Effects of Nitrogen Deposition and Precipitation Patterns on Nitrogen Allocation of Mongolian Pine (Pinus sylvestris var. mongolica) on Sandy Land Using 15N Isotope
Abstract
1. Introduction
2. Materials and Methods
2.1. Experimental Materials
2.2. Experimental Design
2.3. Measurement and Calculation of Indicators
2.3.1. Sample Collection and Dry Weight Measurement
2.3.2. N Content and 15N Abundance Measurement
2.3.3. Calculation
2.4. Data Processing
3. Results
3.1. Impact of Nitrogen Deposition and Precipitation Patterns on 15N Abundance in Mongolian Pine
3.1.1. Changes in 15N Abundance in Seedlings
3.1.2. Changes in Soil 15N Abundance
3.2. Correlation and Variance Analysis of 15N Abundance in Different Organs and Soil of Mongolian Pine Seedlings Under Various Treatments of Nitrogen Deposition and Precipitation Patterns
3.2.1. Correlation Analysis
3.2.2. Analysis of Variance
3.3. Effects of Nitrogen Deposition and Changes in Precipitation Patterns on 15N Uptake by Mongolian Pine
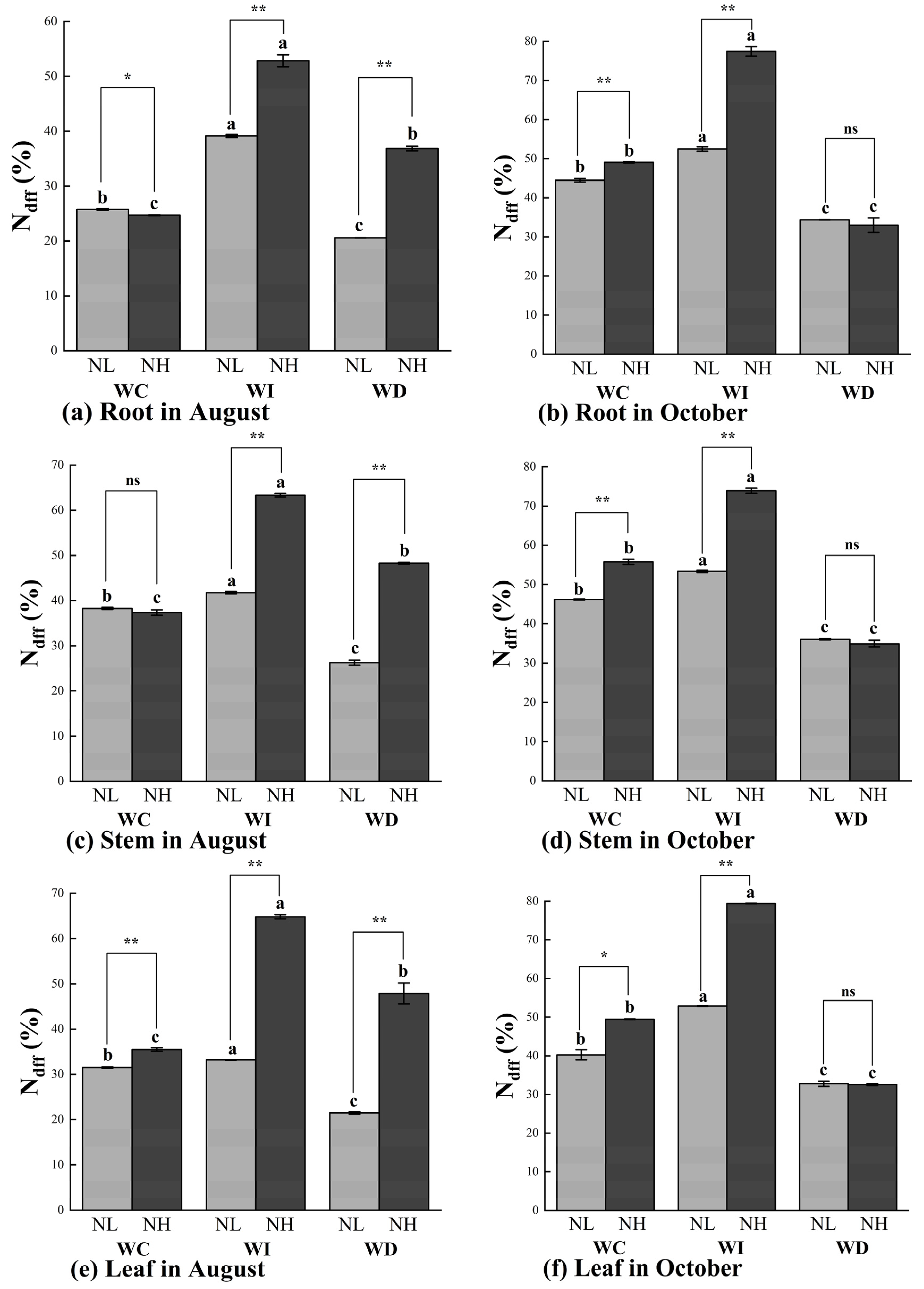
3.3.1. Ndff (%) in Different Organs of Mongolian Pine Seedlings and Soil
3.3.2. Nitrogen Content and 15N Absorption
3.4. Effects of Nitrogen Deposition and Precipitation Patterns on the 15N Distribution Ratio in Organs of Mongolian Pine
4. Discussion
5. Conclusions
Author Contributions
Funding
Institutional Review Board Statement
Data Availability Statement
Acknowledgments
Conflicts of Interest
References
- Li, X.; Xiao, P.; Hao, S.; Wang, Z. Rainfall Erosivity Characteristics during 1961–2100 in the Loess Plateau, China. Remote Sens. 2024, 16, 661. [Google Scholar] [CrossRef]
- Dai, Z.-C.; Liu, Y.-X.; Dang, N.; Wang, Z.-R.; Cai, J.-P.; Zhang, Y.-G.; Song, Y.-B.; Li, H.; Jiang, Y. Short-term legacy effects of long-term nitrogen and water addition on soil chemical properties and micro-bial characteristics in a temperate grassland. J. Appl. Ecol. 2023, 34, 1834–1844. (In Chinese) [Google Scholar] [CrossRef]
- Dai, A. Increasing drought under global warming in observations and models. Nat. Clim. Change 2013, 3, 52–58. [Google Scholar] [CrossRef]
- Verburg, P.S.J.; Kapitzke, S.E.; Stevenson, B.A.; Bisiaux, M. Carbon allocation in Larrea tridentata plant-soil systems as affected by elevated soil moisture and N availability. Plant Soil 2014, 378, 227–238. [Google Scholar] [CrossRef]
- Zhang, Z.; Chai, X.; Tariq, A.; Zeng, F.; Graciano, C.; Li, X.; Gao, Y.; Ullah, A. Coordinated Patterns in the Allocation, Composition, and Variability of Multiple Elements among Organs of Two Desert Shrubs Under Nitrogen Addition and Drought. J. Soil Sci. Plant Nutr. 2022, 22, 47–58. [Google Scholar] [CrossRef]
- Zhang, J.; He, N.; Liu, C.; Xu, L.; Yu, Q.; Yu, G. Allocation strategies for nitrogen and phosphorus in forest plants. Oikos 2018, 127, 1506–1514. [Google Scholar] [CrossRef]
- Skidmore, A.K.; Abdullah, H.; Siegenthaler, A.; Adiningrat, D.P.; Rousseau, M.; Duan, Y.; Torres-Rodriguez, A.; Neinavaz, E. Forest soils further acidify in core Natura 2000 areas amongst unaware government policy. Ecol. Indic. 2024, 159, 111621. [Google Scholar] [CrossRef]
- Kanakidou, M.; Myriokefalitakis, S.; Daskalakis, N.; Fanourgakis, G.; Nenes, A.; Baker, A.R.; Tsigaridis, K.; Mihalopoulos, N. Past, Present, and Future Atmospheric Nitrogen Deposition. J. Atmos. Sci. 2016, 73, 2039–2047. [Google Scholar] [CrossRef]
