Sustainability Assessment of Rice Farming: Insights from Four Italian Farms Under Climate Stress
Abstract
1. Introduction
2. Materials and Methods
2.1. Mixed Methods Approach for Integrated Sustainability Assessment
2.2. Case Studies
2.2.1. Organic Model
2.2.2. Conventional Model
2.3. Single Methods
2.3.1. Original Agroecological Survey Indicator System
2.3.2. Life Cycle Assessment
2.3.3. Economic Analysis
3. Results
3.1. Sustainability Assessment of Case Studies (OASIS)
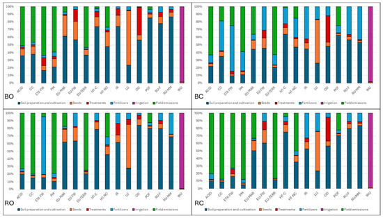
3.2. Environmental Sustainability
Life Cycle Analysis
3.3. Gross Margin Analysis
4. Discussion
Integrated Sustainability Assessment
5. Conclusions
Limitations of the Study
Author Contributions
Funding
Institutional Review Board Statement
Informed Consent Statement
Data Availability Statement
Acknowledgments
Conflicts of Interest
Abbreviations
| ACID | Acidification |
| ARPA | Regional Agency for Environmental Protection |
| BC | Bereguardo Conventional |
| BCA | Biological Control Agents |
| BO | Bereguardo Organic |
| CC | Climate change |
| CCIAA | Chamber of Commerce, Industry, Crafts, and Agriculture |
| CH4 | Methane |
| CO2eq | CO2 equivalent |
| EBITDA | Earnings Before Interest, Taxes, Depreciation, and Amortization |
| EF | Environmental footprint |
| EN | Ecological Networks |
| ETX-FW | Ecotoxicity, freshwater |
| EU | European Union |
| EU-FW | Eutrophication, freshwater |
| EU-MAR | Eutrophication, marine |
| EU-TERR | Eutrophication, terrestrial |
| FAO | Food and Agriculture Organization |
| FAOSTAT | FAO Statistics Division (database) |
| FTE | Full-Time Equivalents |
| FU | Functional unit |
| GHG | Greenhouse gas |
| HNVf | High-Nature Value farming |
| HT-C | Human toxicity, cancer effects |
| HT-NC | Human toxicity, non-cancer effects |
| IPCC | Intergovernmental Panel on Climate Change |
| IPM | Integrated Pest Management |
| IR | Ionizing radiation |
| ISO | International Organization for Standardization |
| ISPRA | Italian National Institute for Environmental Protection and Research |
| ISTAT | Italian National Institute of Statistics |
| LCA | Life Cycle Assessment |
| LU | Land use |
| N-P-K | Nitrogen–Phosphorus–Potassium |
| OASIS | Original Agroecological Survey and Indicator System |
| OD | Ozone depletion |
| OECD | Organisation for Economic Co-operation and Development |
| PCR | Product Category Rules |
| PGS | Participatory Guarantee Systems |
| PM | Particulate matter |
| POF | Photochemical ozone formation |
| Pt/mPt | Points / milliPoints |
| PV | Province of Pavia |
| RC | Rovasenda Conventional |
| RO | Rovasenda Organic |
| RU-F | Resource use, fossils |
| RU-MM | Resource use, minerals and metals |
| S1 | Supplementary data 1 |
| SAFA | Sustainability Assessment of Food and Agriculture systems |
| S-LCA | Social Life Cycle Assessment |
| SRP | Sustainable Rice Platform |
| TAPE | Tool for Agroecology Performance Evaluation |
| TFI | Treatment Frequency Index |
| UAA | Utilized Agricultural Area |
| UNCAI | National Union of Agro-mechanical and Industrial Contractors |
| VC | Province of Vercelli |
| WU | Water use |
Appendix A
| A—Practices in BO | ||||||
|---|---|---|---|---|---|---|
| OPERATION | INPUT | PRODUCT | AMOUNT | UNIT | FUEL | UNIT |
| Manuring | Manure | Manure | 30 | Ton/ha | 30 | L/ha |
| Plowing | 1 | 70 | L/ha | |||
| Harrowing | 2 | 20 | L/ha | |||
| Sowing | Seed | Baldo rice seed | 200 | Kg/ha | 10 | L/ha |
| Pruning machine | 1 | 20 | L/ha | |||
| Harvest | 2.5 | Ton/ha | 50 | L/ha | ||
| B—Practices in BC | ||||||
| OPERATION | INPUT | PRODUCT | AMOUNT | UNIT | FUEL | UNIT |
| Manuring | Manure | Manure | 30 | Ton/ha | 30 | L/ha |
| Harrowing | 1 | 25 | L/ha | |||
| Sowing | Seed | Barone rice seed | 180 | Kg/ha | 10 | L/ha |
| Pre-emergency weed control | Alcance | Clomazone 43 g/L | 2.8 | L/ha | 36 | L/ha |
| Pendimetalin 298 g/L | L/ha | |||||
| Fertilization | NPK 23-0-30 | NPK 23-0-30 | 225 | Kg/ha | 10 | L/ha |
| Post-emergency weed control | Beyond | Imazamox 40 g/L | 1.1 | L/ha | 36 | L/ha |
| DASH | Metil-oleato e metil-palmitato 37.5 g | 1 | L/Ha | |||
| MARINS | MCPA 200 g/L | 1.5 | L/ha | |||
| PERMIT | Halosulfuron metile 750 g/kg | 0.05 | Kg/ha | |||
| Fertilization | Npk 23-0-30 | Npk 23-0-30 | 225 | Kg/ha | 10 | L/ha |
| Fungicide | Amistar | Azoxystrobin puro 250 g/L | 1.0 | L/ha | 36 | L/ha |
| Harvest | 4.5 | Ton/ha | 50 | L/ha | ||
| C—Practices in RO | ||||||
| OPERATION | INPUT | PRODUCT | AMOUNT | UNIT | FUEL | UNIT |
| Plowing | 1 | 70 | L/ha | |||
| Fertilization | Hoof and horn | Nitrogen 14% | 250 | Kg/ha | 10 | L/ha |
| Harrowing | 2 | 25 | L/ha | |||
| Leveling | 1 | 12 | L/ha | |||
| Sowing | Seed | Ryegrass seed | 50 | Kg/ha | 10 | L/ha |
| Fertilization | Potassium sulfate | Potassium 50% | 180 | Kg/ha | 10 | L/ha |
| Sowing | Seed | Carnaroli rice seed | 180 | Kg/ha | 10 | L/ha |
| Fungicide | Thiopron | Sulfur | 5 | L/ha | 36 | L/ha |
| Fungicide | Thiopron | Sulfur | 5 | L/ha | 36 | L/ha |
| Fungicide | Thiopron | Sulfur | 5 | L/ha | 36 | L/ha |
| Harvest | 2 | Ton/ha | 50 | L/ha | ||
| D—Practices in RC | ||||||
| OPERATION | INPUT | PRODUCT | AMOUNT | UNIT | FUEL | UNIT |
| Plowing | 1 | 70 | L/ha | |||
| Leveling | 1 | 12 | L/ha | |||
| Harrowing | 1 | 25 | L/ha | |||
| Fertilization | Diammonium phosphate + Hoof and horn | 18% Nitrogen 46% Phosphorus 14% Nitrogen | 180 330 | Kg/ha Kg/ha | 10 | L/ha |
| Pre-sowing weed control | Stratos | Cycloxydim | 2.2 | L/ha | 36 | L/ha |
| Sowing | Seed | Carnaroli rice seed | 190 | Kg/ha | 10 | L/ha |
| Post-emergency weed control | Aura | Profoxydim | 0.3 | L/ha | 36 | L/ha |
| DASH | Metil-oleato e metil-palmitato 37.5 g | 0.9 | L/Ha | |||
| CLINCHER ONE | Cialofop-buthyl 200 g/L | 1.5 | L/ha | |||
| KARATE | Lambda cyhalothrin 9.48 g | 0.125 | L/ha | |||
| Fungicide | Amistar | Azoxystrobin puro 250 g/L | 1.0 | L/ha | 36 | L/ha |
| Fungicide | Amistar | Azoxystrobin puro 250 g/L | 1.0 | L/ha | 36 | L/ha |
| Harvest | 4.5 | Ton/ha | 50 | L/ha | ||
| A—Water Management in BO | ||||
|---|---|---|---|---|
| OPERATION | START | FINISH | SUBMERSION DAY | DRY DAY |
| Sowing | 30/05/2022 | 30/05/2022 | ||
| Submersion 1 | 20/06/2022 | 23/06/2022 | 3 | |
| Dry 1 | 21/06/2022 | 09/07/2022 | 15 | |
| Submersion 2 | 10/07/2022 | 13/07/2022 | 3 | |
| Dry 2 | 14/07/2022 | 29/07/2022 | 15 | |
| Submersion 3 | 30/07/2022 | 02/08/2022 | 3 | |
| Harvest | 22/10/2022 | 22/10/2022 | 39 | |
| Tot | 10/09/2022 | 10/09/2022 | 9 | 69 |
| B—Water Management on BC | ||||
| OPERATION | START | FINISH | SUBMERSION DAY | DRY DAY |
| Sowing | 15/04/2022 | 15/04/2022 | ||
| Submersion 1 | 12/05/2022 | 15/05/2022 | 3 | |
| Dry 1 | 16/05/2022 | 03/06/2022 | 18 | |
| Submersion 2 | 04/06/2022 | 07/10/2022 | 3 | |
| Dry 2 | 07/06/2022 | 25/06/2022 | 18 | |
| Submersion 3 | 26/6/2022 | 02/07/2022 | 6 | |
| Harvest | 10/09/2022 | 10/09/2022 | 70 | |
| Tot | 12 | 106 | ||
| C—Water Management on RO | ||||
| OPERATION | START | FINISH | SUBMERSION DAY | DRY DAY |
| Sowing | 28/04/2022 | 28/04/2022 | ||
| Submersion 1 | 28/04/2022 | 10/05/2022 | 12 | |
| Dry 1 | 11/05/2022 | 26/05/2022 | 15 | |
| Submersion 2 | 27/05/2022 | 29/07/2022 | 63 | |
| Dry 2 | 30/07/2022 | 06/08/2022 | 7 | |
| Submersion 3 | 07/08/2022 | 06/09/2022 | 30 | |
| Harvest | 03/11/2022 | 03/11/2022 | 58 | |
| Tot | 105 | 80 | ||
| D—Water Management in RC | ||||
| OPERATION | START | FINISH | SUBMERSION DAY | DRY DAY |
| Sowing | 11/04/2022 | 11/04/2022 | ||
| Submersion 1 | 21/05/2022 | 28/05/2022 | 7 | |
| Dry 1 | 28/05/2022 | 09/06/2022 | 12 | |
| Submersion 2 | 10/06/2022 | 14/10/2022 | 126 | |
| Dry 2 | 15/10/2022 | 21/10/2022 | 6 | |
| Harvest | 22/10/2022 | 22/10/2022 | 8 | |
| Tot | 133 | 26 | ||
| Farm | BC | RC | BO | RO |
|---|---|---|---|---|
| Province | Pavia (PV) | Vercelli (VC) | Pavia (PV) | Vercelli (VC) |
| Model | Conventional | Conventional | Organic | Organic |
