crops and Tamil Nadu Agricultural University: Chennai and Coimbatore, India, 2020; pp. 1–405.
- Monika, G.; Soorianathasundaram, K.; Auxcilia, J.; Chitdeshwari, T.; Kavitha, C.; Muthulakshmi, P. Effect of foliar nutrition of calcium and sulphur on growth and yield of papaya (Carica papaya L.). Int. J. Chem. Stud. 2018, 6, 765–769. [Google Scholar]
- Monika, G.; Soorianathasundaram, K.; Auxcilia, J.; Chitdeshwari, T.; Kavitha, C. Effect of foliar nutrition of calcium and sulphur on pulp quality attributes and shelf-life of papaya (Carica papaya L.). Int. J. Chem. Stud. 2018, 6, 2728–2730. [Google Scholar]
- Kalleshwaraswamy, C.; Kumar, N.K. Transmission efficiency of Papaya ringspot virus by three aphid species. Phytopathology 2008, 98, 541–546. [Google Scholar] [CrossRef] [PubMed]
- Purcifull, D.E.; Edwardson, J.R.; Hiebert, E.; Gonsalves, D. Papaya ringspot virus. CMI/AAB Descr. Plant Viruses 1984, 292. [Google Scholar]
- Thirugnanavel, A.; Balamohan, T.; Manoranjitham, S.; Karunakaran, G. Screening of Papaya (Carica papaya L.) Cultivars for Resistance to PRSV Under Polyhouse Conditions. Madras Agric. J. 2013, 100, 287–290. [Google Scholar]
- Warghane, A.; Saini, R.; Shri, M.; Andankar, I.; Ghosh, D.K.; Chopade, B.A. Application of nanoparticles for management of plant viral pathogen: Current status and future prospects. Virology 2024, 592, 109998. [Google Scholar] [CrossRef]
- Hao, Y.; Yuan, W.; Ma, C.; White, J.C.; Zhang, Z.; Adeel, M.; Zhou, T.; Rui, Y.; Xing, B. Engineered nanomaterials suppress Turnip mosaic virus infection in tobacco (Nicotiana benthamiana). Environ. Sci. Nano 2018, 5, 1685–1693. [Google Scholar] [CrossRef]
- John, K.S.; Anju, P.S.; Suja, G.; Mathew, J.; Shivay, Y.S. Zinc nutrition in tropical tuber crops: A review. Indian J. Agron. 2019, 64, 1–10. [Google Scholar] [CrossRef]
- Hashem, A.; Tabassum, B.; AbdAllah, E.F. Bacillus subtilis: A plant-growth promoting rhizobacterium that also impacts biotic stress. Saudi J. Biol. Sci. 2019, 26, 1291–1297. [Google Scholar] [CrossRef] [PubMed]
- Gupta, N.; Debnath, S.; Sharma, S.; Sharma, P.; Purohit, J. Role of nutrients in controlling the plant diseases in sustainable agriculture. Agric. Important Microbes Sustain. Agric. 2017, 2, 217–262. [Google Scholar]
- Saeed, Q.; Xiukang, W.; Haider, F.U.; Kučerik, J.; Mumtaz, M.Z.; Holatko, J.; Naseem, M.; Kintl, A.; Ejaz, M.; Naveed, M. Rhizosphere bacteria in plant growth promotion, biocontrol, and bioremediation of contaminated sites: A comprehensive review of effects and mechanisms. Int. J. Mol. Sci. 2021, 22, 10529. [Google Scholar] [CrossRef]
- Bhamare, U.U.; Mali, Y.S.; Shaikh, A.Z. Neem: As a natural medicine. Res. J. Pharmacogn. Phytochem. 2020, 12, 245–255. [Google Scholar]
- Elmer, W.; Datnoff, L. Mineral nutrition and suppression of plant disease. In Encyclopedia of Agriculture and Food Systems; LSU: Baton Rouge, LA, USA, 2014; pp. 231–244. [Google Scholar] [CrossRef]
