Timing Matters: The Impact of Sowing Dates on Photosynthetic Traits and Biomass Accumulation in Hybrid Winter Wheat
Abstract
1. Introduction
2. Methods and Materials
2.1. Experimental Site Overview
| Year | Organic Matter (g·kg−1) | Soil pH | Total Nitrogen (g·kg−1) | Alkaline-Hydrolysable Nitrogen (mg·kg−1) | Available Phosphorus (mg·kg−1) | Available Potassium (mg·kg−1) |
|---|---|---|---|---|---|---|
| 2021–2022 | 14.9 ± 0.91 | 6.7 ± 0.11 | 1.2 ± 0.08 | 94.6 ± 0.08 | 64.7 ± 1.12 | 111.6 ± 9.83 |
| 2022–2023 | 14.6 ± 0.63 | 6.6 ± 0.19 | 1.1 ± 0.03 | 110.4 ± 0.02 | 68.7 ± 1.40 | 129.6 ± 9.37 |

2.2. Materials and Experimental Design
2.3. Measurement Traits and Methods
2.3.1. Flag Leaf SPAD
2.3.2. Leaf Area per Culm (LAC)
2.3.3. Photosynthetic Characteristics (Pn) of the Flag Leaves
2.3.4. Biomass Accumulation and Remobilization
2.3.5. Yield and Its Components
2.4. Data Processing and Statistical Analysis
3. Results
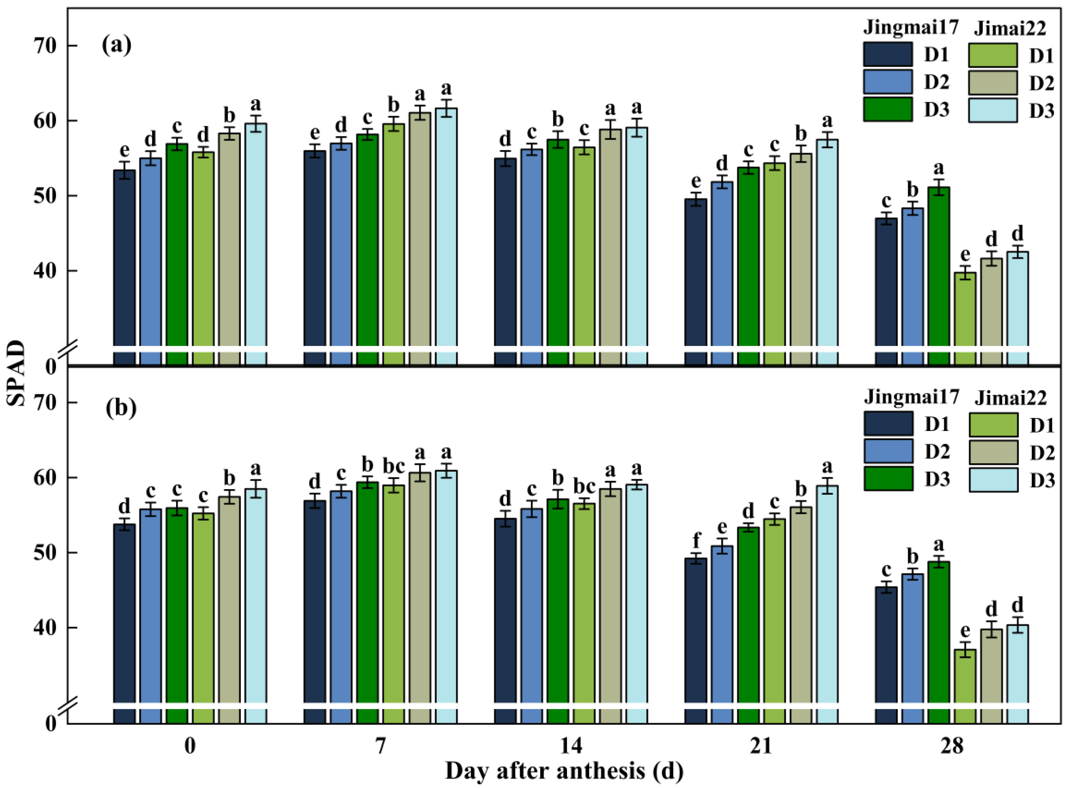
3.1. Impact of Sowing Date on SPAD Values of the Flag Leaf
3.2. Impact of Sowing Date on Leaf Area per Culm (LAC) of the Flag Leaf

3.3. Impact of Sowing Date on Photosynthetic Characteristics of the Flag Leaf
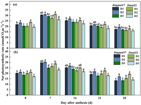
3.3.1. Impact on Net Photosynthetic Rate (Pn)

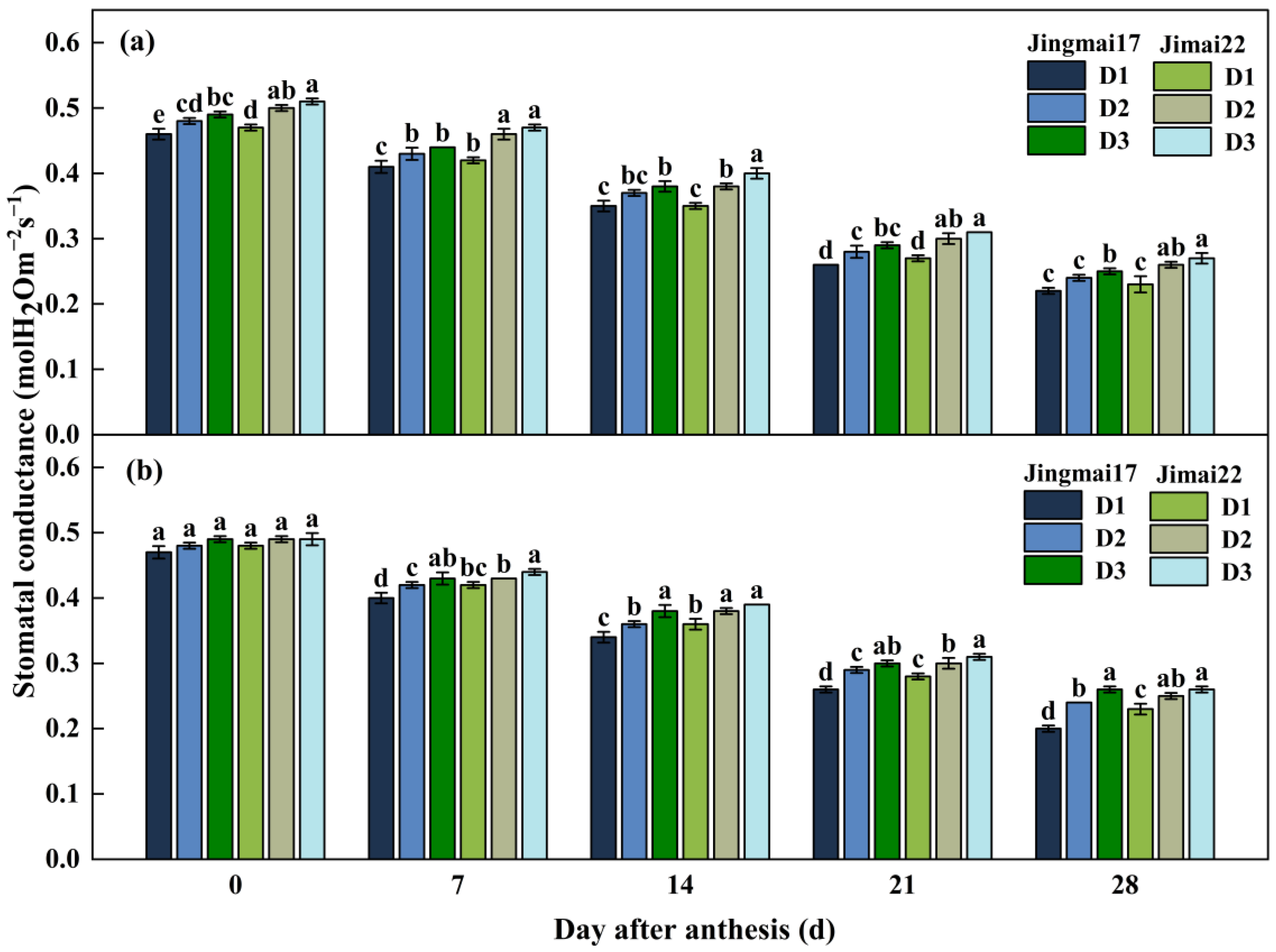
3.3.2. Impact on Stomatal Conductance (Gs)

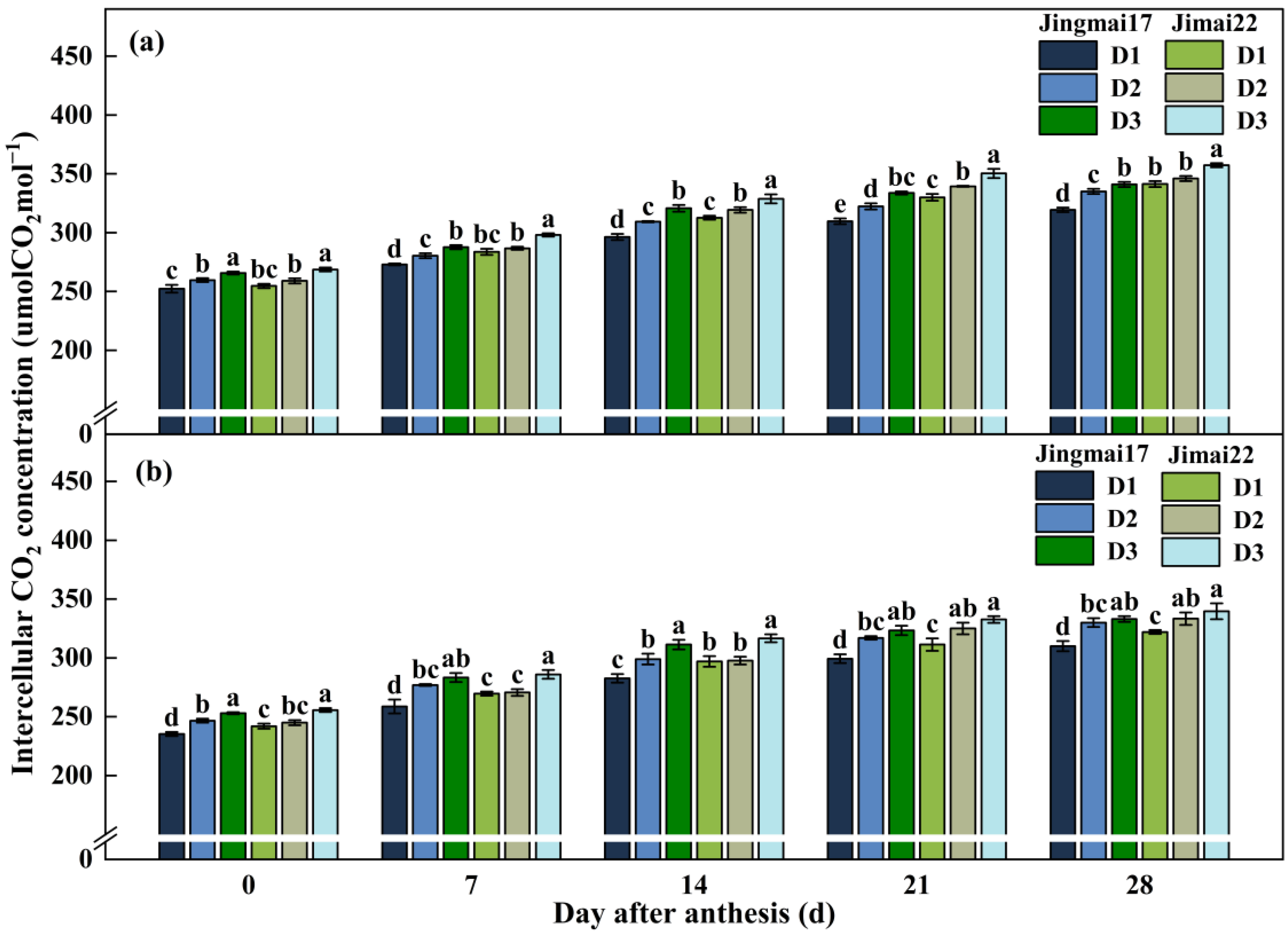
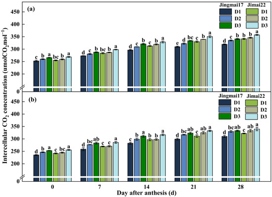
3.3.3. Impact on Intercellular CO2 Concentration (Ci)

3.4. Effects of Sowing Date on Biomass Accumulation in Winter Wheat
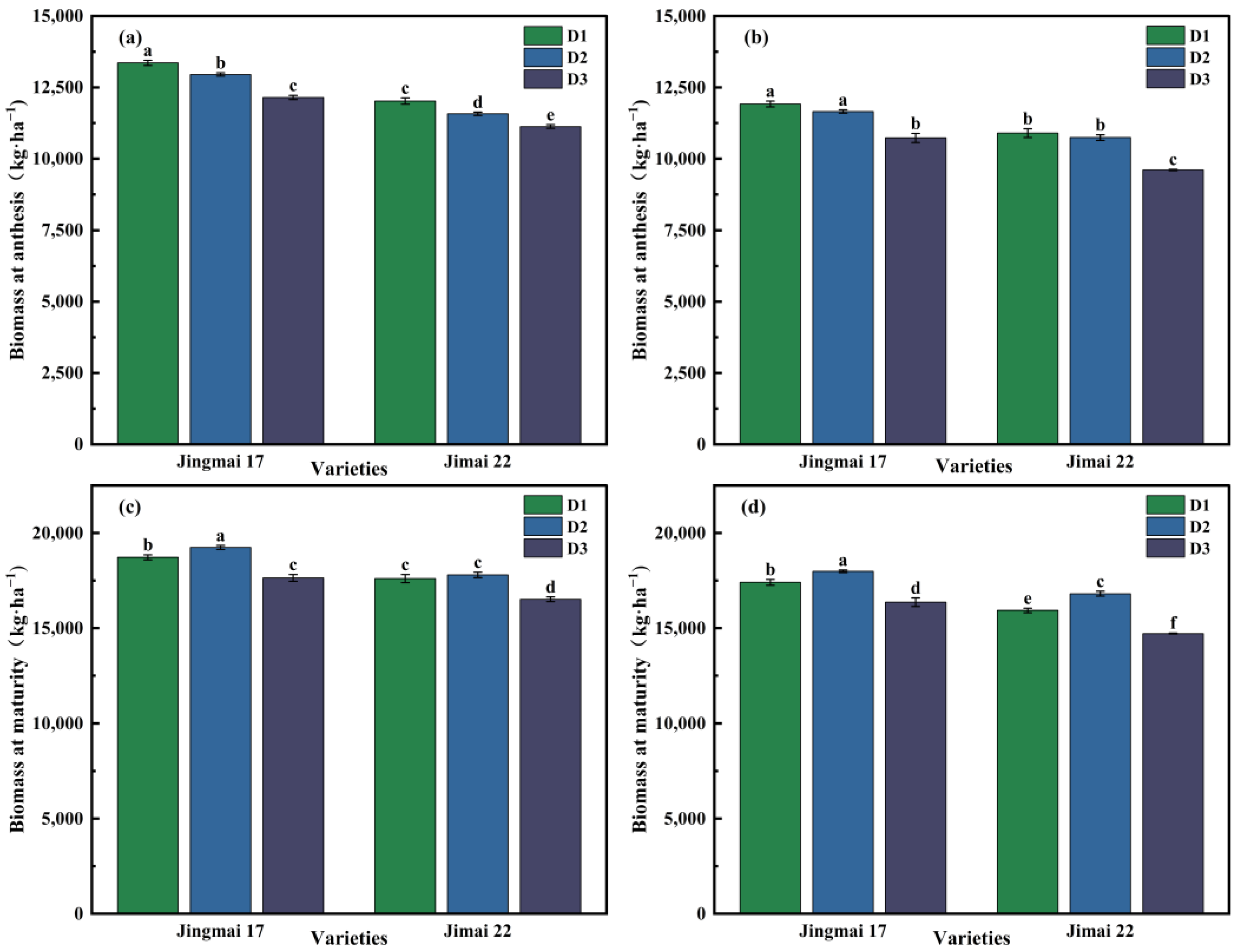
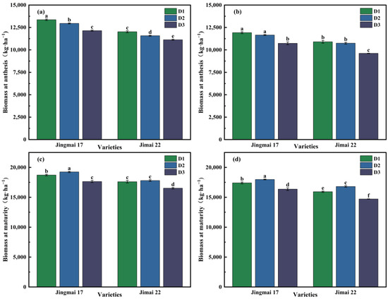
3.4.1. Impact of Sowing Date on Biomass Accumulation at Anthesis and Maturity

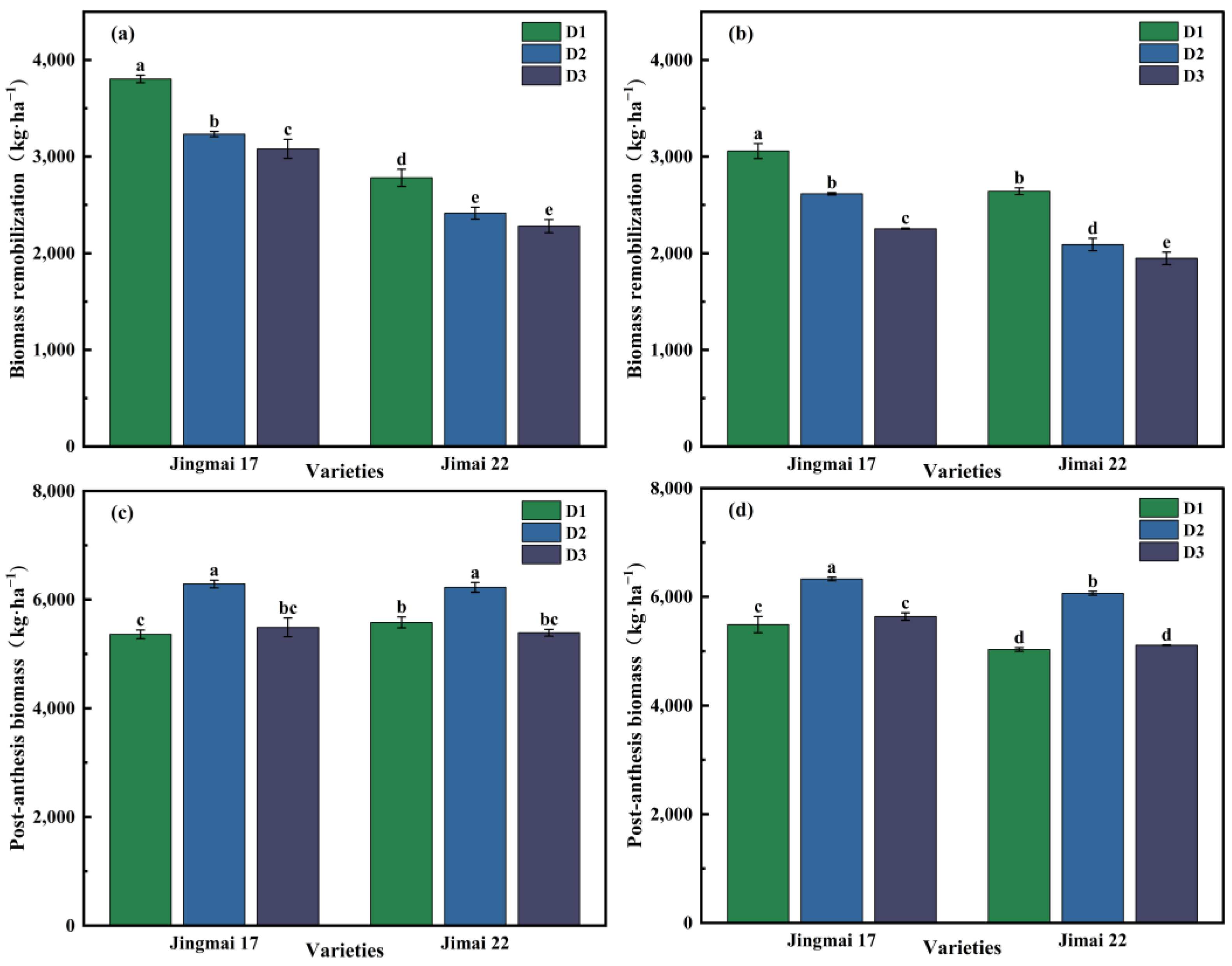
3.4.2. Impact of Sowing Date on Biomass Remobilization and Post-Anthesis Biomass Accumulation

3.4.3. Impact of Sowing Date on Harvest Index (HI)

3.5. Impact of Sowing Date on Yield and Yield Components of Winter Wheat
3.6. Correlation Analysis


