A Specific Time Lag Regulation of Soil Moisture Across Layers on Soil Salinization in the Northeast Tibetan Plateau Agroecosystem
Abstract
1. Introduction
2. Method and Materials
2.1. Study Area
2.2. Data Sources and Preprocessing
2.3. Geostatistical Methods
2.3.1. Spatiotemporal Variation
2.3.2. Quantitative Contribution
2.3.3. Windowed Cross Correlation
2.3.4. Statistical Machine Learning
3. Results
3.1. Interannual Trend
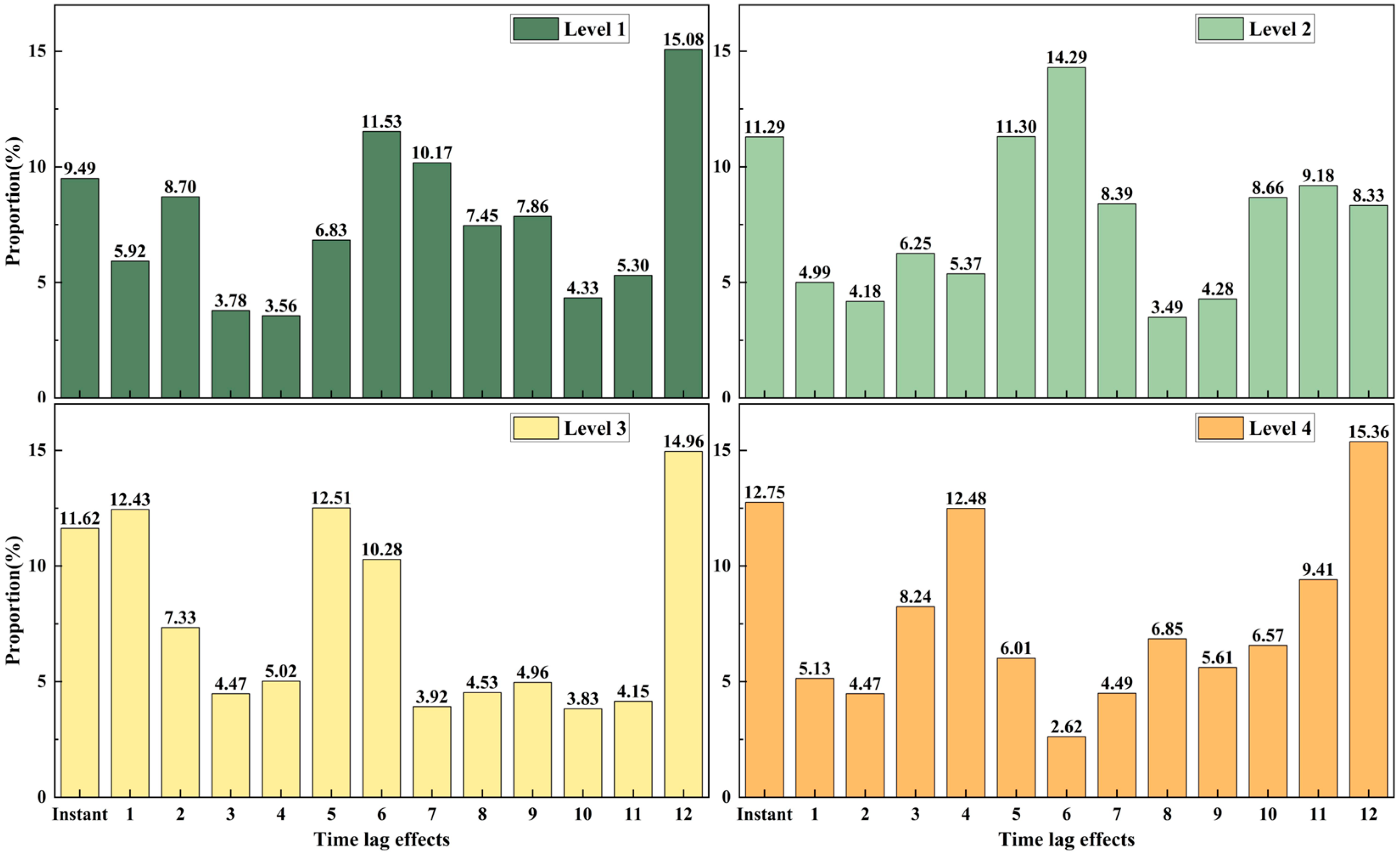
3.2. Time Lag Correlation
3.3. Potential Driving Factor Analysis
4. Discussion
4.1. Result Robustness
4.2. Fluctuation Similarity
4.3. Dominant Factor Comparison
4.4. Associated Ecological Threat
5. Conclusions
Supplementary Materials
Author Contributions
Funding
Institutional Review Board Statement
Data Availability Statement
Conflicts of Interest
References
- Jiang, D.; Ao, C.; Bailey, R.T.; Zeng, W.; Huang, J. Simulation of water and salt transport in the Kaidu River Irrigation District using the modified SWAT-Salt. Agric. Water Manag. 2022, 272, 107845. [Google Scholar] [CrossRef]
- Zhang, X.; Shu, C.; Fujii, M.; Wu, Y.; Ye, P.; Bao, Y. Numerical and experimental study on water-heat-salt transport patterns in shallow bare soil with varying salt contents under evaporative conditions: A comparative investigation. J. Hydrol. 2023, 621, 129564. [Google Scholar] [CrossRef]
- Lee, X.; Yang, F.; Xing, Y.; Huang, Y.; Xu, L.; Liu, Z.; Holtzman, R.; Kan, I.; Li, Y.; Zhang, L. Use of biochar to manage soil salts and water: Effects and mechanisms. Catena 2022, 211, 106018. [Google Scholar] [CrossRef]
- Daba, A.W.; Qureshi, A.S. Review of soil salinity and sodicity challenges to crop production in the lowland irrigated areas of Ethiopia and its management strategies. Land 2021, 10, 1377. [Google Scholar] [CrossRef]
- Dong, X.; Ding, J.; Ge, X. Future changes in soil salinization across Central Asia under CMIP6 forcing scenarios. Land Degrad. Dev. 2024, 35, 3981–3998. [Google Scholar] [CrossRef]
- Fan, G.; Zhang, D.; Zhang, J.; Li, Z.; Sang, W.; Zhao, L.; Xu, M. Ecological environmental effects of Yellow River irrigation revealed by isotope and ion hydrochemistry in the Yinchuan Plain, Northwest China. Ecol. Indic. 2022, 135, 108574. [Google Scholar] [CrossRef]
- Liu, Y.; Han, X.; Zhu, Y.; Li, H.; Qian, Y.; Wang, K.; Ye, M. Spatial mapping and driving factor Identification for salt-affected soils at continental scale using Machine learning methods. J. Hydrol. 2024, 639, 131589. [Google Scholar] [CrossRef]
- Jia, P.; Zhang, J.; Liang, Y.; Zhang, S.; Jia, K.; Zhao, X. The inversion of arid-coastal cultivated soil salinity using explainable machine learning and Sentinel-2. Ecol. Indic. 2024, 166, 112364. [Google Scholar] [CrossRef]
- Santi, E.; Comite, D.; Dente, L.; Guerriero, L.; Pierdicca, N.; Clarizia, M.P.; Floury, N. Global soil moisture mapping at 5 km by combining GNSS reflectometry and machine learning in view of HydroGNSS. Sci. Remote Sens. 2024, 10, 100177. [Google Scholar] [CrossRef]
