The Effects of Origin on the Formation of Stress Parameters and Selected Behaviour of Hens
Abstract
1. Introduction
2. Materials and Methods
2.1. Experimental Site
2.2. Birds and Experimental Design
2.3. Data, Sample Collection and Laboratory Analyses
2.4. Statistical Analysis
3. Results
3.1. Duration of Tonic Immobility (TI) and Stress Indicators
3.2. Behavioural Observations, Mortality and Plumage Condition
4. Discussion
5. Conclusions
Author Contributions
Funding
Institutional Review Board Statement
Data Availability Statement
Conflicts of Interest
References
- Campo, J.L.; Cabezas, R.; Torres, O.; González Briones, I.; Alonso, C. Egg quality and welfare of white-tinted-, and brown-shell egg layers in three different non-cage housing systems. Arch. Geflügelkd. 2013, 77, 179–188. [Google Scholar]
- Balakrishnan, K.N.; Ramiah, S.K.; Zulkifli, I. Heat shock protein response to stress in poultry: A Review. Animals 2023, 13, 317. [Google Scholar] [CrossRef] [PubMed]
- Puvadolpirod, S.; Thaxton, J.P. Model of physiological stress in chickens. 4. Digestion and metabolism. Poult. Sci. 2000, 79, 383–390. [Google Scholar] [CrossRef]
- Aboghanima, M. Strain variation to cold stress in growth performance, carcass traits, hematological, blood biochemical parameters and antioxidant enzymes in broilers. Damanhour J. Vet. Sci. 2020, 3, 17–22. [Google Scholar] [CrossRef]
- Selye, H. A syndrome produced by diverse nocuous agents. Nature 1936, 138, 32. [Google Scholar] [CrossRef]
- Cheng, H.W.; Dillworth, G.; Singleton, P.; Chen, Y.; Muirt, W.M. Effects of group selection for productivity and longevity on blood concentrations of serotonin, catecholamines, and corticosterone of laying hens. Poult. Sci. 2001, 80, 1278–1285. [Google Scholar] [CrossRef]
- Skomorucha, I.; Sosnówka-Czajka, E. Effect of adding mixed herb extracts to drinking water on stress hormone levels in broiler chickens. Wiad. Zootech. 2013, 51, 14–18. (In Polish) [Google Scholar]
- Scanes, C.G. Biology of stress in poultry with emphasis on glucocorticoids and the heterophil to lymphocyte ratio. Poult. Sci. 2016, 95, 2208–2215. [Google Scholar] [CrossRef] [PubMed]
- Tilbrook, A.J.; Fisher, A.D. Stress, health and the welfare of laying hens. Anim. Prod. Sci. 2020, 61, 931–943. [Google Scholar] [CrossRef]