4. Discussion
4.1. Effects of Sowing Date on Yield and Yield Components of Winter Wheat
4.2. Effects of Sowing Date on Photosynthetic Characteristics of the Flag Leaf
4.3. Effects of Sowing Date on Biomass Accumulation and Remobilization in Winter Wheat
5. Conclusions
Author Contributions
Funding
Institutional Review Board Statement
Data Availability Statement
Acknowledgments
Conflicts of Interest
References
- An, C.L.; Zhang, G.S.; Wang, S.S.; Yue, X.Q.; Wang, H.; Yang, M.M.; Tang, T.; Yu, X.Y.; Li, C.B. Study on selective mathematical models for high-yield hybrid wheat. J. China Agric. Univ. 2012, 17, 25–30. [Google Scholar]
- Zhao, C.P. Research progress and prospects of two-line hybrid wheat in China. Chin. Sci. Bull. 2022, 67, 3119–3128. [Google Scholar] [CrossRef]
- Gupta, P.K.; Balyan, H.S.; Gahlaut, V.; Saripalli, G.; Pal, B.; Basnet, B.R.; Joshi, A.K. Hybrid wheat: Past, present and future. Theor. Appl. Genet. 2019, 132, 2463–2483. [Google Scholar] [CrossRef]
- Qin, J.Y. Effects of Sowing Date, Planting Density and Nitrogen Management on Grain Yield, Nitrogen Uptake and Utilization and Quality of Strong Gluten Wheat; Shandong Agriculture University: Shandong, China, 2022. [Google Scholar]
- Ali, M.A.; Ali, M.; Sattar, M.; Ali, L. Sowing date effect on yield of different wheat varieties. J. Agric. Res. 2010, 48, 157–162. [Google Scholar]
- Ahmed, M.; Fayyaz ul, H. Response of spring wheat (Triticum aestivum L.) quality traits and yield to sowing date. PLoS ONE. 2015, 10, e0126097. [Google Scholar] [CrossRef]
- Motzo, R.; Fois, S.; Giunta, F. Protein content and gluten quality of durum wheat (Triticum turgidum subsp. durum) as affected by sowing date. J. Sci. Food Agric. 2007, 87, 1480–1488. [Google Scholar]
- Dholakia, B.B.; Ammiraju, J.S.S.; Singh, H.; Lagu, M.D.; Röder, M.S.; Rao, V.S.; Dhaliwal, H.S.; Ranjekar, P.K.; Gupta, V.S.; Weber, W.E. Molecular marker analysis of kernel size and shape in bread wheat. Plant Breed. 2003, 122, 392–395. [Google Scholar] [CrossRef]