- Singh, A.; Gaurav, K. PIML-SM: Physics-informed machine learning to estimate surface soil moisture from multi-sensor satellite images by leveraging swarm intelligence. IEEE Trans. Geosci. Remote Sens. 2024, 62, 4416913. [Google Scholar] [CrossRef]
- Zhang, J.; Cai, J.; Xu, D.; Wu, B.; Chang, H.; Zhang, B.; Wei, Z. Soil salinization poses greater effects than soil moisture on field crop growth and yield in arid farming areas with intense irrigation. J. Clean. Prod. 2024, 451, 142007. [Google Scholar] [CrossRef]
- Xiao, J.; Chevallier, F.; Gomez, C.; Guanter, L.; Hicke, J.A.; Huete, A.R.; Ichii, K.; Ni, W.; Pang, Y.; Rahman, A.F. Remote sensing of the terrestrial carbon cycle: A review of advances over 50 years. Remote Sens. Environ. 2019, 233, 111383. [Google Scholar] [CrossRef]
- Mello, D.C.; Ferreira, T.O.; Veloso, G.V.; de Lana, M.G.; de Oliveira Mello, F.A.; Di Raimo, L.A.D.L.; Schaefer, C.E.G.R.; Francelino, M.R.; Fernandes-Filho, E.I.; Demattê, J.A. Pedogenetic processes operating at different intensities inferred by geophysical sensors and machine learning algorithms. Catena 2022, 216, 106370. [Google Scholar] [CrossRef]
- Hassani, A.; Azapagic, A.; Shokri, N. Global predictions of primary soil salinization under changing climate in the 21st century. Nat. Commun. 2021, 12, 6663. [Google Scholar] [CrossRef] [PubMed]
- Metternicht, G.I.; Zinck, J. Remote sensing of soil salinity: Potentials and constraints. Remote Sens. Environ. 2003, 85, 1–20. [Google Scholar] [CrossRef]
- Singh, A. Soil salinity: A global threat to sustainable development. Soil Use Manag. 2022, 38, 39–67. [Google Scholar] [CrossRef]
- Smanov, Z.M.; Laiskhanov, S.U.; Poshanov, M.N.; Abikbayev, Y.R.; Duisekov, S.N.; Tulegenov, Y.A. Mapping of cornfield soil salinity in arid and semi-arid regions. J. Ecol. Eng. 2023, 24, 146–158. [Google Scholar] [CrossRef]
- Avdan, U.; Kaplan, G.; Matcı, D.K.; Avdan, Z.Y.; Erdem, F.; Mızık, E.T.; Demirtaş, İ. Soil salinity prediction models constructed by different remote sensors. Phys. Chem. Earth Parts A/B/C 2022, 128, 103230. [Google Scholar] [CrossRef]
- Sahbeni, G.; Ngabire, M.; Musyimi, P.K.; Székely, B. Challenges and opportunities in remote sensing for soil salinization mapping and monitoring: A review. Remote Sens. 2023, 15, 2540. [Google Scholar] [CrossRef]
- Pfitzner, K.S.; Harford, A.J.; Whiteside, T.G.; Bartolo, R.E. Mapping magnesium sulfate salts from saline mine discharge with airborne hyperspectral data. Science of The Total Environment 2018, 640, 1259–1271. [Google Scholar] [CrossRef]
- Liu, Y.; Qian, J.; Yue, H. Comparison and evaluation of different dryness indices based on vegetation indices-land surface temperature/albedo feature space. Adv. Space Res. 2021, 68, 2791–2803. [Google Scholar] [CrossRef]
- Ding, J.; Qu, J.; Sun, Y.; Zhang, Y. The retrieval model of soil salinization information in arid region based on MSAVI-WI feature space: A case study of the delta oasis in Weigan-Kuqa watershed. Geogr. Res. 2013, 32, 223–232. [Google Scholar]