- Virden, W.S.; Thaxton, J.P.; Corzo, A.; Dozier, W.A., III; Kidd, M. Evaluation of models using corticosterone and adrenocorticotropin to induce conditions mimicking physiological stress in commercial broilers. Poult. Sci. 2007, 86, 2485–2491. [Google Scholar] [CrossRef] [PubMed]
- Brown, A.A.; Sobotik, E.B.; House, G.M.; Nelson, J.R.; Archer, G.S. Differences in fear response strategy and stress susceptibility amongst four different commercial layer strains reared cage free. Front. Physiol. 2022, 13, 943471. [Google Scholar] [CrossRef] [PubMed]
- De Haas, E.N.; Kemp, B.; Bolhuis, J.E.; Groothuis, T.; Rodenburg, T.B. Fear, stress, and feather pecking in commercial white and brown laying hen parent-stock flocks and their relationships with production parameters. Poult. Sci. 2013, 92, 2259–2269. [Google Scholar] [CrossRef] [PubMed]
- Lentfer, T.L.; Pendl, H.; Gebhardt-Henrich, S.G.; Fröhlich, E.K.F.; Von Borell, E. H/L ratio as a measurement of stress in laying hens—Methodology and reliability. Br. Poult. Sci. 2015, 56, 157–163. [Google Scholar] [CrossRef] [PubMed]
- Rozempolska-Rucińska, I.; Czech, A.; Kasperek, K.; Zięba, G.; Ziemiańska, A. Behaviour and stress in three breeds of laying hens kept in the same environment. S. Afr. J. Anim. Sci. 2020, 50, 272–280. [Google Scholar] [CrossRef]
- Kasperek, K.; Jaworska Adamu, J.; Krawczyk, A.; Rycerz, K.; Buszewicz, G.; Przygodzka, D.; Wójcik, G.; Blicharska, E.; Drabik, K.; Czech, A.; et al. Investigation of structural and neurobiochemical diferences in brains from high-performance and native hen breeds. Sci. Rep. 2023, 13, 224. [Google Scholar] [CrossRef] [PubMed]
- Skomorucha, I.; Sosnówka-Czajka, E. Factors affecting the development of feather pecking in laying hens. Rocz. Nauk. Zootech. 2018, 45, 143–150. (In Polish) [Google Scholar]
- Huang, C.; Hao, E.; Yue, Q.; Liu, M.; Wang, D.; Chen, Y.; Shi, L.; Zeng, D.; Zhao, G.; Chen, H. Malfunctioned inflammatory response and serotonin metabolism at the microbiota-gut-brain axis drive feather pecking behavior in laying hens. Poult. Sci. 2023, 102, 102686. [Google Scholar] [CrossRef] [PubMed]
- Rieke, L.; Spindler, B.; Zylka, I.; Kemper, N.; Giersberg, M.F. Pecking behavior in conventional layer hybrids and dual-purpose hens throughout the laying period. Front. Vet. Sci. 2021, 8, 660400. [Google Scholar] [CrossRef]
