Development of a Dual-Sided Soil-Clearing Machine with Scraping, Rotating, and Vibrating Components for Winemaking Grapes
Abstract
1. Introduction
2. Materials and Methods
2.1. Operational and Agronomic Requirements
2.2. Overall Structure of the Machine
2.3. Working Principle
2.4. Main Parameters
2.5. Rotary Soil Component Design
2.6. Scraping Soil Component Design
2.7. Soil Vibration Component Design
2.7.1. Structural Design
2.7.2. Kinematic Analysis
3. Results and Discussion
3.1. Discrete Element Modeling
3.1.1. Construction of the Grape-Buried Earth Ridge Model
3.1.2. Establishment of the Geometric Model for the Soil Removal Device
3.1.3. Parameter Selection and Settings
3.2. Soil Removal Device Simulation Experiment
3.2.1. Simulation Process
3.2.2. Evaluation Indicators
3.2.3. Simulation Results Analysis
3.3. Orthogonal Optimization Experiment
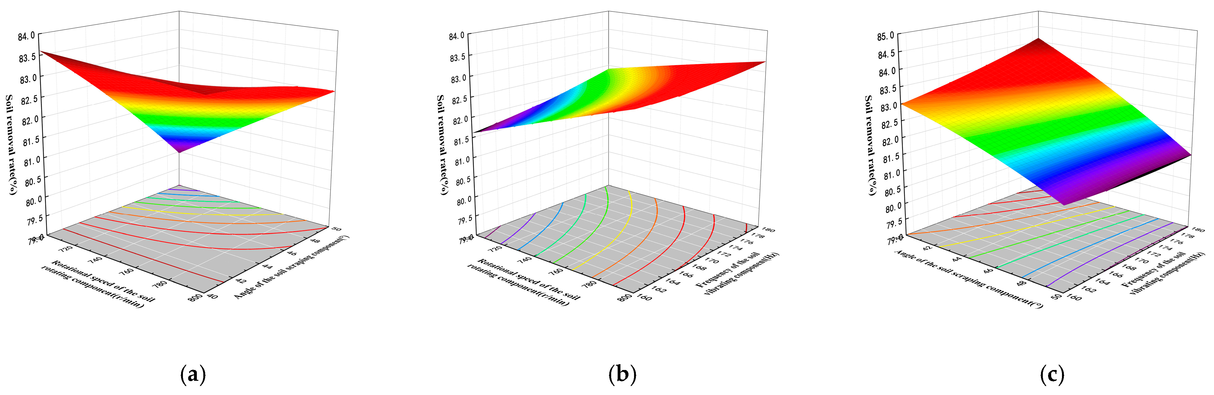
3.4. Response Surface Analysis
3.5. Field Experiment
3.5.1. Experimental Conditions and Materials
3.5.2. Experimental Methods
3.5.3. Experimental Results and Analysis
4. Conclusions
- (1)
- A combined scraping-rotating-vibrating type double-sided soil removal and vine lifting machine for wine grapes was designed. The machine consists mainly of a gantry frame, power transmission components, crawler walking device, soil scraping components, rotary tillage components, and vibrating tillage components. It is based on a cross-operation structure, with the working device connected to a hydraulic lifting mechanism, enabling simultaneous removal of the soil covering on both sides and above the grapevine. As the machine moves forward, the soil is expelled to the sides of the working device, meeting the operational requirement of removing soil from around the vine in a single pass. This design improves operational efficiency, with simple structural components and reliable performance.
- (2)
- Using EDEM software, a discrete element analysis simulation environment for soil removal was established. Combined with Design-Expert orthogonal experimental software, the experiment factors included the rotational speed of the rotary tillage component, the angle of the soil scraper, and the frequency of the vibrating tillage component, with the soil removal rate as the experimental indicator. An orthogonal simulation experiment was conducted under three factors and three levels with different parameter combinations. The significance of the P-values for the non-fitting terms showed that the main factors influencing the soil removal effect, in descending order, were the angle of the soil scraper, the rotational speed of the rotary tillage component, and the frequency of the vibrating tillage component. According to the Numerical Analysis module, the optimal soil removal efficiency (K value) of 83.9% was achieved when the rotary tillage component speed was 765.3 r/min, the scraper angle was 40.6°, and the vibrating component frequency was 179.95 Hz.