- Zhang, S.Q. Advances on yield formation of hybrid wheat. Chin. Agric. Sci. Bull. 2019, 35, 1–5. [Google Scholar]
- Wang, A.B.; Gu, Z.Z.; Zhou, Y.M.; Yang, Z.B.; Du, Y.Y. Influence of different sowing periods and sowing densities on the yield and its components of the new wheat variety “Huai Mai 44”. Shanghai Agric. Sci. Technol. 2021, 46–47+80. [Google Scholar]
- Darwinkel, A.; Hag, B.A.T.; Kuizenga, J. Effect of sowing date and seed rate on crop development and grain production of winter wheat. Neth. J. Agric. Sci. 1977, 25, 83–94. [Google Scholar] [CrossRef]
- Yan, Z.S.; Wang, R.Q. Study on relation between the leaf weight leaf area and yield of winter wheat in different sowing time. Xinjiang Agric. Sci. 2005, 42, 59–61. [Google Scholar]
- Wang, X.; Wang, C. Effects of different sowing dates and seeding rates on the growth characteristics and yield of winter wheat. Crops 2021, 182–188. [Google Scholar]
- Meng, X.H.; Qiao, W.C.; Zhao, M.H.; Li, D.; Sun, S.L.; Li, Q.; Lu, G.L. Effects of sowing date and planting density on yield and its components of winter wheat new cultivar Hengmai 26. J. Hebei Agric. Sci. 2020, 24, 24–28. [Google Scholar]
- Li, S.Q.; Shao, M.A.; Li, Z.Y.; Wu, W.M.; Zhang, X.C. Review of characteristics of wheat grain fill and factors to influence it. Acta Bot. Boreali-Occident. Sin. 2003, 23, 2031–2039. [Google Scholar]
- Yin, W.J.; Liu, X.; Ni, D.P.; Qiu, D.L.; Wan, Z.L. Effect of sowing time on grain filling characteristics and grain yield components of high quality wheat cultivars. Shandong Agric. Sci. 2005, 5, 22–24+28. [Google Scholar]
- Wu, S.H.; Gao, H.T.; Zhang, X.P.; Zhang, Y.X.; Zhao, Y.T. Effect of sowing date on grain filling characters in different wheat varieties. J. Triticeae Crops. 2004, 24, 105–107. [Google Scholar]
- Zhang, Y.L.; Xiao, K.; Li, Y.M. Studies on the photosynthetic heterosis of flag leaves in different wheat hybrids. Acta Agric. Boreali-Sin. 2004, 19, 63–66. [Google Scholar]