- Gilani, A.M.; Knowles, T.G.; Nicol, C.J. The effect of rearing environment on feather pecking in young and adult laying hens. Appl. Anim. Behav. Sci. 2013, 148, 54–63. [Google Scholar] [CrossRef]
- Zepp, M.; Louton, H.; Erhard, M.; Schmidt, P.; Helmer, F. The influence of stocking density and enrichment on the occurrence of feather pecking and aggressive pecking behaviour in laying hen. J. Vet. Behav. 2018, 24, 9–18. [Google Scholar] [CrossRef]
- Mellor, E.; Brilot, B.; Collins, S. Abnormal repetitive behaviours in captive birds: A Tinbergian review. Appl. Anim. Behav. Sci. 2018, 198, 109–120. [Google Scholar] [CrossRef]
- Campo, J.L.; Gil, M.G.; Torres, O.; Davila, S.G. Association between plumage condition and fear and stress levels in five breeds of chickens. Poult. Sci. 2001, 80, 549–552. [Google Scholar] [CrossRef]
- Uitdehaag, K.A.; Rodenburg, T.B.; Van Reenen, C.G.; Koopmanschap, R.E.; De Vries Reilingh, G.; Engel, B.; Buist, W.G.; Komen, H.; Bolhuis, J.E. Effects of genetic origin and social environment on behavioral response to manual restraint and monoamine functioning in laying hens. Poult. Sci. 2011, 90, 1629–1636. [Google Scholar] [CrossRef]
- Kops, M.S.; Kjaer, J.B.; Güntürkün, O.; Westphal, K.G.C.; Korte-Bouws, G.A.H.; Olivier, B.; Korte, S.M.; Bolhuis, J.E. Brain monoamine levels and behaviour of young and adult chickens genetically selected on feather pecking. Behav. Brain Res. 2017, 327, 11–20. [Google Scholar] [CrossRef]
- Van der Eijk, J.A.J.; Lammers, A.; Li, P.; Kjaer, J.B.; Rodenburg, T.B. Feather pecking genotype and phenotype affect behavioural responses of laying hens. Appl. Anim. Behav. Sci. 2018, 205, 141–150. [Google Scholar] [CrossRef]
- Lin, J.H.; Daigle, C.L.; Tang, P.C.; Wang, C.K. Influence of sex hormones on the aggressive behavior during peck order establishment and stabilization in meat and egg type chickens. Poult. Sci. 2024, 103, 103669. [Google Scholar] [CrossRef]
- Buitenhuis, A.J.; Kjaer, J.B.; Labouriau, R.; Juul-Madsen, H.R. Altered circulating levels of serotonin and immunological changes in laying hens divergently selected for feather pecking behavior. Poult. Sci. 2006, 85, 1722–1728. [Google Scholar] [CrossRef]
- Birkl, P.; Franke, L.; Rodenburg, T.B.; Ellen, E.; Harlander-Matauschek, A. A role for plasma aromatic amino acids in injurious pecking behavior in laying hens. Physiol. Behav. 2017, 175, 88–96. [Google Scholar] [CrossRef]
