Mulching Practice Regulates the Soil Hydrothermal Regime to Improve Crop Productivity in the Rainfed Agroecosystem of the Loess Plateau in China
Abstract
1. Introduction
2. Materials and Methods
2.1. Site Description
2.2. Experimental Design and Field Management
2.3. Measurements and Methods
2.3.1. Measurement of Soil Hydrothermal Status
2.3.2. Measurement of Dry Matter Accumulation and Instantaneous Growth Rate
2.3.3. Yield and Its Components
2.3.4. Economic Benefits Analysis
2.4. Statistical Analysis
3. Results
3.1. Yield and Its Components
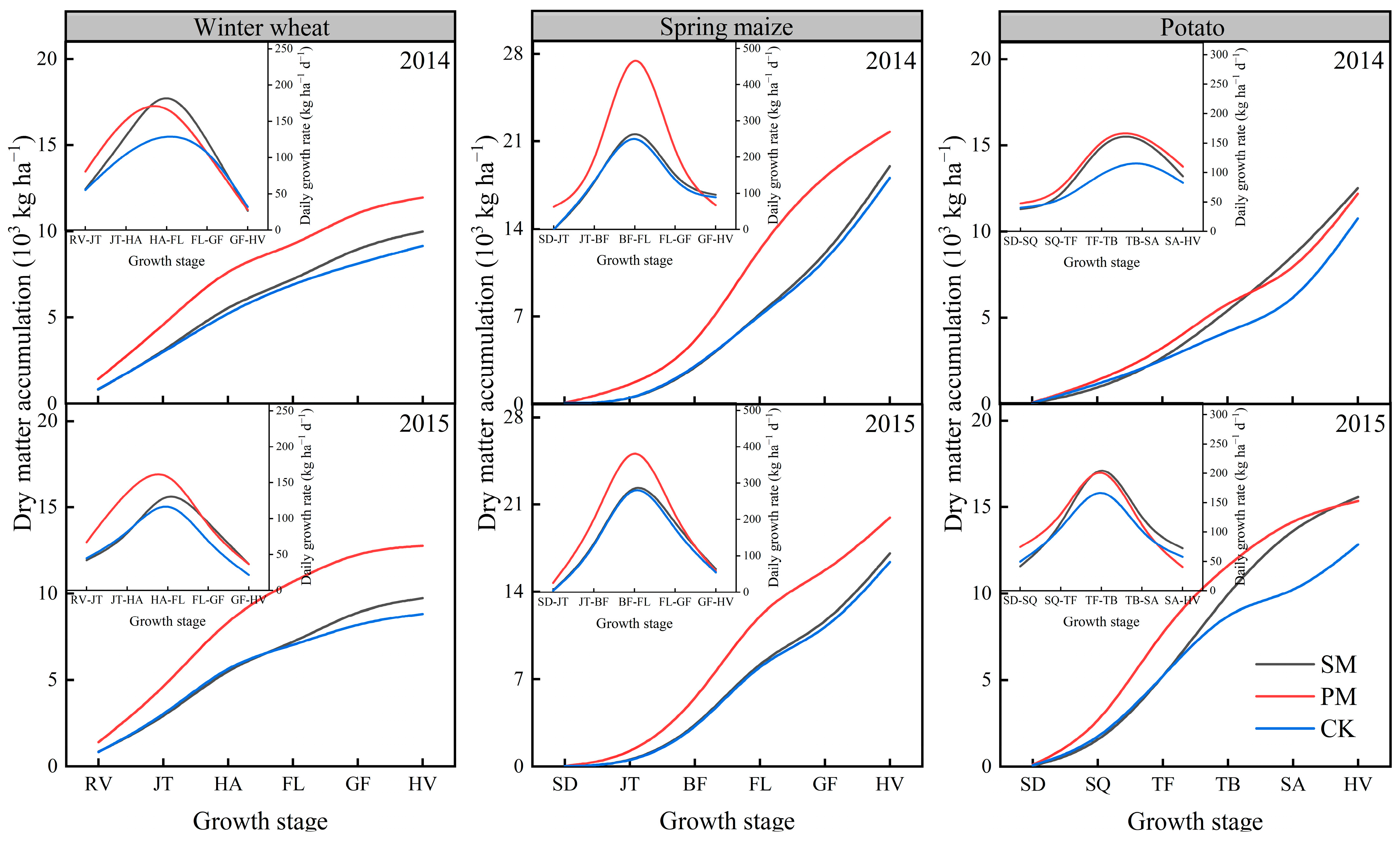
3.2. Dry Matter Accumulation and Daily Growth Rate
3.3. Soil Hydrothermal Status
3.3.1. Dynamics of Soil Water Content
3.3.2. Dynamics of Soil Temperature
3.4. Water Consumption and Water Use Efficiency
3.5. Economic Performance Analysis
3.6. Performance of Different Mulching Practices for Selected Parameters
4. Discussion
4.1. Effects of Mulching Practice on Soil Hydrothermal Environment and Water Use
4.2. Effects of Mulching Practice on Dry Matter Accumulation and Daily Growth Rate
4.3. Effects of Mulching Practice on Crop Yield and Water Use Efficiency
4.4. Economic Benefits and Application Value of Different Mulching Practices
5. Conclusions
Author Contributions
Funding
Institutional Review Board Statement
Data Availability Statement
Conflicts of Interest
References
- Zhang, Y.; Yin, J.; Guo, Z.; Li, J.; Wang, R. Simulation of soil water balance and crop productivity of long-term continuous maize cropping under high planting density in rainfed agroecosystems. Agric. For. Meteorol. 2022, 312, 108740. [Google Scholar] [CrossRef]
- Dong, Q.; Yang, Y.; Yu, K.; Feng, H. Effects of straw mulching and plastic film mulching on improving soil organic carbon and nitrogen fractions, crop yield and water use efficiency in the Loess Plateau, China. Agric. Water Manag. 2018, 201, 133–143. [Google Scholar] [CrossRef]
- Chen, Y.; Chai, S.; Tian, H.; Chai, Y.; Li, Y.; Chang, L.; Cheng, H. Straw strips mulch on furrows improves water use efficiency and yield of potato in a rainfed semiarid area. Agric. Water Manag. 2019, 211, 142–151. [Google Scholar] [CrossRef]
- Wang, F.; Wu, X.; Shock, C.C.; Chu, L.; Gu, X.; Xue, X. Effects of drip irrigation regimes on potato tuber yield and quality under plastic mulch in arid Northwestern China. Field Crops Res. 2011, 122, 78–84. [Google Scholar] [CrossRef]
- Yu, Y.; Turner, N.C.; Gong, Y.; Li, F.; Fang, C.; Ge, L.; Ye, J. Benefits and limitations to straw-and plastic-film mulch on maize yield and water use efficiency: A meta-analysis across hydrothermal gradients. Eur. J. Agron. 2018, 99, 138–147. [Google Scholar] [CrossRef]
- Ren, X.; Jia, Z.; Chen, X. Rainfall concentration for increasing corn production under semiarid climate. Agric. Water Manag. 2008, 95, 1293–1302. [Google Scholar] [CrossRef]
