Abstract
Leaf mass per area (LMA) and leaf nitrogen concentration (LNC) are both essential parameters in plant ecology, which can reflect the growth status of plants. The features of LMA and LNC can be captured using spectral reflectance in a remote sensing approach. While the relationships between spectra and leaf trait variance across different species with estimation performance are unclear, the development of assessment and transferable models to predicate LMA and LNC are prevented. Hence, we analyzed the variance of raw spectra and spectral data difference with four pretreated approaches (SG—Savitzky–Golay filter, SNV—Standard Normalized Variate, MSC—Multiplicative Scatter Correction analysis, and normalize), LMA, and LNC over six remote sensing datasets by a transfer component analysis (TCA) approach. Spectra combined with the Successive Projections Algorithm (SPA) were also presented to extract wavelengths with higher important coefficients to minimize the redundancy of datasets. The variance of normalized spectra between different datasets showed a minor degree of variance, and LNC spectra variance was decreased by the SPA. The results also showed that a smaller LMA and LNC variance is presented over different datasets when the trait values with higher distribution probabilities are close to each other. The LNC and LMA estimation performance in transfer models established by partial least squares regression (PLS), support vector regression (SVR), extreme gradient boosting (XGB), and random forest regression (RFR) algorithms across different datasets were employed, in which the RFR transfer models performed good prediction results. The relationships between spectra and leaf trait variance and estimation performance in RFR transfer models over different datasets were evaluated. LMA distance has a significant influence on estimation performance in the transfer model, and the variance of spectra with all pretreated approaches showed a very significant effect on LNC accession performance. Furthermore, we proposed a weight coefficient of spectral data updating combined with the TCA and RFR approach (WDT-RFR) transfer model to improve transferability between datasets and promote estimation performance in the transfer model. Compared to the RFR transfer model using spectra without updating, the root mean square error (RMSE) of the WDT-RFR transfer model with 5% samples transferred to estimate LMA and LNC increased by 7.9% and 4.8% on average, respectively. The estimation results showed that our transfer model showed a superior estimation performance.
1. Introduction
Leaf traits can reflect the growth status of plants. LMA and LNC are both critical parameters in plant ecology. LMA has been proven to have a strong connection to overall plant functions, including leaf structure, robustness, and photosynthetic pigments [1,2]. Nitrogen contributes to proteins and chlorophyll stored in leaf cells. It significantly influences the photosystem process as a critical constituent of the nicotinamide adenine dinucleotide phosphate (NADPH) coenzyme, which can affect the growth status of plants [3,4,5,6].
Leaf spectroscopy combined with multivariate calibration models has been shown as an efficient and rapid approach for capturing leaf biochemical and biophysical traits in previous research [4,5,6,7,8,9,10,11]. The estimation of leaf traits can be presented using remotely sensed spectra across individual leaves, canopies, and landscapes [4,12,13,14]. The spectral reflectance in visible (VIS), near-infrared (NIR), and shortwave infrared (SWIR) wavelength regions are used to estimate LNC, LMA, and other foliar traits [15,16,17,18,19,20].
The partial least squares (PLS) regression approach is widely used in leaf traits estimation. The statistical relationship between spectra and leaf traits is established by PLS, in which the accession performance is influenced by individual data of spectral reflectance. Spectral vegetation indices (SVIs), such as the normalized difference vegetation index (NDVI) and ratio vegetation index (RVI), are also used as a traditional approach to estimating LMA and LNC. The indices cannot generally show good generality between plants and experiments [21]. Some semi-mechanistic methods, such as PROSPECT-5, PROSPECT-PRO, and PROSAIL, are also presented to estimate LNC in several studies [22,23,24]. Those PROSPECT approaches might be limited by a number of supported traits or plant species in some specific conditions [25,26]. In recent years, machine learning algorithms have been implemented wildly to access leaf traits [27,28] using complex nonlinear and nonparametric approaches to establish a model between spectra and trait parameters. For instance, SVR, RFR, and Gaussian processes regression (GPR) provide a promising method to access LNC, LMA, and other leaf traits. Those approaches generally performed well on a specific leaf species using the same spectral sensors [28,29,30,31,32,33].
Mechanistic models, such as PROSPECT and machine learning models, can be implemented to estimate leaf traits over different species. Those models are also transferable to different individuals. Some research studied leaf and canopy LNC, chlorophyll, and water content by PROSPECT and PROSAIL over different plant species [25,26,34,35,36]. The increasing parameters in the model to simulate spectral reflectance may cause variance over different species, as well as the estimation error of leaf foliar traits. LNC estimation in different species by the SVR approach was demonstrated in previous research, and the accession performance was analyzed with reflectance in the VIS, NIR, and SWIR regions [37]. The study also showed that a variance of spectral reflectance and LNC are related to estimation performance.
In order to improve the LNC and LMA estimation performance and enhance the model certainty, a robust approach needs to be studied and applied. The aforementioned and advanced machine learning approaches (e.g., deep learning) were also used to build robust models to predict LNC and LMA [38]. However, a large number of samples and parameters are required in deep learning models, which causes a higher computational cost. The transfer learning approach can solve those problems using valuable information learned in a specific dataset to improve the transferability of another model. The transfer learning approach can extract important features between related datasets. The training time and cost are generally reduced using transfer learning [39,40].
The generalization of similar tasks in another similar dataset can be strengthened by transfer learning based on a well-performing model established in a specific dataset. Therefore, transfer learning approaches have been used to estimate data collected from different environmental conditions and areas. The mobility of the model can also be improved by adjusting different target parameters over varied datasets [41,42]. However, relevant research has yet to study the relationship between spectra variance and estimation performance in transfer models over different datasets. The influence of leaf trait data variance between different datasets on prediction performance in the transfer learning model is also uncertain. That is to say, the influence of data (spectra and leaf traits) variance on the transferability of the transfer model over different datasets needs to be further studied.
In this study, different datasets are used to analyze the transferability and assess the performance of leaf traits. The specific objectives of this study are as follows: (1) analyze the variance of raw spectra and spectral data with pretreatment over different datasets by a transfer component analysis (TCA) approach, (2) evaluate the relationships of spectra and leaf trait variance on estimation performance in transfer models over different datasets, and (3) present a weight coefficient of spectral data updating combined with the TCA and RFR approach (WDT-RFR) model to improve transferability between datasets and promote estimation performance in the transfer model.
2. Materials and Methods
2.1. Datasets of Leaf Spectral Reflectance
Six datasets were selected for testing and analyzing the transferability of LNC and LMA, which are independent data. LNC, LMA, and leaf spectra at 350–2500 nm at intervals of 1 nm are included. All the data are available online (seen in Figure S1) and are presented at https://ecosis.org/ (EcoSIS) (accessed on 29 June 2023). The details of each dataset are described in Table 1, and statistics of LNC and LMA are also presented in Table 2. Blank data and outliers were removed in our research before model analysis.
Table 1.
Description of the leaf datasets.
Table 2.
Statistics of LMA (mg/cm2) and LNC (%) from six different datasets. The SD and CV represent the standard deviation and the coefficient of variance.
Dataset 1 was collected in Barrow, Alaska, in 2015 and 2016, in which 18 fresh grassland species were included. A total of 428 leaves were measured. The full-spectrum leaf spectral reflectance was measured, and an HR-1024i spectroradiometer (Spectra Vista Corporation (SVC), Poughkeepsie, NY, USA) at a range of 35–2500 nm was used. A serial number of the Labsphere reflectance standard, a 99% spectral reflectance standard, was referenced in the sample measurement. Spectra data were measured when the first mature leaves of these species were available. The measurements of the sample in dataset 2 were taken on the fresh leaves within 48 h of collection using ASD FieldSpec3, in which full-range (350–2500 nm) spectral data were presented. The samples were collected during the spring, summer, and fall seasons of 2013 in coastal Santa Barbara, Central Valley, Arizona, USA. Specifically, the data on the current year’s new growth and the previous year’s growth were collected. Leaves were obtained using pole clipping and pruners and stored in coolers. A total of 285 samples were studied. Spectral data of dataset 3 were collected on dried and ground leaf matter from various areas in the north–central and northeastern United States. Leaf samples were collected during the 2008–2011 growing seasons (from June to September) and were obtained from the canopy using shotguns or pruners and dried at 60 °C in the lab. The biochemical traits, including LNC and LMA, were also measured after the leaves were ground. Spectra were collected using ASD FieldSpec 3 (Analytical Spectral Devices, Boulder, CO, USA) with a plant probe. A total of 360 samples were used in this dataset.