- Chen, S.Y.; Zhang, X.Y.; Mao, R.Z.; Wang, Y.M.; Sun, H.Y. Effect of sowing date and rate on canopy intercepted photo-synthetically active radiation and yield of winter wheat. Chin. J. Eco-Agric. 2009, 17, 681–685. [Google Scholar] [CrossRef]
- Pei, X.X.; Wang, J.A.; Dang, J.Y.; Zhang, D.Y. Characteristics of grain filling and fiag leaf photosynthesis of high quality wheat under different planting dates. Chin. J. Eco-Agric. 2008, 16, 121–128. [Google Scholar]
- Yang, W.P.; Guo, T.C.; Liu, S.B.; Zhu, Y.J.; Wang, C.H.; Wang, Y.H. Light intensity on flag leaf photosynthetic characteristics and water use of two Spike—Type cultivars of winter wheat. Acta Agric. Boreali-Sin. 2008, 23, 9–11. [Google Scholar]
- Zhang, X.Q.; Du, S.Z.; Cao, C.F.; Zhao, Z.; Zhang, Y.L. Effects of sowing date on population traits, yield and chlorophyll fluorescence characteristics of winter wheat. J. Triticeae Crops 2014, 34, 71–77. [Google Scholar]
- Kong, L.H.; Zhao, Y.L.; Zhou, F.P. The relations of the high production and the wheat dry matter accumulation and the revolution. J. Shanxi Agric. Sci. 2007, 35, 6–8. [Google Scholar]
- Parry, M.A.J.; Reynolds, M.; Salvucci, M.E.; Raines, C.; Andralojc, P.J.; Zhu, X.G.; Price, G.D.; Condon, A.G.; Furbank, R.T. Raising yield potential of wheat. II. Increasing photosynthetic capacity and efficiency. J. Exp. Bot. 2011, 62, 453–467. [Google Scholar] [CrossRef] [PubMed]
- Qian, T.F.; Dong, X.C.; Zhang, X.; Chu, J.P.; Fei, L.W.; Zheng, F.N.; Dai, X.L.; He, M.R. Effect of sowing date on dry matter accumulation, distribution and yield of winter wheat. Shandong Agric. Sci. 2019, 51, 24–28+35. [Google Scholar]
- Dai, X.L.; Wang, Y.C.; Dong, X.C.; Qian, T.F.; Yin, L.; Dong, S.X.; Chu, J.P.; He, M.R. Delayed sowing can increase lodging resistance while maintaining grain yield and nitrogen use efficiency in winter wheat. Crop J. 2017, 5, 541–552. [Google Scholar] [CrossRef]
- Garcia, A.L.; Savin, R.; Slafer, G.A. Fruiting efficiency differences between cereal species. Field Crops Res. 2019, 231, 68–80. [Google Scholar] [CrossRef]
