Carbon Footprint of an Extensively Raised, Low-Productivity Sheep Population
Abstract
1. Introduction
2. Materials and Methods
2.1. System Characterisation
2.1.1. Location Description
2.1.2. Breeding System Description
2.1.3. Functional Unit and System Boundaries
- Weaned lamb: 1 kgLW of a lamb sold at 13.7 kgLW and 70 days of life.
- Fattened lamb: 1 kgLW of a lamb sold at 25 kgLW and 120 days of life.
- Culled animals: 1 kgLW of a non-productive adult animal sent to a slaughterhouse.
- Wool: 1 kg of greasy wool.
2.1.4. Data Collection
2.1.5. Statistical Analysis
2.2. Estimation of GHG Emissions
2.3. Allocation
2.4. Sensitivity Analysis
- The effect of not differentiating between organic and conventional feed inputs emissions factor
- The use of default Tier 1 emission factors for enteric and manure management emissions.
- The use of the mass allocation method, which allocates emissions based on the fresh weight of the product, regardless of whether the product is weaned, fattened lamb or culled animals’ live weight, or wool.
3. Results
3.1. Inventory Analysis
3.2. Greenhouse Gas Emissions
3.3. Sensitivity Analysis
4. Discussion
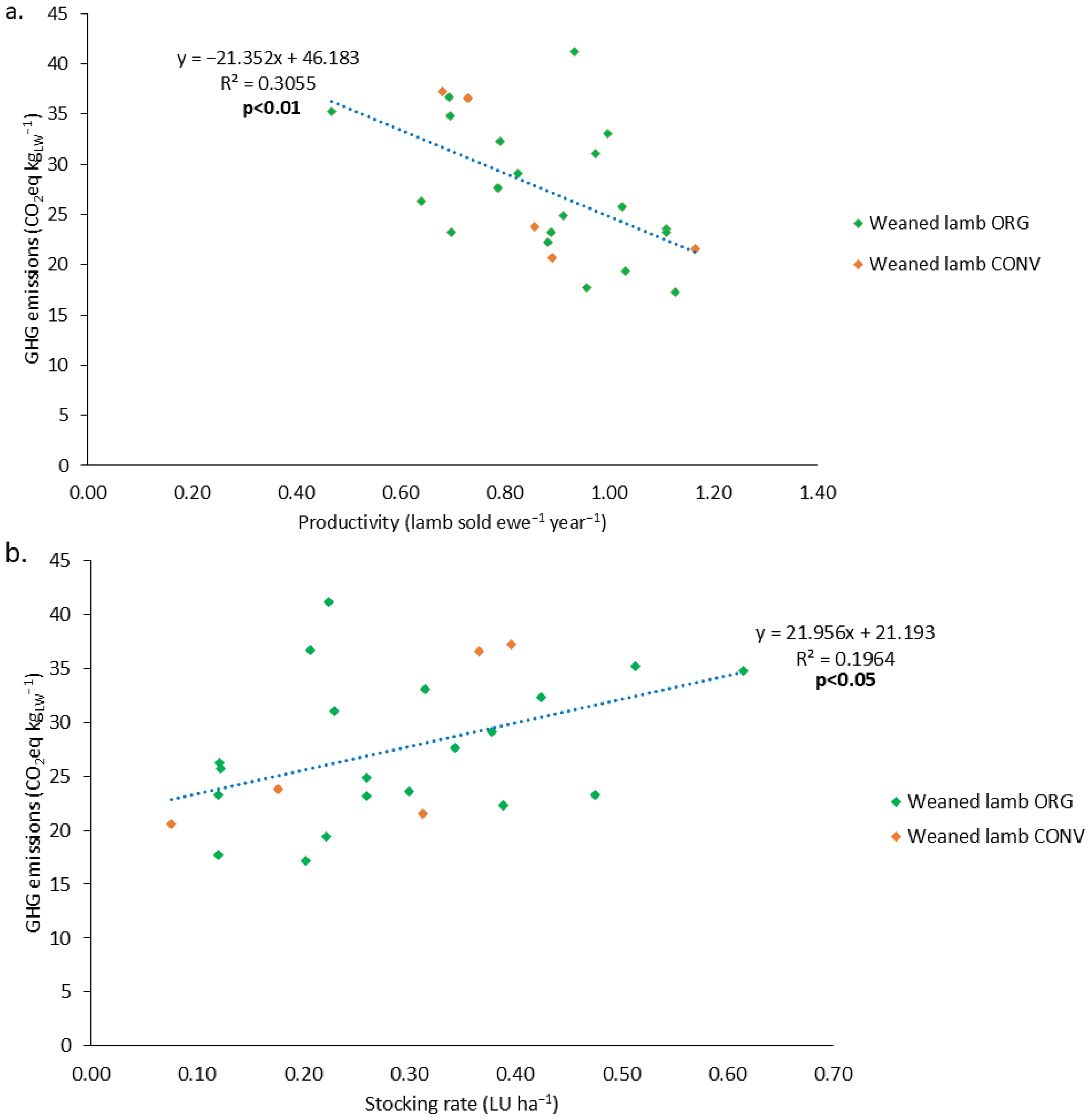
4.1. Greenhouse Emissions
4.2. The Case of the Wool
4.3. Low Efficiency in Production of Lojeña Sheep
5. Conclusions
Supplementary Materials
Author Contributions
Funding
Institutional Review Board Statement
Data Availability Statement
Acknowledgments
Conflicts of Interest
References