Milkweed seeds were collected from populations in Wisconsin and Michigan, USA, and milkweed plants used for spectral data measurement were grown in a greenhouse. A high-spectral ASD FieldSpec 3 spectroradiometer (Analytical Spectral Devices, Boulder, CO, USA) was used to measure the spectra of samples dataset 4, and reflectance was measured on the four uppermost fully expanded leaves of individual plants. All spectra data were collected during the fourth and eighth weeks of growth. A total of 420 samples were used in our research. The average value of the spectra of four leaves was described as the spectral data. Data in dataset 5 was collected from February to May 2016, a peak growing season for leaves. Leaves were sampled from the full sunlight on top of the canopy. A total of 146 samples were analyzed in this study. Full-range spectral ASD FieldSpec Pro and FieldSpec3 were used for spectra measurement. Dataset 6 was collected on the Belgian North Sea coast. Mature leave samples were selected during the summer of 2018. A total of 256 leaves were measured. An SVC HR-1024TM spectroradiometer (Spectra Vista Corporation, NY, USA) (350–2500 nm) equipped with a plant probe was used in the measurement process. LNC and LMA were measured for around 20 individuals per plot, and 50 plots were included. For each species in the plots, the reflectance of two separate leaves was measured as spectral data.
The leaf samples were immediately sealed in large polyethylene bags containing moist paper towels to maintain moisture and placed into coolers for transport within 1–3 h to a laboratory for LMA and LNC measurement. The fresh mass and leaf area for leaf samples were determined using a precision balance and scanned images. The leaf area of some leaf samples was also measured using a ruler and a hand lens (graminoid species), leaf disk punches (broadleaf species), and optical approaches. For small or compound leaves where it was not possible to take disks, leaf area was measured with a leaf area meter (LI-3100C Area Meter; Li-Cor, Lincoln, NE, USA) calibrated for use with a high edge-to-area ratio and operated at a high (0.1 mm2) resolution. After being weighed, fresh leaf samples were oven dried at 70 °C for 72 h to obtain oven-dry mass. These data and leaf area measurements were then used to calculate the LMA. Oven-dried leaf samples were ground, homogenized using a blade grinder, and stored in a desiccator for LNC measurement. Leaf nitrogen concentration was determined via a Dumas combustion approach using the Vario Macro CHN (Elementar, Hanau, Germany).
2.2. Distance Analysis of Different Datasets
2.2.1. Pre-Processing of Spectral Data
The SPA algorithm is used to extract feature wavelengths with higher important coefficients to minimize the redundancy of datasets. Spectral data after being analyzed by the SPA approach are used as subsets of variables with a small degree of multi-collinearity [43]. The optimized wavelengths can eliminate the insensitive spectral contribution on leaf traits and improve prediction speed. Pretreated approaches of Multiplicative Scatter Correction analysis (MSC), Savitzky–Golay filter (SG), Standard Normalized Variate (SNV), and normalized analysis were presented to process spectra. Spectral data after pretreatment and raw data were also used for the subsequent distance analysis between different datasets. Not only are raw data processed with the SPA approach but spectral data after being pretreated with four approaches are also presented by the SPA to select feature wavelengths.
2.2.2. Distance Between Different Datasets by the TCA Approach
Significant variances are generally presented in different datasets, and it is difficult to calculate the difference. Hence, a TCA approach was implemented to analyze the variance. This approach can learn transferable featured components in our research, a classical transfer learning method for domain adaptation [44,45]. Data properties and characteristics could be preserved while simultaneously calculating the difference over different datasets. Precisely, two domains were mapped into a reproducing kernel Hilbert space (RKHS) with a high dimension (dimension higher than source and target domains), while the target and original domains showed tendencies with different distributions (shown in Figure 1). In other words, minimizing the distance in the standard dimension (source and target domains) is inconvenient. In the RKHS space, the data distance between the source and target domain was minimized as much as possible while maximizing the retention of its respective internal attributes. Leaf reflectance of two different datasets is presented as follows:
where Xo and Xg represent leaf reflectance in the source and the target datasets, respectively. s and n represent sample quantity in the source and target datasets, respectively.
Figure 1.
Distance of leaf spectral reflectance transformed into reproducing kernel Hilbert space between different datasets (take datasets 1 and 2 as examples).
MMD, the maximum mean discrepancy, was implemented in calculating the data distance between the source and target domains. The additional parameters are not presented in the MMD, which could decrease calculation errors. This approach is widely used in domain adaptation problems, in which the approximate identity transformation method was used. The distance in the high dimension between Xo and Xg is as follows:
where s and n represent samples in the source and target domain, respectively, and φ and Hs represent normal and kernel Hilbert space feature maps in the data reform process, respectively.
Raw data, data after SPA analysis, and spectral reflectance processed with four pre-processing approaches of all datasets are implemented with the TCA algorithm to analyze the variance between datasets. The distance of each sample in the target datasets (used for model testing) with source datasets (used for model establishment in the transfer learning process) is demonstrated. Due to significant differences between the data of the two datasets, spectral reflectance and leaf traits between different datasets might also cause lower transitivity. Hence, leaf traits are also presented by the TCA approach, in which the distance between LNC and LMA of different datasets is employed. Similarly, the distance between each leaf trait in target and source datasets is presented.
2.3. Model Updating with Data Transfer
Model updating could promote the transferability effectiveness of the established source domain model in the target domain, in which part of the samples in the target dataset was transferred into the original dataset [37]. Model updating with raw and normalized reflectance data was implemented by transferring data (including leaf reflectance, LNC, and LMA) from the target dataset to the original dataset, respectively. A new form target dataset was arranged in ascending order of distance value, in which the distance between each target sample and the source dataset was calculated by the TCA approach. The samples with a smaller distance in the reformed dataset were presented to be higher in similarity with the source domain. The 5, 10, 15, and 20 percent samples with lower distances were selected for data updating to evaluate the transfer model performance, respectively (shown in Figure 2). The source domain absorbed those transfer data (spectra and leaf traits), and the corresponding data from the target domain were removed. Meanwhile, the distance of leaf traits (LNC and LMA) over each dataset with samples transferred is also demonstrated to evaluate trait variance after model updating.
Figure 2.
Transfer process of samples with lower distances (* repersent sorted samples in the target domain. For example, sample1* represent spectra with the smallest distance).
Due to differences between the two datasets’ spectral data, a WDT-RFR model was proposed in our research to promote accession performance in the transfer model. The weighted analysis of samples implemented in the TrAdaboost R2 approach was also used in our study to analyze the weight coefficient in the regression process [46]. Initial weights are set based on the distance value of each sample. The weight should be controlled within a specific range of changes, and its value fluctuation should not exceed 20 percent to preserve data similarity between the two datasets. The weighted coefficient of the samples in the original dataset was calculated based on quantity, in which the values were distributed on average. The distance-weighted coefficient of transferred samples was presented by the distance value obtained by the TCA. The weighted value was updated based on the regression performance with initial weights. This value maintained the weight calculated last time (without update), while its fluctuation changed by more than 0.2 times compared to the initial weight value. The weights used for the transfer model over datasets were finally selected and combined with source domain data for data normalization processing, while the regression model performance was promoted after the iterative calculation of the k round. The description is shown in Figure 3, and details are presented below. Leaf traits (LNC and LMA) do not involve weight analysis in the transfer process.