- Mo, F.; Wang, J.; Zhou, H.; Luo, C.; Zhang, X.; Li, X.; Li, F.; Xiong, L.; Kavagi, L.; Nguluu, S.N.; et al. Ridge-furrow plastic-mulching with balanced fertilization in rainfed maize (Zea mays L.): An adaptive management in east African Plateau. Agric. For. Meteorol. 2017, 236, 100–112. [Google Scholar] [CrossRef]
- Gholamhoseini, M.; Dolatabadian, A.; Habibzadeh, F. Ridge-furrow planting system and wheat straw mulching effects on dryland sunflower yield, soil temperature, and moisture. Agron. J. 2019, 111, 3383–3392. [Google Scholar] [CrossRef]
- El-Beltagi, H.S.; Basit, A.; Mohamed, H.I.; Ali, I.; Ullah, S.; Kamel, E.A.R.; Shalaby, T.A.; Ramadan, K.M.A.; Alkhateeb, A.A.; Ghazzawy, H.S. Mulching as a sustainable water and soil saving practice in agriculture: A review. Agronomy 2022, 12, 1881. [Google Scholar] [CrossRef]
- Kasirajan, S.; Ngouajio, M. Polyethylene and biodegradable mulches for agricultural applications: A review. Agron. Sustain. Dev. 2012, 32, 501–529. [Google Scholar] [CrossRef]
- Bu, L.; Liu, J.; Zhu, L.; Luo, S.; Chen, X.; Li, S.; Lee Hill, R.; Zhao, Y. The effects of mulching on maize growth, yield and water use in a semi-arid region. Agric. Water Manag. 2013, 123, 71–78. [Google Scholar] [CrossRef]
- Kader, M.A.; Senge, M.; Mojid, M.A.; Ito, K. Recent advances in mulching materials and methods for modifying soil environment. Soil Tillage Res. 2017, 168, 155–166. [Google Scholar] [CrossRef]
- Ding, D.; Feng, H.; Zhao, Y.; Hill, R.L.; Yan, H.; Chen, H.; Hou, H.; Chu, X.; Liu, J.; Wang, N.; et al. Effects of continuous plastic mulching on crop growth in a winter wheat-summer maize rotation system on the Loess Plateau of China. Agric. For. Meteorol. 2019, 271, 385–397. [Google Scholar] [CrossRef]
- Huang, T.; Wu, Q.; Yuan, Y.; Zhang, X.; Sun, R.; Hao, R.; Yang, X.; Li, C.; Qin, X.; Song, F.; et al. Effects of plastic film mulching on yield, water use efficiency, and nitrogen use efficiency of different crops in China: A meta-analysis. Field Crops Res. 2024, 312, 109407. [Google Scholar] [CrossRef]
- Li, Y.; Chai, Y.; Ma, J.; Li, R.; Cheng, H.; Chang, L.; Chai, S. Straw strip mulching in a semiarid rainfed agroecosystem achieves carbon sequestration and emission reduction from winter wheat fields. Agric. Ecosyst. Environ. 2022, 334, 107990. [Google Scholar] [CrossRef]
- Gao, H.; Yan, C.; Liu, Q.; Ding, W.; Chen, B.; Li, Z. Effects of plastic mulching and plastic residue on agricultural production: A meta-analysis. Sci. Total Environ. 2019, 651, 484–492. [Google Scholar] [CrossRef] [PubMed]
- Li, R.; Chai, S.; Chai, Y.; Li, Y.; Lan, X.; Ma, J.; Cheng, H.; Chang, L. Mulching optimizes water consumption characteristics and improves crop water productivity on the semi-arid Loess Plateau of China. Agric. Water Manag. 2021, 254, 106965. [Google Scholar] [CrossRef]
