Next Article in Journal
Spatial–Temporal Analysis of Impacts of Climate Variability on Maize Yield in Kenya
Previous Article in Journal
Wind Vortex Target Control of a Plant Protection UAV Based on a Rice Wind Vortex–Flight Parameter Model
 
 
Font Type:
Arial Georgia Verdana
Font Size:
Aa Aa Aa
Line Spacing:
Column Width:
Background:
Article

Management Strategies for Early Blight in Potatoes: Assessment of the TOMCAST Model, Including the Aerobiological Risk Level and Critical Phenological Period

1
Department of Plant Biology and Soil Sciences, Faculty of Sciences, University of Vigo, 32004 Ourense, As Lagoas, Spain
2
Department of Agroecology AU Flakkebjerg, Aarhus University, Forsøgsvej 1, 4200 Aarhus, Denmark
*
Author to whom correspondence should be addressed.
Agriculture 2024, 14(8), 1414; https://doi.org/10.3390/agriculture14081414
Submission received: 15 July 2024 / Revised: 9 August 2024 / Accepted: 13 August 2024 / Published: 21 August 2024
(This article belongs to the Section Crop Protection, Diseases, Pests and Weeds)

Abstract

The use of pesticides is an efficient approach for pest management. However, their increasing application in recent decades has come under the spotlight of world policies. In this context, this study addresses the usefulness of a forecasting model (TOMCAST) combined with aerobiological information and a plant development model (physiological days, PDays) for the control of early blight in potatoes in Northwest Spain. Control plots were compared to treated plots, according to the original TOMCAST model and the daily Alternaria spp. concentration, meteorological factors, and phenological and epidemiological observations were monitored for better adjustment of the TOMCAST model to the weather conditions of the geographical area during three crop seasons. The results of the linear regression analysis showed a strong relationship between the parameters included in TOMCAST (leaf wetness and temperature) and the Alternaria spp. conidia concentration. In addition, an unbalanced pattern of trapped conidia was detected throughout the growing season, with an increase near the flowering stage. The epidemiological parameters (infection period, r-AUDPC, maximum severity value, and total and commercial yields) showed significant differences between the cultivars in the control and the TOMCAST plots in terms of r-AUDPC and the maximum severity value. Given the study’s results, the original TOMCAST model was improved with aerobiological and phenological information. The improved model recommends a first spray on a day when the following three requirements are met: Ten accumulated disease severity values (DSVs) according to the TOMCAST model, two days with an aerobiological level greater than 10 conidia/m3, and a PDays value greater than 200. This will reduce the number of fungicide treatments used to control early blight in potato crops, promoting the principles of sustainable agriculture.

1. Introduction

Changes in weather patterns toward long and continuous periods of high temperatures and drought have become more frequent in the last few years [1,2,3]. Consequently, horticultural crops are growing under stressful situations, affecting their development, and there is scientific evidence for the serious consequences of global warming on the development of crops and the evolution of pests and diseases, especially in potato crops [1,2,4,5,6,7]. Early blight (Alternaria solani and A. alternata) is one of the most significant fungal diseases affecting this crop [8]. Typical symptoms of early blight include characteristic lesions of concentric rings, which appear dark and sunken [9]. With progressing infection, the lesions enlarge, coalesce, and cause premature leaf death when no control action is taken against them. Unfortunately, high temperatures and irregular rainfall are increasing the infection rate of early blight in potato plants. Consequently, the vegetative development of potato plants and yields are being affected, with yield losses of 20–54% under field conditions if early blight is not properly controlled [10,11,12,13,14].
Understanding the behavior of the pathogen and the influence of climatic conditions is crucial for predicting possible infections. The development of Alternaria conidia is related to various interactions among environmental factors, such as temperature, relative humidity, leaf wetness, or a combination of them [14,15,16,17,18,19,20,21]. Concretely, high temperatures and relative humidity, as well as leaf wetness during the growing season, are conducive to early blight disease development [13,14,17,18,22]. In this sense, models based on weather variables have been used to optimize fungicide application for controlling early blight in potatoes and other Solanaceae crops. This is the case for FAST (Forecasting Alternaria solani in Tomatoes) [15], TOMCAST (Tomato Forecaster) [23], PDays (physiological days) [24], GDD (Growing Degree Days) [25], and the GI model (generic infection model) [14]. Generally, these models are based on temperature and leaf wetness duration to determine the favorable conditions for early blight infection [14,18,23].
Some studies have confirmed that the susceptibility of plants to early blight varies throughout the potato-growing season [8,26,27]. Therefore, the phenological status of the plant contributes to the progress of infection. Some field trials conducted in other geographic regions have shown the flowering stage to be the most vulnerable to the first outbreaks of early blight [8,27,28]. In this phenological stage, the plant starts to accumulate reserve substances in tubers, which causes a weakening of the aerial part and increases the risk of infection. Several models based on thermal requirements, such as PDays and GDD, can be used to determine the age of the potato plant [24,25,29,30].
Most plant disease-forecasting models are based only on weather data, without considering the pathogen inoculum present and the vulnerability of the plant’s age to infection. However, integrating different models based on meteorological and phenological information as a strategy to predict the pathogen behavior seems more appropriate. This is the case for the combination of the TOMCAST model and PDays, which has had good results in the planning of fungicide applications and the efficient control of early blight in potatoes [8]. This approach indicates the phenological stage in which the plant’s susceptibility is high and there is a risk of pathogen development; both conditions are needed to predict the need to spray. On the other hand, the concentration of pathogens in the air has scarcely been considered when applying forecasting models. The monitoring of conidia in the air could help to prevent the first infection cycle, as significant levels in the crop environment could contribute to increasing the potential amount of inoculum. Some aerobiological studies have shown that not only is the presence of Alternaria in the crop environment important but also its concentration [21,22,31,32], demonstrating the importance of establishing pathogen infection thresholds based on aerobiological assays, as with the aerobiological risk levels proposed in the study by Meno et al. [21].
In this sense, this study aimed to demonstrate that fungicide applications against early blight following the TOMCAST model could be optimized by combining information provided by the PDays model and the Alternaria concentration present in the environment. The incorporation of Alternaria levels in the environment of potato plants based on aerobiological sampling is presented as a novelty to complement the TOMCAST model and improve the prediction of early blight infection risk. Reducing the use of pesticides contributes to improving the benefits to potato producers, the health of consumers, and the protection of the environment in the context of green agriculture.

2. Materials and Methods

2.1. General Aspects of the Experimental Field

Field experiments were conducted in the northwest of Spain, specifically in Betán (Baños de Molgas, Galicia, Spain), during three potato crop seasons: 2020, 2021, and 2022. The experiment was performed without irrigation in a typical growing period from April to September each year. For this study, 9 certified potato cultivars were planted in 18 plots of 9 m2 (1.5 m × 6 m), leaving a 1 m separation between plots to avoid leaf contact between different cultivars. The chosen cultivars were Desiree, Frisia, Fontane, Louisa, Agria, Daifla, Red Pontiac, Kennebec, and Fleur Bleue due to their fresh market and industry preferences and different resistance to early blight. The plots for this study were distributed as follows: nine cultivars for the control plot and the other nine cultivars for the TOMCAST plot. TOMCAST plots were used to time fungicide applications according to the requirements of the TOMCAST forecast model (Table S1 in Supplementary Materials). The control plots were not treated against early blight. Insecticides and herbicides were applied in both plots (control and TOMCAST) to prevent weeds and pests (Table S2).

