Next Article in Journal
Nano-Titanium Dioxide Regulates the Phenylpropanoid Biosynthesis of Radish (Raphanus sativus L.) and Alleviates the Growth Inhibition Induced by Polylactic Acid Microplastics
Previous Article in Journal
Toward Sustainable Broiler Production: Evaluating Microbial Protein as Supplementation for Conventional Feed Proteins
 
 
Font Type:
Arial Georgia Verdana
Font Size:
Aa Aa Aa
Line Spacing:
Column Width:
Background:
Article

Design Optimization and Performance Evaluation of an Automated Pelleted Feed Trough for Sheep Feeding Management

1
College of Electromechanical Engineering, Inner Mongolia Agricultural University, Hohhot 010018, China
2
Inner Mongolia Engineering Research Center for Intelligent Facilities in Prataculture and Livestock Breeding, Hohhot 010018, China
3
College of Animal Science, Inner Mongolia Agricultural University, Hohhot 010018, China
*
Author to whom correspondence should be addressed.
Agriculture 2025, 15(14), 1487; https://doi.org/10.3390/agriculture15141487
Submission received: 11 June 2025 / Revised: 2 July 2025 / Accepted: 9 July 2025 / Published: 10 July 2025
(This article belongs to the Section Agricultural Technology)

Abstract

The automatic feeding device is crucial in grassland livestock farming, enhancing feeding efficiency, ensuring regular and accurate feed delivery, minimizing waste, and reducing costs. The shape and size of pellet feed render it particularly suitable for the delivery mechanism of automated feeding troughs. The uniformity of pellet flow is a critical factor in the study of automatic feeding troughs, and optimizing the movement characteristics of the pellets contributes to enhanced operational efficiency of the equipment. However, existing research often lacks a systematic analysis of the pellet size characteristics (such as diameter and length) and flow behavior differences in pellet feed, which limits the practical application of feed troughs. This study optimized the angle of repose and structural parameters of the feeding trough using Matlab simulations and discrete element modeling. It explored how the stock bin slope and baffle opening height influence pellet feed flow characteristics. A programmable logic controller (PLC) and human–machine interface (HMI) were used for precise timing and quantitative feeding, validating the design’s practicality. The results indicated that the Matlab method could calibrate the Johnson–Kendall–Roberts (JKR) model’s surface energy. The optimal slope was found to be 63°, with optimal baffle heights of 28 mm for fine and medium pellets and 30 mm for coarse pellets. The experimental metrics showed relative errors of 3.5%, 2.8%, and 4.2% (for average feed rate) and 8.2%, 7.3%, and 1.2% (for flow time). The automatic feeding trough showed a feeding error of 0.3% with PLC-HMI. This study’s optimization of the automatic feeding trough offers a strong foundation and guidance for efficient, accurate pellet feed distribution.

1. Introduction

Healthy ruminant farming and livestock product quality require a complete feed supply [1]. Different feed forms, characterized by distinct organoleptic properties, shapes, and sizes, can influence animal intake, performance, and meat quality by affecting palatability, digestion, and nutrient absorption. Pellet feed, in particular, enhances digestibility and feed conversion efficiency, promoting animal health [2]. Precision feeding offers a timely, quantitative, and scientifically accurate approach to ruminant nutrition. Consequently, the precision feeding of pellet feed is crucial for scientific husbandry and minimizing feed waste. Realizing precision feeding in practice necessitates the development of real-time feeding devices coupled with rational feeding strategies to meet animal nutritional requirements. While virtual models of precision feeding equipment, equipped with sensing, control, and data analysis systems, have shown promise for cattle and sheep [3], developing cost-effective and easily implementable automatic precision feeding devices remains a significant challenge.
In modern animal husbandry, automated precision feeding technology is central to efficient feed utilization, improved animal health, and sustainable development [4]. The imperative to minimize feed waste and nutrient loss has reached an unprecedented level, especially given the increasingly severe feed shortages that may occur in certain regions (e.g., arid/semi-arid areas) during dry seasons exacerbated by global climate change [5]. Early research has laid the groundwork in this field. For instance, Ayantunde et al. [6] successfully reduced feed loss from a baseline of 12.7% to 5.3% by optimizing feed trough design. This intervention also led to a 42% reduction in the incidence of bridging for coarse pellet feed, underscoring that even minor improvements to traditional equipment can yield substantial benefits. With the advancement of technology, the full potential of automatic feeders has been unleashed, enabling higher levels of monitoring and precise control. While the concept of automated feeders emerged in the late 19th century, their full potential has been realized through contemporary technological empowerment. Currently, advanced monitoring technologies are widely integrated. For instance, the system developed by Oliveira et al. [7] achieved a feeding behavior identification accuracy of up to 96.2% by combining MEMS accelerometers and RFID technology, despite a minor signal delay of 78 ms. The mature applications of this technology in the international market further corroborate its broad prospects and economic benefits. On the international market, the established use of automatic feeding systems for calves by brands such as Germany’s Urban, the Netherlands’ Lely, and Sweden’s DeLaval further validates the extensive market potential of this technology. Precision feeding not only signifies technological advancement, but also yields substantial economic advantages. Research indicates that using precision feeding devices can save approximately 10% of feed, reduce labor and material costs, and thereby enhance the economic benefits for farms [8].
At the level of technological implementation, the precise quantitative feeding of granular feed represents a key challenge, and the Discrete Element Method (DEM) provides a powerful tool for optimizing design. The precise quantitative feeding of granular feed is one of the core technical challenges in automatic feeding devices. Gao et al. [9] extensively investigated the motion behavior of corn kernels within a symmetrical spiral groove wheel quantitative feeder using the Discrete Element Method (DEM) and established a corresponding DEM simulation framework, providing a solid methodological foundation for the design and optimization of granular material feeding devices. As a powerful numerical simulation tool, the Discrete Element Method can accurately describe the dynamic behavior of granular materials inside a hopper, and the high consistency between its simulation results and experimental data has been validated in numerous studies [10,11,12,13]. The adhesion between pellet feeds during storage and handling significantly affects the flowability, often leading to agglomeration and arching in feeding troughs [14,15]. To address this, the Johnson–Kendall–Roberts (JKR) model was introduced to quantify inter-pellet surface energy, particularly for cohesive materials [16]. Combined with the Hertz–Mindlin contact theory, the JKR model provides a microscopic foundation for analyzing pellet flow characteristics [17,18]. However, despite numerous advancements, research specifically focusing on automatic granular feed dispensing devices for certain livestock, such as sheep, remains relatively scarce and warrants further investigation.
The aforementioned studies provide theoretical and technical support for the development of automated feeding. However, to address issues such as pellet feed accumulation and feed uniformity during the feed distribution process in feeding troughs, effective solutions must be identified. For the above problems, based on the automatic feeding station for sheep feed designed by this research team, this paper focuses on the effects of different structural parameters of the feeding trough on the accumulation degree and feed uniformity of pellet feed with varying pellet sizes.

2. Materials and Methods

2.1. Structure and Working Principle

The design of the feeding trough device can address the accumulation of pellet feed that occurs during storage and feeding processes, which in turn affects feed flowability and precise feeding for animals. The main structure and working principle of the automatic feeding station for sheep are illustrated in Figure 1a,b. It primarily consists of an information collection channel, a collection device, a feeding trough device, an electronic control system, and a frame.
In this study, sheep are identified at the entrance of the channel using a wireless radio frequency identification system. Upon successful identification, the electronic ear tag reader retrieves the feeding information for each sheep. Based on the statistical data regarding the feeding amount and the trough’s flow rate over a unit of time, the duration for which the height of the feed baffle opening is lifted is set on the HMI. To accomplish this process, high-speed pulse output technology from a PLC is utilized to ensure fast and precise positioning of the servo motor. Through the written control program, the motor drives the gear rack to lift the baffle, place the pellet feed according to the setting quantity, and then close the baffle. After this, the channel is opened, allowing the sheep to enter the feeding station for feeding. The design and implementation of the feeding station not only improve feeding efficiency, but also optimize management practices, providing strong assurance for the precise feeding of sheep.
The feeding trough device, serving as the execution mechanism of the feeding station, mainly consists of the following components, including a stock bin, a baffle, a motor mounting board, a servo motor, a lead rail, a gear rack, a dam board, and a photoelectric switch sensor. The slope angle of the stock bin (θ) and the opening height of the feed baffle (μ) are vital parameters in the optimization of the feeding trough device, playing a crucial role in enhancing the flowability of the pellet feed and reducing feed accumulation. The structure of the feeding trough device, the opening of the baffle, and the slope angle of the stock bin are illustrated in Figure 1c.