- Karikari, S. Estimation of leaf area in papaya (Carica papaya) from leaf measurements. Trop. Agric. 1973, 50, 346. [Google Scholar]
- Somogyi, M. Notes on sugar determination. J. Biol. Chem. 1952, 195, 19–23. [Google Scholar] [CrossRef]
- Ranganna, S. Manual of Analysis Fruits and Vegetables; Tata McGraw-Hill: New Delhi, India, 1977; p. 634. [Google Scholar]
- Nagata, M.; Yamashita, I. Simple method for simultaneous determination of chlorophyll and carotenoids in tomato fruit. J. Japan. Soc. Food Sci. Technol. 1992, 39, 925–928. [Google Scholar] [CrossRef]
- Moore, D.J. The production and processing of papain. Bull. Trop. Dev. Res. Instt. 1984. [Google Scholar]
- Dhanam, S. Studies on Papaya Ring Spot Disease. Master’s Thesis, Tamil Nadu Agricultural University, Coimbatore, India, 2006. [Google Scholar]
- Bhargava, B.; Chadha, K. Leaf nutrient guide for fruit crops. In Advances in Horticulture; Chadha, K., Pareek, O., Eds.; Malhothra Publishing House: New Delhi, India, 1993; Volume 2, pp. 973–1029. [Google Scholar]
- Arnon, D.I. Copper enzymes in isolated chloroplasts. Polyphenoloxidase in Beta vulgaris. Plant Physiol. 1949, 24, 1–15. [Google Scholar] [CrossRef]
- Malik, C.P.; Singh, M. Plant Enzymology and Histo-Enzymology; Kalyani Publishers: New Delhi, India, 1980. [Google Scholar]
- Esterbauer, H.; Schwarzl, E.; Hayn, M. A rapid assay for catechol oxidase and laccase using 2-nitro-5-thiobenzoic acid. Anal. Biochem. 1977, 77, 486–494. [Google Scholar] [CrossRef] [PubMed]
- Aebi, H. [13] Catalase in vitro. In Methods in Enzymology; Elsevier: Amsterdam, The Netherlands, 1984; Volume 105, pp. 121–126. [Google Scholar]
- Jaworski, E.G. Nitrate reductase assay in intact plant tissues. Biochem. Biophys. Res. Commun. 1971, 43, 1274–1279. [Google Scholar] [CrossRef] [PubMed]
- Brueske, C.H. Phenylalanine ammonia lyase activity in tomato roots infected and resistant to the root-knot nematode, Meloidogyne incognita. Physiol. Plant Pathol. 1980, 16, 409–414. [Google Scholar] [CrossRef]
- Lisec, J.; Schauer, N.; Kopka, J.; Willmitzer, L.; Fernie, A.R. Gas chromatography mass spectrometry–based metabolite profiling in plants. Nat. Protoc. 2006, 1, 387–396. [Google Scholar] [CrossRef]
- Panse, V.G.; Sukhatme, P.V. Statistical Methods for Agricultural Workers, 2nd ed.; Indian Council of Agricultural Research: New Delhi, India, 1967. [Google Scholar]
- Team, R.C. R: A Language and Environment for Statistical Computing; R Foundation for Statistical Computing: Vienna, Austria, 2020; Available online: https://www.r-project.org/ (accessed on 20 October 2024).
- De Mendiburu, F. Agricolae: Statistical Procedures for Agricultural Research. 2020. Available online: https://CRAN.R-project.org/package=agricolae, (accessed on 20 October 2024).