| Seeding Method | Dry seeding | Water seeding | Dry broadcast after flooding | Broadcast over green mulch |
| Weed Control | Chemical herbicides (pre- and post-emergence) | Chemical herbicides (pre-seeding, post-emergence) | Mechanical weeding + manual/machine pruning | Green mulching (allelopathic effect) |
| Fertilization | NPK fertilizers (chemical) | NPK fertilizers (chemical) | Organic manure | Organic fertilizers |
| Pest Management | Chemical fungicides (Amistar) | Chemical fungicides (Amistar) | Sulfur-based organic treatments | Sulfur-based organic treatments |
| Irrigation | Gravity-fed surface water | Gravity-fed surface water | Gravity-fed surface water | Gravity-fed surface water |
| Water Management | Submersion: June from 4th to 7th, Dry: June from 7th to 25th, Submersion: June from 26th to 29th, Dry: from June 29th to July 9th, Submersion: July from 10th to 13th | Sowing: April 15th, Submersion: May from 12th to 15th, Dry: from May 16th to June 3rd, Submersion: June from 4th yo 7th, Dry: June from 7th to 25th, Submersion: from June 26th to July 2nd | Sowing: May 30th, Submersion: June from 20th to 23rd, Dry: from June 21th to July 9th, Submersion: July from 10th to 13th, Dry: July from 14th to 29th, Submersion: from July 30th toAugust 2nd | Sowing: April 28th, Submersion: from April 28th to May 10th, Dry: May from 10th to 22nd, Submersion: May from 22nd to 25th, Dry: from May 25th to June 7th |
| UAA (ha) | 40 | 55 | 25 | 30 |
| Applied Crop Rotation | Not specified | Not specified | Crop rotation (not specified) | Crop rotation (not specified) |
| Rice Varieties | Baldo | Baldo | Baldo (organic) | Baldo (organic) |
| Average Yield (ton/ha) | 6.5 | 7.2 | 5.2 | 5.5 |
| Main Input Consumption | NPK fertilizers (225 kg/ha × 2), Herbicides (pre- and post-emergence), Fungicides | NPK fertilizers (pre- and post-seeding), Herbicides, Fungicides | Organic manure (30 t/ha), Sulfur-based pest treatments | Organic fertilizers, Sulfur-based treatments |
| Number of Workers | 5 | 6 | 4 | 4 |
| Criterion | Indicator | Subindicator | Scale |
|---|---|---|---|
| Soil tillage (1.1.1) | The extent of adoption of agroecological measures in soil tillage. Also related to soil compaction. | Specific 1–5 scale thresholds for this criterion are defined by crossing information from different questions and possibly objective quantitative data with qualitative information collected, observed, or estimated by the evaluator. The general scale ranges from 1 (least agroecological) to 5 (most agroecological). | |
| Soil fertility management (1.1.2) | The extent of adoption of agroecological measures in soil fertility management (e.g., use of synthetic fertilizers, organic manures, legumes, cover crops). | 1: no agroecological practices used (completely synthetic fertilizers); 2: rarely used practice and/or only in a small part of the farm (up to 30%); 3: moderate use of practice and/or up to one half of the farmed land; 4: often-used practice and/or in 75% of the farmland, several strategies implemented; 5: several strategies implemented and no (or almost no) use of synthetic fertilizers. | |
| Pest management (1.1.3) | Use of chemical pesticides compared to local IPM recommendations; presence of diverse crop rotation/crops/ecological networks; use of other agroecological pest management practices. | Commercial insecticides and acaricides (5.2.7.5) | Specific 1–5 scale thresholds for the main criterion are defined by crossing information from different questions and possibly objective quantitative data with qualitative information collected, observed, or estimated by the evaluator. The general scale ranges from 1 (least agroecological) to 5 (most agroecological); For Subindicator: measured using TFI: 1: >7, 2: 5.1–7, 3: 3.1–5, 4: 1.1–3, 5: 0–16. |
| Crop disease management (1.1.4) | Presence of crop diseases; use of fungicides/chemical fertilizers/soil solarization/copper/sulphate compared to IPM; type of soil tillage; extent of agroecological practices; regular monitoring. | Commercial fungicides and bactericides (5.2.7.7) | 1: use >30% of recommended chemical fungicides; copper sulphate >5 times/year; and/or deep/frequent tillage, excessive N, regular soil solarization; no clear prevention; 2: IPM (moderate fungicides); occasional soil solarization or copper sulphate up to 5 times/year; 3: use commercial BCAs, efficient microorganisms, some fungicides; rare solarization or copper sulphate up to 3 times/year; Thresholds for 4 and 5 are defined by crossing information from different questions and possibly objective quantitative data with qualitative information collected, observed, or estimated by the evaluator; For Subindicator: measured using TFI: 1: >7, 2: 5.1–7, 3: 3.1–5, 4: 1.1–3, 5: 0–110. |
| Weed management (1.1.5) | Use of herbicides compared to IPM; use of mechanical weeding/flame weeding/bioherbicides; extent of agroecological practices supporting weed management; regular observation. | Commercial herbicides (5.2.7.6) | 1: synthetic herbicide on whole surface, >30% of recommended; 3: frequent mechanical weeding (more than twice/three times per ha/year) or frequent flame weeding or use of bioherbicides; 4: mixed management; 5: no use of herbicides and less than two instances of mechanical weeding per crop per year; well-established use of different weed management-supporting agroecological practices; For Subindicator: measured using TFI: 1: >4.5, 2: 3.1–4.5, 3: 1.6–3, 4: 0.8–1.5, 5: 0–0.7. |
| Soil cover (1.1.6) | Proportion of soil covered (with plants or biological material). | 1: <50% of the time (<6 months); 2: 50–75%; 3: 76–90%; 4: 91–95% (~11 months); 5: >95% (>11.5 months) | |
| Plant reproductive material (1.1.7) | Proportion of farmland using plant reproductive material requiring low amounts of inputs (water, synthetic fertilizers, pesticides). | Plant reproductive material (5.2.7.2) | 5: less than 20% of the plant reproductive material used requires significant amounts of inputs. Thresholds for 1–4 are defined by crossing information from different questions and possibly objective quantitative data with qualitative information collected, observed, or estimated by the evaluator. For Subindicator: Share of bought seeds and seedlings in total reproductive material used: 1: buys 75–100%, 2: buys up to 75% and/or produces part of seedlings, 3: up to 50% produced and/or produces all seedlings, 4: buys up to 25% and/or produces all seedlings. Threshold for 5 is not explicitly defined in the provided excerpt. |
| Animal welfare (1.2.1) | Extent of adoption of agroecological measures ensuring animal wellbeing and basic needs, based on the “Five Freedoms” concept (e.g., absence of hunger/thirst/malnutrition, absence of fear/distress) | Specific 1–5 scale thresholds are defined by crossing information from different questions and possibly objective quantitative data with qualitative information collected, observed, or estimated by the evaluator. The general scale ranges from 1 (least agroecological) to 5 (most agroecological). | |
| Livestock management (1.2.2) | Extent of adoption of agroecological measures in livestock management (percentage of low-demand animals, production level, animal product to food-competing feedstuff ratio, use of synthetic drugs/preventive natural methods) | Animal feed (5.2.7.9) | 1: farmer raises only highly productive animals OR uses very high amount of drugs OR very low quality concentrate-based feed (e.g., M:G ratio ≤ 2.9); 2: farmer raises highly productive animals; uses only synthetic drugs following recommendations; uses low-diversity feed with concentrates (e.g., M:G ratio 3.0–3.3); 3: farmer has some low-demand animals; uses small amounts of synthetic/some natural drugs; implements appropriate measures for hygiene, spacing, feeding (e.g., M:G ratio 3.4–4.0). Thresholds for 4 and 5 are defined by crossing information from different questions and possibly objective quantitative data with qualitative information collected, observed, or estimated by the evaluator. For Subindicator: Proportion of forage produced on the farm or received via non-monetary economy: 1: <20% self-sufficiency, 2: 20–40%, 3: 41–60%, 4: 61–80%, 5: >80%. |