2.2. Experimental Materials

To ensure the broad applicability of the feeding troughs, three distinct pellet sizes of pellet feeds were selected for the experimental material. The pellet feed was supplied by Inner Mongolia Mengtai Dadi Biotechnology Development Limited Liability Company, with a moisture content of 7.3%. The classification of the 900-pellet pellet feeds is based on their pellet size, dividing them into fine, medium, and coarse categories [19], where the serial numbers are A, B, and C, respectivley. The density of A is 1.16 g/cm3, the density of B is 1.14 g/cm3, and the density of C is 1.10 g/cm3. To evaluate the mechanical strength of pellet feeds, the Pellet Durability Index (PDI) was measured according to ASABE S269.5 standard [20]. The PDI values for A, B, and C pellet feeds were 97.6%, 97.5%, and 97.3% (corresponding to powdering rates of 2.4%, 2.5%, and 2.7%, respectively). Fifty pellet feeds of different pellet sizes were randomly selected, and their pellet size and length were measured separately using an industrial microscope with an accuracy of 0.01 mm. The mean ± standard deviation length of A pellet feed was 17.14 ± 0.041 mm, and the mean ± standard deviation diameter was 3.21 ± 0.06 mm. For B and C pellet feeds, the corresponding values were length = 13.76 ± 0.02 mm and length = 16.37 ± 0.09 mm, and diameter = 5.08 ± 0.07 mm and diameter = 6.50 ± 0.16 mm, respectively. Utilizing mathematical and statistical methods, a histogram of the normal distribution was plotted to represent the frequency distribution of the pellet feed samples. Additionally, the theoretical distribution of the pellet feed samples was illustrated by a density curve. A Quantile–Quantile (Q-Q) Plot was employed to assess whether the sample data conformed to a normal distribution, as shown in Figure 2. The points in the Q-Q Plot are approximately distributed along the line y = x, indicating that the sample quantiles align closely with the quantiles of the theoretical normal distribution. It can be observed that the pellet sizes of the three pellet feeds exhibit characteristics of a normal distribution, and the lengths of the three pellet feeds resemble those of normal distribution. Consequently, in the discrete element simulation, the pellet model was simulated based on the sizes of the three pellet feeds.
For this experiment, a standard 500 cm3 stainless steel measuring cup (10 cm high, 8 cm in diameter) was used. Granular feed was naturally filled into the cup from a height of 15 cm until overflowing, then leveled by scraping. The weight was measured using an electronic balance with an accuracy of ±0.01 g under conditions of 25 °C and 45% humidity. Each type of granule was tested 5 times. We calculated the stacking density of the pellet feed five times and determined the average value. The formula is as follows:
ρ d = m l m 0 V l
where ρ d is the pellet feed stacking density, g/cm3; m l is the total mass of the measuring cup and the filled pellet feed, g; m 0 is the mass of the measuring cup, g; and V l is the volume filled in the measuring cup, cm3.
The average stacking density of each pellet size of pellet feed was calculated separately using Equation (1), and the results were as follows:
ρ d A = 0.763 g / cm 3 ρ d B = 0.750 g / cm 3 ρ d C = 0.724 g / cm 3

2.3. Simulation Analysis

2.3.1. Parameter Determination and Calibration

The results of a study on material properties and their interactions with steel plates based on pellet feeds [21,22,23,24,25], including the model parameter settings, are shown in Table 1. Given the consistent material composition and surface properties of the pellet feeds, the coefficients of restitution, static friction, and rolling friction for the three pellet sizes (A, B, and C) were set to identical values.

2.3.2. Three-Dimensional Simulation Models

We used SolidWorks 2021 to perform 1:1 modeling of the feeding trough device. We simplified and modified any unnecessary structures and saved the model as a .stl file for use in DEM software 2021. According to Table 1, we set the pellet model and the material properties of the repose model. In the stock bin, we established the Box pellet factory with a static pellet generation mode. The single total mass was set to 3000 g, generating a total of four instances, resulting in a combined mass of 12,000 g. The pellet size followed a normal distribution, as shown in Figure 2. The simulation employed the Euler integration method, with the time step set to 20% of the Rayleigh [26] time step (4.4871 × 10−5 s), resulting in a fixed time step of 8.974 × 10−6 s to ensure computational stability. The total simulation duration was 25 s, corresponding to 2.79 × 106 iterations, with data saved at synchronized intervals of 0.02 s, generating a total of 1250 data points. The grid division was based on the minimum pellet radius (Rmin = 1.6 nm), with a cell size of 3Rmin (4.8 nm), yielding approximately 5.46 × 106 grid cells in total. The simulation calculation utilizes the Hertz–Mindlin model with JKR theory. This study utilized six identical spheres for shape replication modeling, the pellet model was constructed by linearly aligning spheres along their central axis, with rigid bonding between spheres achieved through the Bonded Pellet Model (BPM) while maintaining zero overlap distance, thereby preserving the length-to-diameter ratio consistent with experimental measurements [27]. The opening height of the feed baffle was adjusted by modifying the CAD parameters of the feed baffle in the DEM software 2021. The simulation model is shown in Figure 3. After the simulation calculations were completed, the Analyst module was used to analyze the changes in inter-pellet repose forces and the flow rates of pellet units for the optimal combination of operating parameters. To intuitively analyze the variations in inter-pellet repose forces, the observation view was set to the vertical cross-section perpendicular to the side wall of the bin, allowing for the visualization of the force chain distribution as vector diagrams for the three types of pellet feed during their flow process. To calculate the flow rate of the pellet feed during the feeding process, a 5 mm longitudinal flow monitoring zone was established at a position perpendicular to the bin base to determine the feed rate at the feeding port. Additionally, the time it takes for the pellet feed to fall from the monitoring zone to the area without falling pellets was recorded as a second experimental indicator, enabling the measurement of the pellet flow time.

2.4. Bench Test Platform

The inclined slope of the stock bin can significantly affect the velocity of the falling pellets [28]. This may have a direct impact on the uniformity of the pellet feed placed in the feed trough device. To verify the accuracy of the DEM simulations, a test bed for the feeding trough device was set up to conduct pellet feed placement trials. Both numerical simulations and tests were conducted using the same size stock bin to compare the results. The feeding troughs used in this test were made of steel with different wall dimensions, as shown in Figure 4. The stock bin was of trapezoidal structure with vertical walls in the upper part and inclined walls in the lower part for guiding the pellet feed out of the outlet. According to the sheep body size parameters, the sheep channel was set to 300 mm to ensure that the sheep pass in a single column. The feed trough device was set in the front of the sheep channel in order to ensure the articulation with the sheep channel, The length of the stock bin was selected as 500 mm. According to the calculation of the daily feed intake of sheep, the short side was selected to be 200 mm in height and 250 mm in width. Let the height of the long side of the stock bin be L, the adjustable slope of the stock bin be θ (the slope of the stock bin is the angle between the inclined plane and the vertical direction), and the height of the opening of the baffle be µ. As the slope of the incline changes, the height of the baffle opening (µ) and the height of the long side (L) change accordingly. The flowability of pellet feeds is closely related to their angle of repose, according to Jenike’s theory [29], and the maximum inclination angle of the silo should be controlled within the material’s angle of repose (65°) to ensure fluidity. The angle of repose for granular feed ranges from 25° (highly fluid) to 65° (poor fluidity). Therefore, θ = 60–65° can balance flow efficiency and anti-clogging. The preliminary experiments showed that μ < 26 mm would lead to complete blockage of coarse pellet C (zero flow rate), while μ > 34 mm would make fine pellet A flow too fast (>0.8 kg/s). Therefore, μ = 26–34 mm was finally selected to accommodate all pellet types.
The height of the long side of the stock bin (L):
L = 250 tan θ + 200
The range of L varies between 316 mm and 344.34 mm when θ is between 60° and 65°.
Volume of the stock bin (V):
V = 200 + L × 250 2 × 500
Mass of the material in the stock bin (M):
M = V ρ d
The maximum volume of the stock bin is 0.034 m3, combined with the maximum packing density of pellet feed 0.763 g/cm3 in Equation (2), so 26 kg of pellet feed can be stored.

2.5. Animal Subjects and Feeding Protocol

The experiment utilized common Small-tailed Han sheep from Inner Mongolia, including the following: one lamb (ear tag 300, 6 months old, 15.2 ± 0.8 kg body weight), one ewe (ear tag 236, 2 years old, 51.3 ± 1.5 kg body weight), and one ram (ear tag 477, 3 years old, 65.7 ± 2.3 kg body weight). All sheep were housed in the standardized sheepfold of the College of Animal Science, Inner Mongolia Agricultural University, with ad libitum access to water. They were fed twice daily, in the morning and evening. Prior to the experiment, the animals underwent a 2-week acclimation period to ensure stable health status. The feeding amounts were determined based on the “Meat Sheep Feeding Standard” (NY/T 816-2004) [30], calculating daily dry matter requirements according to the sheep’s body weight and physiological stage, and then converted into the weight of the pellet feed.