- Srivastava, R.; Aragno, M.; Sharma, A. Cow dung extract: A medium for the growth of pseudomonads enhancing their efficiency as biofertilizer and biocontrol agent in rice. Indian J. Microbiol. 2010, 50, 349–354. [Google Scholar] [CrossRef] [PubMed]
- Manivannan, K. Studies on the Efficacy of Foliar Spray of Nutrient Formulation on Growth, Yield, Quality and CMD Incidence in Cassava; Tamil Nadu Agricultural University: Coimbatore, India, 2013. [Google Scholar]
- Kumar, P.; Kumar, T.; Singh, S.; Tuteja, N.; Prasad, R.; Singh, J. Potassium: A key modulator for cell homeostasis. J. Biotechnol. 2020, 324, 198–210. [Google Scholar] [CrossRef]
- Kumar, K.N.; Kavitha, C.; Muthuvel, I.; Kalarani, M.; Elaiyabharathi, T. Foliar Application of Nutrient Formulation to Enhance Growth and PRSV Tolerance in Commercial Varieties of Papaya. Int. J. Plant Soil Sci. 2023, 35, 946–953. [Google Scholar] [CrossRef]
- Manjunatha, S.; Swamy, G.; Prakash, N.; Jagadeesha, R.; Chavan, M.; Shankarappa, K. Effect of Micronutrients and Silicon on Growth and Yield of Papaya cv. Red lady. J. Agric. Res. Technol. 2014, 39, 15–20. [Google Scholar]
- Subedi, A.; Shrestha, A.; Tripathi, K.; Shrestha, B. Effect of Foliar Spray of Boron and Zinc on Growth and Yield of Papaya (Carica papaya L.) cv. Red Lady in Chitwan, Nepal. Field Crop 2019, 2, 1–6. [Google Scholar]
- Singh, D.; Ghosh, S.; Paul, P.; Suresh, C. Effect of different micronutrients on growth, yield and quality of papaya (Carica papaya L.) cv. Ranchi. Acta Hortic. 2010, 851, 351–356. [Google Scholar] [CrossRef]
- Bhalerao, P.; Patel, B. Effect of foliar application of Ca, Zn, Fe and B on growth, yield and quality of papaya var. Taiwan Red Lady. Indian J. Hortic. 2015, 72, 325–328. [Google Scholar] [CrossRef]
- Bhalerao, P.; Patel, B. Effect of foliar application of Ca, Zn, Fe and B on physiological attributes, nutrient status, yield and economics of papaya (Carica papaya L.) cv. Taiwan Red lady. Madras Agric. J. 2012, 99, 298–300. [Google Scholar]
- Pareek, S.; Sagar, N.A.; Sharma, S.; Kumar, V.; Agarwal, T.; González-Aguilar, G.A.; Yahia, E.M. Chlorophylls: Chemistry and biological functions. In Fruit and Vegetable Phytochemicals: Chemistry and Human Health, 2nd ed.; Yahia, E.M., Ed.; Wiley-Blackwell: Hoboken, NJ, USA, 2017; Volume 1, pp. 269–284. [Google Scholar]
- Reddy, P.V.K.; Gowda, V.N. Influence of greenhouse cultivation on fruit quality of ‘Red Lady’papaya. In Proceedings of the International Symposium on Tropical and Subtropical Fruits, Chiang Mai, Thailand, 12 March 2014; pp. 109–114. [Google Scholar]
- Gupta, R.; Verma, N.; Tewari, R.K. Micronutrient deficiency-induced oxidative stress in plants. Plant Cell Rep. 2024, 43, 213. [Google Scholar] [CrossRef]
- Everse, J. Heme Proteins. In Heme Proteins, 2nd ed.; Elsevier: Amsterdam, The Netherlands, 2013; pp. 532–538. [Google Scholar] [CrossRef]
- Yue, Z.; Chen, Y.; Chen, C.; Ma, K.; Tian, E.; Wang, Y.; Liu, H.; Sun, Z. Endophytic Bacillus altitudinis WR10 alleviates Cu toxicity in wheat by augmenting reactive oxygen species scavenging and phenylpropanoid biosynthesis. J. Hazard. Mater. 2021, 405, 124272. [Google Scholar] [CrossRef] [PubMed]
- Thakker, J.N.; Patel, S.; Dhandhukia, P.C. Induction of defense-related enzymes in banana plants: Effect of live and dead pathogenic strain of Fusarium oxysporum f. sp. cubense. Int. Sch. Res. Not. 2013, 2013, 601303. [Google Scholar] [CrossRef] [PubMed]