- Morales-Jerrett, E.; Mena, Y.; Camúñez-Ruiz, J.A.; Fernández, J.; Mancilla-Leytón, J.M. Characterization of Dairy Goat Production Systems Using Autochthonous Breeds in Andalusia (Southern Spain): Classification and Efficiency Comparative Analysis. Small Rumin. Res. 2022, 213, 106743. [Google Scholar] [CrossRef]
- Belanche, A.; Martín-Collado, D.; Rose, G.; Yáñez-Ruiz, D.R. A Multi-Stakeholder Participatory Study Identifies the Priorities for the Sustainability of the Small Ruminants Farming Sector in Europe. Animal 2021, 15, 100131. [Google Scholar] [CrossRef]
- Aguilera, E.; Diaz-Gaona, C.; Garcia-Laureano, R.; Reyes-Palomo, C.; Guzman, G.I.; Ortolani, L.; Sanchez-Rodriguez, M.; Rodriguez-Estevez, V. Agroecology for Adaptation to Climate Change and Resource Depletion in the Mediterranean Region. A Review. Agric. Syst. 2020, 181, 21. [Google Scholar] [CrossRef]
- Díaz-Gaona, C.; Sánchez-Rodríguez, M.; Gómez-Castro, G.; Rodríguez-Estévez, V. La Ganadería Ecológica En La Gestión de Los Espacios Naturales Protegidos: Andalucía Como Modelo. Arch. Zootec. 2014, 63, 25–54. [Google Scholar] [CrossRef][Green Version]
- Moreno, G.; Pulido, F.J. The Functioning, Management and Persistence of Dehesas. Agrofor. Eur. 2009, 6, 127–160. [Google Scholar] [CrossRef]
- FAOSTAT FAOSTAT Database 2023. Available online: https://www.fao.org/faostat/en/#data (accessed on 26 July 2024).
- INE INEbase. Censo Agrario. Available online: https://www.ine.es/dyngs/INEbase/es/operacion.htm?c=Estadistica_C&cid=1254736176851&menu=resultados&idp=1254735727106#!tabs-1254736195761 (accessed on 12 October 2022).
- FADN. FADN PUBLIC DATABASE SO. Available online: https://agridata.ec.europa.eu/extensions/FADNPublicDatabase/FADNPublicDatabase.html (accessed on 17 April 2024).