- (3)
- A physical prototype of the machine was manufactured based on the experimental parameters obtained from the virtual software analysis. Field trials were conducted with the machine, and the actual soil removal rate was calculated by measuring the soil mass before and after the operation. A comparison with the soil removal rate from the orthogonal experiment showed a deviation of 7.09%, which is within the acceptable error range. Additionally, the field trials visually confirmed that after the soil removal operation, the grapevines were directly exposed without the need for manual rework, demonstrating that the machine performs well in soil removal and meets the actual requirements for soil removal operations.
Author Contributions
Funding
Institutional Review Board Statement
Data Availability Statement
Acknowledgments
Conflicts of Interest
References
- Wan, N.J.; Yang, B.H.; Yin, D.Z.; Ma, T.T.; Fang, Y.L.; Sun, X.Y. Overwintering covered with soil or avoiding burial of wine grapes under cold stress: Chinese wine industry’s past and future, challenges and opportunities. J. Stress Biol. 2023, 3, 40. [Google Scholar] [CrossRef] [PubMed]
- Song, L.; Zhou, Y.; He, L.; Han, D.L.; Zhang, J.; Zhu, H.; Wang, Z.M.; Lu, Y. Current research situation and prospect of grapevine picking up and soil cleaning mechanized technology. J. Xinjiang Agric. Mech. 2023, 5, 25–28. [Google Scholar] [CrossRef]
- Wang, T.X.; Yang, J.H.; Su, Y.; Ju, Y.L.; Pang, Y.L.; Liu, W.Z. Application Status of Grapevine Burying and Soil Clearing Machinery in China. J. Sino-Overseas Grapevine Wine 2023, 6, 117–123. [Google Scholar] [CrossRef]
- Yuan, Q.C.; Xu, L.M.; Ma, S.; Yu, C.C.; Duan, Z.Z.; Kan, J.J. Present Situation and Thinking of Mechanization of Winter Burying Soil and Spring Cleaning Soil of Grape in Northern China. J. Sino-Overseas Grapevine Wine 2017, 6, 66–67. [Google Scholar] [CrossRef]
- Ma, S.; Xu, L.M.; Yuan, Q.C.; Kan, J.J.; Niu, C.; Wang, S.S.; Yuan, X.T.; Chen, C.; Zeng, J.; Duan, Z.Z. Development Status and Countermeasures of Grape Mechanized Soil Clearing. J. Agric. Mech. Res. 2017, 6, 66–67. [Google Scholar] [CrossRef]
- Thiollet-Scholtus, M.; Muller, A.; Abidon, C.; Grignion, J.; Keichinger, O.; Koller, R.; Langenfeld, A.; Ley, L.; Nassr, N.; Rabolin-Meinrad, C.; et al. Multidimensional assessment demonstrates sustainability of new low-input viticulture systems in north-eastern France. J. Eur. J. Agron. 2021, 123, 126210. [Google Scholar] [CrossRef]
- Cataldo, E.; Eichmeier, A.; Mattii, G. Effects of Global Warming on Grapevine Berries Phenolic Compounds—A Review. J. Agron. 2023, 13, 2192. [Google Scholar] [CrossRef]
- Ma, S.; Xu, L.M.; Xing, J.J.; Yuan, Q.C.; Yu, C.C.; Duan, Z.Z.; Chen, C.; Zeng, J. Development of unilateral cleaning machine for grapevine buried by soil with rotary impeller. J. Trans. Chin. Soc. Agric. Eng. 2018, 34, 1–10. [Google Scholar] [CrossRef]
- Ma, S.; Xu, L.M.; Yuan, Q.C.; Niu, C.; Wang, S.S.; Yuan, X.T. Development of automatic obstacle-avoiding grapevine cold-proof soil cleaners. J. Trans. Chin. Soc. Agric. Eng. 2020, 36, 1–10. [Google Scholar] [CrossRef]
- Niu, C.; Zeng, J.; Xu, L.M.; Ma, S.; Yan, C.G.; Zhao, S.J. Development of grapevine cold-proof soil clearing machine with a combination type of air-blowing and comb-brush. J. Chin. Agric. Mech. 2022, 43, 47–54. [Google Scholar] [CrossRef]
- Ma, S.; Xu, L.M.; Xu, S.C.; Niu, C.; Yan, C.G.; Tan, H.C. Design and experiment of grapevine cold-proof soil cleaner with combined scraping and brushing. J. Jilin Univ. 2024, 54, 294–312. [Google Scholar] [CrossRef]
- Yang, Q.Z.; Yang, X.Y.; He, M.S.; Zhang, R.Y.; Wen, T.N.; Shi, A.P. Design and experiment of the rotary throwing knife of wine grape cleaning machine. J. Trans. Chin. Soc. Agric. Eng. 2022, 38, 44–51. [Google Scholar] [CrossRef]