- Lovett, G.M.; Tear, T.H.; Evers, D.C.; Findlay, S.E.G.; Cosby, B.J.; Dunscomb, J.K.; Driscoll, C.T.; Weathers, K.C. Effects of Air Pollution on Ecosystems and Biological Diversity in the Eastern United States. Ann. N. Y. Acad. Sci. 2009, 1162, 99–135. [Google Scholar] [CrossRef]
- Yang, A.; Zhu, D.; Zhang, W.; Shao, Y.; Shi, Y.; Liu, X.; Lu, Z.; Zhu, Y.G.; Wang, H.; Fu, S. Canopy nitrogen deposition enhances soil ecosystem multifunctionality in a temperate forest. Glob. Chang. Biol. 2024, 30, e17250. [Google Scholar] [CrossRef]
- Zhang, X.; Chen, W.; Chen, W.; Wang, X.; Mao, R. Moss removal facilitates decomposition and net nitrogen loss of monospecific and mixed-species litter in a boreal peatland. Biogeochemistry 2024, 167, 121–133. [Google Scholar] [CrossRef]
- Song, Y.; Xing, J.; Hu, C.; Song, C.; Wang, Q.; Wang, S. Decomposition and Carbon and Nitrogen Releases of Twig and Leaf Litter Were Inhibited by Increased Level of Nitrogen Deposition in a Subtropical Evergreen Broad-Leaved Forest in Southwest China. Forests 2024, 15, 492. [Google Scholar] [CrossRef]
- Zhao, X.; Tian, P.; Zhang, W.; Wang, Q.; Guo, P.; Wang, Q. Nitrogen deposition caused higher increases in plant-derived organic carbon than microbial-derived organic carbon in forest soils. Sci. Total Environ. 2024, 925, 171752. [Google Scholar] [CrossRef]
- Somes, C.J.; Landolfi, A.; Koeve, W.; Oschlies, A. Limited impact of atmospheric nitrogen deposition on marine productivity due to biogeochemical feedbacks in a global ocean model. Geophys. Res. Lett. 2016, 43, 4500–4509. [Google Scholar] [CrossRef]
- Díaz-Álvarez, E.A.; Lindig-Cisneros, R.; de la Barrera, E. Biomonitors of atmospheric nitrogen deposition: Potential uses and limitations. Conserv. Physiol. 2018, 6, coy011. [Google Scholar] [CrossRef]
- Guerrieri, R.; Cáliz, J.; Mattana, S.; Barceló, A.; Candela, M.; Elustondo, D.; Fortmann, H.; Hellsten, S.; Koenig, N.; Lindroos, A.-J.; et al. Substantial contribution of tree canopy nitrifiers to nitrogen fluxes in European forests. Nat. Geosci. 2024, 17, 130–136. [Google Scholar] [CrossRef]
- Feng, S.; Liu, X.; Zhao, W.; Yao, Y.; Zhou, A.; Liu, X.; Pereira, P. Key Areas of Ecological Restoration in Inner Mongolia Based on Ecosystem Vulnerability and Ecosystem Service. Remote Sens. 2022, 14, 2729. [Google Scholar] [CrossRef]
- Ge, D.; Gao, X.; Wei, X. Changes in spatiotemporal drought characteristics from 1961 to 2017 in northeastern maize-growing regions, China. Irrig. Sci. 2023, 42, 163–177. [Google Scholar] [CrossRef]
- Guan, L.-L.; Wen, D.-Z. More nitrogen partition in structural proteins and decreased photosynthetic nitrogen-use efficiency of Pinus massoniana under in situ polluted stress. J. Plant Res. 2011, 124, 663–673. [Google Scholar] [CrossRef]
- Aoyagi, R.; Kitayama, K. Nutrient allocation among plant organs across 13 tree species in three Bornean rain forests with contrasting nutrient availabilities. J. Plant Res. 2016, 129, 675–684. [Google Scholar] [CrossRef]
- Wu, J.; Jiao, L.; Che, X.; Zhu, X.; Yuan, X. Nutrient allocation patterns of Picea crassifolia on the eastern margin of the Qinghai-Tibet Plateau. Int. J. Biometeorol. 2024, 68, 1155–1167. [Google Scholar] [CrossRef]