2.6. Design of Tests

When dispensing the pellet feed from the feeding trough device, the slope degree of the stock bin walls and the height of the baffle opening will affect the dispensing time and dispensing speed of the pellet feed. In cases where the pellet sizes are not uniform, different combinations of wall slope angles and feed opening heights will result in varying dispensing speeds. If the slope angle is too steep, it may cause slow dispensing or even blockage of the coarse pellet feed (C). Conversely, if the slope angle is too gentle, it may lead to rapid dispensing and a short dispensing duration of the fine pellet feed (A). Both excessively steep and overly gentle slope angles are unsuitable for the dispensing of pellet feed. Simulation experiments were conducted to identify a set of parameter combinations that yield the closest flow characteristics (average feed rate and flow time) for three types of pellet feed, which were utilized for the structural optimization of the feeding trough device. Single-factor experiments were conducted to determine the flow characteristics of the pellet feeds at different slope angles, with the opening height of the baffle fixed. The aim was to investigate the effect of different slope angles on the flowability of the pellet feeds.
By analyzing the flow characteristics, the optimal slope angle was identified. Subsequently, the influence of different opening heights of the baffle on the flowability of the pellet feed was explored at this optimal slope angle. In this experiment, each 2-degree interval was divided into a test group, resulting in a total of three test groups. Each experimental group was repeated three times, and data were analyzed using Origin 2021, with results expressed as mean ± standard deviation (SD). This division ensured that the system could maintain optimal operating conditions under varying conditions of θ (angle) and L (length). The range of the baffle opening height was set according to the parameter combinations that yield the closest flow characteristics for the pellet feed. Considering that the flowability of the material might be affected at a slope angle of 65°, the opening height of the baffle was uniformly increased by 2 mm to accommodate the changes in flow characteristics resulting from the slope variation. Additionally, regarding the C pellet feed, due to its larger pellet size, preliminary experimental results indicated issues with material feed at the original opening height. Therefore, to ensure smooth material flow and reduce the risk of blockage, it was decided to further increase the opening height of the baffle by 2 mm. The relevant parameters and combinations are based on the data shown in Table 2, and the pellet feeds with different combinations of structural parameters were placed separately.

3. Results and Discussion

3.1. Calibration of Surface Energy in the JKR Repose Model

During the storage process of pellet feed, issues such as caking and segregation may occur. Understanding the surface energy characteristics of the pellets can help in taking measures to prevent these problems, thereby improving the flowability of the feed. Therefore, the calibration of surface energy using the JKR model for pellet feed is an important step in ensuring feed quality and feeding trough performance. This study conducted surface energy calibration for pellet feed with three different pellet sizes. The repose angles of the three types of pellet feed were measured using the Matlab image processing method for repose angle measurement (as shown in Figure 5).
Taking pellet feed C as an example, the surface energy parameter was repeatedly adjusted between 0 and 0.5 J/m2 in the discrete element software. When the absolute error between the simulated repose angle and the physical repose angle was less than 5%, the surface energy corresponding to the simulated repose angle was determined to be the surface energy of the pellet feed. The method for measuring the repose angle presented in this paper was used to determine both the physical experiment repose angle and the simulated experiment repose angle (see Figure 6), where y1 and y2 represent the straight lines of the slope in the physical experiment and the simulation experiment, respectively, while φ1 and φ2 denote the actual repose angle and the simulated repose angle, respectively. The formula for the absolute error between the two is defined as follows: τ = φ 1 φ 2 φ 1 = 0.0011 5 % . Based on this calibration at φ2, the surface energy corresponding to pellet feed C is 0.22 J/m2. Similarly, the surface energies corresponding to pellet feeds A and B are obtained as 0.15 J/m2 and 0.22 J/m2, respectively.
The PDI (Pellet Durability Index) test results show that all three pellet feeds exhibited excellent mechanical strength (PDI > 97%). Their fine content was consistently below 3%, indicating high structural stability and minimal differences in powder content, thus suggesting a limited impact on flow characteristics. This finding is consistent with the uniformity of flow characteristics observed for the three pellets during surface energy calibration, further supporting the rationality of using unified contact parameters in the discrete element model.

3.2. The Influence of Slope Angle on the Flow Characteristics of Pellet Feed

Figure 7 demonstrates the flow characteristics of pellet feed at different slope angles. The black, red, and blue curves in the figure represent three cases of small, medium, and large opening heights of the baffle, respectively. The curves represent the feeding rate, while the straight lines indicate the average feeding rate. It was found in the experiments that when the slope angles were 61° and 63°, the C pellet feed became clogged at an opening of 28 mm, resulting in an average feeding rate of 0; therefore, it is not included in the figure. At a slope angle of 61° (as shown in Figure 7a), there are significant differences in the average feeding rates of the pellet feeds with three different pellet sizes. The feeding rate of the A pellet feed gradually increases with the increase in the opening height of the baffle, and its falling velocity is relatively high. Under the same slope and baffle opening height, the maximum difference in average feeding rates between the different pellet sizes is 0.2048 kg/s, and the maximum time difference is 4.68 s. When the slope angle is 63° (as shown in Figure 7b), the average feeding rates of the three pellet sizes are close, with a maximum difference of 0.0632 kg/s and a maximum time difference of 2.12 s. When the slope angle is 65° (as shown in Figure 7c), the average feeding rates of the three pellet sizes are relatively high, with a maximum difference of 0.1709 kg/s and a maximum time difference of 3.62 s. In summary, the feeding effect of pellet feed for the three pellet sizes is optimal at a slope angle of 63°.

3.3. The Effect of the Opening Height of the Baffle on the Flow Characteristics of Pellet Feed

To optimize the opening height of the baffle for different pellet sizes, the average feeding rate per unit time and flow time of three pellet sizes are compared under the condition of a fixed slope. Considering the actual feeding amount for sheep, reference [31] indicates that the daily feed consumption for sheep ranges from 3 kg to 5 kg. When dispensing 0.6 kg to 1.5 kg of pellet feed, the flow time ranges from 1 s to 2.5 s. If feeding occurs twice daily, the minimum feeding time per session is 0.5 s, which meets the design requirements for the electric control system. Taking the optimal slope angle of 63° as an example, the opening heights of the baffle for three pellet sizes are shown in Table 3. When dispensing three different pellet sizes of feed at the same slope angle, with the baffle opening height set at 28 mm, the average dispensing rate of pellet feeds A and B fluctuates around 0.6 kg/s, which is equivalent to the average dispensing rate of pellet feed C at a baffle opening height of 30 mm. Additionally, the time taken to dispense 12,000 g of pellet feed is approximately 20 s for all cases.
DEM simulations revealed that clogging occurred in C pellets at baffle heights ≤28 mm due to arched force chains. Experimental trials confirmed a 100% clogging probability under these conditions, which was eliminated by increasing the baffle height to 30 mm.

3.4. Comprehensive Optimization Analysis

Based on the simulation results, the optimal combination of structural parameters is a slope angle of 63°, with corresponding baffle opening heights for the dispensing of pellet feeds A, B, and C set at 28 mm, 28 mm, and 30 mm, respectively. The vector force chain diagram of the material feed process at the outlet of the stock bin is shown in Figure 8. The blue, green, and red colors in the figure represent a gradual increase in force chain intensity. When pellet feed is fed from the inclined surface of the stock bin, the reduction in the cross-section of the feed outlet causes collisions between the pellets, as well as between the pellets and the structure, thereby consuming the kinetic energy of the pellet flow. Ideally, the pellet flow should be uniformly distributed. In the initial stage of pellet feed entering the feed outlet (t = 3.54 s), the force chains are mainly formed by the collisions between pellets or between pellets and the structure, exhibiting a darker color that facilitates the formation of arched stable force chains. However, due to the intricate interactions between pellets, the force chains rapidly break at the outlet. By the mid-stage (t = 10.54 s), the force chains gradually fracture during the accumulation and transmission processes, leading to a sparse distribution. However, coarse pellet feed, due to its strong contact forces, tends to form robust force chains [32]. In the final stage (t = 17.54 s), as the feed inside the stock bin is gradually emptied, the contact between pellets decreases, resulting in an increase in weak force chains, which leads to a more uniform stress distribution at the pellet outlet. The force chains within the stock bin continuously generate and break during pellet flow, while the optimum angle of 63° is insufficient to support arch formation, resulting in stable and dense flow of pellet feed. Eventually, when no new pellets are introduced into the stock bin, the internal pellets will gradually be emptied.
Figure 9 shows the velocity distribution vector diagram of the pellets at the outlet of the stock bin. The velocity distribution vector diagram visually illustrates the flow characteristics of pellets within the stock bin, where red, green, and blue represent decreasing flow rates, respectively. In the early stage at the outlet (t = 3.54 s), the C pellet feed fails to achieve concentrated flow, resulting in a decrease in its velocity. In contrast, the other two types of granules exhibit a collapsing flow pattern, which causes an instantaneous increase in their velocity at the outlet. As we enter the mid-stage (t = 10.54 s), the flow of pellets from the stock bin becomes relatively stable. The A pellet feed is less influenced by gravity, resulting in a reduced flow rate at the outlet. In the final stage (t = 17.54 s), as the quantity of pellet feed within the stock bin decreases, a more uniform descent of the pellets can be clearly observed.