- Bian, L.; Wang, J.; Guo, B.; Cheng, K.; Wei, H. Remote sensing extraction of soil salinity in Yellow River Delta Kenli County based on feature space. Remote Sens. Technol. Appl. 2020, 35, 211–218. [Google Scholar]
- Jiang, Z.; Hao, Z.; Ding, J.; Miao, Z.; Zhang, Y.; Alimu, A.; Jin, X.; Cheng, H.; Ma, W. Weighted Variable Optimization-Based Method for Estimating Soil Salinity Using Multi-Source Remote Sensing Data: A Case Study in the Weiku Oasis, Xinjiang, China. Remote Sens. 2024, 16, 3145. [Google Scholar] [CrossRef]
- Merembayev, T.; Amirgaliyev, Y.; Saurov, S.; Wójcik, W. Soil salinity classification using machine learning algorithms and radar data in the case from the South of Kazakhstan. J. Ecol. Eng. 2022, 23, 61–67. [Google Scholar] [CrossRef]
- Yan, Y.; Guan, Q.; Shao, W.; Wang, Q.; Yang, X.; Luo, H. Spatiotemporal dynamics and driving mechanism of arable ecosystem stability in arid and semi-arid areas based on Pressure-Buffer-Response process. J. Clean. Prod. 2023, 421, 138553. [Google Scholar] [CrossRef]
- Habibi, V.; Ahmadi, H.; Jafari, M.; Moeini, A. Mapping soil salinity using a combined spectral and topographical indices with artificial neural network. PLoS ONE 2021, 16, e0228494. [Google Scholar] [CrossRef] [PubMed]
- Lin, Q.; Xu, L.; Hou, J.; Liu, Z.; Jeppesen, E.; Han, B.-P. Responses of trophic structure and zooplankton community to salinity and temperature in Tibetan lakes: Implication for the effect of climate warming. Water Res. 2017, 124, 618–629. [Google Scholar] [CrossRef] [PubMed]
- Zhaofeng, W.; Hartemink, A.E.; Zhang, Y.; Zhang, H.; Mingjun, D. Major elements in soils along a 2.8–km altitudinal gradient on the Tibetan Plateau, China. Pedosphere 2016, 26, 895–903. [Google Scholar]
- Yao, G.; Li, L.; Cai, M.; Liu, Y. Mechanisms of salinization in a middle Eocene lake in the Tanggu area of the Huanghua Depression. Mar. Pet. Geol. 2017, 86, 155–167. [Google Scholar] [CrossRef]
- Okin, G.S.; D’Odorico, P.; Liu, J. A Mechanism of Land Degradation in Turf-Mantled Slopes of the Tibetan Plateau. Geophys. Res. Lett. 2018, 45, 4041–4048. [Google Scholar] [CrossRef]
- Zhang, G.; Yao, T.; Xie, H.; Yang, K.; Zhu, L.; Shum, C.; Bolch, T.; Yi, S.; Allen, S.; Jiang, L. Response of Tibetan Plateau lakes to climate change: Trends, patterns, and mechanisms. Earth-Sci. Rev. 2020, 208, 103269. [Google Scholar] [CrossRef]
- Li, M.; Liu, S.; Sun, Y.; Liu, Y. Agriculture and animal husbandry increased carbon footprint on the Qinghai-Tibet Plateau during past three decades. J. Clean. Prod. 2021, 278, 123963. [Google Scholar] [CrossRef]
- Barreto, A.C.; Neto, M.F.; de Oliveira, R.P.; Moreira, L.C.J.; de Medeiros, J.F.; da Silva Sá, F.V. Comparative analysis of spectral indexes for soil salinity mapping in irrigated areas in a semi-arid region, Brazil. J. Arid. Environ. 2023, 209, 104888. [Google Scholar] [CrossRef]