- Scibior, D.; Czeczot, H. Katalaza–budowa, właściwości, funkcje [Catalase: Structure, properties, functions]. Postep. Hig Med. Dosw. 2006, 60, 170–180. [Google Scholar]
- Fan, H.; Yan, X.; Fu, M.; Liu, D.; Awan, A.W.; Chen, P.; Rasheed, S.M.; Gao, L.; Zhang, R. Interactive effect of biological agents chitosan, Lentinan and Ningnanmycin on papaya ringspot virus resistance in papaya (Carica papaya L.). Molecules 2022, 27, 7474. [Google Scholar] [CrossRef] [PubMed]
- Lian, L.; Xie, L.; Zheng, L.; Lin, Q. Induction of systemic resistance in tobacco against Tobacco mosaic virus by Bacillus spp. Biocontrol Sci. Technol. 2011, 21, 281–292. [Google Scholar] [CrossRef]
- Miljaković, D.; Marinković, J.; Balešević-Tubić, S. The significance of Bacillus spp. in disease suppression and growth promotion of field and vegetable crops. Microorganisms 2020, 8, 1037. [Google Scholar] [PubMed]
- Jian, W.; Zhang, D.-W.; Zhu, F.; Wang, S.-X.; Zhu, T.; Pu, X.-J.; Zheng, T.; Feng, H.; Lin, H.-H. Nitrate reductase-dependent nitric oxide production is required for regulation alternative oxidase pathway involved in the resistance to Cucumber mosaic virus infection in Arabidopsis. Plant Growth Regul. 2015, 77, 99–107. [Google Scholar] [CrossRef]
- Ranasinghe, C.; De Costa, D. Field Performance of Mixtures of Pseudomonas and Bacillus spp. in Managing Papaya Ringspot Virus Disease and their Effect on Plant Defense Enzyme Activity. Trop. Agric. Res. 2020, 31, 75–85. [Google Scholar]
- Sagar, S.; Singh, A.; Bala, J.; Chauhan, R.; Kumar, R.; Bhatia, R.K.; Walia, A. Insights into Cow Dung-Based Bioformulations for Sustainable Plant Health and Disease Management in Organic and Natural Farming System: A Review. J. Soil Sci. Plant Nutr. 2023, 24, 30–53. [Google Scholar] [CrossRef]
- Raja, M.E. Importance of micronutrients in the changing horticultural scenario in India. J. Hortic. Sci. 2009, 4, 1–27. [Google Scholar] [CrossRef]
- Thakur, S.; Sinha, A.; Ghosh Bag, A. Boron-a critical element for fruit nutrition. Commun. Soil Sci. Plant Anal. 2023, 54, 2899–2914. [Google Scholar] [CrossRef]
- Babu, R.; Tripathi, V. Impact of foliar application of NAA, Zinc and Boron on growth, yield and quality parameters of Guava (Psidium guajava L.). Progress. Agric. 2022, 22, 190–194. [Google Scholar] [CrossRef]
- Moganapathi, B.; Kavitha, C.; Pugalendhi, L.; Kalarani, M.K. Effect of Nutrient Formulation on Shelf Life and Quality Attributes of Papaya (Carica papaya L.). Biol. Forum—Int. J. 2022, 14, 348–352. [Google Scholar]
- Ishwariya, R.; Sivakumar, V.; Shanmugasundaram, K.; Vanitha, K.; Seenivasan, N.; Muthuvel, I. Nutri-hormonal Manipulation for Yield and Quality Improvement in Guava (Psidium guajava L.). Int. J. Environ. Clim. Change 2023, 13, 3494–3502. [Google Scholar] [CrossRef]
- Kavitha, M.; Kumar, N.; Jeyakumar, P. Role of zinc and boron on fruit yield and associated characters in papaya cv. Co. 5. South Indian Hortic. 2000, 48, 6–10. [Google Scholar]
- Ball, J.A. Evaluation of Two Lipid-Based Edible Coatings for Their Ability to Preserve Post Harvest Quality of Green Bell peppers. Ph.D. Thesis, Faculty of the Virginia Polytecnic Institute and state University, Blacksburg, VA, USA, 1997. [Google Scholar]
- Zelená, E.; Holasová, M.; Zelený, F.; Fiedlerová, V.; Novotná, P.; Landfeld, A.; Houška, M. Effect of sulphur fertilisation on lycopene content and colour of tomato fruits. Czech J. Food Sci. 2009, 27, S80–S84. [Google Scholar] [CrossRef]