3.5. Verification Experiment

3.5.1. Discharge Test

An experiment for the feed of pellet feed was conducted using the experimental platform shown in Figure 4. Before discharging the pellet feed, a sample of 12 kg, which matches the mass used in the simulation tests, was weighed. A video recording was made using a camera to document the total duration for each group of pellet feed from the start of the fall until the end of the fall. The feed rate for each experimental group was calculated using Equation (6). In order to establish the average value for each data set, each experimental group was repeated three times. The experimental arrangement is shown in Table 2, and the collected average data were analyzed using Origin 2021 software.
The average feed rate of pellet feed, denoted as v:
v = 12 t 2 t 1
where t1 represents the time it takes for the baffle to be raised, and t2 represents the time it takes for the baffle to be lowered.
In both the simulation and the experiment, comparing the average feed rate is an effective method for determining the relationship between the two. Figure 10 presents the comparison results of the average feed rates from the simulation and the experiment. The data points in the figure exhibit a strong linear relationship, with the fitting line equation given by y = 0.999x and a coefficient of determination R2 = 0.998. This indicates a high consistency between the simulation results and the experimental results, validating the feasibility of optimizing the structural parameters of the feeding trough device through simulation studies.

3.5.2. Comparative Validation of the 3D Data

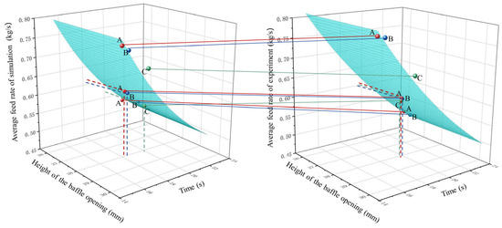
Figure 11 presents the nonlinear surface fitting results from the simulation and actual experiments. The red, blue, and green colors represent three types of pellet feed, labeled A, B, and C, respectively. The relative errors between the simulation values and actual values are as follows: 3.2 mm—3.5%, 5 mm—2.8%, and 6.5 mm—4.2%. A two-dimensional exponential model was employed for data modeling, and the Levenberg–Marquardt iterative algorithm was used to fit the simulation and experimental data, resulting in coefficients of determination R2 of 0.9935 and 0.9723, respectively. This indicates a good fit of the model to the data. Comparing the surfaces of the simulation and the actual experiments reveals that both exhibit the same trend, particularly when the opening height of the baffle is between 28 and 30 mm, where the total flow time for all three types of pellet feed is around 18 to 20 s and the average feed rate fluctuates around 0.6 kg/s. The specific numerical values differ, which is related to variations in parameters such as pellet size, shape, and degree of powdering. In summary, the exponential model demonstrates validity in this specific application and provides an important theoretical basis for further feed control.
This study systematically investigated the flow behavior characteristics of three pellet feed types with different pellet sizes (A: fine, Φ3.21 ± 0.06 mm, B: medium, Φ5.08 ± 0.07 mm, C: coarse, Φ6.50 ± 0.16 mm) in feeding troughs through a combined approach of Discrete Element Method (DEM) simulation and bench testing. The results demonstrated (Figure 8) that pellet size significantly influenced flow characteristics (p < 0.05). Notably, under identical structural parameters, coarse pellets (C) were more prone to arching-induced blockage compared to fine pellets (A). To address this engineering challenge, this study innovatively proposed a pellet-size-based parameter optimization design method for feeding troughs. By adjusting the baffle opening height (28 mm for fine/medium pellets vs. 30 mm for coarse pellets) and slope angle (63°), efficient adaptation to different pellet sizes was achieved. These findings not only resolve the technical conflict between precise feeding and blockage prevention, but more importantly establish a correlation model between trough structural parameters and feed physical properties, effectively addressing the gap in pellet size adaptability analysis in existing research.

3.5.3. PLC and HMI Systems

Programmable Logic Controllers (PLC) play a crucial role in modern agricultural automation, serving as digital computers for optimizing production operations [33,34]. The PLC is responsible for real-time control and processing of inputs and outputs, while human–machine interfaces (HMI) provide a graphical interface that allows operators to intuitively monitor and manage the system. Fujita et al. [35] developed a control scheme based on the optimized structural parameters of the feeding trough, designed software programs according to feeding requirements, and verified the discharge accuracy of the feeding trough device. Figure 12 illustrates the proposed PLC-HMI architecture. During operation, when the ear tag information of the sheep is not read repeatedly, the system checks whether there is feed in the stock bin and then opens the stock bin for dispensing. Based on the optimal slope angle, the best opening height of the baffle, and the relevant flow rate parameters, users can select the corresponding pellet size on the HMI for feeding based on the ear tag information of the sheep. After completing the servo calibration, feed is dispensed according to the feeding information of the sheep. The opening height is determined through experimental validation, and the open stock bin feeding time is calculated using the following formula: feeding time = feeding amount/average feed rate. Once the feeding time is reached, the feeding process is concluded.

3.5.4. Control Algorithm Implementation

The PLC-based control system executes a deterministic workflow to achieve precision feeding. The automated feeding system employs a hierarchical control architecture, where PLC logic coordinates RFID identification, parameter configuration, and servo-mechanical actuation. The main control loop is shown in Table 4.
The algorithm operates through four modularized phases, as detailed below.
The data acquisition module (algorithm as shown in Table 5) handles RFID-based animal identification and data validation. When no feeding operation is active (M4 = OFF), it reads a 4-byte tag from the RFID reader (address H0E) and performs integrity checks before storing identification data.
The parameter configuration module (algorithm as shown in Table 6) is designed based on the principle that three preset profiles adapt to the differences in feeding between lambs, ewes, and rams. It is ensured that the modes (M1-M3) are mutually exclusive to prevent parameter conflicts during the run.
The servo control module (algorithm as shown in Table 7) combines absolute positioning (DRVA) with real-time photoelectric feedback. The dual-mode design allows both automated operation and manual override for maintenance. The safety control algorithm is shown in Table 8.

3.5.5. Accuracy Test

Pellet feeds A, B, and C were selected to feed the sheep with ear labels numbered 300 (lamb), 236 (ewe), and 477 (ram), with the target single discharge values set to 0.3 kg, 0.45 kg, and 0.7 kg, respectively. Ten repeated trials are conducted for each target value, using an electronic scale to measure the actual discharge amount, and the measured results are compared with the target values. Figure 13 clearly shows that the discharge amounts for the three types of feed pellets are quite similar in each trial, consistent with the single feeding capacity of a sheep. The discharge accuracy refers to the difference between the actual discharge amount and the target set value, expressed as a ratio of this difference to the target set value. Generally, a smaller discharge accuracy indicates better performance of the control system and greater precision in discharge. Discharge accuracy not only directly affects feeding amounts, but also reflects the working performance of the control system. The calculation formula for discharge accuracy is as follows:
G = M t M 0 M 0 × 100 %
where G represents the discharge accuracy, %; Mt denotes the actual discharge, g; and M0 indicates the target set value, g.
The servo motor’s energy consumption was measured during baffle operation (lifting/lowering) under optimal parameters (slope: 63°, baffle height: 28–30 mm) using a power analyzer (YOKOGAWA WT1800, Yokogawa Electric Corporation, Tokyo, Japan). The average energy consumption per feeding cycle was 12.3 ± 0.5 Wh, demonstrating low operational costs.
Table 9 demonstrates discharge precision variability across trials. While mean precision met industry standards (<10%), the high CV values (30.9–56.3%) suggest opportunities for mechanical refinement, particularly for ear label 236, where precision fluctuated markedly (1.2–10.2%). The 95% CIs confirm that all systems operated significantly above the zero-error baseline.
The feeding system demonstrated high precision across all groups (Table 10). While the 300 and 477 labels showed no significant deviation from target values (300: t(9) = 1.75, p = 0.112, 477: t(9) = 0.51, p = 0.624), the 236 group exhibited small but statistically significant overfeeding (451.38 ± 4.12 g vs. 450 g target, t(9) = 2.45, p = 0.038, Cohen’s d = 0.34). ANOVA revealed substantial between-group performance variation (F(2, 27) = 38.72, p < 0.001, η2 = 0.74), with post hoc tests confirming that the 236 group differed significantly from both others (vs. 300: p < 0.001, vs. 477: p < 0.001), whereas 300 and 477 were statistically equivalent (p = 0.112). Notably, the 477 group achieved the highest precision (0.10 ± 0.07% error), suggesting optimal performance for larger feed quantities. The identified 236-group discrepancy (0.3% overfeeding) likely stems from mechanical hysteresis in the servo actuator during small-quantity dispensing, as evidenced by its higher CV (4.12/450 = 0.9%) compared to that of the other groups (300: 0.3%, 477: 0.4%). This aligns with prior findings on positional accuracy degradation in sub-maximal PWM cycles [35]. Nevertheless, all groups met agricultural precision standards (<1.5% error, Banhazi et al. [36]), validating overall system reliability.
The optimized parameters were verified by DEM simulation and bench tests to ensure the reliable operation of the equipment under different pellet conditions. A summary of the parameters is shown in Table 11.