- Riedel, J.L.; Casasús, I.; Bernués, A. Sheep Farming Intensification and Utilization of Natural Resources in a Mediterranean Pastoral Agro-Ecosystem. Livest. Sci. 2007, 111, 153–163. [Google Scholar] [CrossRef]
- Díaz Gaona, C.; Rodríguez, V.; Sánchez, M.; Ruz, J.M.; Hervás, C.; Mata, C. Estudio de Los Pastos En Andalucia y Castilla-La Mancha; Asociación Valor Ecológico-Ecovalia: Sevilla, Spain, 2014. [Google Scholar]
- Duncan, J.; Rivera-Ferre, M.; Claeys, P. The Importance of Food Sovereignty for the Farm to Fork Strategy and the New Green Deal: Insights and Limits of the SAM and SAPEA Reports 1; Wageningen University & Research: Wageningen, The Netherlands, 2020. [Google Scholar] [CrossRef]
- Muñoz-Ulecia, E.; Bernués, A.; Briones-Hidrovo, A.; Casasús, I.; Martín-Collado, D. Dependence on the Socio-Economic System Impairs the Sustainability of Pasture-Based Animal Agriculture. Sci. Rep. 2023, 13, 14307. [Google Scholar] [CrossRef]
- McAuliffe, G.A.; Takahashi, T.; Orr, R.J.; Harris, P.; Lee, M.R.F. Distributions of Emissions Intensity for Individual Beef Cattle Reared on Pasture-Based Production Systems. J. Clean. Prod. 2018, 171, 1672–1680. [Google Scholar] [CrossRef]
- Ruiz, F.A.; Lara, C.; Mena, Y.; Moreno, J.A. Caracterización de Los Sitemas de Producción de La Raza Ovina Lojeña. Feagas 2016, 39, 72–76. [Google Scholar]
- MAPA. Real Decreto 45/2019, de 8 de Febrero, Por El Que Se Establecen Las Normas Zootécnicas Aplicables a Los Animales Reproductores de Raza Pura, Porcinos Reproductores Híbridos y Su Material Reproductivo, Se Actualiza El Programa Nacional de Conservación, Mej 2019; pp. 19716–19748. Available online: https://www.boe.es/buscar/doc.php?id=BOE-A-2019-2859 (accessed on 4 August 2024).
- Arca, P.; Vagnoni, E.; Duce, P.; Franca, A. How Does Soil Carbon Sequestration Affect Greenhouse Gas Emissions from a Sheep Farming System? Results of a Life Cycle Assessment Case Study. Ital. J. Agron. 2021, 16, 1789. [Google Scholar] [CrossRef]
- BSI PAS 2050:2011; Specification for the Assessment of the Life Cycle Greenhouse Gas Emissions of Goods and Services. BSI: London, UK, 2011.
- González, A.; Herrera, M.; Rodero, E. La Raza Lojeña I: Estado Actual. Available online: https://helvia.uco.es/bitstream/handle/10396/6508/feagas34-2008.2-3.pdf?sequence=1&isAllowed=y (accessed on 4 August 2024).
- Mena, Y.; Ruiz, F.A.; Gutierrez, R.; Vázquez, M.; Castel, J.M. La Función de La Ganadería En El Mantenimiento y El Aprovechamiento de Loa Montes Mediterráneos. Ambienta 2014, 108, 52–67. [Google Scholar]
- Ruiz, F.A.; Lara, C.; Mena, Y.; Gutiérrez, R. Actions to Increase Sustainability in Sheep Production Systems in Disadvantaged Areas of Mediterranean: Lojeña Sheep Breed. In Proceedings of the Libro de Actas 11th European IFSA Symposium, Berlin, Germany, 1–4 April 2014. [Google Scholar]
- IPCC. 2019 Refinement to the 2006 IPCC Guidelines for National Greenhouse Gas Inventories. 2019. Available online: https://www.ipcc-nggip.iges.or.jp/public/2019rf/vol4.html (accessed on 6 August 2024).
- Garry, B.; McGovern, F.M.; Boland, T.M.; Rinne, M.; Kuoppala, K.; Baumont, R.; Lewis, E.; O’Donovan, M. How Does Herbage Mass Effect Voluntary Dry Matter Intake and in Vivo Organic Matter Digestibility in Sheep and the in Vitro Gas Production of Perennial Ryegrass? Livest. Sci. 2021, 244, 104345. [Google Scholar] [CrossRef]
- MARM Real Decreto 1131/2010; de 10 de Septiembre, Por El Que Se Establecen Los Criterios Para El Establecimiento de Las Zonas Remotas a Efectos de Eliminación de Ciertos Subproductos Animales No Destinados a Consumo Humano Generados En Las Explotaciones Ganaderas. 2010. Available online: https://www.boe.es/diario_boe/txt.php?id=BOE-A-2010-15123 (accessed on 6 August 2024).