Figure 3.
Weighted analysis and updating process (* repersent sorted samples in source and target domain after data transferred).
Linear learner αk, linear error ek, and the weight (wk) used in the weight analysis approach in TrAdaboost R2 are presented as follows:
where wk+1,i represents the weight after updating in the k round, αk represents a linear error, which is used to analyze the regression performance, Gk(xi) represents a linear learner in the calculation process of the k round, which could establish a regression model between reflectance, LNC, and LMA, s + np represents the total quantity of new source domain samples, and Ek represents the maximum error on the training set.
2.4. Modeling Approaches
The PLS, SVR, XGB, and RFR approaches are used for the transfer of quantitative model establishment over datasets. Specifically, models are established by these four algorithms in source datasets and used to access LNC and LMA in target datasets. PLS is widely utilized in relationship analysis between spectra and leaf traits in much research and does not assume that the measurement of predictor variables was made without error. PLS modeling was presented using PLS Toolbox V8.2.1 (Eigenvector Research INC, USA) in MATLAB software (R2021b, The Mathworks, Inc., Natick, MA, USA). For the SVR approach, the radial basis function (RBF) as a kernel function was used in our study, in which the penalty parameter from a list of 0.01, 0.1, 1, 10, and 100 and kernel coefficients of 0.001 and 0.0005 were optimized. The XGB approach can continuously generate new regression trees to reduce the error of the previous prediction step and advance in a faster accession speed and lower complexity. The number of estimators and max depth of the tree are set from a list of 500, 1000, 2000, 3000, and 4000 and 1, 2, 3, 4, and 5, respectively. The number of trees (ntree) is independently constructed in the RFR model demonstration, which partitions nodes based on the best-performing input variables (mtry). We used ntree from 500 to 2500 at 500 intervals and mtry from 1 to 20 at 1 interval to promote the performance of the transfer model.
The source and target datasets are used as training and testing sets in the transfer learning process, respectively. For the transferable estimation between datasets, the source domain (including raw data and reflectance with four pre-processing approaches in a dataset) is used to train the transferable model. The spectra and leaf traits in other datasets are used to estimate LNC and LMA in the transfer model. The spectral data in source and target domains must be processed using the same pre-processing approach. For instance, the spectra in the target dataset should be processed by the SNV method to estimate LNC and LMA when the transferable model was established by spectra with the SNV method in the source domain. Samples used for training and testing are the same as the sample number of datasets used as source and target domains, respectively. In the model updating process (WDT-RFR model), a new source domain was presented after data were transferred from target to source datasets. The target domain after removing those data samples was used as a testing dataset for transferable estimation over different datasets. Spectral data and related leaf traits are all involved in transferred data. Therefore, samples used for training and testing are increased and decreased compared to the original domain for the transferable estimation between datasets, respectively. For instance, a total of 292 samples are involved in dataset 6 to estimate LNC and LMA in dataset 5 with 10 percent of the samples updating. A total of 36 samples in dataset 5 are transferred. The RFR model was developed to evaluate the transfer performance of the different models in estimating LMA and LNC, which could also verify the performance of the weighted distance coefficient used in the transfer process. The source and target datasets without data transfer were also used to estimate LMA and LNC by RFR to evaluate the promotion of the WDT-RFR model. The overall process of estimating LNC and LMA by the transfer model in our research is shown in Figure 4.
Figure 4.
The overall process of estimating LNC and LMA by the WDT-RFR transfer model. In the second step, asterisks (*) represent sorted samples in the target domain.
In order to evaluate transfer model performance, R2 and the RMSE are selected as statistical indices in each model. A lower RMSE and a higher R2 indicate higher model efficiency. The details of these two indices are presented in previous research. MATLAB R2021b (The Mathworks, Inc., Natick, MA, USA) was used to develop and evaluate model performance in our research. The TCA approach was also implemented in the same conditions to analyze data variance.
3. Results
3.1. Pre-Processing Approaches Influence the Distance Between Datasets
The distance between two datasets is presented by the TCA approach. The distance of spectra using four pretreated approaches is shown in Figure 5 and Figure S2. The results depicted that the average distance between two datasets increased after feature wavelengths were extracted by the SPA approach. In modeling LNC, the average distance increased by 38.9, 36.3, 92.6, 41.3, and 86.7 percent on average of raw spectra and reflectance pretreated by SG, SNV, MSC, and normalized approaches in all transfer models over datasets, respectively. Similarly, those values were also promoted after the SPA in modeling LMA, which increased by 35.2, 42.5, 90.4, 44.1, and 86.5 percent, respectively. A smaller distance represents lower spectral data discrepancies, which might improve data transferability over datasets. Spectra with the normalized pretreated approach show the smallest distance compared to other pre-processing approaches and raw data over different datasets, which indicates that spectra variance decreased (shown in Figure 5 and Figure S3). The results of spectra pretreated by the SG and MSC approaches generally show a similar degree with raw data.

Figure 5.
Average distance results between the source domain and target samples with and without the SPA approach while accessing LNC. (a–d) represent the average distance of reflectance using pretreated SG, SNV, MSC, and normalize, respectively. SG-SPA, SNV-SPA, normalize–SPA, and MSC-SPA represent results with the SPA approach. The SPA approach was used to extract feature wavelength to access LMA. Datasets 1-2 represent dataset 1 as the source domain and 2 as the target domain. The error bar shows the most significant and smallest distance between two different datasets.
3.2. Leaf Trait Data Influence the Distance Across Datasets
The distance (by TCA approach) and data distribution of LNC and LMA between two datasets are described in Figure 6 and Figure S3. The highest and lowest average LMA distances are presented in datasets 6 and 3 with others, which are 0.5527 and 0.2755 between datasets 6 and 4 with others, respectively. On the contrary, the most significant average LNC distance was demonstrated in dataset 4 with others, which is 0.9303. This value is nearly twice as much as the LNC distance in other datasets. Smaller LNC distances are shown in datasets 2 and 3, which are 0.4734 and 0.4721, respectively. The LNC distance is larger than that of LMA in most datasets (shown in Table S1). The distance degree can also be reflected in data distribution over datasets. The scatter of data with a smaller LMA or LNC distance is evenly distributed horizontally or vertically. This phenomenon is particularly evident between datasets 2, 3, and 6 in LNC and 3 and 4 in LMA.
Figure 6.
The distance and data distribution of LNC between two different datasets. Only half of the data distribution performance is shown, and no distribution differences between two datasets as the source and target domains were performed.
3.3. Estimation Performance of the Transfer Models
The estimation performance to access LNC and LMA over different datasets by PLS and three machining learning algorithms are shown in Tables S2–S5 (estimation performance was poor by PLS, SVR, and XGB approaches). Raw data and all pretreated spectra are used to access LNC and LMA. All spectral data with and without the SPA approach are also implemented. Hence, 300 transfer models are demonstrated in each algorithm. Transfer models established by the PLS, SVR, and XGB approaches showed poor prediction performance, and the R2 is mostly less than zero. R2 and the RMSE of the transfer models established by RFR to access LNC and LMA are shown in Tables S6 and S7. The transfer model using spectra with MSC and normalized treatments performs chiefly better than that using raw data and spectra with SG and SNV approaches to access LNC and LMA over all datasets. The RMSEs of the transfer model using MSC and normalized pretreatment over different datasets without the SPA for LNC and LMA estimation are 0.2148% and 0.2147% 8.2601 mg/cm2 and 8.5593 mg/cm2, respectively. The RMSEs of the transfer model using MSC and normalized pretreated spectra with the SPA approach decreased by 1.7% and increased by 0.9% on average to access LNC and LMA, respectively. Hence, normalized spectra in all datasets and the RFR algorithm are selected for the subsequent transfer modeling process, and spectral data with and without the SPA approach are used for LNC and LMA estimation due to better prediction performance, respectively.