3.6. Overall Discussion

This paper compares previous studies from four aspects: experimental materials, the design of the feeding trough device, experimental factors, and a comparison with existing systems.
For the design of the stock bin, we should take into account the properties of the test materials, as well as the structural form of the stock bin, to ensure that there is no clogging inside and to avoid the occurrence of arching and material accumulation. The properties of the test materials can be categorized into four types: chemical properties, physical properties, mechanical properties, and pellet size and shape. In the design of bulk material conveying equipment, greater emphasis is typically placed on the physical properties, mechanical properties, and pellet size and shape. For instance, Li [37] explored the chalking rates of three types of pelletized feed (for egg ducks, sows, and bream), focusing on the effects of their physical properties (e.g., Poisson’s ratio, collision recovery coefficient) on the chalking rate. In contrast, this study focuses on the flowability of the same type of sheep pelletized feeds and aims to investigate how the flowability of feeds with different pellet sizes affects the structural parameters of the feeding trough device. Consequently, only the density and shear modulus were varied in the selection of model parameters, as shown in Table 1.
Mechanical properties are crucial for determining the angle of inclination of the side walls of the stock bin. Specifically, the smaller the natural angle of repose, the better the flowability. Most current studies on the angle of repose conducted by scholars primarily focus on powders and spherical pellets [13], and most utilize traditional methods for measuring the angle of repose. In contrast, this study proposes a Matlab-based image processing method for determining the angle of repose and effectively calibrating the surface energy within the JKR contact model. Although the JKR model is sensitive to humidity in adhesive pellet systems, our study focused on dry pellet feed (moisture content 7.3%) under controlled laboratory conditions. Prior works [24,25] have demonstrated that humidity effects become negligible when material moisture is below 10%, as surface water films are insufficient to alter inter-pellet adhesion. The surface energy calibration obtained via repose angle measurements (Section 3.1) inherently accounts for ambient interactions, ensuring model validity. Future field applications may require humidity compensation, which could be addressed by integrating environmental sensors into the PLC system.
In this study, the Discrete Element Method (DEM) was employed to simulate the kinematic characteristics of pellet feed, providing a theoretical basis for the design of feeding trough devices. Currently, feeding trough devices, such as screw conveyors [23] and trough wheels [38], primarily use rotational mechanisms to transport feed. Ma et al. [23] conducted a simulation and experimental study using the DEM to investigate the flow characteristics of paddy during the discharge process of harvester grain tanks. The results revealed that the mass flow rate of the screw conveyor was constant, with zero acceleration. Furthermore, due to the asymmetry of the grain tank, different walls experienced varying pressures. The four vertical walls were subjected to less pressure compared to the inclined walls at the bottom of the tank, facilitating the formation of funnel flow within the tank. These findings underscore the importance of focusing on the slope of the inclined surface and the height of the baffle opening when optimizing the structure of the feed trough.
The types and requirements of feeds can vary significantly in agricultural production, necessitating enhancements in their versatility to accommodate different types of feed. In this study, three common pellet size feeds used in the market for feeding sheep were selected for in-depth analysis. When optimizing the slope of the stock bin and the height of the baffle opening, the average feeding rate was utilized as an indicator to assess the flow performance of the three types of pellet feed, enabling targeted design and optimization of the stock bin parameters.
The average feed rate directly impacts feed application. An excessively fast or slow rate could result in feed wastage or insufficiency, thereby affecting the nutrient intake of the animals. Emphasizing the feed rate can enhance the adaptability of feed trough devices to various feeds and improve the effectiveness of their monitoring and control systems. With advancements in sensor technology, researchers are increasingly focused on addressing the issue of precision feeding within the livestock industry [39]. The automatic feeding system developed by Noor et al. [39] utilized a PLC microcontroller and a pulse width modulation technique to control the speed actuator for timed and rationed feeding. However, in contrast to Noor’s study, this research imposes higher demands on the control of position and speed during the lifting and lowering of the baffle. To achieve this, a closed-loop control system has been implemented, allowing for dynamic adjustments to the output through a real-time feedback mechanism for high precision control. It is important to note that, when calculating the actual feeding time, the up and down stroke reaction time of the servo motor must be excluded.
The experimental validation component of this study addresses two main aspects. First, it verifies the feasibility of the simulation model in optimizing the structural parameters of the feeding trough device through bench tests. Second, it assesses the feeding accuracy achievable by the control system under the optimal combination of structural parameters. Three different types of feed were utilized to nourish three types of sheep in the tests, aiming to observe the control system’s ability to monitor various pellet feeds and its performance in discharging under different sheep conditions. Despite the device demonstrating a high degree of discharge accuracy during the validation process, it is important to consider the feed intake of the sheep in relation to the type of feed, as well as the individual body condition of the sheep. Furthermore, this study also needs to focus on a non-cross-contamination recovery mechanism for feeds to ensure effective separation between different feeds within the same feeding trough unit in order to reduce resource wastage and improve feeding efficiency.
The improved feed trough by Ayantunde et al. [6] relies on gravity discharge and requires manual adjustment of the baffle height. In contrast, this study achieves fully automatic and precise control through a PLC-HMI system. While traditional designs are typically optimized for a single pellet size feed, this paper utilizes DEM simulation and parameter optimization to develop a feed system adaptable to three different pellet sizes. The problem of clogging is effectively solved by dynamically adjusting the baffle height (28–30 mm), and its sensitivity to changes in pellet size is superior to that of a screw conveyor. Regarding automated feeding systems, the automatic rabbit feeding system developed by Noor et al. [39] was controlled by a PIC microcontroller, resulting in a dosing error of 1.2%. In this study, however, the error was reduced to 0.3% through the use of servo motors with closed-loop control technology, thereby significantly improving control accuracy. Furthermore, drawing inspiration from the virtual model by Pomar et al. [3], this system integrates RFID ear tag technology and an HMI. This integration allows for the direct correlation of feeding data with individual sheep, enabling personalized and precise feeding. In terms of equipment maintenance, existing rotary feeders with grooved wheel structures [38] necessitate the regular replacement of worn parts. Conversely, the baffle design in this study reduces maintenance frequency by minimizing the number of moving parts. In summary, compared to existing feeding systems, this study presents clear advantages in terms of control accuracy and multi-pellet size adaptability, offering a more cost-effective solution for precision feeding in small- and medium-sized farms.