2.2. Weather Monitoring

Daily weather data were recorded with an autonomous weather station (i-METOS, iMETOS ® 3.3, Pessl Instruments, Weiz, Austria) placed at a 1.5 m height in the middle of experimental potato plots. Selected meteorological factors were temperature (minimum (minT), maximum (maxT), and mean (meanT), °C); relative humidity (minimum (minRH), maximum (maxRH), and mean (meanRH), %); and leaf wetness (LW, h).

2.3. Monitoring of the Phenological Stages of the Potato Crop

Observations of the phenological stages of the crop in the different potato cultivars were conducted weekly from the date of planting until senescence. Three main phenological stages were followed: (1) the vegetative stage, starting when 50% of the plants had emerged until the onset of flowering (OF); (2) the flowering stage, starting when 50% of the flowers had opened in each plot until the onset of senescence; (3) the senescence stage, starting when at least 50% of the plants had turned yellow until the plants completely dried. The critical phenological period (CPP) was established (from the onset of flowering until 50% of the plants were yellowing or almost dry) to limit the period of fungicide application based on the risk of infection by the pathogen.

2.4. Aerobiological Sampling

Conidia of A. solani and A. alternata (hereafter called Alternaria) in the crop environment were trapped with a Burkard spore sampler (Manufacturing Co. Ltd., Rickmansworth, UK). The capture system had a 7-day recorder spore-trap, which was placed at a height of 1.5 m in the middle of experimental potato plots a week after potato planting. The reference methodology used for aerobiological counting was that proposed by Galán et al. [33] and explained by Meno et al. [13]. The daily aerobiological risk level (ARL) was established as 10 conidia/m3 [21]. The ARL indicates the minimum number of conidia that can initiate an early blight epidemic.

2.5. Assessment and Quantification of the Disease

Observations for early blight symptoms/severity were conducted weekly in the nine potato cultivars. The day the first symptoms of early blight were observed in the plants marked the onset of the early blight epidemic in each growing season. Subsequently, the development of early blight in each potato cultivar was monitored weekly, as described by Meno et al. [13].
The epidemic duration (period of infection) was determined as the time (in days) elapsed from early blight onset until the total defoliation of the cultivar. In cultivars where total defoliation was not observed, the epidemic duration was from disease onset until the final disease assessment.
The disease severity over time was used to calculate the area under the disease progress curve (AUDPC), as described by Shaner and Finney [34]. The AUDPC values of each cultivar were standardized with the duration of the epidemic and the maximum possible value of disease severity (100%). This standardized AUDPC is the r-AUDPC (relative area under the disease progress curve). The maximum disease severity (max severity value, %) for each cultivar at the end of the experiment was also recorded.
The yields of selected cultivars were measured. For this, two plants from each potato cultivar studied from both TOMCAST and control plots were randomly selected to measure the total yield and marketable yield (tuber size > 40 mm). Then, the measured yield was estimated per hectare, and the results were expressed in t/ha. Damaged or rotten potatoes were not considered.

2.6. Forecast Models

2.6.1. The Physiological Days Model (PDays Model)

The PDays model simulates the phenology of the potato plant [35]. It estimates the thermal age of the potato plants using minimum, maximum, and optimum temperatures of 7, 30, and 21 °C, respectively. In this study, this model was applied daily to predict the phenological stage in which potato plants are susceptible to early blight infection.

2.6.2. TOMCAST Model

TOMCAST is a weather-based model derived from the dew sub-model of FAST [15]. The model was originally targeted at predicting early blight, Septoria leaf spot, and Anthracnosis on tomatoes [23], and recently, it has been adapted to schedule fungicide applications in potato fields [8]. The TOMCAST model calculates daily severity values (DSV) as a function of the duration of leaf wetness (hours) and the average temperature during the leaf wetness period [23]. The DSVs are numerical representations of the risk of early blight attack in a day. The DSVs of each day are accumulated until they reach a threshold conducive to early blight disease. Previous studies have recommended fungicide treatment for the study area upon reaching a DSV value of 10 [13]. This is the DSV threshold used for sprays applied during the plant growth period in TOMCAST plots.

2.7. Statistical Analyses

Before assessing the effectiveness of the TOMCAST model, the meteorological and aerobiological data obtained during the study period were statistically treated to verify close relationships. Significant relationships between daily weather variables and daily Alternaria concentrations were analyzed through Spearman’s rank correlation analysis. As the data were not normally distributed, a non-parametric correlation method (Spearman correlation) was used to analyze the relationship between conidia and the weather variables (p < 0.01; p < 0.05). Furthermore, the meteorological factors were used as independent variables to estimate the Alternaria concentration in the crop environment through a linear regression analysis. This statistical analysis was conducted to verify which weather parameters had the greatest influence on the concentration of the conidia in the air. Finally, epidemiological parameters and yields of potato cultivars in the control and TOMCAST plots were compared through an analysis of variance using Bonferroni’s post hoc multiple comparison test (p < 0.05). All statistical analyses were performed with the statistical software IBM SPSS Statistics version 25.

3. Results

3.1. Alternaria Concentration, Phenology, and First Symptoms of Early Blight

The distribution pattern of Alternaria in the air changes in the three seasons during the growth of the potato plants (Figure 1). Higher conidia concentrations from emergence to the end of senescence were found in the 2022 season (990 conidia) (Figure 1a). In contrast, the growing season of 2020 had the lowest number of Alternaria (633 conidia) (Figure 1c), followed by 2021 (with 833 conidia) (Figure 1b).
In 2020, an analysis of the daily Alternaria concentration showed two sporulation cycles of the pathogen. The first occurred from 15 DAE to 32 DAE, with a maximum of 20 conidia/m3 during the leaf development stage (Figure 1). In this growing season, the first early blight symptoms were observed on 29 DAE. The second sporulation cycle (with a maximum peak of 45 conidia/m3) occurred from day 43 DAE to 85 DAE, which ended with the senescence of the crop. The onset of flowering (OF) in the nine cultivars tested occurred between 25 DAE and 33 DAE in 2020, both in the control and TOMCAST plots.
In 2021, there was a significant release of conidia from day 43 to 50 DAE, which coincided with the full bloom. The total conidia counted on these days ranged between 60 and 75 conidia/m3. In this growing season, the first symptoms were observed between 36 and 41 DAE.
In 2022, the daily Alternaria concentration remained constant since emergence, with peaks higher than 30 conidia/m3 on days 29, 36, 43, and 50, which coincided with the flowering stage. The onset of flowering of the nine cultivars during this late growing season was less homogeneous. Some cultivars started flowering around 22 DAE, while others, such as Desiree, did not flower until 42 DAE. The first symptoms were observed on 29 DAE. However, none of the concentration levels during these days exceeded 50 conidia/m3 per day.
As previously mentioned, the onset of the disease coincided with the onset of flowering in all growing seasons, reaching values of 208 PDays (in 2020 and 2021) and 216 PDays (in 2022). Furthermore, a daily concentration of greater than 10 conidia/m3 between 9 and 1 day before the first symptoms was found in 2020 and 2022
In the three crop seasons, the onset of visible symptoms on the plant occurred a few days after the onset of flowering, which coincided with full bloom in the plot. By this date, ARL days were also recorded. The ARL was recorded one week before flowering in 2020 and 2021, while in 2022, the ARL days were recorded one week after crop emergence.