The estimation performance to access LNC and LMA by the SPA-RFR and RFR approaches using normalized spectra is depicted in Figure 7 and Figure S4. The estimated data of each panel in Figure 7 and Figure S5 close to a 1:1 dotted line represent a lower RMSE and good prediction performance. Those graphs also reflected the changing tendency of transfer models using spectra with the SPA approach. This can also be shown in changes in R2 values in each model. Better estimation performance is presented in datasets 2, 3, and 6 as the target domain to access LNC and LMA.
Figure 7.
Transfer learning results of LNC estimation over different datasets by RFR (green cross dot) and SPA-RFR (red circle) approaches. (a–f) represent datasets 1 to 6 as the source domain, and the blue dashed line shows the 1:1 line. The source and target domains are shown in each graph (the same form is shown in Figure S4). For example, datasets 1–2 represent the model of dataset 1 established by RFR, and SPA-RFR was used to access LNC in dataset 2. R2 and the RMSE are shown in each graph, and the color is the same as the mark of the two approaches.
The relationship of reflectance, leaf trait distance, and transfer learning performance is illustrated in Figure 8 and Figure S5. The LMA distance slightly influenced R2 and the RMSE when the transfer model was established using spectra with and without the SPA approach over different datasets. The distance of spectra with SG, MSC, and normalized pretreatment methods has a very significant influence on estimation performance to access LNC. This phenomenon is presented in models using SG, MSC, and normalized spectra with and without the SPA. Relative significant coefficients are presented between R2, the RMSE, and transfer models using normalized and normalized–SPA spectra compared to models using other pretreated approaches.
Figure 8.
The relationship and significance of reflectance distance, trait distance, and transfer learning results of LMA (a) and LNC (b) estimation over different datasets (The LMA and LNC estimations were performed by the RFR approach using reflectance without the SPA).
The correlation coefficients between the distance of raw data, SG, SNV, MSC, normalized spectra, and the RMSE are improved by the SPA approach to access LNC (shown in Figure S5). This value between MSC, normalized spectra distance, and the RMSE increased to 0.57 and 0.42 from 0.40 and 0.37, respectively, which indicates that MSC and normalized spectra with the SPA approach provide a more reliable transfer model. Correlation coefficients between the distance of raw data, SG, MSC, normalized spectra, and the RMSE are all increased by the SPA in the transfer model.
3.4. Data Transfer Influence on Estimation Performance
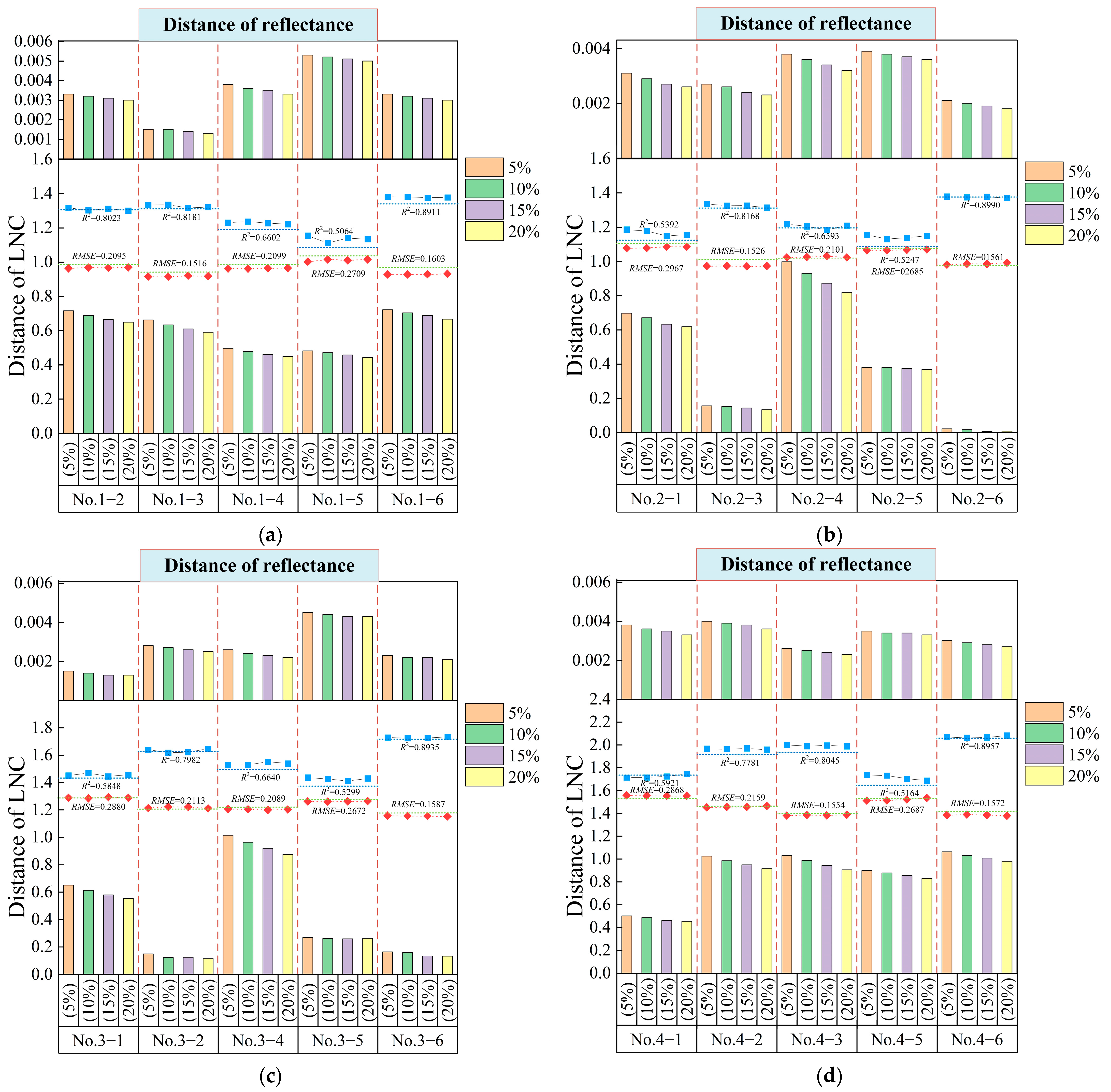
The estimation performance of the transfer model to access LNC and LMA with data updating is illustrated in Figure 9 and Figure S6. The results of R2 and the RMSE combined with the corresponding leaf reflectance and trait distance of the transfer model are presented. The distance of leaf spectra, LNC, and LMA between different datasets all showed a decreasing tendency with increasing samples transferred from the target to the source domain, and RMSEs increased with increasing transferred samples. All RMSEs are decreased in models with data updating compared to models without data transfer. The distance of reflectance to access LMA and LNC decreased by 3.2% and 3.3% on average with each increase of 5 present samples transferred in all transfer models, respectively. Similarly, the LMA and LNC distance also decreased by 12.5% and 13.6% on average with samples transferred from 5% to 20% at intervals of 5 percent, respectively.

Figure 9.
The distance of LNC, reflectance, and estimated performance of data transfer from the target domain to the source domain. The blue and green dot lines represent R2 and the RMSE of the model without data transfer in each graph. (a–f) represent datasets No. 1 to No. 6 as the source domain. The datasets at the bottom of each graph represent the source and target domain (For example, 1–2 represent the model of dataset 1 established by RFR and were used for assessing LMA in dataset 2).
The R2 of each transfer model mainly decreased with increasing transfer samples. RMSEs increased with increasing transfer samples from the target domains. That phenomenon depicted that estimation performed well with smaller transferred samples. Each increasing 5 percent of the transferred samples led to a 0.64% and 0.63% increase in the RMSE and a 4.3% and 4.4% decrease in R2 on LNC and LMA, respectively. Those results showed that the transfer model with 5 percent samples of the target domain transferred represents better estimation performance than those of 10%, 15%, and 20% samples transferred.