- Yang, Q.Z.; He, M.S.; Shi, L.; Zhao, X.Q. Interaction between the scraper of the wine grape cleaning machine and the anti-cold soil. J. Trans. Chin. Soc. Agric. Eng. 2021, 37, 21–30. [Google Scholar] [CrossRef]
- Li, J.M.; Zhang, J.X.; Wang, M.B.; Yang, X.Y.; Wang, Y.C. Design and Experiment of Brush Roll Grapevine Soil Clearing Machine. J. Trans. Chin. Soc. Agric. Mach. 2024, 55, 138–148. [Google Scholar] [CrossRef]
- Wang, Q. Design and Development of a Scraping-Rotating-Brushing Type of Dehilling Machine; Ningxia University: Yinchuan, China, 2022. [Google Scholar] [CrossRef]
- Niu, C.; Xu, L.M.; Ma, S.; Yan, C.G.; Tan, H.C. Design and experiment of the horizontal brush roll soil clearing device for covering soil above the cold-proof cloth of furrow planting grape. J. Trans. Chin. Soc. Agric. Eng. 2021, 37, 301–306. [Google Scholar] [CrossRef]
- Ma, S.; Xu, L.M.; Niu, C.; Yan, C.G.; Zhao, S.J.; Wang, K.; Tan, H.C. A facile arc impeller with layered-staggered structure to clean cold-proof soil on grapes. J. Trans. Chin. Soc. Agric. Eng. 2021, 37, 1–9. [Google Scholar] [CrossRef]
- Li, X.; Yang, F.; Sun, R.; Peng, Z.; Shen, X.; Xu, G. Design of a Gantry Crawler Multifunctional Operation Platform for Wine Grape Cultivation. J. Agric. 2024, 14, 1587. [Google Scholar] [CrossRef]
- Chen, Z.; Hua, G.; Li, S.; Ding, W.; Fang, X.; Wang, Y.; Wang, G.; Wang, J.; Wang, S.; Lan, C.; et al. Agricultural Machinery Design Manual; China Agricultural Science and Technology Press: Beijing, China, 2007; ISBN 9787802333352. [Google Scholar]
- Wang, Q.; Wang, Z.; Zhang, Z.; Zhang, K.; Yao, S.; Zhou, W.; Sun, X.; Wang, J. Design and Test of Bionic Elastic Row Cleaner with Improved Straw Cleaning Performance. J. Agric. 2024, 14, 186. [Google Scholar] [CrossRef]
- Yang, Y.; Liu, J.; Li, J.; Dong, Y.; Li, Y.; Li, X. Symmetric and asymmetric free vibrations of rotating eccentric annular plate. J. Sound Vib. 2024, 576, 118302. [Google Scholar] [CrossRef]
- Jiao, H.; Luo, J.; Tang, A.; Wang, L.; Ma, C.; Li, Y.; Li, C. Design and Testing of the Double-Symmetric Eccentric Exciter for Fruit Tree Vibration Harvest. J. Agric. 2024, 14, 570. [Google Scholar] [CrossRef]
- Chen, Z.; Wu, Z.; Wen, S.; Li, F. Vibration characteristics of eccentric annular plates. J. Thin-Walled Struct. 2023, 191, 111043. [Google Scholar] [CrossRef]
- Zhu, X.; Pan, L.; Sun, Z.; Wan, Y.; Huang, Y.; Choi, J.H. Simulation tool for dozer data acquisition. J. Autom. Constr. 2022, 142, 104522. [Google Scholar] [CrossRef]
- Ma, S.; Xu, L.M.; Yuan, Q.C.; Niu, C.; Zeng, J.; Chen, C.; Wang, S.S.; Yuan, X.T. Calibration of discrete element simulation parameters of grapevine antifreezing soil and its interaction with soil-cleaning components. J. Trans. Chin. Soc. Agric. Eng. 2020, 36, 40–49. [Google Scholar] [CrossRef]
- Shi, L.R.; Zhao, W.Y.; Sun, W. Parameter calibration of soil particles contact model of farmland soil in northwest arid region based on discrete element method. J. Trans. Chin. Soc. Agric. Eng. 2017, 33, 181–187. [Google Scholar] [CrossRef]
- Shi, Y.; Xin, R.S.; Wang, X.; Hu, Z.; David, N.; Ding, W. Numerical simulation and field tests of minimum-tillage planter with straw smashing and strip laying based on EDEM software. J. Comput. Electron. Agric. 2019, 166, 105021. [Google Scholar] [CrossRef]
- Li, Y.H.; Zhao, S.; Yang, L.; Song, Q.; Li, B.G.; Yang, F.Z. Design and Test of High-speed Precision Seeder of Independent Fractionated Soybean Double-row Brush. J. Trans. Chin. Soc. Agric. Mach. 2024, 55, 101–110. [Google Scholar] [CrossRef]
- Chen, S.; An, S.; Kan, Z.; Huang, L.; Meng, H.; Qi, J.; Peng, H. Design and optimization of an airflow-vibration sieving device for the effective cleaning of cyperus esculentus L. harvesting mixture. J. IJABE 2024, 17, 8359. [Google Scholar] [CrossRef]
- GB/T 5262-2008; Agricultural Machinery Testing Conditions-General Rules for Measuring Methods. S. Standards Press China: Beijing, China, 2008.