- Bhatt, R.; Khera, K.L. Effect of tillage and mode of straw mulch application on soil erosion in the submontaneous tract of Punjab, India. Soil Tillage Res. 2006, 88, 107–115. [Google Scholar] [CrossRef]
- Akhtar, K.; Wang, W.; Khan, A.; Ren, G.; Afridi, M.Z.; Feng, Y.; Yang, G. Wheat straw mulching offset soil moisture deficient for improving physiological and growth performance of summer sown soybean. Agric. Water Manag. 2019, 211, 16–25. [Google Scholar] [CrossRef]
- Chai, Y.; Chai, Q.; Li, R.; Li, Y.; Yang, C.; Cheng, H.; Chang, L.; Chai, S. Straw strip mulching in a semiarid rainfed agroecosystem achieves winter wheat yields similar to those of full plastic mulching by optimizing the soil hydrothermal regime. Crop J. 2022, 10, 879–892. [Google Scholar] [CrossRef]
- Abrantes, J.R.C.B.; Prats, S.A.; Keizer, J.J.; de Lima, J.L.M.P. Effectiveness of the application of rice straw mulching strips in reducing runoff and soil loss: Laboratory soil flume experiments under simulated rainfall. Soil Tillage Res. 2018, 180, 238–249. [Google Scholar] [CrossRef]
- Ma, J.; Chang, L.; Li, Y.; Lan, X.; Ji, W.; Zhang, J.; Han, F.; Cheng, H.; Chai, Y.; Chai, S. Straw strip mulch improves soil moisture similar to plastic film mulch but with a higher net income. Agric. Ecosyst. Environ. 2024, 362, 108855. [Google Scholar] [CrossRef]
- Islam, M.U.; Guo, Z.; Jiang, F.; Peng, X. Does straw return increase crop yield in the wheat-maize cropping system in China? A meta-analysis. Field Crops Res. 2022, 279, 108447. [Google Scholar] [CrossRef]
- Chang, L.; Han, F.; Chai, S.; Cheng, H.; Yang, D.; Chen, Y. Straw strip mulching affects soil moisture and temperature for potato yield in semiarid regions. Agron. J. 2020, 112, 1126–1139. [Google Scholar] [CrossRef]
- Qin, Y.; Chai, Y.; Li, R.; Li, Y.; Ma, J.; Cheng, H.; Chang, L.; Chai, S. Evaluation of straw and plastic film mulching on wheat production: A meta-analysis in Loess Plateau of China. Field Crops Res. 2022, 275, 108333. [Google Scholar] [CrossRef]
- Chai, Y.; Chai, Q.; Han, F.; Li, Y.; Ma, J.; Li, R.; Cheng, H.; Chang, L.; Chai, S. Increasing yields while reducing soil nutrient accumulation by straw strip mulching in the dryland wheat (Triticum aestivum L.) cropping system of Northwest China. Agric. Ecosyst. Environ. 2022, 326, 107797. [Google Scholar] [CrossRef]
- Peng, Z.; Wang, L.; Xie, J.; Li, L.; Coulter, J.A.; Zhang, R.; Luo, Z.; Cai, L.; Carberry, P.; Whitbread, A. Conservation tillage increases yield and precipitation use efficiency of wheat on the semi-arid Loess Plateau of China. Agric. Water Manag. 2020, 231, 106024. [Google Scholar] [CrossRef]
- Dong, N.; Tang, M.; Zhang, W.; Bao, X.; Wang, Y.; Christie, P.; Li, L. Temporal differentiation of crop growth as one of the drivers of intercropping yield advantage. Sci. Rep. 2018, 8, 3110. [Google Scholar] [CrossRef]