- Forster, P.; Storelvmo, T.; Armour, K.; Collins, W.; Dufresne, J.-L.; Frame, D.; Lunt, D.; Mauritsen, T.; Palmer, M.; Watanabe, M.; et al. The Earth’s Energy Budget, Climate Feedbacks and Climate Sensitivity. In Climate Change 2021: The Physical Science Basis. Contribution of Working Group I to the Sixth Assessment Report of the Intergovernmental Panel on Climate Change; Masson-Delmotte, V., Zhai, P., Pirani, A., Connors, S., Péan, C., Berger, S., Caud, N., Chen, Y., Goldfarb, L., Gomis, M., et al., Eds.; Cambridge University Press: Cambridge, UK; New York, NY, USA, 2021; pp. 923–1054. [Google Scholar]
- FEDNA. Tablas FEDNA de Valor Nutritivo de Forrajes y Subproductos Húmedos, 2nd ed.; FEDNA: Madrid, Spain, 2016. [Google Scholar]
- FEDNA. Tablas FEDNA 2019, 4th ed.; Fund. Española para el Desarrollo de la Nutrición Animal (FEDNA): Madrid, Spain, 2019; p. 604. [Google Scholar]
- Feedipedia Feedipedia: An on-Line Encyclopedia of Animal Feeds|Feedipedia. Available online: https://www.feedipedia.org/ (accessed on 19 September 2022).
- Cambra-López, M.; García Rebollar, P.; Estellés, F.; Torres, A. Estimación de Las Emisiones de Los Rumiantes En España: El Factor de Conversión de Metano. Arch. Zootec. 2008, 57, 89–101. [Google Scholar]
- UNFCCC Spain. 2022 Common Reporting Format (CRF) Table | UNFCCC. Available online: https://unfccc.int/documents/461783 (accessed on 27 June 2023).
- Reyes-Palomo, C.; Aguilera, E.; Llorente, M.; Díaz-Gaona, C.; Moreno, G.; Rodríguez-Estévez, V. Carbon Sequestration Offsets a Large Share of GHG Emissions in Dehesa Cattle Production. J. Clean. Prod. 2022, 358, 131918. [Google Scholar] [CrossRef]
- Reyes-Palomo, C.; Aguilera, E.; Llorente, M.; Díaz-Gaona, C.; Moreno, G.; Rodríguez-Estévez, V. Free-Range Acorn Feeding Results in Negative Carbon Footprint of Iberian Pig Production in the Dehesa Agro-Forestry System. J. Clean. Prod. 2023, 418, 138170. [Google Scholar] [CrossRef]
- Durlinger, B.; Koukouna, E.; Broekema, R.; Van Paassen, M.; Scholten, J. Agri-Footprint 4.0-Part 1: Methodology and Basic Principles; Agri-Footprint: Gouda, The Netherlands, 2017. [Google Scholar]
- Aguilera, E.; Guzmán, G.; Alonso, A. Greenhouse Gas Emissions from Conventional and Organic Cropping Systems in Spain. I. Herbaceous Crops. Agron. Sustain. Dev. 2015, 35, 713–724. [Google Scholar] [CrossRef]
- Wernet, G.; Bauer, C.; Steubing, B.; Reinhard, J.; Moreno-Ruiz, E.; Weidema, B. The Ecoinvent Database Version 3 (Part I): Overview and Methodology. Int. J. Life Cycle Assess. 2016, 21, 1218–1230. [Google Scholar] [CrossRef]
- Garraín, D.; Fazio, S.; De la Rua, C.; Recchioni, M.; Lechón, Y.; Mathieux, F. Background Qualitative Analysis of the European Reference Life Cycle Database (ELCD) Energy Datasets–Part II: Electricity Datasets. Springerplus 2015, 4, 30. [Google Scholar] [CrossRef][Green Version]
- de Vries, M.; de Boer, I.J.M. Comparing Environmental Impacts for Livestock Products: A Review of Life Cycle Assessments. Livest. Sci. 2010, 128, 1–11. [Google Scholar] [CrossRef]
- Bhatt, A.; Abbassi, B. Review of Environmental Performance of Sheep Farming Using Life Cycle Assessment. J. Clean. Prod. 2021, 293, 126192. [Google Scholar] [CrossRef]