- DG64/Z001-2020; Special Identification Outline for Grape Vine Lifting Machines. S. Agricultural and Rural Department of Ningxia Hui Autonomous Region: Ningxia, China, 2020.














| Number | Parameter | Numerical Value/Form |
|---|---|---|
| 1 | Appearance size (length × width × height)/mm | 2450 × 2405 × 2514 |
| 2 | total weight/kg | 4500 |
| 3 | power/kW | 148 |
| 4 | Minimum operating speed/(km/h) | ≥1 |
| 6 | Chassis gauge/(mm) | 2200 |
| 7 | Maximum clearance depth/(mm) | 400 |
| 8 | Maximum clearing width/(mm) | 800 |
| 9 | operation mode | dual-sided |
| Materials | Parameters | Values |
|---|---|---|
| Soil | Poisson ratio | 0.4 |
| Shear modulus/Pa | 1 × 106 | |
| Density/(kg m−3) | 1250 | |
| 65Mn | Poisson ratio | 0.3 |
| Shear modulus/Pa | 7.9 × 1010 | |
| Density/(kg.m−3) | 7865 | |
| Rubber | Poisson ratio | 0.4 |
| Shear modulus/Pa | 1 × 108 | |
| Density/(kg.m−3) | 2100 | |
| Soil-soil | Coefficient of restitution | 0.2 |
| Coefficient of static friction | 0.4 | |
| Coefficient of Rolling Friction | 0.3 | |
| Soil-65Mn | Coefficient of restitution | 0.5 |
| Coefficient of static friction | 0.3 | |
| Coefficient of Rolling Friction | 0.1 | |
| Soil-Rubber | Coefficient of restitution | 0.6 |
| Coefficient of static friction | 0.48 | |
| Coefficient of Rolling Friction | 0.045 |
| Coded Value | Experimental Factors | ||
|---|---|---|---|
| Rotating Speed of Rotary Components v/(r/min) | Angle of Scraper Parts θ/(°) | Vibration Soil Component Frequency ƒ/(Hz) | |
| −1 | 700 | 40 | 160 |
| 0 | 750 | 45 | 170 |
| 1 | 800 | 50 | 180 |
| Test No. | Experimental Factors | Clear Soil Rate K/% | ||
|---|---|---|---|---|
| Rotating Speed of Rotary Components v/(r/min) | Angle of Scraper Parts θ/(°) | Vibration Soil Component Frequency ƒ/(Hz) | ||
| 1 | 800 | 45 | 160 | 82.94 |
| 2 | 750 | 45 | 170 | 82.29 |
| 3 | 700 | 45 | 160 | 81.45 |
| 4 | 700 | 45 | 180 | 82.49 |
| 5 | 800 | 45 | 180 | 83.42 |
| 6 | 750 | 50 | 180 | 81.27 |
| 7 | 750 | 45 | 170 | 82.44 |
| 8 | 700 | 40 | 170 | 83.76 |
| 9 | 750 | 50 | 160 | 81.61 |
| 10 | 800 | 40 | 170 | 83.40 |
| 11 | 750 | 40 | 160 | 83.01 |
| 12 | 700 | 50 | 170 | 79.89 |
| 13 | 800 | 50 | 170 | 82.38 |
| 14 | 750 | 45 | 170 | 82.52 |
| 15 | 750 | 45 | 170 | 82.88 |
| 16 | 750 | 45 | 170 | 82.45 |
| 17 | 750 | 40 | 180 | 83.88 |
| Source | Sum of Squares | Degree of Freedom | Mean Square | F-Value | p-Value |
|---|---|---|---|---|---|
| Model | 15.60 | 9 | 1.73 | 28.64 | 0.0001 |
| v | 2.59 | 1 | 2.59 | 42.77 | 0.0003 |
| θ | 9.90 | 1 | 9.90 | 163.64 | <0.0001 |
| ƒ | 0.5253 | 1 | 0.5253 | 8.68 | 0.0215 |
| vθ | 2.03 | 1 | 2.03 | 33.56 | 0.0007 |
| vƒ | 0.0784 | 1 | 0.0784 | 1.30 | 0.2924 |
| θƒ | 0.3660 | 1 | 0.3660 | 6.05 | 0.0435 |