- Witkowski, E.T.F.; Lamont, B.B. Disproportionate allocation of mineral nutrients and carbon between vegetative and reproductive structures in Banksia hookeriana. Oecologia 1996, 105, 38–42. [Google Scholar] [CrossRef]
- He, W.; Liu, H.; Shi, L.; Zhou, M.; Qi, Y.; Liu, F.; Zhu, X.; Zhao, P.; Xiang, C.; Shu, Y. Climate and soil change nutrient element allocation of Siberian larch in the Mongolian semiarid forest. Agric. For. Meteorol. 2022, 315, 108825. [Google Scholar] [CrossRef]
- Cleland, E.E.; Goodale, U.M. Co-limitation by nitrogen and water constrains allocation response to drought in deciduous and evergreen shrubs in a semi-arid ecosystem. Plant Ecol. 2019, 220, 213–225. [Google Scholar] [CrossRef]
- Liu, N.; Bao, G.; Bao, M. Response Characteristics of Chinese Pine (Pinus tabulaeformis Carr.) Radial Growth to Climate and Drought Variability Reconstruction in Western Liaoning, Northeast China. Forests 2019, 10, 752. [Google Scholar] [CrossRef]
- Li, Y.; Awada, T.; Zhou, X.; Shang, W.; Chen, Y.; Zuo, X.; Wang, S.; Liu, X.; Feng, J. Mongolian pine plantations enhance soil physico-chemical properties and carbon and nitrogen capacities in semi-arid degraded sandy land in China. Appl. Soil Ecol. 2012, 56, 1–9. [Google Scholar] [CrossRef]
- An, Y.; Zhang, L.; Wang, Q.; Han, Y. Soil Quality Assessment of Different Land Use Types Based on TOPSIS Method in Hilly Sandy Area of Loess Plateau, Northern China. Int. J. Environ. Res. Public Health 2022, 19, 17059. [Google Scholar] [CrossRef]
- Zhu, Y.; Zhang, J.; Zhang, Y.; Qin, S.; Shao, Y.; Gao, Y. Responses of vegetation to climatic variations in the desert region of northern China. CATENA 2019, 175, 27–36. [Google Scholar] [CrossRef]
- Fang, A.; Dong, J.; Cao, Z.; Zhang, F.; Li, Y. Tempo-Spatial Variation of Vegetation Coverage and Influencing Factors of Large-Scale Mining Areas in Eastern Inner Mongolia, China. Int. J. Environ. Res. Public Health 2019, 17, 47. [Google Scholar] [CrossRef]
- You, G.; Liu, B.; Zou, C.; Li, H.; McKenzie, S.; He, Y.; Gao, J.; Jia, X.; Altaf Arain, M.; Wang, S.; et al. Sensitivity of vegetation dynamics to climate variability in a forest-steppe transition ecozone, north-eastern Inner Mongolia, China. Ecol. Indic. 2021, 120, 106833. [Google Scholar] [CrossRef]
- Song, L.; Zhu, J.; Li, M.; Yan, T.; Zhang, J. Needles stable carbon isotope composition and traits of Pinus sylvestris var. mongolica in sparse wood grassland in south edge of Keerqin Sandy Land under the conditions of different precipitation. Chin. J. Appl. Ecol. 2012, 23, 1435–1440. (In Chinese) [Google Scholar] [CrossRef]
- Meng, F.; Zhang, T.; Yin, D. The effects of soil drought stress on growth characteristics, root system, and tissue anatomy of Pinus sylvestris var. mongolica. PeerJ 2023, 11, e14578. [Google Scholar] [CrossRef]
- Zhou, X.; Ouyang, S.; Saurer, M.; Feng, M.; Bose, A.K.; Duan, H.; Tie, L.; Shen, W.; Gessler, A. Species-specific responses of C and N allocation to N addition: Evidence from dual 13C and 15N labeling in three tree species. Sci. Total Environ. 2024, 927, 172164. [Google Scholar] [CrossRef] [PubMed]