- Ma, S.Y.; Wang, Y.Y.; Liu, Y.A.; Yao, K.J.; Huang, Z.L.; Zhang, W.J.; Fan, Y.H.; Ma, Y.S. Effect of sowing date, planting density, and nitrogen application on dry matter accumulation, transfer, distribution, and yield of wheat. Chin. J. Eco-Agric. 2020, 28, 375–385. [Google Scholar]
- Zhang, Y.L.; Du, Y.H.; Li, W.L.; Zhu, Z.X.; Jia, J.; Meng, F.G.; Zhang, S.Q.; Zhao, C.X. Hybrid winter wheat performance: A study on planting density, nitrogen use efficiency, and yield optimization in eastern China. Int. J. Plant Prod. 2024, 18, 497–512. [Google Scholar] [CrossRef]
- Chen, M.; Liang, X.Q.; Li, L.; Zhang, L.; Zhang, F.; Chen, G.D.; Wu, Q.Z.; Zhai, Y.L. Effect of planting density on dry matter accumulation, translocation and grain yield of uniformly sown winter wheat. J. Triticeae Crops 2021, 41, 238–244. [Google Scholar]
- Slafer, G.A.; Savin, R.; Sadras, V.O. Coarse and fine regulation of wheat yield components in response to genotype and environment. Field Crops Res. 2014, 157, 71–83. [Google Scholar] [CrossRef]
- Slafer, G.A.; Savin, R.; Sadras, V.O. Wheat yield is not causally related to the duration of the growing season. Eur. J. Agron. 2023, 148, 126885. [Google Scholar] [CrossRef]
- Zhang, A.M.; Sun, Q.X. The relationship between heterosis of yield and heterosis of yield components in hybrid wheat. Acta Agron. Sin. 1993, 19, 94–96. [Google Scholar]
- Pu, Z.J.; Liu, Z.Q.; Rao, S.D.; Yu, D.M. Comparison of genetic improvement in hybrid wheat and common wheat. J. Triticeae Crops 2001, 21, 15–17. [Google Scholar]
- Qi, Z.G. Analysis of yield components of hybrid wheat. J. Hebei Norm. Univ. (Nat. Sci. Ed.) 2005, 29, 399–403. [Google Scholar]
- Li, Q.; Li, H.M.; Li, D.; Qiao, W.C.; Sun, S.L.; Meng, X.H.; Wei, J.W.; Zhao, M.H.; Zhao, F.W. Effects of new sowing date and planting density on yield and yield components of new winter wheat cultivar Heng S29. Shandong Agric. Sci. 2017, 49, 37–41. [Google Scholar]