- Ripoll-Bosch, R.; de Boer, I.J.M.; Bernués, A.; Vellinga, T.V. Accounting for Multi-Functionality of Sheep Farming in the Carbon Footprint of Lamb: A Comparison of Three Contrasting Mediterranean Systems. Agric. Syst. 2013, 116, 60–68. [Google Scholar] [CrossRef]
- Eldesouky, A.; Mesias, F.J.; Elghannam, A.; Escribano, M. Can Extensification Compensate Livestock Greenhouse Gas Emissions? A Study of the Carbon Footprint in Spanish Agroforestry Systems. J. Clean. Prod. 2018, 200, 28–38. [Google Scholar] [CrossRef]
- Wiedemann, S.G.; Simmons, A.; Watson, K.J.L.; Biggs, L. Effect of Methodological Choice on the Estimated Impacts of Wool Production and the Significance for LCA-Based Rating Systems. Int. J. Life Cycle Assess. 2019, 24, 848–855. [Google Scholar] [CrossRef]
- Colley, T.A.; Olsen, S.I.; Birkved, M.; Hauschild, M.Z. Delta Life Cycle Assessment of Regenerative Agriculture in a Sheep Farming System. Integr. Environ. Assess. Manag. 2020, 16, 282–290. [Google Scholar] [CrossRef] [PubMed]
- Cottle, D.J.; Cowie, A.L. Allocation of Greenhouse Gas Production between Wool and Meat in the Life Cycle Assessment of Australian Sheep Production. Int. J. Life Cycle Assess. 2016, 21, 820–830. [Google Scholar] [CrossRef]
- O’Brien, D.; Bohan, A.; McHugh, N.; Shalloo, L. A Life Cycle Assessment of the Effect of Intensification on the Environmental Impacts and Resource Use of Grass-Based Sheep Farming. Agric. Syst. 2016, 148, 95–104. [Google Scholar] [CrossRef]
- Aguilera, E.; Reyes-Palomo, C.; Díaz-Gaona, C.; Sanz-Cobena, A.; Smith, P.; García-Laureano, R.; Rodríguez-Estévez, V. Greenhouse Gas Emissions from Mediterranean Agriculture: Evidence of Unbalanced Research Efforts and Knowledge Gaps. Glob. Environ. Chang. 2021, 69, 102319. [Google Scholar] [CrossRef]
- Knudsen, M.T.; Dorca-Preda, T.; Djomo, S.N.; Pena, N.; Padel, S.; Smith, L.G.; Zollitsch, W.; Hortenhuber, S.; Hermansen, J.E. The Importance of Including Soil Carbon Changes, Ecotoxicity and Biodiversity Impacts in Environmental Life Cycle Assessments of Organic and Conventional Milk in Western Europe. J. Clean. Prod. 2019, 215, 433–443. [Google Scholar] [CrossRef]
- Horrillo, A.; Gaspar, P.; Escribano, M. Organic Farming as a Strategy to Reduce Carbon Footprint in Dehesa Agroecosystems: A Case Study Comparing Different Livestock Products. Animal 2020, 10, 162. [Google Scholar] [CrossRef]
- Escribano, M.; Horrillo, A.; Mesías, F.J. Greenhouse Gas Emissions and Carbon Sequestration in Organic Dehesa Livestock Farms. Does Technical-Economic Management Matters? J. Clean. Prod. 2022, 372, 133779. [Google Scholar] [CrossRef]
- Díaz, E.; Gonzaléz-Ariza, A.; Navas-González, F.J.; Aguilera, M.; López, B.; Iglesias, C.; León, J.M.; Delgado, J.V.; Camacho, M.E.; Arando, A. Caracterización de La Lana Ecológica de La Raza Ovina Lojeña Como Contribución a Su Conservación. Arch. Zootec. 2022, 71, 158–162. [Google Scholar]
- Herrero, M.T. Women and Wool in Dehesas: Gender Overview of the Wool Supply Chain in Spain. In Cultural Landscapes and Biodiversity in the Mediterranean Basin; IUCN: Washington, DC, USA, 2020; pp. 1–62. [Google Scholar]
- Xu, C.; Zhang, B.; Gu, C.; Shen, C.; Yin, S.; Aamir, M.; Li, F. Are We Underestimating the Sources of Microplastic Pollution in Terrestrial Environment? J. Hazard. Mater. 2020, 400, 123228. [Google Scholar] [CrossRef] [PubMed]