| Veterinary drugs (5.2.7.10) | For Subindicator: Mean value of commercial drug treatments per animal per year or continual use of pharmaceutics: 1: continuous treatments, 2: mean value >3, 3: mean value 2–2.9, 4: mean value 1–1.9, 5: average < 1 drug per animal per year. | ||
| Grassland management (1.2.3) | Extent of adoption of agroecological measures in grasslands (stocking management, rotational/extensive grazing, proportion of legumes, amount of fertilizers) | 3: moderate use; 4: high use OR very high use in 60–80% of the used land; 5: very high use in >80% of the land. Thresholds for 1 and 2 are defined by crossing information from different questions and possibly objective quantitative data with qualitative information collected, observed, or estimated by the evaluator. | |
| Water management (1.3.1) | Extent of implementation of techniques that conserve water and increase irrigation efficiency | Water (5.2.7.1) | 1: no implementation; noticeable inefficient water use; 2: rarely used and/or only in a small part of the farm (up to 30%); Thresholds for 3–5 are defined by crossing information from different questions and possibly objective quantitative data with qualitative information collected, observed, or estimated by the evaluator. For Subindicator: Approximate consumption of bought water in m3/ha/year: 1: >6000, 2: 3000–6000, 3: 1000–2999, 4: 500–999, 5: <500. |
| Microclimate management (1.3.2) | Extent of use of techniques that enhance favorable microclimate (e.g., ponds, terraces, windbreaks, shading trees) | 1: not used at all; 2: rarely used and/or only in a small part of the farm (up to 10%); 3: moderate use, in up to 30% of the farmed land; 4: often used, 2 or 3 types of techniques, up to 50%; 5: very often used, in >50%, >3 different techniques. | |
| Agroforestry (1.3.3) | High level of adoption of agroforestry (system where trees and crops/livestock are grown together) | 1: not used at all; 2: rarely used and/or only in a small part of the farmed land (<25%); 3: moderate use, in up to one half (25–50%); 4: often used, in more than one half (51–75%); 5: very often used and in all parts (>75%). | |
| Low variable costs (2.1.1) | Yearly expenditures expressed in local currency compared to the regional average expenditures (for the crop/animal in question) per ha per year according to the farm type | Optional specific expenditure categories | 1: expenditure much larger than regional average (>160%); 2: expenditure larger than regional average (121–160%); 3: expenditure at regional average level (81–120%); 4: expenditure lower than regional average (40–80%); 5: expenditure much lower than regional average (<40%) or not used at all. For optional specific expenditure categories: Scales are generally provided under the 5.2.7 non-dependency on commercial inputs section (see below). |
| Low fixed costs (2.1.2) | Fixed costs (buildings and machinery/tools/technology) compared to the regional average expenditures, depreciated over 5 (machinery) or 20 (buildings) years | Optional machinery/tools and buildings | Specific 1–5 scale thresholds are defined by crossing information from different questions and possibly objective quantitative data with qualitative information collected, observed, or estimated by the evaluator. The general scale ranges from 1 (least agroecological) to 5 (most agroecological). For Optional Subindicators: Description of calculation provided but no 1–5 scale. |
| Product quality (2.2.1) | Assessment based on raw materials, practices, processes resulting in higher quality foods (‘healthy’, ‘natural’, ‘safe’, etc.), and communication of these practices (certification, direct communication, PGS). | Specific 1–5 scale thresholds are defined by crossing information from different questions and possibly objective quantitative data with qualitative information collected, observed, or estimated by the evaluator. The general scale ranges from 1 (least agroecological) to 5 (most agroecological). | |
| Product processing (2.2.2) | Proportion of the products sold that are processed by the farmer and/or small-scale and locally | 2: up to 10% processed; 3: 11–30%; 4: 31–60%; 5: >60% processed by farmer/small-scale locally | |
| Short marketing chain (2.2.3) | Assessment based on the number of intermediaries in the supply chain from farm to consumer. | 1: most revenue through long chains (>3 intermediaries) or length unknown; 2: most revenue through long chains (3 intermediaries); 3: most revenue through long–short chains (2 intermediaries); 4: most revenue through short chains and direct sale (0–1 intermediaries); 5: most revenue through direct sales | |
| Local marketing chain (2.2.4) | Assessment based on the geographical distance products travel to the final destination. | 5: most products travel >100 km. Thresholds for 1–4 are defined by crossing information from different questions and possibly objective quantitative data with qualitative information collected, observed, or estimated by the evaluator. | |
| Diversification of activities (2.2.5) | Number of additional non-farming activities present on the farm (e.g., processing food, farm shop, agritourism) | 1: no additional non-farming activities; 2: slight engagement, minor additional revenue; 3: moderate engagement, some additional revenue; 4: high engagement, important additional revenue OR farmer has primary non-farming job; 5: high diversification, non-farming revenue equals/higher than farming | |
| Income satisfaction (2.3.1) | Farmer’s subjective judgment (satisfaction) with the income coming from farming activities | 1: very low satisfaction; 2: low satisfaction; 3: moderate satisfaction; 4: high satisfaction; 5: very high satisfaction | |
| Income compared to other farmers (2.3.2) | The estimation of the evaluator on how large the profit of the farm is in the context of the region where it operates, compared to other similar farms | 1: significantly lower income; 2: lower income; 3: approximately equal income; 4: higher income; 5: significantly higher income | |
| Working conditions (3.1.1) | Observation and assessment of safety, treatment, and compliance with standards for waged workers (e.g., pesticide-free environment, respectful/equal treatment, safety equipment, training, hours, breaks, housing) | 1: very inhumane and unsafe environment; 2: unsafe environment (e.g., problematic pesticide handling); 3: relatively safe environment, but some problems noticed; 4: safe environment with minor safety issues; 5: very safe working environment | |
| Wages, job stability, social protection (3.1.2) | Compliance with contract requirements, social benefits, wages compared to regional average, reliance on temporary workers | 1: none of the requirements satisfied (highly precarious job, no social protection/wage/contract); 2: low wages and precarious but with a binding contract, some social benefits; 3: clear contracts but with a wage below regional average, reliance on temporary workers; 4: most of the requirements satisfied; 5: all of the requirements satisfied | |
| Gender equity (3.1.3) | Ratio of women in decision-making positions; women’s satisfaction with workplace; gender gap in salary/benefits/working hours; participation/autonomy in decision-making (family farms); land/livestock ownership; political participation | 2: low level of gender equity (e.g., large differences in working hours, salary differences, no women managers, most decisions by men); 3: medium level (some women managers, equal salaries, women feel safe, occasional political participation, hour differences, men make most decisions with consultation/women handle “marginal” matters); 4: high level (small hour differences, women in 1/3 managerial positions, women have authority in non-marginal realms, equal decision-making, good political/social participation); thresholds for 1 and 5 are defined by crossing information from different questions and possibly objective quantitative data with qualitative information collected, observed, or estimated by the evaluator. | |