- Wei, D.; Zhang, Y.; Li, Y.; Zhang, Y.; Wang, B. Hydrothermal Conditions in Deep Soil Layer Regulate the Interannual Change in Gross Primary Productivity in the Qilian Mountains Area, China. Forests 2023, 14, 2422. [Google Scholar] [CrossRef]
- Muñoz-Sabater, J.; Dutra, E.; Agustí-Panareda, A.; Albergel, C.; Arduini, G.; Balsamo, G.; Boussetta, S.; Choulga, M.; Harrigan, S.; Hersbach, H. ERA5-Land: A state-of-the-art global reanalysis dataset for land applications. Earth Syst. Sci. Data 2021, 13, 4349–4383. [Google Scholar] [CrossRef]
- Guo, B.; Yang, F.; Han, B.; Fan, Y.; Chen, S.; Yang, W.; Jiang, L. A model for the rapid monitoring of soil salinization in the Yellow River Delta using Landsat 8 OLI imagery based on VI-SI feature space. Remote Sens. Lett. 2019, 10, 796–805. [Google Scholar] [CrossRef]
- Sen, P.K. Estimates of the regression coefficient based on Kendall’s tau. J. Am. Stat. Assoc. 1968, 63, 1379–1389. [Google Scholar] [CrossRef]
- Zhang, S.; Liu, S.; Mo, X.; Shu, C.; Sun, Y.; Zhang, C. Assessing the impact of climate change on potential evapotranspiration in Aksu River Basin. J. Geogr. Sci. 2011, 21, 609–620. [Google Scholar] [CrossRef]
- Walker, E.; Birch, J.B. Influence measures in ridge regression. Technometrics 1988, 30, 221–227. [Google Scholar] [CrossRef]
- Zhao, Y.; Chen, Y.; Wu, C.; Li, G.; Ma, M.; Fan, L.; Zheng, H.; Song, L.; Tang, X. Exploring the contribution of environmental factors to evapotranspiration dynamics in the Three-River-Source region, China. J. Hydrol. 2023, 626, 130222. [Google Scholar] [CrossRef]
- Boker, S.M.; Rotondo, J.L.; Xu, M.; King, K. Windowed cross-correlation and peak picking for the analysis of variability in the association between behavioral time series. Psychol. Methods 2002, 7, 338. [Google Scholar] [CrossRef] [PubMed]
- Yang, X.; Zhang, Z.; Guan, Q.; Zhang, E.; Sun, Y.; Yan, Y.; Du, Q. Coupling mechanism between vegetation and multi-depth soil moisture in arid–semiarid area: Shift of dominant role from vegetation to soil moisture. For. Ecol. Manag. 2023, 546, 121323. [Google Scholar] [CrossRef]
- Georganos, S.; Grippa, T.; Vanhuysse, S.; Lennert, M.; Shimoni, M.; Kalogirou, S.; Wolff, E. Less is more: Optimizing classification performance through feature selection in a very-high-resolution remote sensing object-based urban application. GISci. Remote Sens. 2018, 55, 221–242. [Google Scholar] [CrossRef]
- Scornet, E.; Biau, G.; Vert, J.P. Consistency of random forests. Ann. Stat. 2015, 43, 1716–1741. [Google Scholar] [CrossRef]
- Lundberg, S.M.; Erion, G.; Chen, H.; DeGrave, A.; Prutkin, J.M.; Nair, B.; Katz, R.; Himmelfarb, J.; Bansal, N.; Lee, S.-I. From local explanations to global understanding with explainable AI for trees. Nat. Mach. Intell. 2020, 2, 56–67. [Google Scholar] [CrossRef] [PubMed]