- Qiao, W.C.; Chen, X.M.; Sun, S.L.; Meng, X.H.; Wei, J.W.; Li, D.; Li, Q.; Li, H.M.; Zhao, M.H.; Feng, J.; et al. Study on the high efficiency modes of water and fertilizer about winter wheat new variety Heng 4399. J. Hebei Agric. Sci. 2016, 20, 16–19. [Google Scholar]
- Hui, H.X.; Xu, X.; Li, S.H.; Wang, J.D.; Li, S.M. Differences in photosynthetic physiological characteristics of different spring wheat varieties (lines). Gansu Agric. Sci. Technol. 2003, 19–21. [Google Scholar]
- Chen, S.B. Study on Regulation of Nitrogen Application Amount and Plant Density over Yield and Quality of Yunan Winter Wheat. Master’s Thesis, Huanzhong Agriculture University, Wuhan, China, 2007. [Google Scholar]
- Liu, Z.Q.; Liu, Z.Y.; Liang, Z.L.; Zeng, S.F.; Ma, D.P.; Zhao, J. Genetic studies on chlorophyll content of rice. J. Mountain Agric. Biol. 1983, 1–7. [Google Scholar] [CrossRef]
- Chen, C.; Shi, K.; Zhu, C.W.; Jiang, G.Y.; Luo, L.; Meng, W.W.; Liu, F.; Shen, F.M.; Liu, S.L. Effects of planting density and nitrogen application rate on wheat photosynthetic characteristics, yield, and soil nitrogen content in Fluvo-aquic soil in northern Henan province. J. Agric. Sci. Technol. 2023, 25, 24–33. [Google Scholar]
- Zhan, C.G.; Sun, T.; Wang, J.C.; Gao, Z.; Li, T.R.; Aximu, R. Effects of sowing date and density on photosynthetic characteristics and yield of winter wheat under drip irrigation. Xinjiang Agric. Sci. 2021, 58, 1971–1980. [Google Scholar]
- Ke, Y.Y.; Chen, X.; Ni, Q.Q.; Zhang, L.L.; Wei, F.Z.; Li, J.C. Research progress of dry matter accumulation and distribution pattern in wheat. Barley and Cereal Sci. 2021, 38, 1–7+12. [Google Scholar]
- Lü, G.D.; Yin, F.W.; Sun, Y.Y.; Qian, Z.G.; Xu, J.L.; Li, N.; Xue, L.N.; Wu, K. Effects of different seeding rates on yield, dry matter accumulation and distribution of Linmai 4. Crops 2020, 3, 142–148. [Google Scholar]
- Yang, J. Effect of Sow Dates and Densities on Wheat Growth Characteristics and Yield. Master’s Thesis, North West Agriculture & Forestry University, Xianyang, China, 2011. [Google Scholar]