| Job creation (3.1.4) | Hired labor (family labor is not included) expressed as full-time equivalents (FTE) per hectare | Workforce (5.2.7.11) | Specific 1–5 scale thresholds for this criterion are defined by crossing information from different questions and possibly objective quantitative data with qualitative information collected, observed, or estimated by the evaluator. The general scale ranges from 1 (least agroecological) to 5 (most agroecological). For Subindicator: Hired labor (family labor not included) expressed as FTE/ha: 1: >1, 2: 0.5–1, 3: 0.01–0.5, 4: 0.001–0.01, 5: 0.25. |
| Employment of people at risk of poverty and social exclusion (3.1.5) | Indicator not explicitly defined in the provided excerpts. | Specific 1–5 scale thresholds are defined by crossing information from different questions and possibly objective quantitative data with qualitative information collected, observed, or estimated by the evaluator. The general scale ranges from 1 (least agroecological) to 5 (most agroecological). | |
| Networks and collectives (3.2.1) | Intensity and continuity of participation in networks, collectives, organizations. | 1: no participation; 2: membership in 1–2, no genuine participation; 3: membership in a few, occasional involvement; 4: membership in a few with some involvement OR membership in one with good involvement, very good cooperation with other farmers; threshold for 5 is not explicitly defined in the provided excerpts. | |
| Social and solidarity economy (3.2.2) | Indicator not explicitly defined in the provided excerpts. | Specific 1–5 scale thresholds are defined by crossing information from different questions and possibly objective quantitative data with qualitative information collected, observed, or estimated by the evaluator. The general scale ranges from 1 (least agroecological) to 5 (most agroecological). | |
| Advocacy and education on agroecology (3.2.3) | Intensity and continuity of involvement in educational projects dealing with agroecology, advocacy activities related to any pillar of agroecology | Specific 1–5 scale thresholds are defined by crossing information from different questions and possibly objective quantitative data with qualitative information collected, observed, or estimated by the evaluator. The general scale ranges from 1 (least agroecological) to 5 (most agroecological). | |
| Transparency (3.2.4) | Deliberate attempt to make available relevant information (positive/negative) accurate, timely, balanced, unequivocal to enhance public reasoning and hold organizations accountable | Specific 1–5 scale thresholds are defined by crossing information from different questions and possibly objective quantitative data with qualitative information collected, observed, or estimated by the evaluator. The general scale ranges from 1 (least agroecological) to 5 (most agroecological). | |
| Traditional seeds and breeds (3.3.1) | Proportion of use and promotion of traditional local seeds and heritage breeds | 1: no use; 2: very slight (e.g., one marginal crop) or one-off use; 3: occasional use; 4: up to 20% traditional, occasional promotion; 5: >20% traditional, strong promotion | |
| Traditional foods (3.3.2) | Extent of involvement in preservation of traditional foods, specifically transformation following traditional processes and recipes | 2: transformation for family needs only; 3: small percentage of products sold transformed traditionally or partially; 4: most of the processed products sold transformed following traditional recipes; 5: all transformed products sold following traditional recipes, strong promotion; threshold for 1 is not explicitly defined in the provided excerpts. | |
| Satisfactory workload levels (3.4.1) | Farmer’s self-assessment of their (and family’s) yearly workload on a scale from 1 (too large) to 5 (very satisfactory) | 1: too large; 2: very large; 3: moderate; 4: satisfactory; 5: very satisfactory | |
| Low stress levels work environment (3.4.2) | Farmer’s self-assessment of the average amount of stress experienced throughout the year on a scale from 1 (extremely stressful) to 5 (not stressful) | 1: extremely stressful; 2: very stressful; 3: moderately stressful; 4: mildly stressful; 5: not stressful | |
| Sufficient time for family and social relationships (3.4.3) | Farmer’s self-assessment of the amount of free time for personal relationships on a scale from 1 (no time) to 5 (sufficient time) | 1: no time; 2: very little time; 3: moderate amount of time; 4: almost enough time; 5: sufficient amount of time | |
| Sufficient time for knowledge and skill acquisition (3.4.4) | Farmer’s self-assessment of the amount of free time for acquiring new knowledge and skills on a scale from 1 (no time) to 5 (sufficient time) | 1: no time; 2: very little time; 3: moderate amount of time; 4: almost enough time; 5: enough time | |
| Finding work meaningful (3.4.5) | Farmer’s self-assessment of the amount of meaning, motivation, and self-realization attributed to their work | 3: I sometimes feel fulfilled/motivated, but often would rather work another job / I find my job somewhat important for the wider community; 4: I mostly feel motivated, it is fulfilling / I find my job is very important; 5: I feel very fulfilled/motivated, would not genuinely consider any other job / I find my job is extremely important; thresholds for 1 and 2 are defined by crossing information from different questions and possibly objective quantitative data with qualitative information collected, observed, or estimated by the evaluator. | |
| Good level of self-consumption of food products (3.4.6) | Proportion of produce from the farm (including kitchen garden) in the family diet, including products received through non-monetary economy (approximate percentage) | 1: nil or extremely low (<10%); 2: 10–20%; 3: 21–40%; 4: 41–60%; 5: >60% (very high) | |
| Farmer’s perspective on farm’s future (3.5.1) | Farmer’s self-assessment (opinion) on the farm’s viability in the long-term on a scale from 1 (completely pessimistic) to 5 (completely optimistic) | 1: completely pessimistic; 2: pessimistic; 3: neither pessimistic nor optimistic (or no opinion); 4: optimistic; 5: completely optimistic | |
| Young farmer or successor (3.5.2) | Assessment of whether there is genuine possibility that the farm will continue functioning in the long-run considering farmer’s age and whether somebody is willing to take on the farm after the current farmer retires | 1: no chance to have a successor; 2: small possibility; 3: a moderate possibility; 4: good possibility; 5: very high probability OR successor took over in last 5 years OR farmer is young (<50) | |
| Low pollution (4.1.1) | Estimated by the investigator considering sources like type/amount of pesticides/fertilizers, fertilizer application, manure storage, packaging, plastic mulch, waste production/disposal | 1: very important pollution (e.g., due to highly toxic/long half-life pesticides); 2: important pollution; 3: medium pollution; thresholds for 4 and 5 are defined by crossing information from different questions and possibly objective quantitative data with qualitative information collected, observed, or estimated by the evaluator. | |
| Soil carbon budget optimization (4.1.2) | Use of practices enhancing soil’s carbon sink capacity and minimizing practices turning soil into a GHG source. Indicator considers soil tillage technique, proportion of soil covered, diversity of crop rotations, crop residue management, organic/chemical fertilizer use, type of grazing/stocking | 1: extreme overgrazing AND/OR intensive tillage, no use of cover crops, regular burning of crop residues, no crop rotation, no use of organic fertilizers. Thresholds for 2–5 are defined by crossing information from different questions and possibly objective quantitative data with qualitative information collected, observed, or estimated by the evaluator. | |