- Liang, M.; Sugimoto, A.; Tei, S.; Bragin, I.V.; Takano, S.; Morozumi, T.; Shingubara, R.; Maximov, T.C.; Kiyashko, S.I.; Velivetskaya, T.A.; et al. Importance of soil moisture and N availability to larch growth and distribution in the Arctic taiga-tundra boundary ecosystem, northeastern Siberia. Polar Sci. 2014, 8, 327–341. [Google Scholar] [CrossRef]
- Bao, G. Mongolian pines (Pinus sylvestris var. mongolica) in the Hulun Buir steppe, China, respond to climate in adjustment to the local water supply. Int. J. Biometeorol. 2015, 59, 1–10. [Google Scholar] [CrossRef]
- Li, Q.; Zhu, L.; Zeng, Y.; Huang, Y.; Ling, L.; Peng, L.; Chun, C. Differences in fruit quality between Jinqiu Shatangju tangerine (Citrus reticulata ‘Jinqiu Shatangju’) grafted on two types of rootstocks and the relationship with absorption, distribution, and utilization of nitrogen. Sci. Hortic. 2024, 328, 112926. [Google Scholar] [CrossRef]
- Wu, H.; Wang, L.; Liu, X.; Li, Q.; Lu, C.; Dong, W. Layered-Strip Fertilization Improves Nitrogen Use Efficiency by Enhancing Absorption and Suppressing Loss of Urea Nitrogen. Agronomy 2023, 13, 2428. [Google Scholar] [CrossRef]
- Zhao, L.; Jia, Z.; Li, G.; Zhang, T.; Wei, M. N Utilization, Residual and Loss Characteristics of Spring-Topdressing (15N-urea) Pear Orchards in the Old Course of the Yellow River Area. Agronomy 2022, 12, 2682. [Google Scholar] [CrossRef]
- Ren, Y.; Gao, G.-l.; Ding, G.-d.; Zhang, Y.; Zhao, P.-s. Patterns and environmental drivers of C, N, and P stoichiometry in the leaf-litter-soil system associated with Mongolian pine forests. Ecol. Evol. 2024, 14, e11172. [Google Scholar] [CrossRef] [PubMed]
- Liu, L.; Zhao, Q.; Zheng, L.-L.; Zeng, D.-H. Responses of nutrient resorption to interannual precipitation variability and nitrogen addition in a pine plantation. Ecosphere 2023, 14, e4395. [Google Scholar] [CrossRef]
- Zeng, D.H.; Hu, Y.L.; Chang, S.X.; Fan, Z.P. Land cover change effects on soil chemical and biological properties after planting Mongolian pine (Pinus sylvestris var. mongolica) in sandy lands in Keerqin, northeastern China. Plant Soil 2009, 317, 121–133. [Google Scholar] [CrossRef]
- Fan, Z.; Tu, Z.; Li, F.; Qin, Y.; Deng, D.; Zeng, D.; Sun, X.; Zhao, Q.; Hu, Y. Experimental Manipulation of Precipitation Affects Soil Nitrogen Availability in Semiarid Mongolian Pine (Pinus sylvestris var, mongolica) Plantation. Water 2017, 9, 208. [Google Scholar] [CrossRef]
- Liu, X.; Zhang, Y.; Han, W.; Tang, A.; Shen, J.; Cui, Z.; Vitousek, P.; Erisman, J.W.; Goulding, K.; Christie, P.; et al. Enhanced nitrogen deposition over China. Nature 2013, 494, 459–462. [Google Scholar] [CrossRef]
- Xu, W.; Luo, X.S.; Pan, Y.P.; Zhang, L.; Tang, A.H.; Shen, J.L.; Zhang, Y.; Li, K.H.; Wu, Q.H.; Yang, D.W.; et al. Quantifying atmospheric nitrogen deposition through a nationwide monitoring network across China. Atmos. Chem. Phys. 2015, 15, 12345–12360. [Google Scholar] [CrossRef]
- Song, H.-H.; Yan, T.; Zeng, D.-H. Establishment of mixed plantations of Pinus sylvestris var. mongolica and Populus xiaozhuanica may not be appropriate: Evidence from litter decomposition. J. Plant Ecol. 2019, 12, 857–870. [Google Scholar] [CrossRef]
- Yu, J.; Fu, R.; Yu, Y.; Li, C.; Tao, X. Effects of nitrogen deposition on soil respiration and its sensitivity to temperature and humidity in a Quercus acutissima forest in northern subtropics. Chin. J. Ecol. 2021, 40, 1029–1037. (In Chinese) [Google Scholar]