- Zhang, D.; Sun, Z.; Feng, L.; Bai, W.; Yang, N.; Zhang, Z.; Du, G.; Feng, C.; Cai, Q.; Wang, Q.; et al. Maize plant density affects yield, growth and source-sink relationship of crops in maize/peanut intercropping. Field Crops Res. 2020, 257, 107926. [Google Scholar] [CrossRef]
- Sun, T.; Feng, X.; Lal, R.; Cao, T.; Guo, J.; Deng, A.; Zheng, C.; Zhang, J.; Song, Z.; Zhang, W. Crop diversification practice faces a tradeoff between increasing productivity and reducing carbon footprints. Agric. Ecosyst. Environ. 2021, 321, 107614. [Google Scholar] [CrossRef]
- Ladha, J.K.; Rao, A.N.; Raman, A.K.; Padre, A.T.; Dobermann, A.; Gathala, M.; Kumar, V.; Saharawat, Y.; Sharma, S.; Piepho, H.P.; et al. Agronomic improvements can make future cereal systems in South Asia far more productive and result in a lower environmental footprint. Glob. Change Biol. 2015, 22, 1054–1074. [Google Scholar] [CrossRef] [PubMed]
- Jiménez, M.N.; Pinto, J.R.; Ripoll, M.A.; Sánchez-Miranda, A.; Navarro, F.B. Impact of straw and rock-fragment mulches on soil moisture and early growth of holm oaks in a semiarid area. Catena 2017, 152, 198–206. [Google Scholar] [CrossRef]
- Li, Y.; Chai, S.; Chai, Y.; Li, R.; Lan, X.; Ma, J.; Cheng, H.; Chang, L. Effects of mulching on soil temperature and yield of winter wheat in the semiarid rainfed area. Field Crops Res. 2021, 271, 108244. [Google Scholar] [CrossRef]
- Li, Q.; Li, H.; Zhang, L.; Zhang, S.; Chen, Y. Mulching improves yield and water-use efficiency of potato cropping in China: A meta-analysis. Field Crops Res. 2018, 221, 50–60. [Google Scholar] [CrossRef]
- Zhang, Y.; Wang, J.; Gong, S.; Xu, D.; Mo, Y.; Zhang, B. Straw mulching improves soil water content, increases flag leaf photosynthetic parameters and maintaines the yield of winter wheat with different irrigation amounts. Agric. Water Manag. 2021, 249, 106809. [Google Scholar] [CrossRef]
- Lin, W.; Liu, W.; Xue, Q. Spring maize yield, soil water use and water use efficiency under plastic film and straw mulches in the Loess Plateau. Sci. Rep. 2016, 6, 38995. [Google Scholar] [CrossRef]
- Friero, I.; Larriba, E.; Martínez-Melgarejo, P.A.; Justamante, M.S.; Alarcón, M.V.; Albacete, A.; Salguero, J.; Pérez-Pérez, J.M. Transcriptomic and hormonal analysis of the roots of maize seedlings grown hydroponically at low temperature. Plant Sci. 2023, 326, 111525. [Google Scholar] [CrossRef]
- Qin, R.; Zhang, F.; Yu, C.; Zhang, Q.; Qi, J.; Li, F. Contributions made by rain-fed potato with mulching to food security in China. Eur. J. Agron. 2022, 133, 126435. [Google Scholar] [CrossRef]
- Wang, J.; Ghimire, R.; Fu, X.; Sainju, U.M.; Liu, W. Straw mulching increases precipitation storage rather than water use efficiency and dryland winter wheat yield. Agric. Water Manag. 2018, 206, 95–101. [Google Scholar] [CrossRef]