- Vestergaard, K.S.; Skadhauge, E.; Lawson, L.G. The stress of not being able to perform dustbathing in laying hens. Physiol. Behav. 1997, 62, 413–419. [Google Scholar] [CrossRef] [PubMed]
- Al-Murrani, W.K.; Al-Rawi, A.J.; Al-Hadithi, M.F.; Al-Tikriti, B. Association between heterophil/lymphocyte ratio, a maker of “resistance” to stress, and some production and fitness traits in chockenc. Br. Poult. Sci. 2006, 47, 443–448. [Google Scholar] [CrossRef] [PubMed]
- Campo, J.L.; Prieto, M.T.; Dávila, S.G. Effects of housing system and cold stress on heterophil-to-lymphocyte ratio, fluctuating asymmetry, and tonic immobility duration of chickens. Poult. Sci. 2008, 87, 621–626. [Google Scholar] [CrossRef] [PubMed]
- Skomorucha, I.; Sosnówka-Czajka, E.; Muchacka, R. Effect of thermal conditions on welfare of broiler chickens of different orgin. Ann. Anim. Sci. 2010, 10, 489–497. [Google Scholar]
- De Baets, R.; Buyse, K.; Antonissen, G.; Delezie, E. Betaine and feed restriction as potential mitigation strategies against heat stress in two strains of laying hens. Poult. Sci. 2024, 103, 104104. [Google Scholar] [CrossRef] [PubMed]
- Giersberg, M.F.; Spindler, B.; Kemper, N. Assessment of plumage and integument condition in dual-purpose breeds and conventional layers. Animals 2017, 7, 97. [Google Scholar] [CrossRef] [PubMed]
- Sokołowicz, Z.; Dykiel, M.; Topczewska, J.; Krawczyk, J.; Augustynska-Prejsnar, A. The effect of the type of non-caged housing system, genotype and age on the behaviour of Laying Hens. Animals 2020, 10, 2450. [Google Scholar] [CrossRef] [PubMed]
- Kozak, A.; Kasperek, K.; Zięba, G.; Rozempolska-Rucińska, I. Variability of laying hen behaviour depending on the breed. Asian-Australas. J. Anim. Sci. 2019, 32, 1062–1068. [Google Scholar] [CrossRef] [PubMed]
- Calik, J.; Obrzut, J. Influence of genotype on productivity and egg quality of three hen strains included in a Biodiversity Program. Animals 2023, 13, 1848. [Google Scholar] [CrossRef] [PubMed]
- Pusch, E.A.; Bentz, A.B.; Becker, D.J.; Navara, K.J. Behavioral phenotype predicts physiological responses to chronic stress in proactive and reactive birds. Gen. Comp. Endocrinol. 2018, 255, 71–77. [Google Scholar] [CrossRef] [PubMed]