3.2. Relationships among Weather Factors and Alternaria Concentration

Significant relationships among the daily meteorological variables and the daily Alternaria concentration were analyzed using a Spearman correlation analysis (Table 1). For this analysis, data from a week after potato planting until the onset of the first symptoms were considered.
The correlation coefficient showed that the temperature (mean, maximum, and minimum) had the greatest influence on conidia release on the same day and previous days (Table 1) (p < 0.01). The relative humidity (mean, maximum, and minimum) and LW showed no significant relationships with the conidia concentration, except maxRH on the same day. However, when LW was combined with meanT during this wetness period, the coefficients were significantly positive with the Alternaria concentration (p < 0.01) (Table 1).
Based on the significant correlation coefficients of previous days between the weather variables and Alternaria concentration found, the need to consider the environmental conditions recorded in previous days is highlighted. For this purpose, the selected crop period for data processing in the linear regression analysis was before the first symptoms were observed. The best model included the mean temperature during the wet period of the same day (meanT in LW_0), the leaf wetness of the previous day (LW_1), and the minimum temperature of the third previous day (minT_3) (Table 2). Two of the three estimators selected by the predictive model were weather variables that constitute the TOMCAST model. The regression equation showed an F-value of 21.31 (p < 0.001), which explained 56% of the variation in the data. Therefore, this statistical analysis demonstrated the close relationship of these meteorological variables included in the original TOMCAST model with the Alternaria concentration.

3.3. Spray Applications According to TOMCAST Model

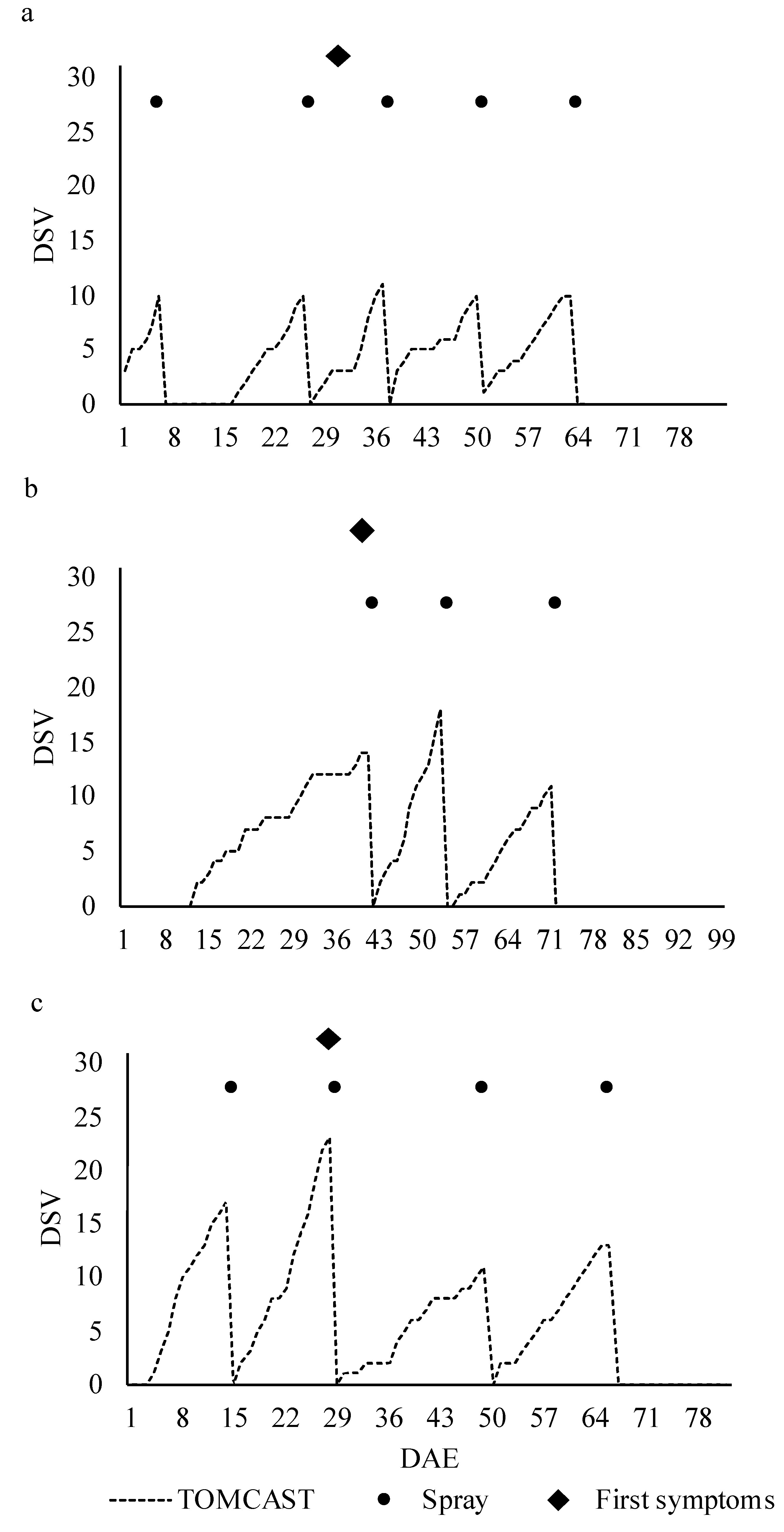
During the sampled period, the TOMCAST model recommended between three and five sprays for early blight control in the potato field (Figure 2). In 2020, five spray applications were advised, of which two sprays were recommended before the first symptoms. In 2021, the TOMCAST model recommended three sprays, the fewest compared to the other years. However, the TOMCAST model’s prediction was inaccurate, as the first symptoms occurred three days after the last treatment in 2021. In 2022, the first symptoms were observed in most cultivars on the 29 DAE. On this day, the second fungicide treatment was applied, resulting in four applications over the entire growing season (Figure 2).