The estimation of LNC and LMA with 5 percent of the samples transferred from the target to the source domains of transfer models over different datasets is illustrated in Figure 10 and Figure S7. Transfer models of datasets 2, 3, 4, and 6 as target domains showed superior estimation performance. Those scatter data in transfer models are more closely aligned with a 1:1 dotted line compared to datasets 1 and 5 as target domains.
Figure 10.
The estimated LNC with 5% data transferred from the target domain to the source domain. (a–f) represent datasets No. 1 to No. 6 as the source domain.
3.5. Model Validation
The LMA and LNC estimation performance (RMSE) of the WDT-RFR transfer model in our research and machine learning transfer models are shown in Tables S8 and S9, respectively. Specifically, all datasets used normalized spectral reflectance without the SPA method. Five percent of data transferred from the target to the source domain in the WDT-RFR model was implemented. No sample updating was performed in transfer models established using the RFR, SVR, and XGB approaches. Compared with the SVR and XGB methods, the WDT-RFR transfer model in our research significantly promotes prediction accuracy. The RMSEs of LMA and LNC estimation were promoted by 7.9% and 4.8% on average using the WDT-RFR transfer model compared with the RFR transfer model without model updating, respectively, which indicates that our transfer model (WDT-RFR) showed superior estimation performance.
4. Discussion
This study sought to examine spectra variance by four pretreated spectral approaches over different datasets and analyze the influence of spectra and leaf trait (LNC and LMA) variance on estimation performance in transfer models established over six datasets. We also proposed a WDT-RFR transfer model with data updating to promote LNC and LMA estimation performance.
4.1. Analysis of Reflectance and Leaf Trait Distance
The distance of raw reflectance data with the SPA increased compared to without the SPA, and this tendency is also demonstrated in the distance of spectra with pretreated approaches over all datasets. This trend is related to a larger variance of reflectance of feature wavelengths extracted by the SPA between different datasets. The importance of selected bands is more prominent in LNC and LMA estimation. A significant difference in spectra distance was employed between raw spectra, SG, MSC, SNV, and normalized pretreated spectra over datasets. This can be reflected by variance related to spectra value, which can be observed in the smaller spectra distance between datasets 1 and 5, 2 and 3, and 3 and 6, respectively (shown in Figure 5 and Figure S2). Similar phenomena are presented in Wan’s research, in which leaf species resulted in the difference in spectra between datasets and affected the subsequent model transferability.
LMA distance over different datasets is mostly less than that of LNC, despite the average value, CV, and range of LMA being far greater than that of LNC. This tendency is primarily obtained in datasets 1, 4, and 5 as source domains. The LNC distance between datasets 2 and 3 and 2 and 6 is evidently smaller than that of LMA, and this phenomenon might be because of the similar mean value of LNC in those datasets (shown in Table 1). This reason can also explain the smaller LMA distance between datasets 3 and 4. LNC and LMA distances showed smaller degrees when the trait values with higher distribution probabilities were close to each other between two datasets. This observation is shown in Figure 6 and Figure S3. For instance, most LNC data are concentrated around 1.4% between datasets 2 and 6, and the probability distribution of LMA data is higher at 90 mg/cm2 between datasets 2 and 5.
4.2. Influence of Spectra and Leaf Trait Variance on Estimation Performance in the Transfer Model
Estimation performance is not only influenced by spectra distance over different datasets but is also related to trait variance (shown in Figure 8 and Figure S5). The significant influence on prediction performance is obtained in LMA distance instead of spectra distance with all pretreated approaches. On the contrary, spectra distance is closely related to LNC estimation over LNC distance. Estimation performance of transfer models using MSC and normalized spectra are promoted compared to models using raw data, and those models with MSC and normalized spectra generally showed better performance in all models to access LNC. Better estimation performance is demonstrated in models using SNV, MSC, and normalized spectra to access LMA. Specifically, models using SNV spectra performed well in datasets 3, 4, and 6 as target domains, MSC spectra showed more significant influence on LMA estimation in datasets 1, 2, 3, 5, and 6, and normalized spectra used in transfer models performed well to access the LMA of datasets 1, 2, 3, 5, and 6 as target domains. A larger LMA distance always caused a poor estimation performance in the transfer model using pretreated spectra (shown in the estimation performance of dataset 6 as the target domain). RMSEs in those models were increased compared to models with raw data, despite the spectra distance being decreased by pretreated approaches.
A smaller or larger distance of spectra and leaf traits does not fully indicate good prediction performance in transfer models. LNC and LMA distance all increased by spectra employed with the SPA approach, which indicates a larger spectral difference between datasets. The LNC estimation performance is promoted in most models with the SPA approach. However, the opposite tendency is demonstrated in LMA estimation. This might be because accession performance is related to the variance of multiple parameters, including reflectance characteristics, spectra, and LMA distance. This phenomenon can also be explained by the narrow absorption features of dry matter that are missed by the SPA approach to access LMA. Previous research showed that NIR spectra are related to the variation in leaf structure and water content, and the SWIR spectral variation is caused by water, dry matter, and proteins [3]. The selected wavelength bands are mostly in the VIS and NIR regions with the SPA approach, which is used to access LMA, and only a few SWIR wavelengths are demonstrated to estimate LMA in all transfer models (seen in Table S10). The research also demonstrated that VIS and SWIR spectra covary with LMA [29,47,48].
Transfer models generally performed well with normalized treated spectra combined with the SPA approach in LNC and LMA estimation. The decrease in the normalized spectra distance compared to the raw data distance between different datasets always showed good estimation performance. The extracted feature wavebands in all transfer models established by normalized spectra to estimate LNC are mostly in the VIS and SWIR regions (shown in Table S11); these observations are also demonstrated by Féret et al. [26], Berger et al. [27], and Wan et al. [37], who presented that VIS and SWIR reflectance could characterize LNC. SWIR spectra showed that a higher influence on the estimation of LNC is related to the absorption features in the SWIR region that can reflect characteristics of proteins (N containing) [49,50]. Some selected wavelengths in NIR to estimate LNC were also demonstrated in datasets 2 and 3; these patterns are consistent with the results by He et al. [51] and Knyazikhin et al. [52], who found that LNC estimation at the canopy scale was promoted because the NIR reflectance of high radiation scattering is less sensitive to sunlight. These results support our conclusion that normalized spectra with the SPA approach can be used to access LNC in transfer models.
4.3. Analysis of Transfer Model Updating
A larger LMA, LNC, and spectra distance variance is presented as a promoted estimation performance in all WDT-RFR transfer models with samples updated using normalized reflectance. Compared to spectra, LMA, and LNC variance between datasets without data transfer, all those distances in the transfer models with sample updating gradually decreased (shown in Figure 6, Figure 9, Figures S2 and S6), which indicates that the samples in a smaller variance with source datasets transferred from the target to source domains can promote the similarity of two different datasets. Some features in spectra and leaf traits are transferred and merged with source spectra as a new source domain by sample transfer. Hence, LMA and LNC estimation performance is promoted in all transfer models compared to the results without sample transfer. Similar observations are presented in Wan’s research [37], which demonstrated that LNC estimation performance was improved by updating the model. However, the promoted similarity between two datasets does not result in a promotion estimation performance in our study. This phenomenon might be related to the prediction performance of the original dataset being reduced by the transfer model based on a new source domain. The more samples transferred, the lower the prediction performance presented in the transfer model.
The WDT-RFR transfer model used in our study performed better LNC estimation performance than that of the model using updating in Wan’s research [37], although the CV of the LNC in our datasets is mostly larger than that in Wan’s study. The same dataset, 2, was used in our study. The larger spectral LNC distance and variance between datasets 2, 1, and 3 are presented in this research. The RMSEs of the transfer models updated using those datasets are still less than those in Wan’s research [37], which indicates that the WDT-RFR transfer model used in our study showed superior estimation performance.