| Soil erosion minimization (4.1.3) | Implementation of techniques reducing soil erosion. Investigator considers inclination, visible signs, tillage, cover crops, soil cover, management techniques, fertility management | 4: slight presence of mudslides or erosion channels, low presumptions about erosion happening; 5: no presence of mudslides or erosion channels, almost no presumptions of erosion happening. Thresholds for 1–3 are defined by crossing information from different questions and possibly objective quantitative data with qualitative information collected, observed, or estimated by the evaluator. | |
| Soil salinization minimization (4.1.4) | Implementation of techniques reducing secondary salinization. Investigator considers visible signs, type of irrigation water/system, drainage system, farmer’s perspective. | 1: visible soil salinity in most parts, an important problem; 2: problems with soil salinity in many parts; 3: some problems, or only in some parts; 4: rare problems or only restricted to a small part. Threshold for 5 is not explicitly defined in the provided excerpts. | |
| Soil compaction minimization (4.1.5) | Implementation of techniques reducing soil compaction. Investigator observes visible signs, tillage technique/intensity/frequency, amount of traffic | Specific 1–5 scale thresholds are defined by crossing information from different questions and possibly objective quantitative data with qualitative information collected, observed, or estimated by the evaluator. The general scale ranges from 1 (least agroecological) to 5 (most agroecological). | |
| Ecological networks (4.2.1) | Proportion of used agricultural land that is ecological networks | Commercial biological control agents (5.2.7.8) | 1: no presence of EN; 2: up to 2%; 3: 2.1–5%; 4: 5.1–10%; 5: >10%, many efforts for developing ecological infrastructure. For subindicator: Measured using TFI: 1: >2, 2: 1.1–2, 3: 0.5–1, 4: 0.2–0.4, 5: 0–0.110. (Note: This connection implies a link between EN and reliance on commercial BCAs, though the scale is specific to BCA TFI). |
| High-Nature Value farming (HNVf) (4.2.2) | Proportion of farmland where HNVf is present, type of HNVf (specific management for conservation species, mosaic landscape, intensity of management, semi-natural vegetation) | Specific 1–5 scale thresholds are defined by crossing information from different questions and possibly objective quantitative data with qualitative information collected, observed, or estimated by the evaluator. There is a diagram showing categories—NOT HNVf, SEMI-NATURAL VEGETATION, and TYPE 3 HNVf—related to intensity of use. The general scale ranges from 1 (least agroecological) to 5 (most agroecological). | |
| Agrobiodiversity (4.2.3) | Mean value calculated from three types of agrobiodiversity: Land use diversity, Diversity of domestic animals, Diversity of crops | Land use diversity | Specific 1–5 scale thresholds for the mean value of the criterion are not explicitly defined. For subindicator Land use diversity: Shannon index: 1: 0–0.3, 2: 0.4–0.7, 3: 0.8–1.1, 4: 1.2–1.5, 5: >1.5. |
| Animal types (species and breeds) diversity | For subindicator Animal diversity: Direct enumeration: 1: 1 type, 2: 2 types, 3: 3 types, 4: 4 types, 5: 5+ types. | ||
| Crop types (species and cultivar) diversity | For subindicator Crop diversity: Shannon index: 1: 0–0.9, 2: 1–1.5, 3: 1.6–2.1, 4: 2.2–2.6, 5: >2.6. | ||
| Stress-tolerant species, breeds, and cultivars (5.1.1) | Proportion of use of cultivars, breeds, and species with stress-tolerant traits, percentage of low-demand animals. | 1: none have stress-tolerant characteristics; 2: up to 25% animal species/breeds AND/OR up to 25% land planted with stress-tolerant crops/cultivars; 3: up to 50% animal species/breeds AND/OR up to 50% land planted; 4: up to 75% animal species/breeds AND/OR up to 75% land planted; 5: (almost) all animal species/breeds AND (almost) all land planted | |
| Diversification of products (5.2.1) | Share of the main product in the total quantity of production | 1: major product share 90–100%; 2: 70–89%; 3: 45–69%; 4: 20–44%; 5: no product > 20% share | |
| Short and local marketing chains (5.2.2) | Mean value of 2.2.3.3 and 2.2.3.495. (Likely refers to a combination of the scales for Short marketing chain (2.2.3) and Local marketing chain (2.2.4)). | Specific 1–5 scale thresholds for the combined mean are defined by crossing information from different questions and possibly objective quantitative data with qualitative information collected, observed, or estimated by the evaluator. See scales for 2.2.3 and 2.2.4 separately. The general scale ranges from 1 (least agroecological) to 5 (most agroecological). | |
| Diversification of clients (5.2.3) | Share of each client in the purchase of the production (on average) | 1: one client buys all or nearly all; 2: one client buys 50–90%; 3: one clients buys maximum 30–49%; 4: one client buys maximum 10–29%. Threshold for 5 is not explicitly defined in the provided excerpts. | |
| Revenue distribution (5.2.4) | Spread of EBITDA throughout the year | 5: 80% of the revenue flows are concentrated in 10 months of the year (very stable distribution). Thresholds for 1–4 are defined by crossing information from different questions and possibly objective quantitative data with qualitative information collected, observed, or estimated by the evaluator. | |
| Non-dependency on subsidies (5.2.5) | Share of subsidies in gross income | 1: share 70% or higher; 2: 50–70%; 3: 25–49%; 4: 10–24%; 5: lower than 10% | |
| Workforce permanence (5.2.6) | Ability to attract and keep motivated workforce | Specific 1–5 scale thresholds are defined by crossing information from different questions and possibly objective quantitative data with qualitative information collected, observed, or estimated by the evaluator. The general scale ranges from 1 (least agroecological) to 5 (most agroecological). Related to Job creation (3.1.4) and Optional workforce (5.2.7.11). | |
| Non-dependency on commercial inputs (5.2.7) | This criterion is assessed via optional specific indicators related to dependence on purchased inputs | Water (5.2.7.1) | Specific 1–5 scale thresholds for the overall criterion are not explicitly defined. They are assessed based on the optional subindicators. For Subindicator Water: Approximate consumption of bought water in m3/ha/year: 1: >6000, 2: 3000–6000, 3: 1000–2999, 4: 500–999, 5: <500. |
| Plant reproductive material (5.2.7.2) | For Subindicator Plant reproductive material: Share of bought seeds and seedlings in total reproductive material used: 1: buys 75–100%; 2: buys up to 75% and/or produces part of seedlings; 3: up to 50% produced and/or produces all seedlings; 4: buys up to 25% and/or produces all seedlings. Threshold for 5 is not explicitly defined. | ||
| Young animals (5.2.7.3) | Indicator and scale thresholds for this optional subindicator are defined by crossing information from different questions and possibly objective quantitative data with qualitative information collected, observed, or estimated by the evaluator. | ||
| Fertilizers (commercial nitrogen) (5.2.7.4) | For Subindicator Fertilizers: Kg/ha of commercial nitrogen: 1: >200 kg/ha, 2: 150–200, 3: 100–149, 4: 50–99, 5: <50. | ||
| Insecticides (5.2.7.5) | For Subindicator Insecticides: Measured using TFI: 1: >7, 2: 5.1–7, 3: 3.1–5, 4: 1.1–3, 5: 0–1 | ||
| Herbicides (5.2.7.6) | For Subindicator Herbicides: Measured using TFI: 1: >4.5, 2: 3.1–4.5, 3: 1.6–3, 4: 0.8–1.5, 5: 0–0.7 | ||
| Fungicides (5.2.7.7) | For Subindicator Fungicides: Measured using TFI: 1: >7, 2: 5.1–7, 3: 3.1–5, 4: 1.1–3, 5: 0–1 | ||