- Huang, Y.S.; Zhang, H.C.; Xu, K.; Li, B.S.; Qian, J. Effects of the quantities of nitrogenous fertilizer on the yield and population quality of the Mid- gluten wheat Yangmai 11. Chin. Agric. Sci. Bull. 2006, 22, 238–241. [Google Scholar]
- Tian, Z.W.; Wang, F.R.; Dai, T.B.; Cai, J.; Jiang, D.; Cao, W.X. Characteristics of dry matter accumulation and translocation during the wheat genetic improvement and their relationship to grain yield. Sci. Agric. Sin. 2012, 45, 801–808. [Google Scholar]
- Shi, Z.L.; Wang, F.; Li, X.; Wang, J.C.; Zhe, B.; Sun, R.H.; Jia, T.; Song, C.J. Dry matter and nitrogen accumulation as affected by nitrogen fertilization and seeding rate in winter wheat. Am. J. Agric. For. 2018, 6, 50–59. [Google Scholar] [CrossRef]

| Year | Treatment | Spike Number (×104 ha−1) | Grain Number per Spike | Number of Grains per Unit Area (×103 m−2) | Thousand-Grain Weight (g) | Grain Yield (kg·ha−1) |
|---|---|---|---|---|---|---|
| 2021–2022 | JM17-D1 | 588.96 a | 40.96 b | 24,125.62 a | 45.37 a | 9289.48 b |
| JM17-D2 | 580.28 a | 43.31 a | 25,129.44 a | 44.78 a | 9603.70 a | |
| JM17-D3 | 555.28 b | 44.10 a | 24,487.47 a | 41.63 b | 8673.27 c | |
| Mean | 574.84 B | 42.79 A | 24,580.84 A | 43.93 A | 9188.82 A | |
| JM22-D1 | 734.97 a | 31.18 c | 22,914.41 b | 43.63 a | 8497.30 b | |
| JM22-D2 | 734.14 a | 33.52 b | 24,604.69 a | 41.86 b | 8785.44 a | |
| JM22-D3 | 648.35 b | 35.06 a | 22,729.19 b | 40.26 c | 7788.94 c | |
| Mean | 705.82 A | 33.25 B | 23,416.10 B | 41.92 B | 8357.23 B | |
| 2022–2023 | JM17-D1 | 581.16 a | 41.91 b | 24,359.67 b | 41.89 a | 8663.88 b |
| JM17-D2 | 591.65 a | 45.11 a | 26,689.66 a | 39.83 b | 9058.68 a | |
| JM17-D3 | 528.23 b | 46.55 a | 24,581.38 b | 38.62 b | 8056.02 c | |
| Mean | 567.01 B | 44.52 A | 25,210.24 A | 40.11 A | 8592.86 A | |
| JM22-D1 | 705.44 a | 34.03 b | 23,984.81 b | 38.49 a | 7832.43 b | |
| JM22-D2 | 700.49 a | 37.01 a | 25,925.80 a | 37.51 ab | 8294.89 a | |
| JM22-D3 | 619.71 b | 37.95 a | 23,511.15 c | 36.21 b | 7246.51 c | |