- Krawczyk, J.; Calik, J. Comparison of performance in five generations of laying hens from Polish conservation flocks. Rocz. Nauk. Zootech. 2010, 37, 41–54. (In Polish) [Google Scholar]
- Puchała, M.; Krawczyk, J.; Calik, J. Influence of origin of laying hens on the quality of their carcasses and meat after the first. laying period. Ann. Anim. Sci. 2014, 3, 685–696. [Google Scholar] [CrossRef]
- Puchała, M.; Krawczyk, J.; Sokołowicz, Z.; Utnik-Bana’s, K. Effect of breed and production system on physicochemical characteristics of meat from multipurpose hens. Ann. Anim. Sci. 2015, 15, 247–261. [Google Scholar] [CrossRef]
- Lewko, L.; Krawczyk, J.; Calik, J. Effect of genotype and some shell quality traits on lysozyme content and activity in the albumen of eggs from hens under the biodiversity conservation program. Poult. Sci. 2021, 100, 100863. [Google Scholar] [CrossRef]
- Obrzut, J.; Calik, J.; Krawczyk, J. Temporal trends in performance and hatchability traits of eight strains of hens covered by the gene pool protection programme in Poland. Ann. Anim. Sci. 2021, 21, 1347–1366. [Google Scholar] [CrossRef]
- Gomes, A.V.S.; Quinteiro-Filho, W.M.; Ribeiro, A.; Ferraz-de-Paula, V.; Pinheiro, M.L.; Baskeville, E.; Akamine, A.T.; Astolfi-Ferreira, C.S.; Ferreira, A.J.P.; Palermo-Neto, J. Overcrowding stress decreases macrophage activity and increases Salmonella Enteritidis invasion in broiler chickens. Avian Pathol. 2014, 43, 82–90. [Google Scholar] [CrossRef] [PubMed]
- Regulation of the Ministry of Agriculture and Rural Development of 15 February 2010 on the Requirements and Management of Farm Animal Species for Which Standards of Protection are Laid Down in European Union Regulations (Journal of Laws No. 56, Item 344 as Amended). Available online: https://isap.sejm.gov.pl/isap.nsf/DocDetails.xsp?id=wdu20100560344 (accessed on 20 August 2024).
- Akşit, M.; Yalçin, S.; Özkan, S.; Metin, K.; Özdemir, D. Effects of temperature during rearing and crating on stress parameters and meat quality of broilers. Poult. Sci. 2006, 85, 1867–1874. [Google Scholar] [CrossRef] [PubMed]
- Bilčik, B.; Keeling, L.J. Changes in feather condition in relation to feather pecking and aggressive behaviour in laying hens. Br. Poult. Sci. 1999, 40, 444–451. [Google Scholar] [CrossRef]
- Uitdehaag, K.A.; Komen, H.; Rodenburg, T.B.; Kemp, B.; van Arendonk, J.A.M. The novel object test as predictor of feather damage in cage-housed Rhode Island Red and White Leghorn laying hens. Appl. Anim. Behav. Sci. 2008, 109, 292–305. [Google Scholar] [CrossRef]