| BCAs (commercial biological control agents) (5.2.7.8) | For Subindicator BCAs: Measured using TFI: 1: >2, 2: 1.1–2, 3: 0.5–1, 4: 0.2–0.4, 5: 0–0.1 | ||
| Animal feed (5.2.7.9) | For Subindicator Animal feed: Proportion of forage self-sufficiency: 1: <20%, 2: 20–40%, 3: 41–60%, 4: 61–80%, 5: >80% | ||
| Veterinary drugs (5.2.7.10) | For Subindicator Veterinary drugs: Mean value of commercial drug treatments per animal per year or continual use: 1: continuous treatments; 2: mean value > 3; 3: mean value 2–2.9; 4: mean value 1–1.9; 5: average < 1 drug per animal per year | ||
| Workforce (5.2.7.11) | For Subindicator Workforce: Hired labor (FTE/ha): 1: >1, 2: 0.5–1, 3: 0.01–0.5, 4: 0.001–0.01, 5: 0 | ||
| Energy (5.2.7.12) | For Subindicator Energy: Energy consumption (kgOE/ha/year): 1: >150, 2: 101–150, 3: 51–100, 4: 11–50, 5: 0–10 |
| Indicator | Year 2022 | Average (Reference Period) | Change 2022 vs. Average | Source |
|---|---|---|---|---|
| Wholesale price of rice (Producer price, €/ton) | € 600.20 | €521.21 (2011–2021) | 13% | FAOSTAT |
| Annual average temperature (°C) | 16.6 °C | 15 °C (2011–2021) | 10% | ISTAT |
| Total annual precipitation (mm) | 409.2 mm | 891.6 mm (2006–2015) | −54% | ISTAT |
| Average diesel price (€/L) | € 1.51 | €0.90 (2015–2025 excluding 2022) | 40% | CCIA Milan |
| Acronym | Meaning | Unit of measure (usual) |
|---|---|---|
| ACID | Acidification (terrestrial and freshwater) | mol H+ eq |
| CC | Climate change | kg CO2 eq |
| ETX-FW | Ecotoxicity, freshwater | Comparative Toxic Unit (CTUe) |
| PM | Particulate matter | Disease incidence |
| EU-MAR | Eutrophication, marine | kg N eq |
| EU-FW | Eutrophication, freshwater | kg P eq |
| EU-TERR | Eutrophication, terrestrial | mol N eq |
| HT-C | Human Toxicity—cancer effects | Comparative Toxic Unit (CTUh) |
| HT-NC | Human Toxicity—non-cancer effects | Comparative Toxic Unit (CTUh) |
| IR | Ionizing Radiation | kBq U-235 eq |
| LU | Land use | Pt or dimensionless |
| OD | Ozone depletion | kg CFC-11 eq |
| POF | Photochemical ozone formation | kg NMVOC eq |
| RU-F | Resource use—fossils | MJ |
| RU-MM | Resource use—minerals and metals | kg Sb eq |
| WU | Water use | m3 world eq |
References
- Hashim, N.; Ali, M.M.; Mahadi, M.R.; Abdullah, A.F.; Wayayok, A.; Mohd Kassim, M.S.; Jamaluddin, A. Smart Farming for Sustainable Rice Production: An Insight into Application, Challenge, and Future Prospect. Rice Sci. 2024, 31, 47–61. [Google Scholar] [CrossRef]
- Ahmad Rizal, A.R.; Md Nordin, S.; Abd Rashid, R.; Hassim, N. Decoding the Complexity of Sustainable Rice Farming: A Systematic Review of Critical Determining Factor of Farmers’ Sustainable Practices Adoption. Cogent Food Agric. 2024, 10, 2334994. [Google Scholar] [CrossRef]
- Chivenge, P.; Angeles, O.; Hadi, B.; Acuin, C.; Connor, M.; Stuart, A.; Puskur, R.; Johnson-Beebout, S. Chapter 10—Ecosystem Services in Paddy Rice Systems. In The Role of Ecosystem Services in Sustainable Food Systems; Rusinamhodzi, L., Ed.; Academic Press: Cambridge, MA, USA, 2020; pp. 181–201. ISBN 978-0-12-816436-5. [Google Scholar]
- Surendran, U.; Raja, P.; Jayakumar, M.; Subramoniam, S.R. Use of Efficient Water Saving Techniques for Production of Rice in India under Climate Change Scenario: A Critical Review. J. Clean. Prod. 2021, 309, 127272. [Google Scholar] [CrossRef]
- Mahabubur Rahman, M.; Yamamoto, A. Methane Cycling in Paddy Field: A Global Warming Issue. In Agrometeorology; Swaroop Meena, R., Ed.; IntechOpen: London, UK, 2021; ISBN 978-1-83881-174-7. [Google Scholar]
- Dorairaj, D.; Govender, N.T. Rice and Paddy Industry in Malaysia: Governance and Policies, Research Trends, Technology Adoption and Resilience. Front. Sustain. Food Syst. 2023, 7, 1093605. [Google Scholar] [CrossRef]
- Giuliana, V.; Lucia, M.; Marco, R.; Simone, V. Environmental Life Cycle Assessment of Rice Production in Northern Italy: A Case Study from Vercelli. Int. J. Life Cycle Assess. 2024, 29, 1523–1540. [Google Scholar] [CrossRef]
- Dara Guccione, G.; Pagliarino, E.; Vaccaro, A.; Borri, I.; Borsotto, P. A Participatory Analysis of the Control and Certification System in the Italian Organic Rice Value Chain. Sustainability 2021, 13, 2001. [Google Scholar] [CrossRef]
- Arcieri, M.; Ghinassi, G. Rice Cultivation in Italy under the Threat of Climatic Change: Trends, Technologies and Research Gaps. Irrig. Drain. 2020, 69, 517–530. [Google Scholar] [CrossRef]
- FAO. The White/Wiphala Paper on Indigenous Peoples’ Food Systems; FAO: Rome, Italy, 2021; ISBN 978-92-5-134487-3. [Google Scholar]
- Quiédeville, S.; Bassene, J.-B.; Lançon, F.; Chabrol, D.; Moustier, P. Systemic Sustainability of the French Organic Rice and PGI Einkorn Value Chains: A Preliminary Assessment Based on Network Analysis. Sustainability 2018, 10, 2344. [Google Scholar] [CrossRef]
- Nuntana Udomkit, N.U.; Adrian Winnett, A.W. Fair Trade in Organic Rice: A Case Study from Thailand. Enterp. Dev. Microfinance 2002, 13, 45–53. [Google Scholar] [CrossRef]
- FAO. Organic Agriculture, Environment and Food Security; El-Hage Scialabba, N., Hattam, C., Hage Scialabba, N., Eds.; Environment and Natural Resources Series; FAO: Rome, Italy, 2002; ISBN 978-92-5-104819-1. [Google Scholar]
- Raj, J.; Jat, S.; Kumar, M.; Reema, A.; Yadav, A. The Role of Organic Farming in Sustainable Agriculture. Adv. Res. 2024, 25, 128–136. [Google Scholar] [CrossRef]
- Bacenetti, J.; Fusi, A.; Negri, M.; Bocchi, S.; Fiala, M. Organic Production Systems: Sustainability Assessment of Rice in Italy. Agric. Ecosyst. Environ. 2016, 225, 33–44. [Google Scholar] [CrossRef]
- Bocchi, S.; Ferrero, A.; Porro, A. Proceedings of the Fourth Temperate Rice Conference: 25–28 June 2007, Novara—Italy; SIRFI: Novara, Italy, 2007; ISBN 978-88-95616-01-8. [Google Scholar]
- Blengini, G.A.; Busto, M. The Life Cycle of Rice: LCA of Alternative Agri-Food Chain Management Systems in Vercelli (Italy). J. Environ. Manag. 2009, 90, 1512–1522. [Google Scholar] [CrossRef] [PubMed]
- Hatcho, N.; Matsuno, Y.; Kochi, K.; Nishishita, K. Assessment of Environment-Friendly Rice Farming Through Life Cycle Assessment (LCA). CMU J. Nat. Sci. 2012, 11, 403–408. [Google Scholar]
- Fusi, A.; Bacenetti, J.; González-García, S.; Vercesi, A.; Bocchi, S.; Fiala, M. Environmental Profile of Paddy Rice Cultivation with Different Straw Management. Sci. Total Environ. 2014, 494, 119–128. [Google Scholar] [CrossRef]
- Vaglia, V.; Bacenetti, J.; Orlando, F.; Alali, S.; Bosso, E.; Bocchi, S. The Environmental Impacts of Different Organic Rice Management in Italy Considering Different Productive Scenarios. Sci. Total Environ. 2022, 853, 158365. [Google Scholar] [CrossRef]
- Clark, M.; Tilman, D. Comparative Analysis of Environmental Impacts of Agricultural Production Systems, Agricultural Input Efficiency, and Food Choice. Environ. Res. Lett. 2017, 12, 064016. [Google Scholar] [CrossRef]
- Mehmeti, A.; Abdelhafez, A.A.M.; Ellssel, P.; Todorovic, M.; Calabrese, G. Performance and Sustainability of Organic and Conventional Cotton Farming Systems in Egypt: An Environmental and Energy Assessment. Sustainability 2024, 16, 6637. [Google Scholar] [CrossRef]
- Huang, J.; Tichit, M.; Poulot, M.; Darly, S.; Li, S.; Petit, C.; Aubry, C. Comparative Review of Multifunctionality and Ecosystem Services in Sustainable Agriculture. J. Environ. Manag. 2015, 149, 138–147. [Google Scholar] [CrossRef]
- Van Der Werf, H.M.G.; Knudsen, M.T.; Cederberg, C. Towards Better Representation of Organic Agriculture in Life Cycle Assessment. Nat. Sustain. 2020, 3, 419–425. [Google Scholar] [CrossRef]
- Winter, L.; Lehmann, A.; Finogenova, N.; Finkbeiner, M. Including Biodiversity in Life Cycle Assessment—State of the Art, Gaps and Research Needs. Environ. Impact Assess. Rev. 2017, 67, 88–100. [Google Scholar] [CrossRef]
- European Commission Analysing of Existing Environmental Impact Assessment Methodologies for Use in Life Cycle Assessment, 1st ed.; JRC: Ispra, Italy, 2010.