3.4. Assessing the Efficacy of the TOMCAST Model Using Epidemiological Parameters and Tuber Yields

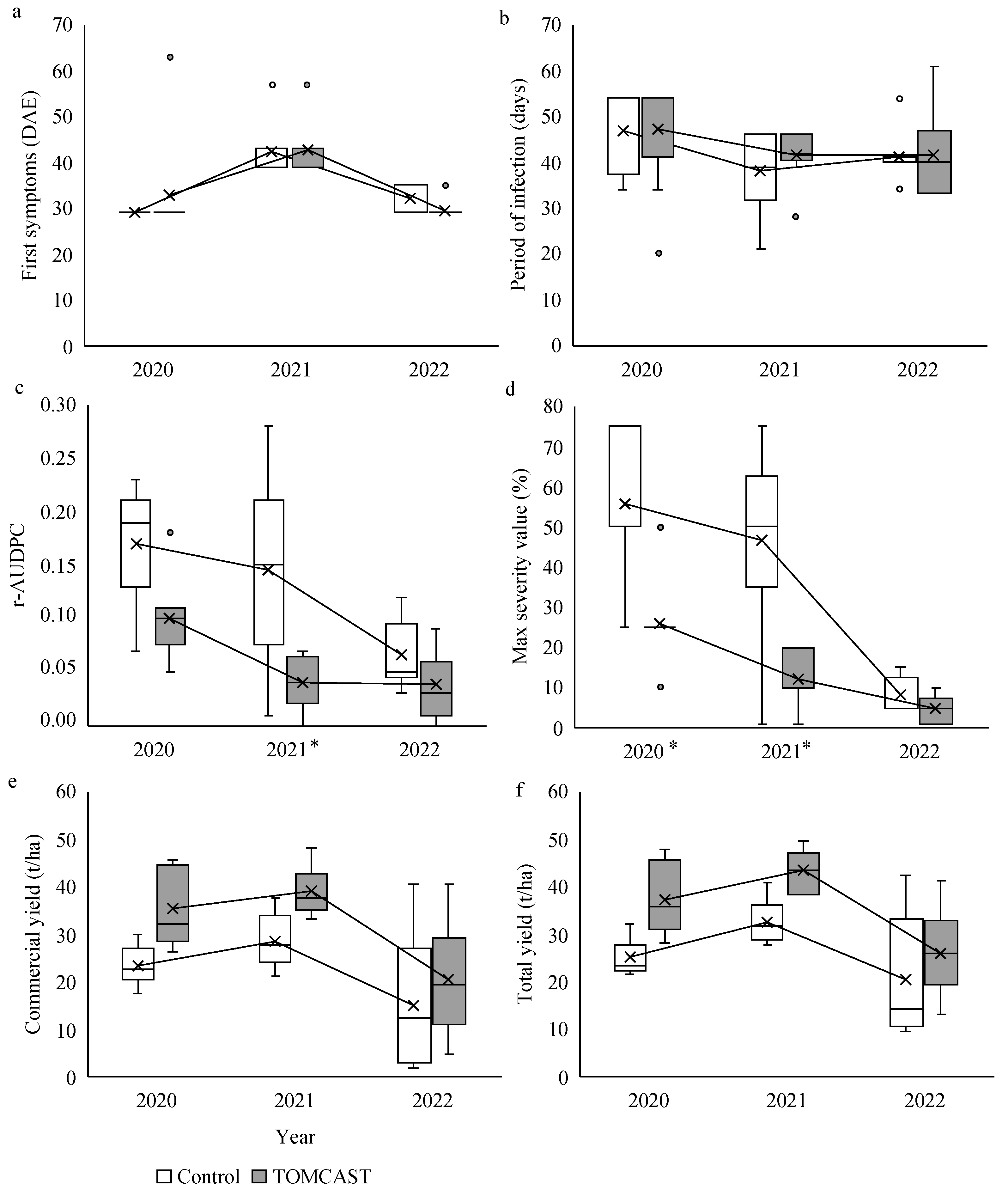
Early blight in potatoes and its development during the three growing seasons were quantified considering six parameters: r-AUDPC, the day of onset of the first symptoms, the period of infection, the maximum disease severity, the total yield, and the commercial yield. As for the appearance of the first symptoms, there were no significant differences between the control plot and the treated plot (Figure 3a). The disease was visible at the same time interval in both plots. Regarding the epidemic duration, no significant differences were found between the two plots in the three years of the study (Figure 3b). In 2020 and 2022, the infection period of the treated plot was longer than in the control plot. The earlier appearance of the first symptoms in 2022 compared to 2021 and the effect of the fungicides kept the plant green longer. However, a little disease was present, causing a longer infection period.
The plants from TOMCAST plots, despite having a similar epidemic duration as the control, had a lower r-AUDPC than in the control plots. However, in 2021, the TOMCAST plots significantly differed from the control plots for r-AUDPC (Figure 3c). The maximum severity values in control plots exceeded 40%, except in 2022, where the maximum severity remained below 10%. The maximum severity values recorded in TOMCAST plots were significantly lower than in the control plots for all growing seasons (not to exceed 25% in 2021 and 2022). The mean maximum disease reached in the TOMCAST plots was less than 15%.
The total and commercial yield for the three studied seasons was higher in the treated potato cultivars than in the control pots (Figure 3e,f). In terms of total yields, a mean value of 27 t/ha and 21 t/ha were found in TOMCAST plots and control plots, respectively. Higher yields were found in 2021, with an average total yield of 42 t/ha for the treated plots and 33 t/ha for the control plot. Considering the commercial yields for this growing season, 38 t/ha and 29 t/ha were estimated in the TOMCAST and control plots, respectively. In 2022, yields suffered a significant drop, both in the control and treated plots, due, among other factors, to high temperatures and long periods of drought. Considering the commercial yields for the 2022 season, 20 t/ha and 15 t/ha were estimated for the TOMCAST plot and the control plot, respectively.
According to the results obtained for the epidemiological parameters, significant differences were observed between the treated cultivars according to the TOMCAST model and the cultivars of the control plot. However, these differences were statistically significant only for the r-AUDPC parameter and the maximum severity value (2020 and 2021), corroborating the low effectiveness of the TOMCAST model for early blight control when only climatic data are considered.

3.5. TOMCAST Model Improvement Proposal for Control of Early Blight in Potatoes

The TOMCAST model is used as an automatic early blight-forecasting tool under sustainable and environmentally friendly agriculture, but it needs to be optimized with more parameters. Based on the variables analyzed during the sampled period, the optimal risk values of DSV, CPP, ARL, and PDays were established to estimate early blight in potatoes in the environmental conditions of Northwest Spain. As mentioned above, disease onset coincided with the onset of flowering in all growing seasons. Therefore, there is a critical phenological period (CPP) at the beginning of the appearance of the first flower buds (between 22 and 28 DAE).
Figure 4 shows the results of the TOMCAST model adjusted for each sampled growing season based on Alternaria levels in the crop environment (ARL), optimal DSV, and information on the phenological state of the crop predicted by the PDays model. Thus, TOMCAST can be improved by considering three risk levels: a DSV value higher than 10, a PDays value higher than 200 (flowering stage), and the concentration of Alternaria conidia being higher than 10 conidia/m3 per day in two or more previous days (ARL). Consequently, the first fungicide treatment is recommended on the day these requirements (DSV, ARL, and PDays) are met. Successive sprays are recommended based on the DSV and ARL, considering that the days of disease risk are integrated into the critical phenological period (CPP) set in this geographical area (Figure 4).