Much research has presented robust models to access LMA and LMA, and some studies showed efforts towards establishing transfer models to estimate leaf traits. In our study, we analyzed the variance of spectra and leaf traits influencing estimation performance in transfer models and proposed a WDT-RFR transfer model to promote accession performance. The estimation performance is related to the characteristics of leaf spectra and traits. Therefore, more leaf reflectance datasets with a multiple range of values should be added to further extend our conclusions. More leaf traits, like carbon content and chlorophyll, can also be demonstrated to verify the WDT-RFR transfer model estimation performance.
4.4. Limitations and Further Studies
Our transfer model is proposed based on leaf reflectance data over different datasets. The NIR and SWIR reflectance are proven to have the potential to estimate canopy nitrogen content from previous research [53,54]. The leaf area index and leaf angle distribution significantly interfere with the relationship between canopy reflectance and plant traits. Therefore, the effects of canopy structure should be considered when our model is used on the canopy scale. Only leaf traits of LNC and LMA were estimated in our research. The other traits, such as carbon content, lignin, and chlorophyll, should also be estimated using our transfer model to enhance the robustness of the model in further studies. Moreover, illumination and viewing geometries during acquisition should also be considered.
The accuracy of the estimation model in our research is related to the spectra and trait data based on our results. Our transfer learning models only use six datasets. Therefore, more samples and datasets should be demonstrated using our model. More plant species samples growing on different continents and in greenhouses need to be measured to validate the effectiveness of our model. Our model can be further studied by combining it with the leaf optical properties spectra (PROSPECT) model. For example, it presents a coupling PROSPECT model to simulate spectral data over different datasets when some important leaf traits are missing.
5. Conclusions
In this study, we examined the variance of spectra and leaf traits (LNC and LMA) over different datasets. We also presented a WDT-RFR transfer model to improve LNC and LMA estimation performance. Based on the results obtained in this study, we conclude the following:
- (1)
- The variance of normalized spectra between different datasets is smaller than that of other pretreated methods (SG, SNV, and MSC) and raw data. The average distance between the spectra of two datasets is increased by the SPA approach in all pretreated and raw spectral reflectance. A smaller LMA and LNC variance is presented over different datasets, while the trait values with higher distribution probabilities are close to each other.
- (2)
- Estimation performance is influenced by spectra and trait distance over different datasets. LMA distance has a significant influence on estimation performance in the transfer model, and the distance of spectra with all pretreated approaches showed a very significant effect on LNC accession performance. Normalized spectral reflectance is selected in our study to access LMA and LNC due to its better estimation performance.
- (3)
- A WDT-RFR transfer model to improve LNC and LMA estimation performance over different datasets was demonstrated in our study. Spectra and leaf trait variance gradually decreased with increasing samples transferred. The estimation performance in transfer models is promoted by samples in a smaller variance with source datasets transferred from the target domain. A better estimation is performed in LNC and LMA accession with 5% samples transferred, which showed a superior estimation performance. The RMSEs of LMA and LNC estimation were promoted by 7.9% and 4.8% on average compared to the RFR transfer model using spectra without updating, respectively. The results indicate that our model showed superior estimation performance.
Supplementary Materials
The following supporting information can be downloaded at https://www.mdpi.com/article/10.3390/agriculture15010046/s1, Table S1: Distance of LMA and LNC over different datasets; Table S2: Transfer learning results for assessing LMA over different datasets by the RFR model; Table S3: Transfer learning results for assessing LNC over different datasets by the RFR model; Table S4: Transfer learning results for assessing LMA over different datasets by the RFR model with the SPA; Table S5: Transfer learning results for assessing LNC over different datasets by the RFR model with the SPA; Table S6: Distance of LMA and LNC over different datasets with data transfer (model updating); Table S7: Distance of reflectance over different datasets with data transfer (model updating); Table S8: Transfer learning for assessing LMA over different datasets using WDT-RFR, RFR, SVR, and XGB approaches; Table S9: Transfer learning for assessing LNC over different datasets using WDT-RFR, RFR, SVR, and XGB approaches; Table S10: Selected wavelengths by the SPA approach to access LMA; Table S11: Selected wavelengths by the SPA approach to access LNC; Figure S1: The reflectance data of each dataset; Figure S2: The average distance results between the source domain and target samples with and without the SPA approach while accessing LMA; Figure S3: The distance of LMA between two different datasets; Figure S4: The transfer learning results of LMA estimation over different datasets by the RFR and SPA-RFR approaches; Figure S5: The relationship and significance of reflectance distance after the SPA approach, trait distance, and transfer learning results of LMA and LNC estimation over different datasets; Figure S6: The distance of LMA, reflectance, and estimated performance of data transfer from the target domain to the source domain; Figure S7: The estimated LMA with 5% data transferred from the target domain to the source domain.
Author Contributions
Z.Z. and Y.H. supervised the research, and Y.W. designed the research, processed the data, analyzed the results, and wrote the manuscript. L.S., methodology and software. M.H. offered technical support. Each contributor edited and provided suggestions for improvements to the final version of the manuscript. All authors have read and agreed to the published version of the manuscript.
Funding
This research was supported by the Zhejiang Provincial Natural Science Foundation of China, China, by grant LGN22F020002; National Natural Science Foundation of China, Grant: 62072402. The APC was funded by the Zhejiang Provincial Natural Science Foundation of China.
Institutional Review Board Statement
Not applicable.
Informed Consent Statement
Not applicable.
Data Availability Statement
Publicly available datasets were analyzed in this study. This data can be found at https://ecosis.org/.
Acknowledgments
Six public datasets were used in this manuscript from the EcoSIS (Ecological Spectral Information System) spectral library (https://ecosis.org/ accessed on 29 June 2023), and we appreciate those authors for data collecting and sharing. We also thank all members of the Intelligent Plant Factory of Zhejiang Province Engineering Lab.
Conflicts of Interest
The authors declare that they have no known competing financial interests or personal relationships that could have appeared to influence the work reported in this paper.