| v2 | 0.0007 | 1 | 0.0007 | 0.0118 | 0.9167 |
| θ² | 0.0891 | 1 | 0.0891 | 1.47 | 0.2642 |
| ƒ² | 0.0218 | 1 | 0.0218 | 0.3607 | 0.5670 |
| Residual | 0.4235 | 7 | 0.0605 | ||
| Lack of fit | 0.2298 | 3 | 0.0766 | 1.58 | 0.3261 |
| Pure error | 0.1937 | 4 | 0.0484 | ||
| Total value | 16.02 | 16 |
| Parameter | Numerical Value/Form |
|---|---|
| Test area/mu | 2 |
| Gradient/° | 1 |
| Soil type | silty loam |
| Soil compaction/(kg/cm3) | 14 |
| Soil moisture content/% | 7.14 |
| Soil ridge shape | trapezium |
| Top width of soil ridge/cm | 40 |
| Soil ridge bottom width/cm | 90 |
| Soil ridge height/cm | 30 |
| Line spacing/cm | 280 |
| Parameter | Test Point 1 | Test Point 2 | Test Point 3 | Test Point 4 | Test Point 5 | Mean Value | Standard Deviation |
|---|---|---|---|---|---|---|---|
| The weight of overlying soil before the operation (kg) | 158.3 | 167.2 | 171.5 | 161.8 | 169.7 | 165.7 | 0.018 |
| Weight of residual soil after operation (kg) | 39.8 | 34.5 | 42.7 | 38.6 | 36.5 | 38.42 | |
| Soil removal rate | 74.86% | 79.37% | 75.10% | 76.14% | 78.49% | 76.81% |
Disclaimer/Publisher’s Note: The statements, opinions and data contained in all publications are solely those of the individual author(s) and contributor(s) and not of MDPI and/or the editor(s). MDPI and/or the editor(s) disclaim responsibility for any injury to people or property resulting from any ideas, methods, instructions or products referred to in the content. |
© 2024 by the authors. Licensee MDPI, Basel, Switzerland. This article is an open access article distributed under the terms and conditions of the Creative Commons Attribution (CC BY) license (https://creativecommons.org/licenses/by/4.0/).
Share and Cite
Li, X.; Yang, F.; Li, B.; Li, Y.; Sun, R.; Peng, Z. Development of a Dual-Sided Soil-Clearing Machine with Scraping, Rotating, and Vibrating Components for Winemaking Grapes. Agriculture 2025, 15, 55. https://doi.org/10.3390/agriculture15010055
Li X, Yang F, Li B, Li Y, Sun R, Peng Z. Development of a Dual-Sided Soil-Clearing Machine with Scraping, Rotating, and Vibrating Components for Winemaking Grapes. Agriculture. 2025; 15(1):55. https://doi.org/10.3390/agriculture15010055
Chicago/Turabian StyleLi, Xiang, Fazhan Yang, Baogang Li, Yuhuan Li, Ruijun Sun, and Zehui Peng. 2025. "Development of a Dual-Sided Soil-Clearing Machine with Scraping, Rotating, and Vibrating Components for Winemaking Grapes" Agriculture 15, no. 1: 55. https://doi.org/10.3390/agriculture15010055
APA StyleLi, X., Yang, F., Li, B., Li, Y., Sun, R., & Peng, Z. (2025). Development of a Dual-Sided Soil-Clearing Machine with Scraping, Rotating, and Vibrating Components for Winemaking Grapes. Agriculture, 15(1), 55. https://doi.org/10.3390/agriculture15010055