- Ortiz, A.; Graell, J.; Lara, I. Preharvest calcium applications inhibit some cell wall-modifying enzyme activities and delay cell wall disassembly at commercial harvest of ‘Fuji Kiku-8′ apples. Postharvest Biol. Technol. 2011, 62, 161–167. [Google Scholar] [CrossRef]
- Huang, W.; Shi, Y.; Yan, H.; Wang, H.; Wu, D.; Grierson, D.; Chen, K. The calcium-mediated homogalacturonan pectin complexation in cell walls contributes the firmness increase in loquat fruit during postharvest storage. J. Adv. Res. 2023, 49, 47–62. [Google Scholar] [CrossRef]
- Irfan, P.; Vanjakshi, V.; Prakash, M.K.; Ravi, R.; Kudachikar, V. Calcium chloride extends the keeping quality of fig fruit (Ficus carica L.) during storage and shelf-life. Postharvest Biol. Technol. 2013, 82, 70–75. [Google Scholar] [CrossRef]
- Schröder, E.; Phillips, C.; Garman, E.; Harlos, K.; Crawford, C. X-ray crystallographic structure of a papain-leupeptin complex. FEBS Lett. 1993, 315, 38–42. [Google Scholar] [CrossRef] [PubMed]
- Akino, A.; Soorianathasundaram, K.; Paramaguru, P.; Jeyakumar, P.; Muthulakshmi, P. Influence of bioregulators on latex yield and proteolytic activity of papain extracted from field-grown TNAU papaya CO. 8 under the natural incidence of papaya ring spot virus. Madras Agric. J. 2021, 108, 266–274. [Google Scholar]
- Wang, X.; Zhao, D.; Shen, L.; Jing, C.; Zhang, C. Application and mechanisms of Bacillus subtilis in biological control of plant disease. In Role of Rhizospheric Microbes in Soil; Meena, V.S., Ed.; Stress management and agricultural sustainability; Springer: Singapore, 2018; Volume 1, pp. 225–250. [Google Scholar]
- Lowery, D.T.; Isman, M.B. Antifeedant activity of extracts from neem, Azadirachta indica, to strawberry aphid, Chaetosiphon fragaefolii. J. Chem. Ecol. 1993, 19, 1761–1773. [Google Scholar] [CrossRef] [PubMed]
- Deepika, S.; Manoranjitham, S.; Sendhilvel, V.; Karthikeyan, G.; Kavitha, C. Foliar nutrition enhances the host immunity against papaya ringspot virus. Pharma Innov. 2021, 10, 165–169. [Google Scholar]
- Reena, B.; Kavitha, C.; Pugalendhi, L.; Kalarani, M.; Manoranjitham, S. Effect of foliar application of nutrient formulation on growth, yield and PRSV incidence of papaya (Carica papaya L.). Biol. Forum—Int. J. 2022, 14, 53–56. [Google Scholar]
- More, P.; Agarwal, P.; Agarwal, P.K. The Jatropha leaf curl Gujarat virus on infection in Jatropha regulates the sugar and tricarboxylic acid cycle metabolic pathways. 3 Biotech 2022, 12, 275. [Google Scholar] [CrossRef]
- Chen, H.-C.; Zhang, S.-L.; Wu, K.-J.; Li, R.; He, X.-R.; He, D.-N.; Huang, C.; Wei, H. The effects of exogenous organic acids on the growth, photosynthesis and cellular ultrastructure of Salix variegata Franch. Under Cd stress. Ecotoxicol. Environ. Saf. 2020, 187, 109790. [Google Scholar] [CrossRef]
- Tauzin, A.S.; Giardina, T. Sucrose and invertases, a part of the plant defense response to the biotic stresses. Front. Plant Sci. 2014, 5, 293. [Google Scholar] [CrossRef]
- Cvetkovska, M.; Vanlerberghe, G.C. Coordination of a mitochondrial superoxide burst during the hypersensitive response to bacterial pathogen in Nicotiana tabacum. Plant Cell Environ. 2012, 35, 1121–1136. [Google Scholar] [CrossRef] [PubMed]