- Chang, I.; Park, H.; Hong, E.; Lee, J.; Kwon, N. Predicting effects of built environment on fatal pedestrian accidents at location-specific level: Application of XGBoost and SHAP. Accid. Anal. Prev. 2022, 166, 106545. [Google Scholar] [CrossRef] [PubMed]
- Zhang, Y.; Hou, K.; Qian, H.; Gao, Y.; Fang, Y.; Tang, S.; Xiao, S.; Ren, W.; Qu, W.; Zhang, Q. Natural-human driving factors of groundwater salinization in a long-term irrigation area. Environ. Res. 2023, 220, 115178. [Google Scholar] [CrossRef] [PubMed]
- Khamidov, M.; Ishchanov, J.; Hamidov, A.; Shermatov, E.; Gafurov, Z. Impact of soil surface temperature on changes in the groundwater level. Water 2023, 15, 3865. [Google Scholar] [CrossRef]
- Zhou, T.; Wang, Z.; Lv, Q.; Zhang, Y.; Tao, S.; Ren, X.; Gao, H.; Gao, Z.; Hu, S. Sulfur dynamics in saline sodic soils: The role of paddy cultivation and organic amendments. Ecol. Indic. 2024, 162, 112014. [Google Scholar] [CrossRef]
- Hou, R.; Qi, Z.; Li, T.; Fu, Q.; Meng, F.; Liu, D.; Li, Q.; Zhao, H.; Yu, P. Mechanism of snowmelt infiltration coupled with salt transport in soil amended with carbon-based materials in seasonally frozen areas. Geoderma 2022, 420, 115882. [Google Scholar] [CrossRef]
- Guo, B.; Lu, M.; Fan, Y.; Wu, H.; Yang, Y.; Wang, C. A novel remote sensing monitoring index of salinization based on three-dimensional feature space model and its application in the Yellow River Delta of China. Geomat. Nat. Hazards Risk 2023, 14, 95–116. [Google Scholar] [CrossRef]
- Li, L.; Ni, W.; Li, T.; Zhou, B.; Qu, Y.; Yuan, K. Influences of anthropogenic factors on lakes area in the Golmud Basin, China, from 1980 to 2015. Environ. Earth Sci. 2020, 79, 20. [Google Scholar] [CrossRef]
- Liu, Y.; Yang, Y. Multi-depth evolution characteristics of soil moisture over the Tibetan Plateau in the past 70 years using reanalysis products. Front. Environ. Sci. 2022, 10, 979853. [Google Scholar] [CrossRef]
- Sun, G.; Hu, Z.; Ma, Y.; Xie, Z.; Sun, F.; Wang, J.; Yang, S. Analysis of local land atmosphere coupling characteristics over Tibetan Plateau in the dry and rainy seasons using observational data and ERA5. Sci. Total Environ. 2021, 774, 145138. [Google Scholar] [CrossRef]
- Yang, S.; Li, R.; Wu, T.; Hu, G.; Xiao, Y.; Du, Y.; Zhu, X.; Ni, J.; Ma, J.; Zhang, Y. Evaluation of reanalysis soil temperature and soil moisture products in permafrost regions on the Qinghai-Tibetan Plateau. Geoderma 2020, 377, 114583. [Google Scholar] [CrossRef]
- Wang, H.; Zan, B.; Wei, J.; Song, Y.; Mao, Q. Spatiotemporal characteristics of soil Moisture and land–atmosphere coupling over the Tibetan Plateau derived from three gridded datasets. Remote Sens. 2022, 14, 5819. [Google Scholar] [CrossRef]
- Ji, Y.; Li, Y.; Yao, N.; Biswas, A.; Zou, Y.; Meng, Q.; Liu, F. The lagged effect and impact of soil moisture drought on terrestrial ecosystem water use efficiency. Ecol. Indic. 2021, 133, 108349. [Google Scholar] [CrossRef]