- Ren, A.; Zhou, R.; Mo, F.; Liu, S.; Li, J.-Y.; Chen, Y.; Zhao, L.; Xiong, Y. Soil water balance dynamics under plastic mulching in dryland rainfed agroecosystem across the Loess Plateau. Agric. Ecosyst. Environ. 2021, 312, 107354. [Google Scholar] [CrossRef]










| Factor | Winter Wheat | Spring Maize | Potato | ||||||||||
|---|---|---|---|---|---|---|---|---|---|---|---|---|---|
| KPM (N 105) | KW (g 1000 seed−1) | GY (kg ha−1) | HI (%) | KPM (N) | KW (g 100 seed−1) | GY (kg ha−1) | HI (%) | TPP (N) | STW (g) | FTY (kg ha−1) | HI (%) | ||
| Mulching (M) | SM | 1098 b | 40.4 ab | 3902 b | 44.8 a | 3104 ab | 23.6 b | 5805 b | 41.0 b | 5.5 a | 736 a | 40,820 a | 68.1 a |
| PM | 1334 a | 41.4 a | 4451 a | 44.1 a | 3166 a | 27.6 a | 7093 a | 42.8 a | 5.8 a | 682 b | 37,801 a | 67.1ab | |
| CK | 930 c | 39.6 b | 3503 c | 45.2 a | 3082 b | 23.7 b | 5704 b | 40.5 b | 6.2 a | 602 c | 33,187 b | 66.7 b | |
| Year (Y) | 2014 | 1023 b | 42.2 a | 6452 b | 42.2 a | 3069 b | 25.3 a | 6017 b | 41.9 a | 5.4 b | 583 b | 32,258 b | 62.3 b |
| 2015 | 1218 a | 38.8 b | 6819 a | 41.2 a | 3165 a | 24.6 b | 6384 a | 41.0 a | 6.2 a | 763 a | 42,281 a | 72.2 a | |
| Source of variation | |||||||||||||
| M | *** | *** | ** | ns | *** | *** | *** | * | ns | *** | *** | *** | |
| Y | *** | ** | *** | ns | * | *** | *** | ns | ns | *** | *** | ** | |
| M × Y | ns | ** | ns | ns | ns | ns | ns | ns | ns | *** | *** | *** | |
| Factor | Winter Wheat | Spring Maize | Potato | ||||||||||
|---|---|---|---|---|---|---|---|---|---|---|---|---|---|
| SWSS (mm) | SWSH (mm) | ET (mm) | WUE (kg ha−1 mm−1) | SWSs (mm) | SWSm (mm) | ET (mm) | WUE (kg ha−1 mm−1) | SWSs (mm) | SWSm (mm) | ET (mm) | WUE (kg ha−1 mm−1) | ||
| Mulching (M) | SM | 432 a | 247 a | 332 b | 11.7 b | 438 b | 382 a | 339 b | 17.2 b | 451 a | 393 a | 334 ab | 28.3 a |
| PM | 431 a | 236 b | 344 a | 13.0 a | 452 a | 384 a | 351 a | 20.2 a | 454 a | 378 b | 349 a | 26.9 a | |
| CK | 427 a | 248 a | 326 b | 10.8 c | 431 b | 375 a | 339 b | 16.9 b | 427 b | 377 b | 326 b | 22.8 b | |
| Year (Y) | 2014 | 433 a | 239 b | 327 b | 11.7 a | 449 a | 389 a | 341 a | 17.6 b | 473 a | 420 a | 322 b | 23.5 b |
| 2015 | 427 a | 248 a | 341 a | 12.0 a | 432 b | 371 b | 345 a | 18.5 a | 415 b | 345 b | 351 a | 28.5 a | |
| Source of variation | |||||||||||||
| M | ns | ** | ** | *** | * | ns | * | * | *** | *** | ** | *** | |
| Y | ns | * | * | ns | * | * | ns | ** | *** | * | ** | ** | |
| M × Y | ns | ns | ns | ns | ns | ns | ns | ns | *** | * | ns | * | |
| Cropping System | Year | Treatment | Total Input (¥ ha−1) | Total Income (¥ ha−1) | Net Income (¥ ha−1) | Output–Input Ratio |
|---|---|---|---|---|---|---|
| Winter wheat | 2014 | SM | 7200 | 8807 b | 1727 ab | 1.24 b |
| PM | 9400 | 10,464 a | 1184 b | 1.13 c | ||
| CK | 6000 | 8247 b | 2367 a | 1.40 a | ||
| 2015 | SM | 7200 | 9920 b | 2840 a | 1.40 b | |
| PM | 9400 | 10,901 a | 1621 c | 1.17 c | ||
| CK | 6000 | 8567 c | 2687 b | 1.46 a | ||