4. Conclusions

In this study, the performance of an automatic feeding trough for pellet feed for sheep was optimized and verified by combining Solidworks for the structural design of the trough, Matlab for the surface energy calibration, DEM for the pellet feed simulation, and PLC-HMI for control and monitoring. The conclusions are as follows:
(1) By using Matlab to find the angle of repose and simulate pellet feed stacking, it was determined that, when the absolute error of the angle of repose between the actual test and the simulation test is less than 5%, it can be used to calibrate the surface energy of the JKR contact model. The corresponding surface energies of the three pellet sizes of the pellet feeds are A—0.15 J/m2, B—0.22 J/m2, and C—0.22 J/m2, respectively.
(2) A discrete element simulation model of the pellet feed in the feeding trough device was established. The effects of the slope of the inclined plane and the opening height of the baffle on the discharge of the feed were analyzed. The optimal baffle openings for A, B, and C pellet feeds were determined to be 28 mm, 28 mm, and 30 mm, respectively, with inclined plane slopes of 63° for all. Under these conditions, the relative errors between the simulation and the experimental results are less than 5%, which verifies the feasibility of the simulation test in optimizing the structural parameters.
(3) PLC-HMI technology was utilized to control the timing and quantitative feeding of different pellet sizes of pellet feed. The final performance test showed that the feeding error was within 0.3%, which verifies the reasonableness of the design and the accuracy of the feeding.
Through systematic optimization of the feed trough structure parameters (slope angle of 63° and baffle opening height of 28–30 mm), key performance indicators were significantly improved, as follows: (1) flow uniformity: the difference in feed rates among pellets decreased from over 15% to less than 5%; (2) operational stability: flow time fluctuations were reduced by 75% (SD from 3.2 s to 0.8 s); and (3) control accuracy: the PLC-HMI system reduced feed errors from 2.1% to 0.3%. These improvements verify the effectiveness of discrete element simulation-guided engineering optimization and address the conflicting issues of coarse pellet blockage and fine pellet overflow.
Establishing a reliable reference standard for quantifying the amount of feed delivered was a primary challenge during the design and functionality refinement process. This standard should accurately measure the amount of feed consumed by each sheep prior to feeding and evaluate the actual amount consumed during each feeding session. In this study, the flow characteristics of pellet feeds (e.g., feed rate and flow time) were used to indirectly assess feed intake, however, this method is only applicable to the former, which remains a limitation. To further improve the design and functionality of the device, it should possess the following characteristics: (1) it should be unaffected by the type of feed, and (2) it should accurately monitor and regulate the amount of feed delivered to meet the real-time feeding needs of sheep. Future research should take into account individual differences in sheep by estimating the amount of pre-feeding for each sheep and accurately assessing their actual feed intake at each feeding, based on their nutritional requirements, for more practical applications.

Author Contributions

Conceptualization, X.G., C.X. and J.Z.; data curation, X.G.; formal analysis, X.G.; funding acquisition, C.X.; investigation, X.G. and J.Z.; methodology, X.G. and Y.M.; project administration, S.L.; resources, X.G.; software, X.G. and T.Z.; writing—original draft, X.G.; writing—review and editing, X.G. and C.X. All authors have read and agreed to the published version of the manuscript.

Funding

This work was supported by the Fundamental Research Funds for Inner Mongolia Directly Affiliated Universities BR221314 and BR221032; the National Natural Science Foundation of China 31860666; and the First Class Disciplines Research Special Project YLXKZX-NND-009.

Institutional Review Board Statement

This study and all animal procedures herein were approved by the Ethics Committee of Experimental Animals of the Inner Mongolia Agricultural University (2020-1 and 2020-2).

Data Availability Statement

The data supporting the findings of this study are included within the article.

Acknowledgments

We are grateful to Inner Mongolia Mengtai Dadi Biotechnology Development Co., Ltd., for providing the pellet feed materials and to the College of Animal Science at Inner Mongolia Agricultural University for supplying the sheep used in this study. We are grateful to the reviewers for their valuable suggestions and comments, which have greatly enhanced the quality of this paper.

Conflicts of Interest

The authors declare no conflicts of interest.