- Colombatti, F.; Gonzalez, D.H.; Welchen, E. Plant mitochondria under pathogen attack: A sigh of relief or a last breath? Mitochondrion 2014, 19, 238–244. [Google Scholar] [CrossRef] [PubMed]
- Araújo, W.L.; Martins, A.O.; Fernie, A.R.; Tohge, T. 2-Oxoglutarate: Linking TCA cycle function with amino acid, glucosinolate, flavonoid, alkaloid, and gibberellin biosynthesis. Front. Plant Sci. 2014, 5, 552. [Google Scholar] [CrossRef]
- Wu, N.; Yang, M.; Gaur, U.; Xu, H.; Yao, Y.; Li, D. Alpha-ketoglutarate: Physiological functions and applications. Biomol. Ther. 2016, 24, 1–8. [Google Scholar] [CrossRef]
- Boubakri, H. The role of ascorbic acid in plant–pathogen interactions. In Ascorbic Acid in Plant Growth, Development and Stress Tolerance; Hossain, M.A., Munné-Bosch, S., Burritt, D.J., Diaz-Vivancos, P., Fujita, M., Lorence, A., Eds.; Springer: Cham, Switzerland, 2017; pp. 255–271. [Google Scholar]
- Suekawa, M.; Fujikawa, Y.; Esaka, M. Physiological role of ascorbic acid recycling enzymes in plants. In Ascorbic Acid in Plant Growth, Development and Stress Tolerance; Hossain, M.A., Munné-Bosch, S., Burritt, D.J., Diaz-Vivancos, P., Fujita, M., Lorence, A., Eds.; Springer: Cham, Switzerland, 2017; pp. 355–373. [Google Scholar]
- Wang, S.-D.; Zhu, F.; Yuan, S.; Yang, H.; Xu, F.; Shang, J.; Xu, M.-Y.; Jia, S.-D.; Zhang, Z.-W.; Wang, J.-H. The roles of ascorbic acid and glutathione in symptom alleviation to SA-deficient plants infected with RNA viruses. Planta 2011, 234, 171–181. [Google Scholar] [CrossRef]
- Burbidge, C.A.; Ford, C.M.; Melino, V.J.; Wong, D.C.J.; Jia, Y.; Jenkins, C.L.D.; Soole, K.L.; Castellarin, S.D.; Darriet, P.; Rienth, M. Biosynthesis and cellular functions of tartaric acid in grapevines. Front. Plant Sci. 2021, 12, 643024. [Google Scholar] [CrossRef] [PubMed]
- An, C.; Mou, Z. Salicylic acid and defense responses in plants. In Phytohormones: A Window to Metabolism, Signaling and Biotechnological Applications; Tran, L.-S.P., Pal, S., Eds.; Springer: New York, NY, USA, 2014; pp. 191–219. [Google Scholar]
- Singh, D.P.; Moore, C.A.; Gilliland, A.; Carr, J.P. Activation of multiple antiviral defence mechanisms by salicylic acid. Mol. Plant Pathol. 2004, 5, 57–63. [Google Scholar] [CrossRef] [PubMed]
- Lattanzio, V.; Lattanzio, V.M.; Cardinali, A. Role of phenolics in the resistance mechanisms of plants against fungal pathogens and insects. Phytochem. Adv. Res. 2006, 661, 23–67. [Google Scholar]
- Dixon, R.A.; Barros, J. Lignin biosynthesis: Old roads revisited and new roads explored. Open Biol. 2019, 9, 190215. [Google Scholar] [CrossRef] [PubMed]
- Wang, Y.; Sheng, L.; Zhang, H.; Du, X.; An, C.; Xia, X.; Chen, F.; Jiang, J.; Chen, S. CmMYB19 over-expression improves aphid tolerance in chrysanthemum by promoting lignin synthesis. Int. J. Mol. Sci. 2017, 18, 619. [Google Scholar] [CrossRef] [PubMed]
Disclaimer/Publisher’s Note: The statements, opinions and data contained in all publications are solely those of the individual author(s) and contributor(s) and not of MDPI and/or the editor(s). MDPI and/or the editor(s) disclaim responsibility for any injury to people or property resulting from any ideas, methods, instructions or products referred to in the content. |
© 2025 by the authors. Licensee MDPI, Basel, Switzerland. This article is an open access article distributed under the terms and conditions of the Creative Commons Attribution (CC BY) license (https://creativecommons.org/licenses/by/4.0/).