| Spring maize | 2014 | SM | 7290 | 10,065 b | 2895 b | 1.40 ab |
| PM | 9490 | 12,457 a | 3087 ab | 1.33 b | ||
| CK | 6090 | 9971 b | 4001 a | 1.67 a | ||
| 2015 | SM | 7290 | 10,834 b | 3664 b | 1.51 ab | |
| PM | 9490 | 13,077 a | 3707 b | 1.40 b | ||
| CK | 6090 | 10,564 b | 4594 a | 1.77 a | ||
| Potato | 2014 | SM | 12,540 | 34,671 a | 22,251 a | 2.79 a |
| PM | 18,840 | 31,725 b | 13,005 b | 1.69 b | ||
| CK | 11,340 | 31,383 b | 20,163 a | 2.80 a | ||
| 2015 | SM | 12,540 | 46,970 a | 34,550 a | 3.78 a | |
| PM | 18,840 | 44,883 a | 26,163 b | 2.40 b | ||
| CK | 11,340 | 34,991 b | 23,771 b | 3.12 a | ||
| Source of variation | ||||||
| Winter wheat | M | ** | ** | *** | ||
| Y | *** | ** | *** | |||
| M× | ns | ns | * | |||
| Spring maize | M | *** | *** | *** | ||
| Y | *** | *** | *** | |||
| M × Y | ns | ns | ns | |||
| Potato | M | *** | *** | *** | ||
| Y | *** | *** | *** | |||
| M × Y | *** | *** | *** | |||
Disclaimer/Publisher’s Note: The statements, opinions and data contained in all publications are solely those of the individual author(s) and contributor(s) and not of MDPI and/or the editor(s). MDPI and/or the editor(s) disclaim responsibility for any injury to people or property resulting from any ideas, methods, instructions or products referred to in the content. |
© 2024 by the authors. Licensee MDPI, Basel, Switzerland. This article is an open access article distributed under the terms and conditions of the Creative Commons Attribution (CC BY) license (https://creativecommons.org/licenses/by/4.0/).
Share and Cite
Han, F.; Zhang, Y.; Chang, L.; Chai, Y.; Bao, Z.; Cheng, H.; Chai, S.; Chang, F.; Chang, G.; Yang, R. Mulching Practice Regulates the Soil Hydrothermal Regime to Improve Crop Productivity in the Rainfed Agroecosystem of the Loess Plateau in China. Agriculture 2025, 15, 76. https://doi.org/10.3390/agriculture15010076
Han F, Zhang Y, Chang L, Chai Y, Bao Z, Cheng H, Chai S, Chang F, Chang G, Yang R. Mulching Practice Regulates the Soil Hydrothermal Regime to Improve Crop Productivity in the Rainfed Agroecosystem of the Loess Plateau in China. Agriculture. 2025; 15(1):76. https://doi.org/10.3390/agriculture15010076
Chicago/Turabian StyleHan, Fanxiang, Yuanhong Zhang, Lei Chang, Yuwei Chai, Zhengyu Bao, Hongbo Cheng, Shouxi Chai, Fangguo Chang, Guohua Chang, and Ruiqi Yang. 2025. "Mulching Practice Regulates the Soil Hydrothermal Regime to Improve Crop Productivity in the Rainfed Agroecosystem of the Loess Plateau in China" Agriculture 15, no. 1: 76. https://doi.org/10.3390/agriculture15010076
APA StyleHan, F., Zhang, Y., Chang, L., Chai, Y., Bao, Z., Cheng, H., Chai, S., Chang, F., Chang, G., & Yang, R. (2025). Mulching Practice Regulates the Soil Hydrothermal Regime to Improve Crop Productivity in the Rainfed Agroecosystem of the Loess Plateau in China. Agriculture, 15(1), 76. https://doi.org/10.3390/agriculture15010076