4. Discussion

In recent years, global warming—a well-known effect of climate change—has modified the development of crops and their interactions with pests and diseases [2,3,4,5,6,7,8,9,10,11,12,13,14,15,16,17,18,19,20,21,22,23,24,25,26,27,28,29,30,31,32,33,34,35,36]. In this changing environment, a lack of information about correct disease control and the efficient use of pesticides leads farmers to incorrectly use chemical applications that favor an increased resistance to pathogens. Consequently, this negatively affects farmer´s economy due to the increased costs, the health of consumers, and the environment. However, this problem is well-known by experts and stakeholders, who are working to implement new strategies to make agriculture production systems more sustainable and resilient. In this context, the Green Deal and From Farm to Fork strategy approved by the European Commission aim to reduce the amount of pesticides and fertilizers by 50% by 2030. This will allow traditional agricultural systems to be replaced by sustainable, productive systems. To contribute to the European Union’s commitment, the present study proposes an integrated pest-management strategy to efficiently control early blight in potatoes and avoid unnecessary fungicide applications based on a weather model complemented with phenological and aerobiological information.
The influence of weather on early blight is well-known. The favorable conditions for the development of the Alternaria species responsible for this disease are high temperatures and interrupted periods of humidity [19,32,37,38,39,40,41,42]. Significant correlation coefficients among temperature and air Alternaria conidia were noticed, corroborating that high temperatures increase the conidia of Alternaria in the air [19,21,22,32,37,38,41,43]. The scientific literature has also indicated that daily RH has an unbalanced role in releasing conidia. Some studies have shown non-significant correlation coefficients among the Alternaria conidia in air and RH [37,38,41,43,44]. However, other authors reported that RH was significant in the spread of conidia [19,21,22,32,41] and, in particular, dry intraday conditions and interrupted wet periods are necessary for the release of conidia into the environment, which will act as the promoters of new outbreaks [5,8,21,41]. At the same time, LW is necessary for early blight infection. The results obtained in this study confirmed the influence of temperature and LW on the Alternaria levels. During the 2020 growing season, they recorded a higher number of LW hours and a higher mean temperature with a higher Alternaria concentration. These results agree with other investigations on the epidemics of early blight in potatoes [15,22,27]. Therefore, the combination of leaf temperature and humidity is necessary to support an early blight epidemic, and this factor is key to understanding the behavior of this fungus under field conditions.
Despite the continuous presence of Alternaria throughout the potato crop cycle, the first symptoms in the plants were observed from the onset of the flowering stage, coinciding with a decline in the crop resistance to the disease and when the plants are focused more on tuberization. The progress of the disease is related to the age of the leaf, with the result that older leaves are more vulnerable to the presence of this pathogen [3,8]. Furthermore, resistant cultivars can help minimize the use of chemical treatments used to control the disease [13,16,45,46]. However, the objective pursued in this study was to implement the TOMCAST model globally in order to establish a single fungicide application schedule to cover multiple potato cultivars planted simultaneously. This allowed different responses to early blight and phenological behavior and covered different situations derived from the characteristics of cultivars. The results indicated that, over the three growing seasons, the TOMCAST model was able to control the disease caused by early blight. However, looking at the control plants compared to those that were treated, the differences in the epidemiological parameters of disease progression (r-AUDPC) and maximum disease severity reached were significant. For the onset of the first symptoms and the period of infection, the differences were not significant, which supports that the TOMCAST model needs to be complemented with more information measured in the field like phenology and aerobiology. The value range of the DSV defines the pest control schedule [17]. The value of 10 DSV indicated good forecasts, but in some of the growing seasons (e.g., 2020), the prediction was conservative. In 2021 and 2022, spring rains did not allow fungicides to be applied at 10 DSV but were delayed until 14 and 16 DSV. However, in these two crop cycles, the disease did not increase in the plot treated according to the TOMCAST model. Therefore, these results support the idea that prediction models can be a sustainable and environmentally friendly alternative.
PDays have been used in disease-management plans to control early blight with interesting potential [26,47,48,49]. The accumulated PDays consider the temperature (maximum, minimum, and optimum) required for correct plant growth and, therefore, show consistency with determining disease appearance in crops planted at different localities and dates. Campo-Arana [26] reported that spray applications must begin at 250 accumulated PDays because, at 300 PDays, the infection starts. Pscheidt and Stevenson [47] proposed 300 accumulated PDays to start fungicide applications to correct the control of early blight. The present study showed that the first symptoms started when 208 to 216 PDays were reached. Therefore, in the Northwest of Spain, this model recommended the first spray at 200 PDays. When forecast models are combined with aerobiological and phenological information, the conservative prediction performed by the TOMCAST model can be corrected. At the same time, unnecessary spray applications are avoided. Other researchers [8] have already combined TOMCAST with the PDays model and obtained good results. However, this study marks the first proposal to complement the TOMCAST model with aerobiological data and plant phenological observations to determine the first application of fungicides against early blight in potatoes.
The analysis of the potato yields obtained at the end of each growing season is one of the most important epidemiological parameters for the approval of a new agricultural strategy by farmers. In this study, the yield from plots treated according to the TOMCAST model responded with the highest yield compared to the control plot in the three crop seasons. Previous investigations have linked significant yield losses to early blight in potatoes [10,13,14], with declines of up to 30–60% if the progress of the disease is uncontrolled in the field [10,13]. Shtienberg et al. [50] reported that tuber bulking stopped when early blight defoliation reached 75%. The results of the present study showed yield decreased with severity values of 40–60% in the control plots. In contrast, the cultivars in the TOMCAST plots had less disease development and, consequently, less defoliation and lower yield losses. This confirms the proposal by Horsfield et al. [51] that a greater green leaf area of plants favors greater tuber growth and higher yields.
The inclusion of plant maturation in the forecast model proved to be of importance, as it has been shown that the onset of flowering marks a change in the immune status of the plant, which makes it more susceptible to early blight attack. Predicting the onset of flowering with models based on the developmental conditions of the potato crop and aerobiological monitoring can be a complement to consider controlling the disease before its symptoms are visible. Consequently, the efficacy of fungicides is improved, and the conservative predictions of the theoretical models based on meteorological parameters are corrected. A greater number of potato growing seasons would be necessary to test and demonstrate the effectiveness of the proposal included in this research study. However, adjusting disease-forecasting models to the climatic conditions of a specific area and considering more parameters is essential for the better management of pesticide applications and sustainable agriculture production.

5. Conclusions

The statistical treatment of the data highlighted that the weather variables integrated into the TOMCAST model were the most influential on the Alternaria concentration present in the potato crop environment. These results corroborate the importance of monitoring these variables during the growing season for the control of early blight in potatoes in the field. On the other hand, regardless of the environmental conditions of each growing season, the first symptoms of the disease were observed at the onset of flowering. In the week before the first symptoms were detected, the concentration of Alternaria in the environment was above 10 conidia/m3 (favorable aerobiological risk level). Although the first symptoms appeared on similar days, plots treated according to the TOMCAST model (3–5 sprays per crop season) resulted in lower disease progression and lower severity values than control plots. The plants treated were greener for longer, and final yields were higher by 40–60% compared to the control plots. Finally, the analysis of aerobiological and phenological information in the TOMCAST model was proposed, making it possible to save one unnecessary application in two of the sampled seasons. Therefore, the aerobiological and phenological information could complement the forecasting models in order to avoid unnecessary applications derived from a conservative prediction. This contributes to effectively adjusting the forecasting models, avoiding unnecessary fungicide applications, and improving the economic profit to farmers, as well as the health of consumers and the environment.

Supplementary Materials

The following supporting information can be downloaded at: https://www.mdpi.com/article/10.3390/agriculture14081414/s1, Table S1: Fungicide application in TOMCAST plots during the three potato crop seasons. Table S2: Herbicides and insecticides applied in TOMCAST and the control plot during three potato crop seasons.