- Li, Z.; Li, X.; Yang, S. Plant drought adaptation strategies regulate alpine grassland water yield in the Qinghai Lake Basin, northeastern Qinghai-Tibet Plateau. J. Hydrol. Reg. Stud. 2023, 48, 101470. [Google Scholar] [CrossRef]
- Lin, H.; Yu, Z.; Chen, X.; Gu, H.; Ju, Q.; Shen, T. Spatial-temporal dynamics of meteorological and soil moisture drought on the Tibetan Plateau: Trend, response, and propagation process. J. Hydrol. 2023, 626, 130211. [Google Scholar] [CrossRef]
- Ullah, W.; Wang, G.; Lou, D.; Gao, Z.; Zhu, C.; Samuel Bhatti, A.; Tawia Hagan, D.F.; Li, S.; Jiang, T.; Su, B. The Empirical Influence of Tibetan Plateau Spring Soil Moisture on South Asian Monsoon Onset: A Linear Diagnostic Perspective. J. Clim. 2023, 36, 8723–8742. [Google Scholar] [CrossRef]
- Gu, Z.; Gu, L.; Yin, J.; Fang, W.; Xiong, L.; Guo, J.; Zeng, Z.; Xia, J. Impact of atmospheric circulations on droughts and drought propagation over China. Sci. China Earth Sci. 2024, 67, 2633–2648. [Google Scholar] [CrossRef]
- Tian, Y.; Jiang, G.; Zhou, D.; Li, G. Heterogeneity and regional differences in ecosystem services responses driven by the “Three Modernizations”. Land Degrad. Dev. 2021, 32, 3743–3761. [Google Scholar] [CrossRef]
- Sun, J.; Yang, K.; Lu, H.; Zhou, X.; Li, X.; Chen, Y.; Guo, W.; Wright, J.S. Land–atmosphere feedbacks weaken the cooling effect of soil organic matter property toward deep soil on the eastern Tibetan Plateau. J. Hydrometeorol. 2023, 24, 105–117. [Google Scholar] [CrossRef]
- Liu, Z.; Chen, H.; Huo, Z.; Wang, F.; Shock, C.C. Analysis of the contribution of groundwater to evapotranspiration in an arid irrigation district with shallow water table. Agric. Water Manag. 2016, 171, 131–141. [Google Scholar] [CrossRef]
- Hou, R.; Li, T.-x.; Fu, Q.; Liu, D.; Li, M.; Zhou, Z.-q.; Yan, J.-w.; Zhang, S. Research on the distribution of soil water, heat, salt and their response mechanisms under freezing conditions. Soil Tillage Res. 2020, 196, 104486. [Google Scholar] [CrossRef]
- Wang, Z.; Zhang, F.; Zhang, X.; Chan, N.W.; Kung, H.-t.; Zhou, X.; Wang, Y. Quantitative evaluation of spatial and temporal variation of soil salinization risk using GIS-based geostatistical method. Remote Sens. 2020, 12, 2405. [Google Scholar] [CrossRef]
- Chen, Z.; Yu, D.; Cao, G.; Chen, K.; Fu, J.; Ma, Y.; Wang, X. Characteristics of Soil Temperature, Humidity, and Salinity on Bird Island within Qinghai Lake Basin, China. Sustainability 2022, 14, 9449. [Google Scholar] [CrossRef]
- Chen, X.; Diao, H.; Wang, S.; Li, H.; Wang, Z.; Shen, Y.; Degen, A.A.; Dong, K.; Wang, C. Plant community mediated methane uptake in response to increasing nitrogen addition level in a saline-alkaline grassland by rhizospheric effects. Geoderma 2023, 429, 116235. [Google Scholar] [CrossRef]
- Sun, Y.; Li, Y.; Li, L.; He, H. Preservation of cyanobacterial UVR-shielding pigment scytonemin in carbonate ooids formed in Pleistocene salt lakes in the Qaidam Basin, Tibetan Plateau. Geophys. Res. Lett. 2019, 46, 10375–10383. [Google Scholar] [CrossRef]