- Sun, Y.; Ellen, E.D.; van der Poel, J.J.; Parmentier, H.K.; Bijma, P. Modelling of feather pecking behavior in beak-trimmed and non-beak-trimmed crossbred laying hens: Variance component and trait-based approach. Poult. Sci. 2014, 93, 773–783. [Google Scholar] [CrossRef]
- Nelson, J.R.; Settar, P.; Berger, E.; Wolc, A.; O’Sullivan, N.; Archer, G.S. Brown and white egg-layer strain differences in fearfulness and stress measures. Appl. Anim. Behav. Sci. 2020, 231, 105087. [Google Scholar] [CrossRef]
- Albentosa, M.J.; Kjaer, J.B.; Nicol, C.J. Strain and age differences in behaviour, fear response and pecking tendency in laying hens. Br. Poult. Sci. 2003, 44, 333–344. [Google Scholar] [CrossRef] [PubMed]
- Bögelein, S.; Hurtado, D.M.; Kjaer, J.B.; Grashorn, M.A.; Bennewitz, J.; Bessei, W. The phenotypic interrelationships between feather pecking, being feather pecked and fear criteria in White Leghorn lines selected for high and low severe feather pecking and their F2- crosses. Eur. Poult. Sci. 2014, 78, 1. [Google Scholar] [CrossRef]
- Alm, M.; Wall, H.; Holm, L.; Wichman, A.; Palme, R.; Tauson, R. Welfare and performance in layers following temporary exclusion from the litter area on introduction to the layer facility. Poult. Sci. 2015, 94, 565–573. [Google Scholar] [CrossRef] [PubMed]
- Ferrante, V.; Mugnai, C.; Ferrari, L.; Marelli, S.P.; Spagnoli, E.; Lolli, S. Stress and reactivity in three Italian chicken breeds. Ital. J. Anim. Sci. 2016, 15, 303–309. [Google Scholar] [CrossRef]
- Rodenburg, T.B.; Blokhuis, H.J.; Koopmanschap, R.E.; Ellen, E.D.; Decuypere, E. Maternal care and selection for low mortality affect post-stress corticosterone peripheral serotoninin laying hens. Physiol. Behav. 2009, 98, 519–523. [Google Scholar] [CrossRef] [PubMed]
- De Haas, E.N.; Bolhuis, J.E.; de Jong, I.C.; Kemp, B.; Janczak, A.M.; Rodenburg, T.B. Predicting feather damage in laying hens during the laying period. Is it the past or is it the present? Appl. Anim. Behav. Sci. 2014, 160, 75–85. [Google Scholar] [CrossRef]
- Grams, V.; Bögelein, S.; Grashorn, M.A.; Bessei, W.; Bennewitz, J. Quantitative genetic analysis of traits related to fear and feather pecking in laying hens. Behav. Genet. 2015, 45, 228–235. [Google Scholar] [CrossRef] [PubMed]