Author Contributions

Conceptualization, L.M., I.A., M.C.S. and O.E.; formal analysis, L.M. and O.E.; investigation, L.M.; data curation, L.M. and O.E.; writing—original draft preparation, L.M. and I.A.; writing—review and editing, L.M., O.E. and M.C.S.; supervision, I.A., O.E. and M.C.S. All authors have read and agreed to the published version of the manuscript.

Funding

This research received no external funding.

Institutional Review Board Statement

Not applicable.

Data Availability Statement

The datasets generated and/or analyzed in the current study are available from the corresponding authors upon reasonable request.

Conflicts of Interest

The authors declare no conflicts of interest.

References

  1. Haverkort, A.; Verhagen, A. Climate change and its repercussions for the potato supply chain. Potato Res. 2008, 51, 223–237. [Google Scholar] [CrossRef]
  2. Kocmánková, E.; Trnka, M.; Eitzinger, J.; Formayer, H.; Dubrovský, M.; Semerádová, D.; Žalud, Z.; Juroch, J.; Možný, M. Estimating the impact of climate change on the occurrence of selected pests in the Central European region. Clim. Res. 2010, 44, 95–105. [Google Scholar] [CrossRef]
  3. Jindo, K.; Evenhuis, A.; Kempenaar, C.; Pombo, C.; Zhan, X.; Goitom, M.; Kessel, G. Holistic pest management against early blight disease towards sustainable agriculture. Pest Manag. Sci. 2021, 77, 3871–3880. [Google Scholar] [CrossRef] [PubMed]
  4. Bebber, D.P.; Ramotowski, M.A.; Gurr, S.J. Crop pests and pathogens move polewards in a warming world. Nat. Clim. Change 2013, 3, 985–988. [Google Scholar] [CrossRef]
  5. Van der Waals, J.E.; Krüger, K.; Franke, A.; Haverkort, A.; Steyn, J.M. Climate change and potato production in contrasting South African agro-ecosystems. Effects on relative development rates of selected pathogens and pests. Pot. Res. 2013, 56, 67–84. [Google Scholar] [CrossRef]
  6. Launay, M.; Caubel, J.; Bourgeois, G.; Huard, F.; Garcia de Cortazar-Atauri, I.; Bancal, M.O.; Brisson, N. Climatic indicators for crop infection risk: Application to climate change impacts on five major foliar fungal diseases in Northern France. Agric. Ecosyst. Environ. 2014, 197, 147–158. [Google Scholar] [CrossRef]
  7. Kumar, P.; Biswas, S.K.; Kumar, V.; Lal, K. Epidemiological Studies on Early Blight of Potato under Climate Change and its Co-Relation with Disease Severity. Int. J. Curr. Microbiol. Appl. Sci. 2017, 6, 1725–1736. [Google Scholar] [CrossRef]
  8. Abuley, I.K.; Nielsen, B.J. Evaluation of models to control potato early blight (Alternaria solani) in Denmark. Crop Prot. 2017, 102, 118–128. [Google Scholar] [CrossRef]
  9. Rotem, J. The Genus Alternaria: Biology, Epidemiology and Pathogenicity; American Phytopathological Society: St. Paul, MN, USA, 1994; p. 326. [Google Scholar]
  10. Leiminger, J.H.; Hausladen, H. Early blight control in potato using disease-orientated threshold values. Plant Dis. 2012, 96, 124–130. [Google Scholar] [CrossRef]
  11. Tsedaley, B. Review on early blight (Alternaria spp.) of potato disease and its management options. J. Biol. Agric. Health 2014, 4, 191–199. [Google Scholar]
  12. Shtienberg, D. Alternaria diseases of potatoes: Epidemiology and management under Israeli conditions. In Proceedings of the Fourteenth Euroblight Workshop, Limassol, Cyprus, 12–15 May 2013; PPO Special Report. Applied Plant Research (Wageningen UR): Lelystad, The Netherlands, 2014; Volume 16, pp. 169–180. [Google Scholar]
  13. Meno, L.; Escuredo, O.; Rodríguez-Flores, M.S.; Seijo, M.C. Looking for a sustainable potato crop. Field assessment of early blight management. Agric. For. Meteorol. 2021, 308–309, 108617. [Google Scholar] [CrossRef]
  14. Abuley, I.K.; Grønbech, H.J.; Meno, L. Evaluation of models based on a generic infection model for controlling early blight in potatoes. Crop Prot. 2023, 169, 106229. [Google Scholar] [CrossRef]
  15. Madden, L. FAST, a Forecast System for Alternaria solani on Tomato. Phytopathology 1978, 68, 1354–1358. [Google Scholar] [CrossRef]
  16. Holley, J.D.; Hall, R.; Hofstra, G. Effects of Cultivar Resistance, Leaf Wetness Duration and Temperature on Rate of Development of Potato Early Blight. Can. J. Plant Sci. 1985, 65, 179–184. [Google Scholar] [CrossRef]
  17. Vloutoglou, I.K.S.; Darras, A. Effects of isolate virulence and host susceptibility on development of early blight (Alternaria solani) on tomato. EPPO Bull. 2000, 30, 263–267. [Google Scholar] [CrossRef]
  18. Magarey, R.; Sutton, T.; Thayer, C. A simple generic infection model for foliar fungal plant pathogens. Phytopathology 2005, 95, 92–100. [Google Scholar] [CrossRef] [PubMed]
  19. Rodríguez-Rajo, F.J.; Iglesias, I.; Jato, V. Variation assessment of airborne Alternaria and Cladosporium spores at different bioclimatical conditions. Mycol. Res. 2005, 109, 497–507. [Google Scholar] [CrossRef]
  20. Fagodiya, R.; Trivedi, A.; Fagodia, B. Impact of weather parameters on Alternaria leaf spot of soybean incited by Alternaria alternata. Sci. Rep. 2022, 12, 6131. [Google Scholar] [CrossRef]
  21. Meno, L.; Escuredo, O.; Abuley, I.K.; Seijo, M.C. Importance of Meteorological Parameters and Airborne Conidia to Predict Risk of Alternaria on a Potato Crop Ambient Using Machine Learning Algorithms. Sensors 2022, 22, 7063. [Google Scholar] [CrossRef] [PubMed]
  22. Meno, L.; Escuredo, O.; Rodríguez-Flores, M.S.; Seijo, M.C. Modification of the TOMCAST model with aerobiological data for management of potato early blight. Agronomy 2020, 10, 1872. [Google Scholar] [CrossRef]
  23. Gleason, M.L. Disease warning system. Plant Dis. 1995, 79, 113–121. [Google Scholar] [CrossRef]
  24. Pscheidt, J.; Stevenson, W. The critical period for control of early blight (Alternaria solani) of potato. Am. Potato J. 1988, 65, 425–438. [Google Scholar] [CrossRef]
  25. Franc, G.; Harrison, M.; Lahman, L. A simple day-degree model for initiating chemical control of potato early blight in Colorado. Plant Dis. 1988, 72, 851–854. [Google Scholar] [CrossRef]
  26. Campo-Arana, R.O.; Zambolim, L.; Costa, L.C. Potato early blight epidemics and comparison of methods to determine its initial symptoms in a potato field. Rev. Fac. Nac. Agron. Medellin 2007, 60, 3877–3890. [Google Scholar]
  27. Meno, L.; Abuley, I.K.; Escuredo, O.; Seijo, M.C. Suitability of Early Blight Forecasting Systems for Detecting First Symptoms in Potato Crops of NW Spain. Agronomy 2022, 12, 1611. [Google Scholar] [CrossRef]
  28. Wharton, P.; Wood, E. Early Blight Biology and Control in Potatoes; College of Agricultural and Life Sciences, University of Idaho: Moscow, ID, USA, 2013; p. 5. [Google Scholar]
  29. Ghahreman, N.; Varshaviana, V.; Javan-Nikkhahb, M.; Liaghata, A. Forecasting of potato early blight disease using different sets of meteorological data. Can. J. Appl. Sci. 2015, 3, 59–66. [Google Scholar]
  30. Landschoot, S.; De Reu, J.; Audenaert, K.; Vanhaverbeke, P.; Haesaert, G.; De Baets, B.; Waegeman, W. Potentials and limita-tions of existing forecasting models for Alternaria on potatoes: Challenges for model improvement. Potato Res. 2017, 60, 61–76. [Google Scholar] [CrossRef]
  31. Munuera-Giner, M.; Carrión-García, J.; Navarro-Camacho, C. Airborne Alternaria spores in SE Spain (1993–1998). Grana 2001, 40, 111–118. [Google Scholar] [CrossRef]
  32. Escuredo, O.; Seijo-Rodríguez, A.; Meno, L.; Rodríguez-Flores, M.S.; Seijo, M.C. Seasonal Dynamics of Alternaria during the Potato Growing Cycle and the Influence of Weather on the Early Blight Disease in North-West Spain. Am. J. Pot. Res. 2019, 96, 532–540. [Google Scholar] [CrossRef]
  33. Galán, S.C.; González, P.C.; Teno, P.A.; Vilches, E.D. Manual de calidad y gestión de la Red Española de Aerobiología; Universidad de Córdoba: Córdoba, Spain, 2007; p. 39. [Google Scholar]
  34. Shaner, G.; Finney, R.E. The Effect of Nitrogen Fertilization on the Expression of Slow-Mildewing Resistance in Knox Wheat. Phytopathology 1977, 77, 1051–1056. [Google Scholar] [CrossRef]
  35. Sands, P.J.; Hackett, C.; Nix, H.A. A model of the development and bulking of potatoes (Solanum tuberosum L.). Derivation from well-managed field crops. Field Crops Res. 1979, 2, 309–331. [Google Scholar] [CrossRef]
  36. Schneider, L.; Rebetez, M.; Rasmann, S. The effect of climate change on invasive crop pests across biomes. Curr. Opin. Insect Sci. 2022, 50, 100895. [Google Scholar] [CrossRef] [PubMed]
  37. Fernández-Rodríguez, S.; Sadyś, M.; Smith, M.; Tormo-Molina, R.; Skjøth, C.A.; Maya-Manzano, J.M.; Silva-Palacios, I.; Gonzalo-Garijo, Á. Potential sources of airborne Alternaria spp. spores in South-west Spain. Sci. Total Environ. 2015, 533, 165–176. [Google Scholar] [CrossRef] [PubMed]