- Zheng, L.; Zhao, Q.; Lin, G.; Hong, X.; Zeng, D. Nitrogen addition impacts on soil phosphorus transformations depending upon its influences on soil organic carbon and microbial biomass in temperate larch forests across northern China. CATENA 2023, 230, 107252. [Google Scholar] [CrossRef]
- Wu, Y.; Sun, M.; Zhao, Z.; Liang, Z.; Liu, J.; Liu, S. Uptake and Allocation of Newly Absorbed Nitrogen in Young Pear Trees Grafted onto Vigorous Rootstocks (Pyrus betulifolia). Agronomy 2022, 12, 2303. [Google Scholar] [CrossRef]
- Zhao, F.; Sun, J.; Jiang, Y.; Hu, D.; Yang, X.; Dong, M.; Yu, K.; Yu, S. Effect of rhizosphere aeration by subsurface drip irrigation with tanks on the growth of ‘Red Globe’ grape seedling and its absorption, distribution and utilization of urea-15N. Sci. Hortic. 2018, 236, 207–213. [Google Scholar] [CrossRef]
- Cheng, Z.; Li, H.; Zhao, H.; Tu, Y.; Song, H.; Sheng, J. Analysis of nutrient use efficiency in cotton fields with 15N isotope labeled nitrogen fertilizer. Xinjiang Agric. Sci. 2024, 61, 34–41. (In Chinese) [Google Scholar] [CrossRef]
- Ding, N.; Chen, Q.; Zhu, Z.; Peng, L.; Ge, S.; Jiang, Y. Effects of crop load on distribution and utilization of 13C and 15N and fruit quality for dwarf apple trees. Sci. Rep. 2017, 7, 14172. [Google Scholar] [CrossRef]
- Shi, J.; Xun, M.; Song, J.; Zhang, W.; Fan, W.; Yang, H. Regulation effects of carbonized apple branches on absorption, distribution, and utilization of 15N single-labeled ammonium nitrate 15NH4NO3 or NH415NO3 in Malus hupehensis. Plant Physiol. Biochem. 2022, 186, 197–206. [Google Scholar] [CrossRef] [PubMed]
- Yang, S.; Shi, Z.; Sun, Y.; Wang, X.; Yang, W.; Gao, J.; Wang, X. Stoichiometric Ratios of Carbon, Nitrogen and Phosphorus of Shrub Organs Vary with Mycorrhizal Type. Agriculture 2022, 12, 1061. [Google Scholar] [CrossRef]
- Temme, A.A.; Burns, V.A.; Donovan, L.A. Element content and distribution has limited, tolerance metric dependent, impact on salinity tolerance in cultivated sunflower (Helianthus annuus). Plant Direct 2020, 4, e00238. [Google Scholar] [CrossRef] [PubMed]
- Li, L.; Cisse, E.-H.M.; Miao, L.; Li, D.; Yang, F. Ecological stoichiometry and adaptations to drought and nitrogen in Hevea brasiliensis and Dalbergia odorifera in different planting patterns. Environ. Exp. Bot. 2024, 220, 105694. [Google Scholar] [CrossRef]
- Liu, R.; Yang, Y.; Wang, Y.-s.; Wang, X.-C.; Rengel, Z.; Zhang, W.-J.; Shu, L.-Z. Alternate partial root-zone drip irrigation with nitrogen fertigation promoted tomato growth, water and fertilizer-nitrogen use efficiency. Agric. Water Manag. 2020, 233, 106049. [Google Scholar] [CrossRef]
- Wang, X.; Zhou, B.; Sun, X.; Yue, Y.; Ma, W.; Zhao, M. Soil Tillage Management Affects Maize Grain Yield by Regulating Spatial Distribution Coordination of Roots, Soil Moisture and Nitrogen Status. PLoS ONE 2015, 10, e0129231. [Google Scholar] [CrossRef]
- Shah, A.N.; Tanveer, M.; Shahzad, B.; Yang, G.; Fahad, S.; Ali, S.; Bukhari, M.A.; Tung, S.A.; Hafeez, A.; Souliyanonh, B. Soil compaction effects on soil health and crop productivity: An overview. Environ. Sci. Pollut. Res. 2017, 24, 10056–10067. [Google Scholar] [CrossRef]