References
- Poorter, H.; Niinemets, U.; Poorter, L.; Wright, I.J.; Villar, R. Causes and consequences of variation in leaf mass per area (LMA): A meta-analysis. New Phytol. 2009, 182, 565–588. [Google Scholar] [CrossRef]
- Serbin, S.P.; Wu, J.; Ely, K.S.; Kruger, E.L.; Townsend, P.A.; Meng, R.; Wolfe, B.T.; Chlus, A.; Wand, Z.; Alstair, R. From the Arctic to the tropics: Multi-biome prediction of leaf mass per area using leaf reflectance. New Phytol. 2019, 224, 1557–1568. [Google Scholar] [CrossRef] [PubMed]
- Asner, G.P.; Martin, R.E. Spectral and chemical analysis of tropical forests: Scaling from leaf to canopy levels. Remote Sens. Environ. 2008, 112, 3958–3970. [Google Scholar] [CrossRef]
- Singh, A.; Serbin, S.P.; McNeil, B.E.; Kingdon, C.C.; Townsend, P.A. Imaging spectroscopy algorithms for mapping canopy foliar chemical and morphological traits and their uncertainties. Ecol. Appl. 2015, 25, 2180–2197. [Google Scholar] [CrossRef]
- Xu, H.; He, H.; Yang, K.; Ren, H.; Zhu, T.; Ke, J.; You, C.; Guo, S.; Wu, L. Application of the nitrogen nutrition index to estimate the yield of indica hybrid rice grown from machine-transplanted bowl seedlings. Agronomy 2022, 12, 742. [Google Scholar] [CrossRef]
- Gara, T.W.; Darvishzadeh, R.; Skidmore, A.K.; Wang, T. Impact of Vertical Canopy Position on Leaf Spectral Properties and Traits across Multiple Species. Remote Sens. 2018, 10, 346. [Google Scholar] [CrossRef]
- Shen, Y.; Wu, X.; Wu, B.; Tan, Y.; Liu, J. Qualitative Analysis of Lambda-Cyhalothrin on Chinese Cabbage Using Mid-Infrared Spectroscopy Combined with Fuzzy Feature Extraction Algorithms. Agriculture 2021, 11, 275. [Google Scholar] [CrossRef]
- Wu, B.; Huang, W.; Ye, H.; Luo, P.; Ren, Y.; Kong, W. Using Multi-Angular Hyperspectral Data to Estimate the Vertical Distribution of Leaf Chlorophyll Content in Wheat. Remote Sens. 2021, 13, 1501. [Google Scholar] [CrossRef]
- Wang, W.; Gao, X.; Cheng, Y.; Ren, Y.; Zhang, Z.; Wang, R.; Cao, J.; Geng, H. QTL Mapping of Leaf Area Index and Chlorophyll Content Based on UAV Remote Sensing in Wheat. Agriculture 2022, 12, 595. [Google Scholar] [CrossRef]
- Silva-Perez, V.; Molero, G.; Serbin, S.P.; Condon, A.G.; Reynolds, M.P.; Furbank, R.T.; Evans, J.R. Hyperspectral reflectance as a tool to measure biochemical and physiological traits in wheat. J. Exp. Bot. 2017, 69, 483–496. [Google Scholar] [CrossRef]
- Ely, K.S.; Burnett, A.C.; Lieberman-Cribbin, W.; Serbin, S.P.; Rogers, A. Spectroscopy can predict key leaf traits associated with source–sink balance and carbon–nitrogen status. J. Exp. Bot. 2019, 70, 1789–1799. [Google Scholar] [CrossRef] [PubMed]
- Asner, G.P.; Martin, R.E.; Tupayachi, R.; Emerson, R.; Martinez, P.; Sinca, F.; Powell, G.V.N.; Wright, S.J.; Lugo, A.E. Taxonomy and remote sensing of leaf mass per area (LMA) in humid tropical forests. Ecol. Appl. 2011, 21, 85–98. [Google Scholar] [CrossRef]
- Shiklomanov, A.N.; Dietze, M.C.; Viskari, T.; Townsend, P.A.; Serbin, S.P. Quantifying the influences of spectral resolution on uncertainty in leaf trait estimates through a Bayesian approach to RTM inversion. Remote Sens. Environ. 2016, 183, 226–238. [Google Scholar] [CrossRef]
- Wu, J.; Albert, L.P.; Lopes, A.P.; Restrepo-Coupe, N.; Hayek, M.; Wiedemann, K.T.; Guan, K.; Stark, S.C.; Christoffersen, B.; Prohaska, N.; et al. Leaf development and demography explain photosynthetic seasonality in Amazon evergreen forests. Science 2016, 351, 972–976. [Google Scholar] [CrossRef]
- Couture, J.J.; Serbin, S.P.; Townsend, P.A. Spectroscopic sensitivity of real-time, rapidly induced phytochemical change in response to damage. New Phytol. 2013, 198, 311–319. [Google Scholar] [CrossRef]
- Liang, L.; Di, L.; Huang, T.; Wang, J.; Lin, L.; Wang, L.; Yang, M. Estimation of leaf nitrogen content in wheat using new hyperspectral indices and a random forest regression algorithm. Remote Sens. 2018, 10, 1940. [Google Scholar] [CrossRef]
- Yu, X.; Huo, X.; Qian, L.; Du, Y.; Liu, D.; Cao, Q.; Wang, W.; Hu, X.; Yang, X.; Fan, S. Combining UAV Multispectral and Thermal Infrared Data for Maize Growth Parameter Estimation. Agriculture 2024, 14, 2004. [Google Scholar] [CrossRef]
- Maire, G.L.; François, C.; Soudani, K.; Berveiller, D.; Pontailler, J.Y.; Bréda, N.; Genet, H.; Davi, H.; Dufrêne, E. Calibration and validation of hyperspectral indices for the estimation of broadleaved forest leaf chlorophyll content, leaf mass per area, leaf area index and leaf canopy biomass. Remote Sens. Environ. 2008, 112, 3846–3864. [Google Scholar] [CrossRef]
- Serbin, S.P.; Singh, A.; Desai, A.R.; Dubois, S.G.; Jablonski, A.D.; Kingdon, C.C.; Kruger, E.L.; Townsend, P.A. Remotely estimating photosynthetic capacity, and its response to temperature, in vegetation canopies using imaging spectroscopy. Remote Sens. Environ. 2015, 167, 78–87. [Google Scholar] [CrossRef]
- Zhang, Y.; Hui, J.; Qin, Q.; Sun, Y.; Zhang, T.; Sun, H. Transfer-learning-based approach for leaf chlorophyll content estimation of winter wheat from hyperspectral data. Remote Sens. Environ. 2021, 267, 112724. [Google Scholar] [CrossRef]
- Rapaport, T.; Hochberg, U.; Cochavi, A.; Karnieli, A.; Rachmilevitch, S. The potential of the spectral ‘water balance index’ (WABI) for crop irrigation scheduling. New Phytol. 2017, 216, 741–757. [Google Scholar] [CrossRef] [PubMed]
- Jacquemoud, S.; Baret, F. PROSPECT: A model of leaf optical properties spectra. Remote Sens. Environ. 1990, 34, 75–91. [Google Scholar] [CrossRef]
- Jacquemoud, S.; Verhoef, W.; Baret, F.; Bacour, C.; Zarco-Tejada, P.J.; Asner, G.P.; François, C.; Ustin, S.L. PROSPECT+SAIL models: A review of use for vegetation characterization. Remote Sens. Environ. 2009, 113, S56–S66. [Google Scholar] [CrossRef]
- Jay, S.; Maupas, F.; Bendoula, R.; Gorretta, N. Retrieving LAI, chlorophyll and nitrogen contents in sugar beet crops from multi-angular optical remote sensing: Comparison of vegetation indices and PROSAIL inversion for field phenotyping. Field Crop. Res. 2017, 210, 33–46. [Google Scholar] [CrossRef]
- Yang, G.; Zhao, C.; Pu, R.; Feng, H.; Li, Z.; Li, H.; Sun, C. Leaf nitrogen spectral reflectance model of winter wheat (Triticum aestivum) based on PROSPECT: Simulation and inversion. J. Appl. Remote. Sens. 2015, 9, 095976. [Google Scholar] [CrossRef]
- Féret, J.-B.; Berger, K.; de Boissieu, F.; Malenovský, Z. PROSPECT-PRO for estimating content of nitrogen-containing leaf proteins and other carbon-based constituents. Remote Sens. Environ. 2021, 252, 112173. [Google Scholar] [CrossRef]
- Berger, K.; Verrelst, J.; Féret, J.-B.; Wang, Z.; Wocher, M.; Strathmann, M.; Danner, M.; Mauser, W.; Hank, T. Crop nitrogen monitoring: Recent progress and principal developments in the context of imaging spectroscopy missions. Remote Sens. Environ. 2020, 242, 111758. [Google Scholar] [CrossRef]
- Féret, J.-B.; Le Maire, G.; Jay, S.; Berveiller, D.; Bendoula, R.; Hmimina, G.; Cheraiet, A.; Oliveira, J.; Ponzoni, F.J.; Solanki, T. Estimating leaf mass per area and equivalent water thickness based on leaf optical properties: Potential and limitations of physical modeling and machine learning. Remote Sens. Environ. 2019, 231, 110959. [Google Scholar] [CrossRef]