- Romani, M.; Beltarre, G. Comparison of Different Sowing Types and Nitrogen Fertilization in Organic Rice in Italy; Bocchi, S., Ferrero, A., Porro, A., Eds.; University of Milan: Milan, Italy, 2007. [Google Scholar]
- Hokazono, S.; Hayashi, K. Variability in Environmental Impacts during Conversion from Conventional to Organic Farming: A Comparison among Three Rice Production Systems in Japan. J. Clean. Prod. 2012, 28, 101–112. [Google Scholar] [CrossRef]
- Vinci, G.; Ruggieri, R.; Ruggeri, M.; Prencipe, S.A. Rice Production Chain: Environmental and Social Impact Assessment—A Review. Agriculture 2023, 13, 340. [Google Scholar] [CrossRef]
- Mancini, L.; Valente, A.; Vignola, G.; Mengual, E.; Sala, S. Social Footprint of European Food Production and Consumption. Sustain. Prod. Consum. 2023, 35, 287–299. [Google Scholar] [CrossRef]
- Castoldi, N.; Bechini, L. Integrated Sustainability Assessment of Cropping Systems with Agro-Ecological and Economic Indicators in Northern Italy. Eur. J. Agron. 2010, 32, 59–72. [Google Scholar] [CrossRef]
- Bechini, L.; Castoldi, N. On-Farm Monitoring of Economic and Environmental Performances of Cropping Systems: Results of a 2-Year Study at the Field Scale in Northern Italy. Ecol. Indic. 2009, 9, 1096–1113. [Google Scholar] [CrossRef]
- Tesio, F.; Tabacchi, M.; Cerioli, S.; Follis, F. Sustainable Hybrid Rice Cultivation in Italy: A Review. Agron. Sustain. Dev. 2014, 34, 93–102. [Google Scholar] [CrossRef]
- Boval, M.; Bellon, S.; Alexandre, G. Agroecology and Grassland Intensification in the Caribbean. In Sustainable Agriculture Reviews 14: Agroecology and Global Change; Ozier Lafontaine, H., Lesueur Jannoyer, M., Eds.; Springer: Cham, Switzerland, 2014; Volume 14, pp. 159–184. ISBN 978-3-319-06015-6. [Google Scholar]
- Benoit, M.; Vazeille, K.; Jury, C.; Troquier, C.; Veysset, P.; Prache, S. Combining Beef Cattle and Sheep in an Organic System. II. Benefits for Economic and Environmental Performance. Animal 2023, 17. [Google Scholar] [CrossRef]
- Virginia, A.; Zamora, M.; Barbera, A.; Castro-Franco, M.; Domenech, M.; De Gerónimo, E.; Costa, J. Industrial Agriculture and Agroecological Transition Systems: A Comparative Analysis of Productivity Results, Organic Matter and Glyphosate in Soil. Agric. Syst. 2018, 167, 103–112. [Google Scholar] [CrossRef]
- Gharsallah, O.; Gandolfi, C.; Facchi, A. Methodologies for the Sustainability Assessment of Agricultural Production Systems, with a Focus on Rice: A Review. Sustainability 2021, 13, 11123. [Google Scholar] [CrossRef]
- Wang, Q.; Zhang, Y.; Tian, S.; Yuan, X.; Ma, Q.; Liu, M.; Li, Y.; Liu, J. Evaluation and Optimization of a Circular Economy Model Integrating Planting and Breeding Based on the Coupling of Emergy Analysis and Life Cycle Assessment. Environ. Sci. Pollut. Res. 2021, 28, 62407–62420. [Google Scholar] [CrossRef] [PubMed]
- Dang, H.D. Sustainability of the Rice-Shrimp Farming System in Mekong Delta, Vietnam: A Climate Adaptive Model. JED 2020, 22, 21–45. [Google Scholar] [CrossRef]
- ISTAT. Rice Areas and Production—Overall Data 2022. Available online: https://www.istat.it/dati/banche-dati/ (accessed on 1 July 2025).
- Bonaldo, D.; Bellafiore, D.; Ferrarin, C.; Ferretti, R.; Ricchi, A.; Sangelantoni, L.; Vitelletti, M.L. The Summer 2022 Drought: A Taste of Future Climate for the Po Valley (Italy)? Reg. Environ. Change 2023, 23, 1. [Google Scholar] [CrossRef]
- FAOSTAT. FAOSTAT Rice Production 2024. Available online: https://www.fao.org/faostat/en/#data (accessed on 1 July 2025).
- Camera di Commercio Milano Monza Brianza, Lodi Price Collection 2025. Available online: https://www.milomb.camcom.it/prezzi (accessed on 1 July 2025).
- Škorjanc, K.; Peeters, A.; Wezel, A.; Migliorini, P. OASIS, the Origi Nal Agroecological Survey Indicator System: Methodology and Guidelines for the Assessor; Agroecology Europe: Brussels, Belgium, 2021; ISBN 978-2-9602977-3-7. [Google Scholar]
- International EPD System International EPD System 2023. Available online: https://www.environdec.com/pcr/the-pcr (accessed on 1 July 2025).
- Geß, A.; Viola, I.; Miretti, S.; Macchi, E.; Perona, G.; Battaglini, L.; Baratta, M. A New Approach to LCA Evaluation of Lamb Meat Production in Two Different Breeding Systems in Northern Italy. Front. Vet. Sci. 2020, 7, 651. [Google Scholar] [CrossRef]
- Kathirvel, N. Production Problems Faced by Betel Leaf Farmers’ in Karur District. J. Manag. Sci. 2015, 1, 323–328. [Google Scholar] [CrossRef]
- IPCC. Refinement to the 2006 IPCC Guidelines for National Greenhouse Gas Inventories; IPCC: Geneva, Switzerland, 2019. [Google Scholar]
- European Commission; Joint Research Centre. Suggestions for Updating the Organisation Environmental Footprint (OEF) Method; Publications Office: Luxembourg, 2019. [Google Scholar]
- De Laurentiis, V.; Amadei, A.; Sanyé-Mengual, E.; Sala, S. Exploring Alternative Normalization Approaches for Life Cycle Assessment. Int. J. Life Cycle Assess. 2023, 28, 1382–1399. [Google Scholar] [CrossRef]
- Garcia-Herrero, I.; Laso, J.; Margallo, M.; Bala, A.; Gazulla, C.; Fullana-i-Palmer, P.; Vázquez-Rowe, I.; Irabien, A.; Aldaco, R. Incorporating Linear Programing and Life Cycle Thinking into Environmental Sustainability Decision-Making: A Case Study on Anchovy Canning Industry. Clean. Techn Environ. Policy 2017, 19, 1897–1912. [Google Scholar] [CrossRef]
- Kalbar, P.P.; Birkved, M.; Nygaard, S.E.; Hauschild, M. Weighting and Aggregation in Life Cycle Assessment: Do Present. Aggregated Single Scores Provide Correct. Decision Support? J. Ind. Ecol. 2017, 21, 1591–1600. [Google Scholar] [CrossRef]
- Isaac, M.E.; Lin, T.; Caillon, S.; Sebastien, L.; MacDonald, K.; Prudham, S.; Doncieux, A.; Renard, D.; Aumeeruddy-Thomas, Y.; Vincent, L.; et al. Multidimensional Measures of Farmer Well-Being: A Scoping Review. Agron. Sustain. Dev. 2024, 44, 39. [Google Scholar] [CrossRef]
- Orounladji, B.M.; Sib, O.; Berre, D.; Assouma, M.H.; Dabire, D.; Sanogo, S.; Vall, E. Cross-Examination of Agroecology and Viability in Agro-Sylvo-Pastoral Systems in Western Burkina Faso. Agroecol. Sustain. Food Syst. 2024, 48, 581–609. [Google Scholar] [CrossRef]
- Slavickiene, A.; Savickiene, J. Comparative analysis of farm economic viability assessment methodologies. Eur. Sci. J. 2014, 10, 130–150. [Google Scholar]
- OECD. Social Issues in Agriculture in Rural Areas; OECD Food, Agriculture and Fisheries Papers; OECD Publishing: Paris, France, 2024; Volume 212. [Google Scholar]
- Pagliarino, E.; Rolfo, S.; Zoppi, I.M. La Responsabilité Sociale Dans La Culture de Riz Bio En Italie. Nat. Sci. Soc. 2021, 29, 95–102. [Google Scholar] [CrossRef]
- Panpakdee, C.; Simaraks, S.; Sookcharoen, C. Using the Delphi Method to Develop the Social-Ecological Resilience Indicators of Organic Rice Production in Thailand. For. Soc. 2022, 6, 157–174. [Google Scholar] [CrossRef]
- Loaiza, S.; Verchot, L.; Valencia, D.; Guzmán, P.; Amezquita, N.; Garcés, G.; Puentes, O.; Trujillo, C.; Chirinda, N.; Pittelkow, C.M. Evaluating Greenhouse Gas Mitigation through Alternate Wetting and Drying Irrigation in Colombian Rice Production. Agric. Ecosyst. Environ. 2024, 360, 108787. [Google Scholar] [CrossRef]
- Carlson, K.M.; Gerber, J.S.; Mueller, N.D.; Herrero, M.; MacDonald, G.K.; Brauman, K.A.; Havlik, P.; O’Connell, C.S.; Johnson, J.A.; Saatchi, S.; et al. Greenhouse Gas Emissions Intensity of Global Croplands. Nat. Clim. Change 2017, 7, 63–68. [Google Scholar] [CrossRef]
- Meijide, A.; Gruening, C.; Goded, I.; Seufert, G.; Cescatti, A. Water Management Reduces Greenhouse Gas Emissions in a Mediterranean Rice Paddy Field. Agric. Ecosyst. Environ. 2017, 238, 168–178. [Google Scholar] [CrossRef]
- Dahlgreen, J.; Parr, A. Exploring the Impact of Alternate Wetting and Drying and the System of Rice Intensification on Greenhouse Gas Emissions: A Review of Rice Cultivation Practices. Agronomy 2024, 14, 378. [Google Scholar] [CrossRef]
- Pathak, H.; Wassmann, R. Introducing Greenhouse Gas Mitigation as a Development Objective in Rice-Based Agriculture: I. Generation of Technical Coefficients. Agric. Syst. 2007, 94, 807–825. [Google Scholar] [CrossRef]
- Pérez, R.; Argüelles, F.; Laca, A.; Laca, A. Evidencing the Importance of the Functional Unit in Comparative Life Cycle Assessment of Organic Berry Crops. Environ. Sci. Pollut. Res. 2024, 31, 22055–22072. [Google Scholar] [CrossRef]
- Hashemi, F.; Mogensen, L.; Van Der Werf, H.M.G.; Cederberg, C.; Knudsen, M.T. Organic Food Has Lower Environmental Impacts per Area Unit and Similar Climate Impacts per Mass Unit Compared to Conventional. Commun. Earth Environ. 2024, 5, 250. [Google Scholar] [CrossRef]
- Boschiero, M.; De Laurentiis, V.; Caldeira, C.; Sala, S. Comparison of Organic and Conventional Cropping Systems: A Systematic Review of Life Cycle Assessment Studies. Environ. Impact Assess. Rev. 2023, 102, 107187. [Google Scholar] [CrossRef]
- Matthews, H.S.; Matthews, D.; Hendrickson, C.T. Life Cycle Assessment: Quantitative Approaches for Decisions That Matter. Open Access Textbook. 2014. Available online: https://www.lcatextbook.com/ (accessed on 1 July 2025).