- Schonbeck, L.; Li, M.-H.; Lehmann, M.M.; Rigling, A.; Schaub, M.; Hoch, G.; Kahmen, A.; Gessler, A. Soil nutrient availability alters tree carbon allocation dynamics during drought. Tree Physiol. 2021, 41, 697–707. [Google Scholar] [CrossRef]
- Bethea, F.G.; Park, D.; Mount, A.; Menchyk, N.; Liu, H. Effects of Acute Moisture Stress on Creeping Bentgrass Cuticle Morphology and Associated Effects on Foliar Nitrogen Uptake. HortScience 2014, 49, 1582–1587. [Google Scholar] [CrossRef]
- Ichir, L.L.; Ismaili, M.; Van Cleemput, O. Effect of organic and mineral fertilizers on N-use by wheat under different irrigation frequencies. Comptes Rendus Biol. 2003, 326, 391–399. [Google Scholar] [CrossRef]
- Li, W.; Liu, J.; Li, Z.; Ye, R.; Chen, W.; Huang, Y.; Yuan, Y.; Zhang, Y.; Hu, H.; Zheng, P.; et al. Mitigating growth-stress tradeoffs via elevated TOR signaling in rice. Mol. Plant 2024, 17, 240–257. [Google Scholar] [CrossRef]
- Yang, C.; Xu, S.; Liu, L.; Huang, M.; Zheng, T.; Wei, S.; Zhang, Y.; Deng, G.; Jiang, L. Nitrogen Uptake and Utilization by No-Tillage Rice under Different Soil Moisture Conditions—A Model Study under Simulated Soil Conditions. Plant Prod. Sci. 2015, 18, 118–127. [Google Scholar] [CrossRef][Green Version]
- Wasko, C.; Nathan, R. The local dependency of precipitation on historical changes in temperature. Clim. Change 2019, 156, 105–120. [Google Scholar] [CrossRef]
- Liu, X.; Wang, G.; Li, J.; Wang, Q. Nitrogen isotope composition characteristics of modern plants and their variations along an altitudinal gradient in Dongling Mountain in Beijing. Sci. China Ser. D Earth Sci. 2010, 53, 128–140. [Google Scholar] [CrossRef]
- Henriksson, N.; Lim, H.; Marshall, J.; Franklin, O.; McMurtrie, R.E.; Lutter, R.; Magh, R.; Lundmark, T.; Näsholm, T. Tree water uptake enhances nitrogen acquisition in a fertilized boreal forest—But not under nitrogen-poor conditions. New Phytol. 2021, 232, 113–122. [Google Scholar] [CrossRef]
- Song, H.; Yu, W.; Wang, L.; Jiao, W.; Dong, B. Influence of nitrogen input and sediment burial on biomass and nitrogen absorption characteristic of Suaeda salsa in the Yellow River estuary. Environ. Earth Sci. 2022, 81, 493. [Google Scholar] [CrossRef]
- Chen, C.; Li, J.; Wang, G.; Shi, M. Accounting for the effect of temperature in clarifying the response of foliar nitrogen isotope ratios to atmospheric nitrogen deposition. Sci. Total Environ. 2017, 609, 1295–1302. [Google Scholar] [CrossRef] [PubMed]
- Wang, J.; Wang, L.; Li, Y. Ecological Stoichiometry within Plant Organs of Four Forest Trees in Sygera National Forest. Bioresources 2024, 19, 210–227. [Google Scholar] [CrossRef]
- Prieto, I.N.; Armas, C.; Pugnaire, F.I. Hydraulic lift promotes selective root foraging in nutrient-rich soil patches. Funct. Plant Biol. 2012, 39, 804–812. [Google Scholar] [CrossRef]
- Tang, B.; Yin, C.; Yang, H.; Sun, Y.; Liu, Q. The coupling effects of water deficit and nitrogen supply on photosynthesis, WUE, and stable isotope composition in Picea asperata. Acta Physiol. Plant. 2017, 39, 148. [Google Scholar] [CrossRef]
- Song, X.; Wan, F.; Chang, X.; Zhang, J.; Sun, M.; Liu, Y. Effects of Nutrient Deficiency on Root Morphology and Nutrient Allocation in Pistacia chinensis Bunge Seedlings. Forests 2019, 10, 1035. [Google Scholar] [CrossRef]