- Campe, A.; Hoes, C.; Koesters, S.; Froemke, C.; Bougeard, S.; Staack, M.; Bessei, W.; Manton, A.; Scholz, B.; Schrader, L.; et al. Analysis of the influences on plumage condition in laying hens: How suitable is a whole body plumage score as an outcome? Poult. Sci. 2018, 97, 358–367. [Google Scholar] [CrossRef] [PubMed]

| Item | Weeks of Age | ||
|---|---|---|---|
| 1–7 | 8–16 | >17 | |
| Wheat | 62.65 | 63.18 | - |
| Corn | 10.00 | - | - |
| Ground maize | - | - | 58.1 |
| Barley | - | 12.00 | - |
| Wheat bran | - | 10.00 | 4.00 |
| Soybean meal | 23.00 | 11.00 | 15.00 |
| Rapeseed cake | - | - | 3.00 |
| DDGS corn | - | - | 7.00 |
| Dried alfalfa | - | - | 2.00 |
| Mineral–vitamin premix 1,2 | 0.50 1 | 0.50 1 | 1.00 2 |
| Limestone | 1.30 | 1.55 | 8.60 |
| Monocalcium phosphate | 1.80 | 1.15 | 1.00 |
| NaCl | 0.35 | 0.35 | 0.25 |
| DL-Methionine | 0.22 | 0.13 | 0.05 |
| Lysine | 0.18 | 0.14 | - |
| Nutritive value per kg | |||
| Crude protein (%) | 20.0 | 15.0 | 15.8 |
| Metabolisable energy (MJ) | 11.7 | 11.3 | 11.2 |
| Lysine (g) | 10.0 | 7.0 | 7.0 |
| Methionine (g) | 3.10 | 2.8 | 3.3 |
| Calcium (g) | 9.5 | 8.5 | 34.1 |
| Phosphorus (g) | 4.5 | 4.2 | 3.4 |
| Item | Group | SEM | ||
|---|---|---|---|---|
| H-22 | S-66 | R-11 | ||
| TI (s) | ||||
| 1 week | 430.70 Aax | 188.50 Bx | 206.70 bx | 39.10 |
| 64-week | 125.90 Ay | 21.70 By | 42.00 By | 11.04 |
| Heterophils (%) | ||||
| 1 week | 55.80 | 62.30 | 64.10 | 1.62 |
| 64-week | 37.30 a | 30.10 b | 28.10 b | 1.56 |
| Lymphocytes (%) | ||||
| 1 week | 36.60 a | 29.70 ab | 27.80 b | 1.60 |
| 64-week | 54.80 a | 62.40 ab | 64.50 b | 1.68 |
| H:L | ||||
| 1 week | 1.72 ax | 2.29 abx | 2.47 bx | 0.16 |
| 64-week | 0.73 ay | 0.45 by | 0.45 by | 0.05 |
| Corticosterone (ng/mL) | ||||
| 1 week | 45.58 ax | 30.24 abx | 18.88 b | 4.45 |
| 64-week | 5.54 y | 3.32 y | 5.75 | 0.66 |
| Adrenaline (pq/mL) | ||||
| 1 week | 473.73 | 562.20 | 209.87 | 87.75 |
| 64-week | 216.20 | 136.27 | 177.40 | 44.11 |
| Noradrenaline (pq/mL) | ||||
| 1 week | 6550.67 Ax | 4765.33 ax | 1862.27 Bb | 643.55 |
| 64-week | 1058.27 y | 755.51 y | 1304.67 | 146.63 |
| Serotonin (ng/mL) | ||||
| 1 week | 51.17 | 41.78 | 16.67 | 8.05 |
| 64-week | 58.07 | 54.31 | 64.83 | 11.19 |
| Item | Group | SEM | ||
|---|---|---|---|---|