  38. Filali-Ben-Sidel, F.; Bouziane, H.; del Mar Trigo, M.; El Haskouri, F.; Bardei, F.; Redouane, A.; Kadiri, M.; Riadi, H.; Kazzaz, M. Airborne fungal spores of Alternaria, meteorological parameters and predicting variables. Int. J. Biometeorol. 2015, 59, 339–346. [Google Scholar] [CrossRef] [PubMed]
  39. Maya-Manzano, J.; Muñoz-Triviño, M.; Fernández-Rodríguez, S.; Silva-Palacios, I.; Gonzalo-Garijo, A.; Tormo-Molina, R. Airborne Alternaria conidia in Mediterranean rural environments in SW of Iberian Peninsula and weather parameters that influence their seasonality in relation to climate change. Aerobiologia 2016, 32, 95–108. [Google Scholar] [CrossRef]
  40. Adolf, B.; Andrade-Piedra, J.; Bittara Molina, F.; Przetakiewicz, J.; Hausladen, H.; Kromann, P.; Lees, A.; Lindqvist-Kreuze, H.; Perez, W.; Secor, G.A. Fungal, oomycete, and plasmodiophorid diseases of potato. In The Potato Crop; Campos, H., Ortiz, O., Eds.; Springer: Cham, Switzerland, 2020; pp. 307–350. [Google Scholar]
  41. Meno, L.; Escuredo, O.; Rodríguez-Flores, M.S.; Seijo, M.C. Interrupted Wet Period (IWP) to Forecast the Aerial Alternaria in Potato Crops of A Limia (Spain). Agronomy 2019, 9, 585. [Google Scholar] [CrossRef]
  42. Van Der Waals, J.E.; Korsten, L.; Aveling, T.A.S.; Denner, F.D.N. Influence of environmental factors on field concentrations of Alternaria solani conidia above a South African potato crop. Phytoparasitica 2003, 31, 353–364. [Google Scholar] [CrossRef]
  43. Kasprzyk, I.; Rodinkova, V.; Šaulienė, I.; Ritenberga, O.; Grinn-Gofron, A.; Nowak, M.; Sulborska, A.; Kaczmarek, J.; Weryszko-Chmielewska, E.; Bilous, E.; et al. Air pollution by allergenic spores of the genus Alternaria in the air of central and eastern Europe. Environ. Sci. Pollut. Res. 2015, 22, 9260–9274. [Google Scholar] [CrossRef]
  44. Bhattiprolu, S.L.; Monga, D. Effect of weather parameters on the development of Alternaria leaf spot and grey mildew in cotton. J. Agric. Meteorol. 2018, 20, 315–318. [Google Scholar] [CrossRef]
  45. Dita, M.A.; Brommonschenkel, S.H.; Matsuoka, K.; Mizubuti, E.S.G. Components of resistance to early blight in four potato cultivars: Effect of leaf position. J. Phytopathol. 2006, 154, 230–235. [Google Scholar] [CrossRef]
  46. Xue, W.; Haynes, K.G.; Qu, X. Characterization of early blight resistance in potato cultivars. Plant Dis. 2019, 103, 629–637. [Google Scholar] [CrossRef] [PubMed]
  47. Pscheidt, J.; Stevenson, W. Comparison of forecasting methods for control of potato early blight in Wisconsin. Plant Dis. 1986, 70, 915–920. [Google Scholar] [CrossRef]
  48. Gent, D.H.; Schwartz, H.F. Validation of potato early blight disease forecast models for Colorado using various sources of meteorological data. Plant Dis. 2003, 87, 78–84. [Google Scholar] [CrossRef] [PubMed]
  49. Olanya, O.M.; Honeycutt, C.W.; Larkin, R.P.; Griffin, T.S.; He, Z.; Halloran, J.M. The effect of cropping systems and irrigation management on development of potato early blight. Plant Pathol. J. 2009, 75, 367–375. [Google Scholar] [CrossRef]
  50. Shtienberg, D.; Bergeron, S.; Nicholson, A.; Fry, W.; Ewing, E. Development and evaluation of a general model for yield loss assessment in potatoes. Phytopathology 1990, 80, 466–472. [Google Scholar] [CrossRef]
  51. Horsfield, A.; Wicks, T.; Davies, K.; Wilson, D.; Paton, S. Effect of fungicide use strategies on the control of early blight (Alternaria solani) and potato yield. Australas. Plant Pathol. 2010, 39, 368–375. [Google Scholar] [CrossRef]
Figure 1. The daily concentration of Alternaria, aerobiological risk level (ARL), onset of the first symptoms, onset of the flowering stage, and accumulation of PDays for the three crop seasons: (a) 2020; (b) 2021; and (c) 2022. OF: onset of flowering.
Figure 1. The daily concentration of Alternaria, aerobiological risk level (ARL), onset of the first symptoms, onset of the flowering stage, and accumulation of PDays for the three crop seasons: (a) 2020; (b) 2021; and (c) 2022. OF: onset of flowering.
Agriculture 14 01414 g001
Figure 2. The fungicide calendar according to the TOMCAST model and the date of the observation of the first symptoms in the different potato cultivars during three crop seasons: (a) 2020; (b) 2021; and (c) 2022. DSV: day severity value; DAE: days after emergence.
Figure 2. The fungicide calendar according to the TOMCAST model and the date of the observation of the first symptoms in the different potato cultivars during three crop seasons: (a) 2020; (b) 2021; and (c) 2022. DSV: day severity value; DAE: days after emergence.
Agriculture 14 01414 g002
Figure 3. The main epidemiology parameters measured from potato cultivars considering control and TOMCAST plots: (a) The onset of the first symptoms (DAE); (b) the period of infection (days); (c) r-AUDPC; (d) the maximum value of severity reached (%); (e) the total yield; and (f) the commercial yield (>40 mm of caliber) in t/ha. Significant differences (p < 0.05) according to the Bonferroni test between the TOMCAST and control plots in each crop season are highlighted with *.
Figure 3. The main epidemiology parameters measured from potato cultivars considering control and TOMCAST plots: (a) The onset of the first symptoms (DAE); (b) the period of infection (days); (c) r-AUDPC; (d) the maximum value of severity reached (%); (e) the total yield; and (f) the commercial yield (>40 mm of caliber) in t/ha. Significant differences (p < 0.05) according to the Bonferroni test between the TOMCAST and control plots in each crop season are highlighted with *.
Agriculture 14 01414 g003
Figure 4. The proposal of a fungicide calendar combining the TOMCAST model with ARL (aerobiological risk level) and PDays during the three crop seasons ((a): 2020; (b): 2021; (c): 2022). DAE: days after emergence; CPP: critical phenological period; DSV: disease severity values of the TOMCAST model. The black cross indicates when 200 PDays were reached.
Figure 4. The proposal of a fungicide calendar combining the TOMCAST model with ARL (aerobiological risk level) and PDays during the three crop seasons ((a): 2020; (b): 2021; (c): 2022). DAE: days after emergence; CPP: critical phenological period; DSV: disease severity values of the TOMCAST model. The black cross indicates when 200 PDays were reached.
Agriculture 14 01414 g004
Table 1. The Spearman correlation coefficients among the daily Alternaria concentration and weather variables from 7 days before to the same day (* p < 0.05; ** p < 0.01).
Table 1. The Spearman correlation coefficients among the daily Alternaria concentration and weather variables from 7 days before to the same day (* p < 0.05; ** p < 0.01).
AlternariameanTmaxTminTmeanRHmaxRHminRHLWmeanT in LW
010.418 **0.439 **0.358 **−0.073−0.140 *0.0470.0520.446 **
_10.542 **0.402 **0.407 **0.360 **−0.041−0.090.0760.0740.418 **
_20.466 **0.364 **0.329 **0.324 **−0.036−0.0640.0470.0340.366 **
_30.362 **0.341 **0.352 **0.304 **0.04−0.0260.080.0330.330 **
_40.340 **0.328 **0.331 **0.296 **−0.011−0.0390.0370.0450.337 **
_50.304 **0.308 **0.320 **0.271 **0.032−0.030.0120.0130.335 **
_60.373 **0.322 **0.294 **0.284 **−0.043−0.0720.015−0.0830.293 **
_70.333 **0.333 **0.297 **0.302 **−0.051−0.1070.02−0.1160.297 **
meanT: mean temperature (°C); maxT: maximum temperature (°C); minT: minimum temperature (°C); meanRH: mean relative humidity (%); maxRH: maximum relative humidity (%); minRH: minimum relative humidity (%); LW: leaf wetness (h); meanT in LW: mean temperature during the leaf wetness period (°C).
Table 2. The summary of the linear regression analysis used to predict the Alternaria concentration with meteorological data before the first observed symptoms.
Table 2. The summary of the linear regression analysis used to predict the Alternaria concentration with meteorological data before the first observed symptoms.
Model summary
RR2Adjusted R2SEFp
0.750.560.536.0721.31<0.001
Coefficients of model
BSE for BBetatp
Intercept−22.253.52 −6.33<0.001
meanT in LW_00.550.260.212.140.036
LW_10.390.130.263.000.004
minT_30.950.300.343.200.002
meanT in LW_0: mean temperature during the leaf wetness period of the same day (°C); LW_1: number of hours with leaf wetness in the previous day (h); minT_3: minimum temperature of three days before (°C). SE: standard error.
Disclaimer/Publisher’s Note: The statements, opinions and data contained in all publications are solely those of the individual author(s) and contributor(s) and not of MDPI and/or the editor(s). MDPI and/or the editor(s) disclaim responsibility for any injury to people or property resulting from any ideas, methods, instructions or products referred to in the content.