- Liu, J.; Gou, X.; Wang, F.; Zhang, F.; Zhang, J.; Xia, J.; Wang, Y. Nutrient allocation strategies of four conifers from semiarid to extremely arid environments. Plant Physiol. Biochem. 2022, 186, 257–265. [Google Scholar] [CrossRef]
- Kimmel, K.; Furey, G.N.; Hobbie, S.E.; Isbell, F.; Tilman, D.; Reich, P.B. Diversity-dependent soil acidification under nitrogen enrichment constrains biomass productivity. Glob. Change Biol. 2020, 26, 6594–6603. [Google Scholar] [CrossRef] [PubMed]
- Burnham, M.B.; Cumming, J.R.; Adams, M.B.; Peterjohn, W.T. Soluble soil aluminum alters the relative uptake of mineral nitrogen forms by six mature temperate broadleaf tree species: Possible implications for watershed nitrate retention. Oecologia 2017, 185, 327–337. [Google Scholar] [CrossRef] [PubMed]
- Griffin-Nolan, R.J.; Bensaddek, L.; Decocq, G.; Hikosaka, K.; Kichey, T.; LeVonne, J.; Mishio, M.; Fridley, J. Away-range shifts in leaf function of a global invader: A case of resource reallocation? Biol. Invasions 2024, 26, 1489–1503. [Google Scholar] [CrossRef]
- Luo, L.; Zhao, C.; Zheng, D.; Wang, E.; Liang, J.; Yin, C. Nitrogen uptake preference and allocation in Populus cathayana in response to drought stress. Environ. Exp. Bot. 2023, 213, 105415. [Google Scholar] [CrossRef]
- Li, X.; Li, M.; Xu, L.; Liu, C.; Zhao, W.; Cheng, C.; He, N. Allometry and Distribution of Nitrogen in Natural Plant Communities of the Tibetan Plateau. Front. Plant Sci. 2022, 13, 845813. [Google Scholar] [CrossRef]







| Month | Organs | Treatments | ||||||||
|---|---|---|---|---|---|---|---|---|---|---|
| WCNC | WINC | WDNC | WCNL | WINL | WDNL | WCNH | WINH | WDNH | ||
| August | Root | 0.03 ± 0.00 A c | 0.03 ± 0.00 A c | 0.05 ± 0.00 A c | 2.89 ± 0.01 B b | 4.19 ± 0.03 A b | 2.37 ± 0.00 C b | 2.78 ± 0.01 C a | 5.53 ± 0.11 A a | 3.97 ± 0.04 B a |
| Stem | 0.08 ± 0.01 A c | 0.05 ± 0.00 A c | 0.07 ± 0.01 A c | 4.11 ± 0.02 B b | 4.45 ± 0.03 A b | 2.93 ± 0.06 C b | 4.02 ± 0.06 C a | 6.56 ± 0.04 A a | 5.08 ± 0.02 B b | |
| Leaf | 0.02 ± 0.00 A c | 0.07 ± 0.00 A c | 0.02 ± 0.02 A c | 3.45 ± 0.01 B b | 3.61 ± 0.01 A b | 2.46 ± 0.03 C b | 3.83 ± 0.04 C a | 6.70 ± 0.04 A a | 5.04 ± 0.22 B a | |
| October | Root | 0.28 ± 0.01 A c | 0.21 ± 0.01 A c | 0.29 ± 0.01 A c | 4.71 ± 0.04 B b | 5.49 ± 0.06 A b | 3.72 ± 0.00 C b | 5.16 ± 0.02 B a | 7.93 ± 0.12 A a | 3.59 ± 0.18 C a |
| Stem | 0.20 ± 0.02 A c | 0.21 ± 0.00 A c | 0.25 ± 0.00 A c | 4.88 ± 0.01 B b | 5.58 ± 0.03 A b | 3.89 ± 0.02 C b | 5.82 ± 0.07 B a | 7.59 ± 0.06 A a | 3.78 ± 0.08 C a | |
| Leaf | 0.03 ± 0.00 A c | 0.05 ± 0.00 A c | 0.09 ± 0.00 A c | 4.30 ± 0.13 B b | 5.53 ± 0.01 A b | 3.57 ± 0.07 C a | 5.20 ± 0.01 B a | 8.13 ± 0.01 A a | 3.55 ± 0.03 C a | |
| M | W | N | M × W | M × N | W × N | M × W × N | |
|---|---|---|---|---|---|---|---|
| Root | ** | ** | ** | ** | ** | ** | ** |
| Stem | ** | ** | ** | ** | ** | ** | ** |
| Leaf | ** | ** | ** | ** | ** | ** | ** |
| Soil | ** | ** | ** | ** | ** | ** | ** |
| Month | Treatments | Nitrogen Content in Organs (mg/plant) | 15N Absorption in Organs (mg/plant) | ||||
|---|---|---|---|---|---|---|---|
| Root | Stem | Leaf | Root | Stem | Leaf | ||