References

  1. Yue, B.-S.; Xu, T.; Xu, S.; Hu, L.; Zhao, N.; Liu, Z.; Ma, L.; Liu, H.; Zhao, X. Effect of Dietary Types on Feed Intakes, Growth Performance and Economic Benefit in Tibetan sheep and Yaks on the Qinghai-Tibet Plateau during Cold Season. PLoS ONE 2017, 12, e0169187. [Google Scholar] [CrossRef]
  2. Zhang, C.; Li, M.M.; Al-Marashdeh, O.; Gan, L.P.; Zhang, C.Y.; Zhang, G.G. Performance, rumen fermentation, and gastrointestinal microflora of lambs fed pelleted or unpelleted total mixed ration. Anim. Feed Sci. Technol. 2019, 253, 22–31. [Google Scholar] [CrossRef]
  3. Pomar, J.; López, V.; Pomar, C. Agent-based simulation framework for virtual prototyping of advanced livestock precision feeding systems. Comput. Electron. Agric. 2011, 78, 88–97. [Google Scholar] [CrossRef]
  4. Amankwah, K.; Klerkx, L.; Oosting, S.J.; Sakyi-Dawson, O.; van der Zijpp, A.J.; Millar, D. Diagnosing constraints to market participation of small ruminant producers in northern Ghana: An innovation systems analysis. NJAS Wagening. J. Life Sci. 2012, 60–63, 37–47. [Google Scholar] [CrossRef]
  5. Konlan, S.; Ayantunde, A.; Addah, W.; Dei, K. Evaluation of Feed Resource Availability for Ruminant Production in Northern Ghana. Int. J. Livest. Res. 2016, 6, 1. [Google Scholar] [CrossRef]
  6. Ayantunde, A.A.; Salifu, S.; Konlan, S.P.; Shaibu, M.T. Assessing the effect of improved feed trough on feed utilization by small ruminants in Northern Ghana. Trop. Anim. Health Prod. 2021, 53, 440. [Google Scholar] [CrossRef]
  7. Oliveira, B.R.; Ribas, M.N.; Machado, F.S.; Lima, J.A.M.; Cavalcanti, L.F.L.; Chizzotti, M.L.; Coelho, S.G. Validation of a system for monitoring individual feeding and drinking behaviour and intake in young cattle. Animal 2018, 12, 634–639. [Google Scholar] [CrossRef]
  8. Ogawa, Y.; Sato, K.; Matsumoto, Y.; Tominaga, T. Evaluation of Fine Feeding System and Angioarchitecture of GiantPituitary Adenoma-Implications for Establishment of Surgical Strategy. World Neurosurg. 2016, 85, 244–251. [Google Scholar] [CrossRef]
  9. Gao, X.; Xie, G.; Xu, Y.; Yu, Y.; Lai, Q. Application of a staggered symmetrical spiral groove wheel on a quantitative feeding device and investigation of pellet motion characteristics based on DEM. Powder Technol. 2022, 407, 117650. [Google Scholar] [CrossRef]
  10. Chen, G.; Wang, Q.; Xu, D.; Li, H.; He, J.; Lu, C. Design and experimental research on the counter roll differential speed solid organic fertilizer crusher based on DEM. Comput. Electron. Agric. 2023, 207, 107748. [Google Scholar] [CrossRef]
  11. Chen, P.; Han, Y.; Jia, F.; Meng, X.; Xiao, Y.; Bai, S. DEM simulations and experiments investigating the influence offeeding plate angle in a rubber-roll paddy grain huller. Biosyst. Eng. 2021, 201, 23–41. [Google Scholar] [CrossRef]
  12. Wang, L.; Liao, Q.; Xi, R.; Li, X.; Liao, Y. Influence of an equal width polygon groove-tooth wheel on feeding performance of the seed feeding device for wheat. Comput. Electron. Agric. 2024, 217, 108565. [Google Scholar] [CrossRef]
  13. Yuan, H.; Wang, H.; Huang, J.; Li, L.; Peng, S.; Wang, J. Study on uniformity of linear vibrating rice feeding devicewith matrix-designed outlets based on discrete element method. J. Food Eng. 2024, 381, 112170. [Google Scholar] [CrossRef]
  14. Anand, A.; Curtis, J.S.; Wassgren, C.R.; Hancock, B.C.; Ketterhagen, W.R. Predicting discharge dynamics of wet cohesive pellets from a rectangular hopper using the discrete element method (DEM). Chem. Eng. Sci. 2009, 64, 5268–5275. [Google Scholar] [CrossRef]
  15. Gröger, T.; Tüzün, U.; Heyes, D.M. Modelling and measuring of cohesion in wet granular materials. Powder Technol. 2003, 133, 203–215. [Google Scholar] [CrossRef]
  16. Johnson, K.L.; Kendall, K.; Roberts, A.D.; Tabor, D. Surface energy and the contact of elastic solids. Proc. R. Soc. Lond. A 1997, 324, 301–313. [Google Scholar] [CrossRef]
  17. Timoshenko, S.P.; Goodier, J.N. Theory of Elasticity; McGraw-Hill: New York, NY, USA, 1970. [Google Scholar] [CrossRef]
  18. Mindlin, R.D.; Deresiewicz, H. Elastic spheres in contact under varying oblique forces. J. Appl. Mech. 1953, 20, 327–344. [Google Scholar] [CrossRef]
  19. Martz, F.A.; Belyea, R.L. Role of pellet Size and Forage Quality in Digesti on and Passage by Cattle and Sheep1, 2. J. Dairy Sci. 1986, 69, 1996–2008. [Google Scholar] [CrossRef]
  20. ASABE S269.5; Densified Products for Bulk Handling-Definitions and Methods. American Society of Agricultural and Biological Engineers: St. Joseph, MI, USA, 2012.
  21. Gelnar, D.; Prokeš, R.; Jezerska, L.; Zegzulka, J. Wood pellets transport with vibrating conveyor: Experimental for DEM simulations analysis. Sci. Rep. 2021, 11, 16606. [Google Scholar] [CrossRef]
  22. Luo, X.; Zhao, L.; Zhang, M.; Dong, H. DEM study on the effects of pellet characteristics on pellet flow in rectangular hopper. Powder Technol. 2020, 373, 476–487. [Google Scholar] [CrossRef]
  23. Ma, Z.; Traore, S.N.; Zhu, Y.; Li, Y.; Xu, L.; Lu, E.; Li, Y. DEM simulations and experiments investigating of grain tank discharge of a rice combine harvester. Comput. Electron. Agric. 2022, 198, 107060. [Google Scholar] [CrossRef]
  24. Rozbroj, J.; Zegzulka, J.; Necas, J.; Jezerska, L. Discrete Element Method Model Optimization of Cylindrical Pellet Size. Processes 2019, 7, 101. [Google Scholar] [CrossRef]
  25. Sun, W.; Sun, Y.; Wang, Y.; He, H. Calibration and experimental verification of discrete element parameters for modelling feed pelleting. Biosyst. Eng. 2024, 237, 182–195. [Google Scholar] [CrossRef]
  26. Ning, Z.; Boerefijn, R.; Ghadiri, M.; Thornton, C. Distinct element simulation of impact breakage of lactose agglomerates. Adv. Powder Technol. 1997, 8, 15–37. [Google Scholar] [CrossRef]
  27. Horabik, J.; Molenda, M. Parameters and contact models for DEM simulations of agricultural granular materials: A review. Biosyst. Eng. 2016, 147, 206–225. [Google Scholar] [CrossRef]
  28. Gitiaray, M.; Taghvaei, S.; Hashemnia, K. DEM Study of the design parameters of a linear vibratory feeder in packaging black pepper seeds. Granul. Matter. 2023, 25, 39. [Google Scholar] [CrossRef]
  29. Carson, J.W.; Wilms, H. Development of an international standard for shear testing. Powder Technol. 2006, 167, 1–9. [Google Scholar] [CrossRef]
  30. NY/T 816-2004; Feeding Standard of Meat Sheep. Ministry of Agriculture of the People’s Republic of China: Beijing, China, 2004.
  31. González-García, E.; Golini, P.d.; Hassoun, P.; Bocquier, F.; Hazard, D.; González, L.A.; Ingham, A.B.; Bishop-Hurley, G.J.; Greenwood, P.L. An assessment of Walk-over-Weighing to estimate short-term individual forage intake in sheep. Animal 2018, 12, 1174–1181. [Google Scholar] [CrossRef]
  32. Nedderman, R.M. Statics and Kinematics of Granular Materials; Cambridge University Press: Cambridge, UK, 1992. [Google Scholar] [CrossRef]
  33. Guerra-Zubiaga, D.A.; Kuts, V.; Mahmood, K.; Bondar, A.; Esfahani, N.N.; Otto, T. An approach to develop a digital twin for industry 4.0 systems: Manufacturing automation case studies. Int. J. Comput. Integ. Manuf. 2021, 34, 933–949. [Google Scholar] [CrossRef]
  34. Li, S.; Jiang, B.; Wang, X.; Dong, L. Research and Application of a SCADA System for a Microgrid. Technologies 2017, 5, 12. [Google Scholar] [CrossRef]
  35. Fujita, S.; Hata, K.; Mochizuki, A.; Sawada, K.; Shin, S.; Hosokawa, S. OpenPLC based control system testbed for PLC whitelisting system. Artif. Life Robot. 2021, 26, 149–154. [Google Scholar] [CrossRef]
  36. Banhazi, T.M.; Babinszky, L.; Halas, V.; Tscharke, M. Precision Livestock Farming: Precision feeding technologies and sustainable livestock production. Int. J. Agric. Biol. Eng. 2012, 5, 54–61. [Google Scholar] [CrossRef]
  37. Li, C. Design and Test of the Testing Device for Pellet Feed Powdering Rate. Ph.D. Thesis, Wuhan University, Wuhan, China, 2021. [Google Scholar] [CrossRef]
  38. Wang, J.; Fu, Z.; Jiang, R.; Song, Y.; Yang, D.; Wang, Z. Influences of grooved wheel structural parameters on fertilizer discharge performance: Optimization by simulation and experiment. Powder Technol. 2023, 418, 118309. [Google Scholar] [CrossRef]
  39. Noor, M.Z.H.; Baharuddin, M.S.A.; Rahiman, M.H.F.; Taib, M.N.; Dom, M.M. Design and development of Automatic Rabbit Feeding System (ARFES) using PIC microcontroller. In Proceedings of the 2014 IEEE ISIEA, Kota Kinabalu, Malaysia, 28 September–1 October 2014; pp. 153–156. [Google Scholar] [CrossRef]
Figure 1. The automatic feeding station for sheep. (a) is a schematic diagram of the feeding station structure; (b) is a principle of operation; (c) is a feeding trough device.
Figure 1. The automatic feeding station for sheep. (a) is a schematic diagram of the feeding station structure; (b) is a principle of operation; (c) is a feeding trough device.
Agriculture 15 01487 g001
Figure 2. Pellet feed size distribution diagram.
Figure 2. Pellet feed size distribution diagram.
Agriculture 15 01487 g002
Figure 3. DEM simulation model. 1—Baffle; 2—Pellet factory; 3—Pellet feed; 4—Mass sensor; 5—Mass flow sensor; 6—Bady frame; 7—Outlet port; 8—Collection device.
Figure 3. DEM simulation model. 1—Baffle; 2—Pellet factory; 3—Pellet feed; 4—Mass sensor; 5—Mass flow sensor; 6—Bady frame; 7—Outlet port; 8—Collection device.
Agriculture 15 01487 g003
Figure 4. Experimental platform.
Figure 4. Experimental platform.
Agriculture 15 01487 g004
Figure 5. Repose angle measurement.
Figure 5. Repose angle measurement.
Agriculture 15 01487 g005
Figure 6. Calibration of surface energy.
Figure 6. Calibration of surface energy.
Agriculture 15 01487 g006
Figure 7. Flow characteristics of pellet feed under different slope angles. (a) is the slope angle of 61°; (b) is the slope angle of 63°; (c) is the slope angle of 65°.
Figure 7. Flow characteristics of pellet feed under different slope angles. (a) is the slope angle of 61°; (b) is the slope angle of 63°; (c) is the slope angle of 65°.
Agriculture 15 01487 g007
Figure 8. Vector diagram of force chain distribution in the feeding process. (A) represents fine pellet feed; (B) represents medium pellet feed; and (C) represents coarse pellet feed.
Figure 8. Vector diagram of force chain distribution in the feeding process. (A) represents fine pellet feed; (B) represents medium pellet feed; and (C) represents coarse pellet feed.
Agriculture 15 01487 g008
Figure 9. Vector diagram of pellet velocity distribution. (A) represents fine pellet feed, (B) represents medium pellet feed, and (C) represents coarse pellet feed.
Figure 9. Vector diagram of pellet velocity distribution. (A) represents fine pellet feed, (B) represents medium pellet feed, and (C) represents coarse pellet feed.
Agriculture 15 01487 g009
Figure 10. Comparison plots of average feed rates across the simulation and the experiment.
Figure 10. Comparison plots of average feed rates across the simulation and the experiment.
Agriculture 15 01487 g010
Figure 11. Three-dimensional surface of feed rate with time and baffle height.
Figure 11. Three-dimensional surface of feed rate with time and baffle height.
Agriculture 15 01487 g011
Figure 12. PLC-HMI architecture.
Figure 12. PLC-HMI architecture.
Agriculture 15 01487 g012
Figure 13. Actual feeding diagram.
Figure 13. Actual feeding diagram.
Agriculture 15 01487 g013
Table 1. Model parameter settings.
Table 1. Model parameter settings.
ParameterA Pellet FeedB Pellet FeedC Pellet FeedSteel
Poisson’s ratio0.400.400.400.30
Density (g/cm3)1.161.141.107.80
Shear modulus (MPa)16.6415.5412.22700.00
Collision recovery coefficient0.360.46
Static friction coefficient0.410.30
Coefficient of rolling friction0.110.12
Acceleration of gravity (m/s2)9.81
Table 2. Test design and parameters.
Table 2. Test design and parameters.
Pellet FeedSlope Angle (°)NumberHeight of the Baffle Opening (mm)Notes
A611–326, 28, 30-
634–626, 28, 30-
657–930, 32, 34Increased by 2 mm due to steeper slope reducing pellet drop.
B611–326, 28, 30-
634–626, 28, 30-
657–930, 32, 34Increased by 2 mm (as in feed A).
C611–328, 30, 32Increased by 2 mm due to larger pellet size.
634–528, 30, 32
657–930, 32, 34Increased by 2 mm (as in feed A).
Table 3. Contrast of height of baffle opening.
Table 3. Contrast of height of baffle opening.
Slope Angle (°)Pellet FeedNumberHeight of the Baffle Opening (mm)Average Feed Rate
(kg/s, mean ± SD)
Time (s, Mean ± SD)Notes
63A1260.5443 ± 0.02121.04 ± 0.85
2280.6253 ± 0.03218.22 ± 0.72Optimal for A
3300.7851 ± 0.04014.97 ± 0.60
B4260.5273 ± 0.02622.66 ± 0.91
5280.6191 ± 0.02818.48 ±0.74Optimal for B
6300.7723 ± 0.03815.48 ± 0.62
C7280 --
8300.5729 ± 0.02920.07 ± 0.80Optimal for C
9320.7219 ± 0.03617.09 ± 0.68
Notes: Data are presented as mean ± standard deviation (SD) from 3 independent replicates. Optimal baffle heights were determined by minimizing flow time variability (SD < 5% of mean). Pellet C at 28 mm baffle height resulted in complete blockage (zero flow rate).
Table 4. Main control loop.
Table 4. Main control loop.
Main control loop
While True:
1:Data Acquisition Module()    # Read RFID and validate
2:Parameter Setting Module()  # Load presets by sheep type
3:Servo Control Module()      # Execute auto/manual mode
4:Safety Monitoring Module()  # Emergency stop detection
sleep(1 ms)         # PLC scan cycle
Table 5. RFID data acquisition algorithm.
Table 5. RFID data acquisition algorithm.
def Data_Acquisition_Module():
  if not M4: # Ensure not during feeding
   # Read 4-byte data from RFID device (address H0E)
   D0, D1, D2, D3 = read_modbus(H0E, function = 3, addr = K2, length = 4)
   if SM0: # PLC running flag
     # Store ear tag data (little-endian)
     D102, D101, D100 = D1, D2, D3
     # Validate data (example: XOR checksum)
     M0 = (D0 ^ 0 × 55) == D3
   if rising_edge(SM163): # Trigger on rising edge
     D1000 += 1 # Increment feed counter
Table 6. Feeding parameter setup algorithm.
Table 6. Feeding parameter setup algorithm.
def Parameter_Setting_Module():
  # Predefined feeding parameters (units: mm/g/g/s)
  preset_params = {
    ‘Lamb’: {‘height’:28, ‘weight’:604, ‘rate’:3.2},
    ‘Ewe’: {‘height’:28, ‘weight’:602, ‘rate’:5.0},
    ‘Ram’: {‘height’:30, ‘weight’:598, ‘rate’:6.5}
  }
  # Mode selection (mutually exclusive)
  if M1:
    load_params(‘Lamb’)
    reset(M2, M3)
  elif M2:
    load_params(‘Ewe’)
    reset(M1, M3)
  elif M3:
    load_params(‘Ram’)
    reset(M1, M2)
  # Calculate feeding time
  D14 = (D208 × 100) // D10 # Unit: ms
  # Enable feeding condition
  M9 = not (M1 or M2 or M3)
Table 7. Servo control algorithm.
Table 7. Servo control algorithm.
def Servo_Control_Module():
  # Manual mode (for debugging)
  if not M0:
    HD2 = -HD0 # Reverse motion
    if M6 and not X4: # Manual raise + no limit trigger
      send_pulse(Y0, HD0, freq = 10 kHz) # Pulse output
    if M7: # Manual lower
      send_pulse(Y0, HD2, freq = 10 kHz)
  # Automatic feeding process
  elif X0 and rising_edge(X1) and X6 and not M9:
    M0 = True
    if D212 != D24 and not SM1000 and not M4:
      move_to(D20) # Position baffle
      start_feed_timer(D14) # Begin timed feeding
def move_to(target_pos):
  “””Servo absolute positioning”””
  DRVA(target_pos, HD0, pulse = Y0, dir = Y1)
  while HSD2 != target_pos: # Wait for completion
    sleep(1 ms)
  M4 = True
Table 8. Safety control algorithm.
Table 8. Safety control algorithm.
def Safety_Monitoring_Module():
  # Emergency stop (highest priority)
  if X0 or X3:
    M0 = False
    emergency_stop(Y0) # Immediate pulse halt
  # Servo homing
  if rising_edge(M10) and not M0:
    ZRN(Y0, home_speed = 1000) # Return-to-origin
Table 9. Pellet feed discharge precision in repeated trials (n = 10).
Table 9. Pellet feed discharge precision in repeated trials (n = 10).
Ear Label (Sheep ID)Target Flow Rate (g/s)Discharge Precision (%, Mean ± SD)95% CI (%)Range (%)CV (%)
300 (Lamb)6048.53 ± 2.64 *[6.62, 10.44]6.4–14.030.9
236 (Ewe)6026.00 ± 3.38[3.72, 8.28]0.3–10.256.3
477 (Ram)5973.25 ± 1.62 *[2.14, 4.36]0.4–5.949.8
Notes: Mean precision ± SD: Calculated from 10 independent trials for each ear label. The 95% CI: Confidence interval calculated using t-distribution. CV: Coefficient of variation (SD/Mean) showing relative variability. * Significant (0.01< p < 0.05), NS = Non-Significant (p > 0.05).
Table 10. Comparison of target value and actual value (n = 10 independent trials).
Table 10. Comparison of target value and actual value (n = 10 independent trials).
Ear LabelTarget Value
(g)
Actual Feeding (g, Mean ± SD)Range (g)Accuracy (%, Mean ± SD)Vs. Target (One-Sample t-Test)ANOVA (F-Value)Post Hoc (Tukey’s HSD)
300300300.81 ± 0.87299.8–302.80.27 ± 0.15t(9) = 1.75, p = 0.112 (NS)F(2,27) = 38.72300 vs. 236: p < 0.001 ***
236450451.38 ± 4.12 *446.7–458.60.30 ± 0.18t(9) = 2.45, p = 0.038 * 236 vs. 477: p < 0.001 ***
477700700.73 ± 3.05696.1–707.20.10 ± 0.07t(9) = 0.51, p = 0.624 (NS) 300 vs. 477: p = 0.112
Notes: *** Extremely significant (p < 0.001), * Significant (0.01 < p < 0.05), NS = Non-Significant (p > 0.05).
Table 11. Optimized parameters and performance summary.
Table 11. Optimized parameters and performance summary.
ParameterOptimal ValueKey Performance
Stock bin slope63°Uniform flow
Baffle height (A/B)28 mmFeed rate: 0.62 ± 0.03 kg/s
Baffle height (C)30 mmZero clogging probability
Energy per cycle12.3 WhPLC-HMI error: 0.3%
Disclaimer/Publisher’s Note: The statements, opinions and data contained in all publications are solely those of the individual author(s) and contributor(s) and not of MDPI and/or the editor(s). MDPI and/or the editor(s) disclaim responsibility for any injury to people or property resulting from any ideas, methods, instructions or products referred to in the content.