| H-22 | S-66 | R-11 | ||
| Aggressive | ||||
| 1 week | 3.08 AX | 2.08 BX | 1.59 CX | 0.22 |
| 64-week | 2.23 AY | 1.04 BY | 0.98 CY | 0.20 |
| Self-pecking | ||||
| 1 week | 3.81 AaX | 3.08 Ab | 2.45 BX | 0.20 |
| 64-week | 8.83 AY | 3.06 B | 1.23 CY | 1.15 |
| Pecking and pulling each other’s feathers | ||||
| 1 week | 5.08 A | 2.45 BX | 1.54 Cx | 0.53 |
| 64-week | 5.07 A | 1.95 BY | 1.49 Cy | 0.56 |
| Item | Group | SEM | ||
|---|---|---|---|---|
| H-22 | S-66 | R-11 | ||
| Plumage condition (0–5 pts) * | ||||
| Neck * | 1.1 A | 0 B | 0 B | 0.18 |
| Back * | 1.2 AC | 0 B | 1.1 C | 0.19 |
| Belly * | 1.9 A | 1.1 B | 0 C | 0.28 |
| Rump * | 1.7 A | 0 B | 1.1 C | 0.25 |
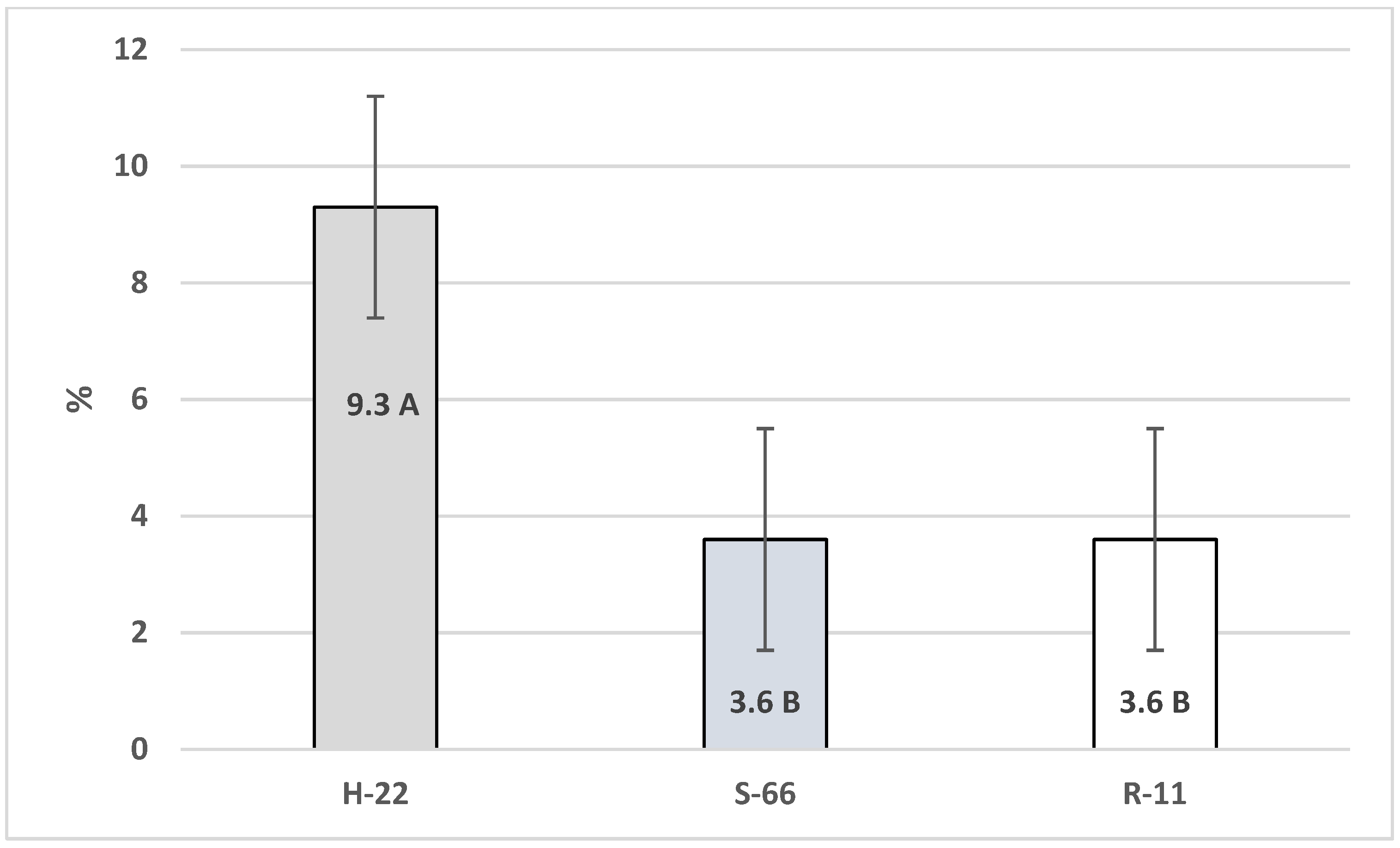
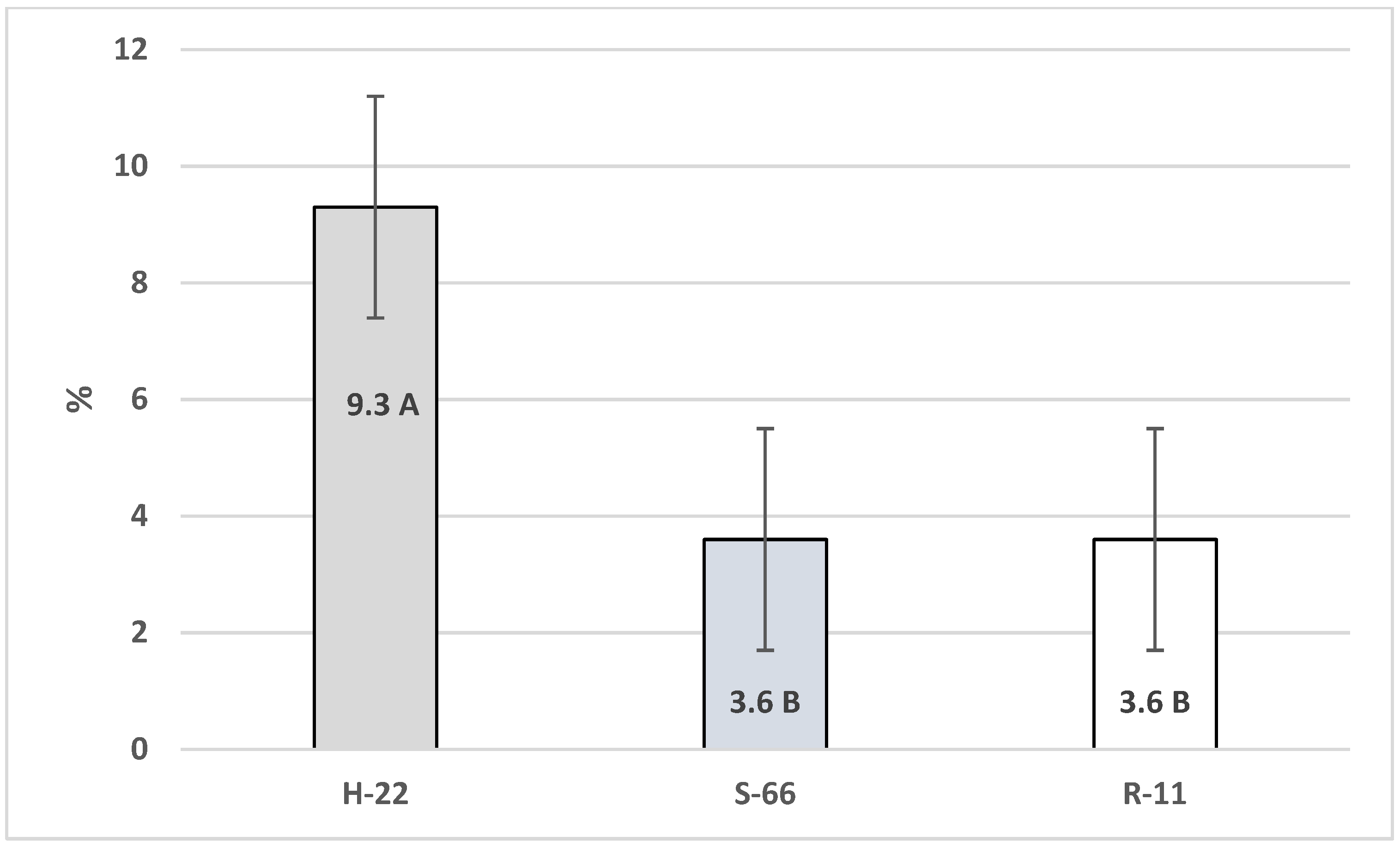
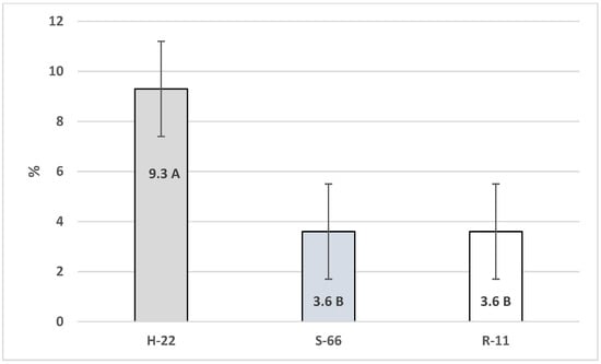
| Overall feather condition ** | 7.40 a | 1.15 b | 2.23 b | 0.21 |
Disclaimer/Publisher’s Note: The statements, opinions and data contained in all publications are solely those of the individual author(s) and contributor(s) and not of MDPI and/or the editor(s). MDPI and/or the editor(s) disclaim responsibility for any injury to people or property resulting from any ideas, methods, instructions or products referred to in the content. |
© 2025 by the authors. Licensee MDPI, Basel, Switzerland. This article is an open access article distributed under the terms and conditions of the Creative Commons Attribution (CC BY) license (https://creativecommons.org/licenses/by/4.0/).
Share and Cite
Skomorucha, I.; Sosnówka-Czajka, E. The Effects of Origin on the Formation of Stress Parameters and Selected Behaviour of Hens. Agriculture 2025, 15, 95. https://doi.org/10.3390/agriculture15010095
Skomorucha I, Sosnówka-Czajka E. The Effects of Origin on the Formation of Stress Parameters and Selected Behaviour of Hens. Agriculture. 2025; 15(1):95. https://doi.org/10.3390/agriculture15010095
Chicago/Turabian StyleSkomorucha, Iwona, and Ewa Sosnówka-Czajka. 2025. "The Effects of Origin on the Formation of Stress Parameters and Selected Behaviour of Hens" Agriculture 15, no. 1: 95. https://doi.org/10.3390/agriculture15010095
APA StyleSkomorucha, I., & Sosnówka-Czajka, E. (2025). The Effects of Origin on the Formation of Stress Parameters and Selected Behaviour of Hens. Agriculture, 15(1), 95. https://doi.org/10.3390/agriculture15010095