Share and Cite

MDPI and ACS Style

Meno, L.; Abuley, I.; Seijo, M.C.; Escuredo, O. Management Strategies for Early Blight in Potatoes: Assessment of the TOMCAST Model, Including the Aerobiological Risk Level and Critical Phenological Period. Agriculture 2024, 14, 1414. https://doi.org/10.3390/agriculture14081414

AMA Style

Meno L, Abuley I, Seijo MC, Escuredo O. Management Strategies for Early Blight in Potatoes: Assessment of the TOMCAST Model, Including the Aerobiological Risk Level and Critical Phenological Period. Agriculture. 2024; 14(8):1414. https://doi.org/10.3390/agriculture14081414

Chicago/Turabian Style

Meno, Laura, Isaac Abuley, M. Carmen Seijo, and Olga Escuredo. 2024. "Management Strategies for Early Blight in Potatoes: Assessment of the TOMCAST Model, Including the Aerobiological Risk Level and Critical Phenological Period" Agriculture 14, no. 8: 1414. https://doi.org/10.3390/agriculture14081414

APA Style

Meno, L., Abuley, I., Seijo, M. C., & Escuredo, O. (2024). Management Strategies for Early Blight in Potatoes: Assessment of the TOMCAST Model, Including the Aerobiological Risk Level and Critical Phenological Period. Agriculture, 14(8), 1414. https://doi.org/10.3390/agriculture14081414

Note that from the first issue of 2016, this journal uses article numbers instead of page numbers. See further details here.

Article Metrics

Back to TopTop