- Helsen, K.; Bassi, L.; Feilhauer, H.; Kattenborn, T.; Honnay, O. Evaluating different methods for retrieving intraspecific leaf trait variation from hyperspectral leaf reflectance. Ecol. Indic. 2021, 130, 108111. [Google Scholar] [CrossRef]
- Matin, D.; Katja, B.; Matthias, W.; Wolfram, M.; Tobias, H. Efficient RTM-based training of machine learning regression algorithms to quantify biophysical & biochemical traits of agricultural crops. ISPRS J. Photogramm. Remote Sens. 2021, 173, 278–296. [Google Scholar] [CrossRef]
- Yi, Q.; Wang, F.; Bao, A.; Jiapaer, G. Leaf and canopy water content estimation in cotton using hyperspectral indices and radiative transfer models. Int. J. Appl. Earth Obs. Geoinf. 2014, 33, 67–75. [Google Scholar] [CrossRef]
- Zhang, C.; Yi, Y.; Zhang, S.; Li, P. Quantitative Analysis of Vertical and Temporal Variations in the Chlorophyll Content of Winter Wheat Leaves via Proximal Multispectral Remote Sensing and Deep Transfer Learning. Agriculture 2024, 14, 1685. [Google Scholar] [CrossRef]
- Zhang, C.; Xue, Y. Estimation of Biochemical Pigment Content in Poplar Leaves Using Proximal Multispectral Imaging and Regression Modeling Combined with Feature Selection. Sensors 2024, 24, 217. [Google Scholar] [CrossRef]
- Ustin, S.L.; Gitelson, A.A.; Jacquemoud, S.; Schaepman, M.; Asner, G.P.; Gamon, J.A.; Zarco-Tejada, P. Retrieval of foliar information about plant pigment systems from high resolution spectroscopy. Remote Sens. Environ. 2009, 113, S67–S77. [Google Scholar] [CrossRef]
- Gastellu-Etchegorry, J.P.; Yin, T.; Lauret, N.; Cajgfinger, T.; Gregoire, T.; Grau, E.; Feret, J.B.; Lopes, M.; Guilleux, J.; Dedieu, G. Discrete anisotropic radiative transfer (DART 5) for modeling airborne and satellite spectroradiometer and LIDAR acquisitions of natural and urban landscapes. Remote Sens. 2015, 7, 1667–1701. [Google Scholar] [CrossRef]
- Yang, H.; Ming, B.; Nie, C.; Xue, B.; Xin, J.; Lu, X.; Xue, J.; Hou, P.; Xie, R.; Wang, K.; et al. Maize Canopy and Leaf Chlorophyll Content Assessment from Leaf Spectral Reflectance: Estimation and Uncertainty Analysis across Growth Stages and Vertical Distribution. Remote Sens. 2022, 14, 2115. [Google Scholar] [CrossRef]
- Wan, L.; Zhou, W.; He, Y.; Thomas, C.W.; Cen, H. Combining transfer learning and hyperspectral reflectance analysis to assess leaf nitrogen concentration across different plant species datasets. Remote Sens. Environ. 2022, 269, 112826. [Google Scholar] [CrossRef]
- Pullanagari, R.; Dehghan-Shoar, M.; Yule, I.J.; Bhatia, N. Field spectroscopy of canopy nitrogen concentration in temperate grasslands using a convolutional neural network. Remote Sens. Environ. 2021, 257, 112353. [Google Scholar] [CrossRef]
- LeCun, Y.; Bengio, Y.; Hinton, G. Deep learning. Nature 2015, 521, 436–444. [Google Scholar] [CrossRef] [PubMed]
- Pan, S.; Yang, Q. A survey on transfer learning. IEEE Trans. Knowl. Data Eng. 2009, 22, 1345–1359. [Google Scholar] [CrossRef]
- Tian, W.; Liao, Z.; Wang, X. Transfer learning for neural network model in chlorophyll-a dynamics prediction. Environ. Sci. Pollut. Res. 2019, 26, 29857–29871. [Google Scholar] [CrossRef] [PubMed]
- Ma, J.; Cheng, J.; Lin, C.; Tan, Y.; Zhang, J. Improving air quality prediction accuracy at larger temporal resolutions using deep learning and transfer learning techniques. Atmos. Environ. 2019, 214, 116885. [Google Scholar] [CrossRef]
- Feilhauer, H.; Asner, G.P.; Martin, R.E. Multi-method ensemble selection of spectral bands related to leaf biochemistry. Remote Sens. Environ. 2015, 164, 57–65. [Google Scholar] [CrossRef]
- Pan, S.; Tsang, I.W.; Kwok, J.T.; Yang, Q. Domain Adaptation via Transfer Component Analysis. IEEE Trans. Neural Netw. 2011, 22, 199–210. [Google Scholar] [CrossRef] [PubMed]
- Xia, J.; Naoto, Y.; Akira, I. Ensemble of transfer component analysis for domain adaptation in hyperspectral remote sensing image classification. In Proceedings of the 2017 IEEE International Geoscience and Remote Sensing Symposium (IGARSS), Fort Worth, TX, USA, 23 July 2017. [Google Scholar]
- David, P.; Peter, S. Boosting for Regression Transfer. In Proceedings of the 27th International Conference on International Conference on Machine Learning, Haifa, Israel, 21 June 2010. [Google Scholar]
- Cheng, T.; Benoit, R.; Arturo, G.S.A.; Jean-Baptiste, F.; Stéphane, J.; Susan, L.U. Deriving leaf mass per area (LMA) from foliar reflectance across a variety of plant species using continuous wavelet analysis. ISPRS J. Photogramm. Remote Sens. 2014, 87, 28–38. [Google Scholar] [CrossRef]
- Riva, E.G.; Olmo, M.; Poorter, H.; Ubera, J.L.; Villar, R. Leaf mass per area (LMA) and its relationship with leaf structure and anatomy in Mediterranean woody species along a water availability gradient. PLoS ONE 2016, 11, e0148788. [Google Scholar] [CrossRef]
- Meerdink, S.K.; Roberts, D.A.; King, J.Y.; Roth, K.L.; Dennison, P.E.; Amaral, C.H.; Hook, S.J. Linking seasonal foliar traits to VSWIR-TIR spectroscopy across California ecosystems. Remote Sens. Environ. 2016, 186, 322–338. [Google Scholar] [CrossRef]
- Wang, Z.; Skidmore, A.K.; Darvishzadeh, R.; Wang, T. Mapping forest canopy nitrogen content by inversion of coupled leaf-canopy radiative transfer models from airborne hyperspectral imagery. Agric. For. Meteorol. 2018, 253, 247–260. [Google Scholar] [CrossRef]
- He, L.; Song, X.; Feng, W.; Guo, B.; Zhang, Y.; Wang, Y.; Wang, C.; Guo, T. Improved remote sensing of leaf nitrogen concentration in winter wheat using multi-angular hyperspectral data. Remote Sens. Environ. 2016, 174, 122–133. [Google Scholar] [CrossRef]
- Knyazikhin, Y.; Schull, M.A.; Stenberg, P.; Mottus, M.; Rautiainen, M.; Yang, Y.; Marshak, A.; Latorre Carmona, P.; Kaufmann, R.K.; Lewis, P.; et al. Hyperspectral remote sensing of foliar nitrogen content. Proc. Natl. Acad. Sci. USA 2013, 110, E185–E192. [Google Scholar] [CrossRef] [PubMed]
- Liu, C.; Berg, B.; Kutsch, W.; Westman, C.J.; Ilvesniemi, H.; Shen, X.; Shen, G.; Chen, X. Leaf litter nitrogen concentration as related to climatic factors in Eurasian forests. Glob. Ecol. Biogeogr. 2006, 15, 438–444. [Google Scholar] [CrossRef]
- Jay, S.; Baret, F.; Dutartre, D.; Malatesta, G.; Héno, S.; Comar, A.; Weiss, M.; Maupas, F. Exploiting the centimeter resolution of UAV multispectral imagery to improve remote-sensing estimates of canopy structure and biochemistry in sugar beet crops. Remote Sens. Environ. 2019, 231, 110898. [Google Scholar] [CrossRef]
Disclaimer/Publisher’s Note: The statements, opinions and data contained in all publications are solely those of the individual author(s) and contributor(s) and not of MDPI and/or the editor(s). MDPI and/or the editor(s) disclaim responsibility for any injury to people or property resulting from any ideas, methods, instructions or products referred to in the content. |
© 2024 by the authors. Licensee MDPI, Basel, Switzerland. This article is an open access article distributed under the terms and conditions of the Creative Commons Attribution (CC BY) license (https://creativecommons.org/licenses/by/4.0/).