- Fang, J.; Li, G.; Rubinato, M.; Ma, G.; Zhou, J.; Jia, G.; Yu, X.; Wang, H. Analysis of long-term water level variations in Qinghai Lake in China. Water 2019, 11, 2136. [Google Scholar] [CrossRef]
- Ma, M.; Zhou, X.; Ma, Z.; Du, G. Composition of the soil seed bank and vegetation changes after wetland drying and soil salinization on the Tibetan Plateau. Ecol. Eng. 2012, 44, 18–24. [Google Scholar] [CrossRef]
- Zhang, N.N.; Sun, G.; Zhong, B.; Wang, E.T.; Zhao, C.Z.; Wang, Y.J.; Cheng, W.; Wu, N. Impacts of wise grazing on physicochemical and biological features of soil in a sandy grassland on the Tibetan Plateau. Land Degrad. Dev. 2019, 30, 719–729. [Google Scholar] [CrossRef]
- Cui, J.; Li, Y.; Adamowski, J.F.; Cao, J.; Biswas, A.; Wang, J.; Zhang, X. Response of leaf, litter, and root ecological stoichiometries to grazing exclosure duration on the Qinghai-Tibetan Plateau. Soil Tillage Res. 2024, 241, 106123. [Google Scholar] [CrossRef]
- Yang, M.; Dong, S.; Dong, Q.; Xu, Y.; Zhi, Y.; Liu, W.; Zhao, X. Trade-offs in ecological, productivity and livelihood dimensions inform sustainable grassland management: Case study from the Qinghai-Tibetan Plateau. Agric. Ecosyst. Environ. 2021, 313, 107377. [Google Scholar] [CrossRef]









Disclaimer/Publisher’s Note: The statements, opinions and data contained in all publications are solely those of the individual author(s) and contributor(s) and not of MDPI and/or the editor(s). MDPI and/or the editor(s) disclaim responsibility for any injury to people or property resulting from any ideas, methods, instructions or products referred to in the content. |
© 2025 by the authors. Licensee MDPI, Basel, Switzerland. This article is an open access article distributed under the terms and conditions of the Creative Commons Attribution (CC BY) license (https://creativecommons.org/licenses/by/4.0/).
Share and Cite
Wei, D.; Zhang, Z.; Yan, L.; Yu, J.; Zhang, Y.; Wang, B. A Specific Time Lag Regulation of Soil Moisture Across Layers on Soil Salinization in the Northeast Tibetan Plateau Agroecosystem. Agriculture 2025, 15, 106. https://doi.org/10.3390/agriculture15010106
Wei D, Zhang Z, Yan L, Yu J, Zhang Y, Wang B. A Specific Time Lag Regulation of Soil Moisture Across Layers on Soil Salinization in the Northeast Tibetan Plateau Agroecosystem. Agriculture. 2025; 15(1):106. https://doi.org/10.3390/agriculture15010106
Chicago/Turabian StyleWei, Di, Ziqi Zhang, Lin Yan, Jia Yu, Yun Zhang, and Bo Wang. 2025. "A Specific Time Lag Regulation of Soil Moisture Across Layers on Soil Salinization in the Northeast Tibetan Plateau Agroecosystem" Agriculture 15, no. 1: 106. https://doi.org/10.3390/agriculture15010106
APA StyleWei, D., Zhang, Z., Yan, L., Yu, J., Zhang, Y., & Wang, B. (2025). A Specific Time Lag Regulation of Soil Moisture Across Layers on Soil Salinization in the Northeast Tibetan Plateau Agroecosystem. Agriculture, 15(1), 106. https://doi.org/10.3390/agriculture15010106