Share and Cite

MDPI and ACS Style

Gao, X.; Xuan, C.; Zhao, J.; Ma, Y.; Zhang, T.; Liu, S. Design Optimization and Performance Evaluation of an Automated Pelleted Feed Trough for Sheep Feeding Management. Agriculture 2025, 15, 1487. https://doi.org/10.3390/agriculture15141487

AMA Style

Gao X, Xuan C, Zhao J, Ma Y, Zhang T, Liu S. Design Optimization and Performance Evaluation of an Automated Pelleted Feed Trough for Sheep Feeding Management. Agriculture. 2025; 15(14):1487. https://doi.org/10.3390/agriculture15141487

Chicago/Turabian Style

Gao, Xinyu, Chuanzhong Xuan, Jianxin Zhao, Yanhua Ma, Tao Zhang, and Suhui Liu. 2025. "Design Optimization and Performance Evaluation of an Automated Pelleted Feed Trough for Sheep Feeding Management" Agriculture 15, no. 14: 1487. https://doi.org/10.3390/agriculture15141487

APA Style

Gao, X., Xuan, C., Zhao, J., Ma, Y., Zhang, T., & Liu, S. (2025). Design Optimization and Performance Evaluation of an Automated Pelleted Feed Trough for Sheep Feeding Management. Agriculture, 15(14), 1487. https://doi.org/10.3390/agriculture15141487

Note that from the first issue of 2016, this journal uses article numbers instead of page numbers. See further details here.

Article Metrics

Back to TopTop