| Mean | 675.21 A | 36.33 B | 24,473.92 B | 37.40 B | 7791.27 B | |
| Y | ** | ** | ** | ** | ** | |
| V | ** | ** | ** | ** | ** | |
| D | ** | ** | ** | ** | ** | |
| Y × V | * | ** | ns | ns | ns | |
| Y × D | ns | ns | * | ns | ns | |
| V × D | ** | ns | ns | ns | ns | |
| Y × V × D | ns | ns | ns | ns | ns | |
Disclaimer/Publisher’s Note: The statements, opinions and data contained in all publications are solely those of the individual author(s) and contributor(s) and not of MDPI and/or the editor(s). MDPI and/or the editor(s) disclaim responsibility for any injury to people or property resulting from any ideas, methods, instructions or products referred to in the content. |
© 2024 by the authors. Licensee MDPI, Basel, Switzerland. This article is an open access article distributed under the terms and conditions of the Creative Commons Attribution (CC BY) license (https://creativecommons.org/licenses/by/4.0/).
Share and Cite
Zhang, Y.; Li, W.; Zhu, Z.; Zhao, L.; Duan, H.; Ge, H.; Zhao, C. Timing Matters: The Impact of Sowing Dates on Photosynthetic Traits and Biomass Accumulation in Hybrid Winter Wheat. Agriculture 2025, 15, 40. https://doi.org/10.3390/agriculture15010040
Zhang Y, Li W, Zhu Z, Zhao L, Duan H, Ge H, Zhao C. Timing Matters: The Impact of Sowing Dates on Photosynthetic Traits and Biomass Accumulation in Hybrid Winter Wheat. Agriculture. 2025; 15(1):40. https://doi.org/10.3390/agriculture15010040
Chicago/Turabian StyleZhang, Yulu, Wenlu Li, Zixin Zhu, Ludi Zhao, Hongxiao Duan, Hongmei Ge, and Changxing Zhao. 2025. "Timing Matters: The Impact of Sowing Dates on Photosynthetic Traits and Biomass Accumulation in Hybrid Winter Wheat" Agriculture 15, no. 1: 40. https://doi.org/10.3390/agriculture15010040
APA StyleZhang, Y., Li, W., Zhu, Z., Zhao, L., Duan, H., Ge, H., & Zhao, C. (2025). Timing Matters: The Impact of Sowing Dates on Photosynthetic Traits and Biomass Accumulation in Hybrid Winter Wheat. Agriculture, 15(1), 40. https://doi.org/10.3390/agriculture15010040