- Tittonell, P.; Piñeiro, G.; Garibaldi, L.A.; Dogliotti, S.; Olff, H.; Jobbagy, E.G. Agroecology in Large Scale Farming—A Research Agenda. Front. Sustain. Food Syst. 2020, 4, 584605. [Google Scholar] [CrossRef]
- Pingali, P.L.; Roger, P.A. (Eds.) Impact of Pesticides on Farmer Health and the Rice Environment; Natural resource management and policy; Kluwer Academic Publishers: Boston, MA, USA, 1995; ISBN 978-0-7923-9522-5. [Google Scholar]
- Vermeer, K. Pursuing the Trail of Pesticides and Mercury in Aquatic Birds Reminiscences of a Biologist. Blue Jay 2019, 77, 43–47. [Google Scholar] [CrossRef]
- Bambaradeniya, C.N.B.; Amarasinghe, F.P. Biodiversity Associated with the Rice Field Agroecosystem in Asian Countries: A Brief Review; International Water Management Institute: Colombo, Sri Lanka, 2004; ISBN 978-92-9090-532-5. [Google Scholar]
- Ariyarathna, S.; Nanayakkara, K.; Thushara, S. The Nexus of Farmers’ Sustainable Agriculture Potential and Readiness for More Organic Use in Rice Farming: Insights from Resilience Theory. Sustain. Environ. 2023, 9, 2273619. [Google Scholar] [CrossRef]
- Panpakdee, C. The Social-Ecological Resilience Indicators of Organic Rice Production in Northeastern Thailand. Org. Agric. 2023, 13, 483–501. [Google Scholar] [CrossRef]
- Panpakdee, C.; Limnirankul, B.; Kramol, P. Assessing the Social-Ecological Resilience of Organic Farmers in Chiang Mai Province, Thailand. For. Soc. 2021, 5, 631–649. [Google Scholar] [CrossRef]
- Heckelman, A.; Smukler, S.; Wittman, H. Cultivating Climate Resilience: A Participatory Assessment of Organic and Conventional Rice Systems in the Philippines. Renew. Agric. Food Syst. 2018, 33, 225–237. [Google Scholar] [CrossRef]








| Subject | Number of Questions |
|---|---|
| Descriptive data about the farm | 20 |
| Crops and management | 110 |
| Costs and revenues | 75 |
| Life quality and gender equity | 30 |
| Labor conditions | 25 |
| Emissions | Unit of Measure | BO | BC | RO | RC |
|---|---|---|---|---|---|
| Ammonia volatilized | kg NH3-N/ha | 5.06 | 11.99 | 18.45 | 42.28 |
| Nitrogen monoxide | kg NO-N/ha | 0.00 | 5.16 | 0.00 | 0.45 |
| Direct and indirect emissions of N2O | kg of N2O/ha | 0.04 | 2.52 | 0.13 | 0.91 |
| Direct emissions of CH4 from paddy water | kg of CH4/ha | 47.98 | 29.11 | 289.29 | 493.35 |
| Nitrates leaching and runoff | kg of NO3-/ha | 21.09 | 140.62 | 76.88 | 164.13 |
| Analysis Dimension | BO | BC | RO | RC | Average | SD |
|---|---|---|---|---|---|---|
| Adoption of agroecological practices | 3.15 | 2.50 | 3.45 | 2.15 | 2.81 | 0.59 |
| Economic aspects | 3.63 | 4.01 | 3.72 | 3.99 | 3.84 | 0.19 |
| Sociopolitical aspects | 3.99 | 4.05 | 3.97 | 4.07 | 4.02 | 0.05 |
| Impact on the environment and biodiversity | 3.20 | 3.02 | 3.37 | 2.50 | 3.02 | 0.38 |
| Resilience | 3.74 | 3.67 | 3.72 | 2.83 | 3.49 | 0.44 |
| Farm | Gross Margin per Ha | Gross Profit per Ha (Euro) | Gross Income per Ha (Euro) | Total Variable Costs per Ha (Euro) | Diesel Consumption | Seeds | Treatments | Fertilizations | Water Management | Equipment Depreciation | Contractors |
|---|---|---|---|---|---|---|---|---|---|---|---|
| BO | 52.72% | € 1318.01 | € 2500.00 | € 1181.99 | € 297.00 | € 400.00 | € 0.00 | € 150.00 | € 50.00 | € 109.49 | € 175.50 |
| BC | 70.11% | € 2649.99 | € 3780.00 | € 1130.01 | € 267.30 | € 234.00 | € 257.60 | € 210.00 | € 50.00 | € 111.11 | € 0.00 |
| RO | 56.02% | € 1680.56 | € 3000.00 | € 1319.44 | € 330.00 | € 360.00 | € 90.00 | € 200.00 | € 50.00 | € 289.44 | € 0.00 |
| RC | 74.86% | € 4379.42 | € 5850.00 | € 1470.58 | € 350.90 | € 200.00 | € 276.00 | € 120.00 | € 50.00 | € 473.68 | € 0.00 |
| Mean-O | 54.37% | € 1499.29 | € 2750.00 | € 1250.71 | € 313.50 | € 380.00 | € 45.00 | € 175.00 | € 50.00 | € 199.46 | € 87.75 |
| SD-O | 2.33% | € 256.36 | € 353.55 | € 97.19 | € 23.33 | € 28.28 | € 63.64 | € 35.36 | € 0.00 | € 127.24 | € 124.10 |
| Mean-C | 72.48% | € 3514.70 | € 4815.00 | € 1300.30 | € 309.10 | € 217.00 | € 266.80 | € 165.00 | € 50.00 | € 292.40 | € 0.00 |
| SD-C | 3.36% | € 1222.89 | € 1463.71 | € 240.82 | € 59.11 | € 24.04 | € 13.01 | € 63.64 | € 0.00 | € 256.38 | € 0.00 |
| Mean-WHOLE GROUP | 63.43% | ||||||||||
| SD-WHOLE | 10.72% |
Disclaimer/Publisher’s Note: The statements, opinions and data contained in all publications are solely those of the individual author(s) and contributor(s) and not of MDPI and/or the editor(s). MDPI and/or the editor(s) disclaim responsibility for any injury to people or property resulting from any ideas, methods, instructions or products referred to in the content. |
© 2025 by the authors. Licensee MDPI, Basel, Switzerland. This article is an open access article distributed under the terms and conditions of the Creative Commons Attribution (CC BY) license (https://creativecommons.org/licenses/by/4.0/).
Share and Cite
Guglielmo, S.; Pietro, D.M.; Andrea, C.; Narote, A.D.; Guidetti, R.; Bocchi, S.; Vaglia, V. Sustainability Assessment of Rice Farming: Insights from Four Italian Farms Under Climate Stress. Agriculture 2025, 15, 1797. https://doi.org/10.3390/agriculture15171797
Guglielmo S, Pietro DM, Andrea C, Narote AD, Guidetti R, Bocchi S, Vaglia V. Sustainability Assessment of Rice Farming: Insights from Four Italian Farms Under Climate Stress. Agriculture. 2025; 15(17):1797. https://doi.org/10.3390/agriculture15171797
Chicago/Turabian StyleGuglielmo, Savoini, De Marinis Pietro, Casson Andrea, Abhishek Dattu Narote, Riccardo Guidetti, Stefano Bocchi, and Valentina Vaglia. 2025. "Sustainability Assessment of Rice Farming: Insights from Four Italian Farms Under Climate Stress" Agriculture 15, no. 17: 1797. https://doi.org/10.3390/agriculture15171797
APA StyleGuglielmo, S., Pietro, D. M., Andrea, C., Narote, A. D., Guidetti, R., Bocchi, S., & Vaglia, V. (2025). Sustainability Assessment of Rice Farming: Insights from Four Italian Farms Under Climate Stress. Agriculture, 15(17), 1797. https://doi.org/10.3390/agriculture15171797