| August | WCNL | 3.33 ± 0.76 A a | 3.93 ± 0.59 B a | 16.99 ± 4.48 A a | 0.86 ± 0.20 B a | 1.50 ± 0.23 B a | 5.35 ± 1.41 A a |
| WINL | 2.98 ± 0.53 A a | 5.23 ± 1.23 A b | 19.45 ± 4.15 A a | 1.17 ± 0.21 A a | 2.18 ± 0.51 A b | 6.45 ± 1.38 A b | |
| WDNL | 2.38 ± 1.26 A a | 2.92 ± 1.14 B a | 10.37 ± 3.28 B b | 0.49 ± 0.26 C b | 0.77 ± 0.30 C b | 2.23 ± 0.70 B b | |
| WCNH | 2.73 ± 1.10 A a | 3.91 ± 1.25 B a | 13.84 ± 2.88 B a | 0.67 ± 0.27 B a | 1.46 ± 0.47 B a | 4.91 ± 1.02 C a | |
| WINH | 2.76 ± 0.60 A a | 7.18 ± 1.26 A a | 21.86 ± 4.44 A a | 1.46 ± 0.32 A a | 4.55 ± 0.79 A a | 14.17 ± 2.88 A a | |
| WDNH | 2.74 ± 1.12 A a | 3.34 ± 0.70 B a | 20.08 ± 5.91 A a | 1.01 ± 0.41 B a | 1.61 ± 0.34 B a | 9.61 ± 2.83 B a | |
| October | WCNL | 5.35 ± 1.89 A a | 7.40 ± 3.01 A a | 30.39 ± 4.14 A a | 2.38 ± 0.84 AB a | 2.73 ± 1.11 A a | 11.2 ± 1.52 A a |
| WINL | 5.18 ± 3.56 A a | 5.14 ± 2.31 AB a | 25.97 ± 12.87 A a | 2.72 ± 1.87 A a | 2.74 ± 1.23 A b | 13.73 ± 6.80 A a | |
| WDNL | 2.51 ± 1.36 A a | 4.34 ± 0.70 B a | 13.19 ± 4.04 B a | 0.86 ± 0.47 B a | 1.56 ± 0.25 A a | 4.32 ± 1.32 B a | |
| WCNH | 2.14 ± 1.15 B b | 5.57 ± 0.46 A a | 14.43 ± 3.86 B b | 1.05 ± 0.56 B b | 3.11 ± 0.26 B a | 7.13 ± 1.91 B b | |
| WINH | 8.83 ± 6.63 A a | 7.72 ± 3.11 A a | 27.65 ± 9.65 A a | 6.84 ± 5.13 A a | 5.70 ± 2.30 A a | 21.96 ± 7.66 A a | |
| WDNH | 4.00 ± 3.02 AB a | 5.19 ± 1.70 A a | 17.38 ± 7.45 B a | 1.32 ± 1.00 B a | 1.81 ± 0.59 B a | 5.66 ± 2.42 B a | |
Disclaimer/Publisher’s Note: The statements, opinions and data contained in all publications are solely those of the individual author(s) and contributor(s) and not of MDPI and/or the editor(s). MDPI and/or the editor(s) disclaim responsibility for any injury to people or property resulting from any ideas, methods, instructions or products referred to in the content. |
© 2024 by the authors. Licensee MDPI, Basel, Switzerland. This article is an open access article distributed under the terms and conditions of the Creative Commons Attribution (CC BY) license (https://creativecommons.org/licenses/by/4.0/).
Share and Cite
Zhao, T.; Cheng, S.; Gang, Q.; Zhuang, Y.; Zhu, X. Effects of Nitrogen Deposition and Precipitation Patterns on Nitrogen Allocation of Mongolian Pine (Pinus sylvestris var. mongolica) on Sandy Land Using 15N Isotope. Agriculture 2024, 14, 1367. https://doi.org/10.3390/agriculture14081367
Zhao T, Cheng S, Gang Q, Zhuang Y, Zhu X. Effects of Nitrogen Deposition and Precipitation Patterns on Nitrogen Allocation of Mongolian Pine (Pinus sylvestris var. mongolica) on Sandy Land Using 15N Isotope. Agriculture. 2024; 14(8):1367. https://doi.org/10.3390/agriculture14081367
Chicago/Turabian StyleZhao, Tianhong, Shihao Cheng, Qun Gang, Yonghui Zhuang, and Xianjin Zhu. 2024. "Effects of Nitrogen Deposition and Precipitation Patterns on Nitrogen Allocation of Mongolian Pine (Pinus sylvestris var. mongolica) on Sandy Land Using 15N Isotope" Agriculture 14, no. 8: 1367. https://doi.org/10.3390/agriculture14081367
APA StyleZhao, T., Cheng, S., Gang, Q., Zhuang, Y., & Zhu, X. (2024). Effects of Nitrogen Deposition and Precipitation Patterns on Nitrogen Allocation of Mongolian Pine (Pinus sylvestris var. mongolica) on Sandy Land Using 15N Isotope. Agriculture, 14(8), 1367. https://doi.org/10.3390/agriculture14081367