- Periyasamy, A.P.; Tehrani-Bagha, A. A Review on Microplastic Emission from Textile Materials and Its Reduction Techniques. Polym. Degrad. Stab. 2022, 199, 109901. [Google Scholar] [CrossRef]
- Delgado, J.V.; Rodríguez, J.V.; León, J.M.; Puntas, J.; Benavente, M.; García, G.; Barba, C. Selection Scheme of the Segureña Breed of Sheep. Arch. Latinoam. Prod. Anim. 2004, 12, 59–62. [Google Scholar]
- Díaz-Gaona, C.; Sánchez-Rodríguez, M.; Rodríguez-Estévez, V. Assessment of the Sustainability of Extensive Livestock Farms on the Common Grasslands of the Natural Park Sierra de Grazalema. Sustainability 2021, 13, 1818. [Google Scholar] [CrossRef]
- Garmendia, E.; Aldezabal, A.; Galan, E.; Andonegi, A.; del Prado, A.; Gamboa, G.; Garcia, O.; Pardo, G.; Aldai, N.; Barron, L.J.R. Mountain Sheep Grazing Systems Provide Multiple Ecological, Socio-Economic, and Food Quality Benefits. Agron. Sustain. Dev. 2022, 42, 47. [Google Scholar] [CrossRef]
- Barba, C.; Fernández-Tomillo, L.; Jiménez, R.; Guzmán, J.R.; García, A. Valor Ecológico Ambiental y Conservación de Razas Ovinas. Arch. Zootec. 2016, 65, 445–448. [Google Scholar]
- Fernández-García, V.; Calvo, L. Landscape Implications of Contemporary Abandonment of Extensive Sheep Grazing in a Globally Important Agricultural Heritage System. Land 2023, 12, 780. [Google Scholar] [CrossRef]
- Cruz Moriana, V.; Mancilla-Leytón, J.M.; Mena, Y.; de Ruiz Morales, F.A. Identification of the Multifunctionality of Andalusian Autochthonous Pastoral Livestock Breeds at the Farm Level. Agriculture 2024, 14, 558. [Google Scholar] [CrossRef]
- dos Santos, M.P.; Morais, T.G.; Domingos, T.; Teixeira, R.F.M. Valuing Ecosystem Services Provided by Pasture-Based Beef Farms in Alentejo, Portugal. Land 2022, 11, 2238. [Google Scholar] [CrossRef]
- Rodríguez-Ortega, T.; Olaizola, A.M.; Bernués, A. A Novel Management-Based System of Payments for Ecosystem Services for Targeted Agri-Environmental Policy. Ecosyst. Serv. 2018, 34, 74–84. [Google Scholar] [CrossRef]




| Farms Producing Weaning Lambs (n = 25) | Farms Producing Fattened Lambs (n = 7) | |||||||
|---|---|---|---|---|---|---|---|---|
| Variable | Unit | MEAN | SD | MEDIAN | MEAN | SD | MEDIAN | |
| General information | Farm area | Ha | 588 | 472 | 550 | 592 | 277 | 500 |
| Ewe | Heads | 893 | 497 | 820 | 741 | 374 | 675 | |
| Reposition females | Heads | 111 | 65 | 100 | 103 | 72 | 80 | |
| Rams | Heads | 32 | 24 | 30 | 28 | 19 | 25 | |
| Ewe Ram−1 | Head head−1 | 33 | 11 | 31 | 39 | 30 | 26 | |
| Stocking rate | LU ha−1 | 0.29 | 0.14 | 0.26 | 0.23 | 0.08 | 0.23 | |
| Reproductive information | Fertility | %ewe lambing year−1 | 91% | 7% | 92% | 88% | 10% | 91% |
| parities ewe−1 year−1 | 0.97 | 0.16 | 0.99 | 0.94 | 0.18 | 0.95 | ||
| Prolificacy | Lamb born ewe−1 year−1 | 1.01 | 0.19 | 1.02 | 0.99 | 0.24 | 1.00 | |
| Lamb sold ewe−1 year−1 | 0.88 | 0.18 | 0.89 | 0.86 | 0.26 | 0.89 | ||
| Feeding information * | Hay | kgFM ewe−1 year−1 | 81 | 81 | 58 | 50 | 48 | 32 |
| Silage | kgFM ewe−1 year−1 | 33 | 101 | 0 | 4 | 9 | 0 | |
| Straw | kgFM ewe−1 year−1 | 13 | 26 | 0 | 13 | 22 | 0 | |
| Grain | kgFM ewe−1 year−1 | 58 | 41 | 61 | 37 | 45 | 17 | |
| By-products | kgFM ewe−1 year−1 | 29 | 42 | 0 | 37 | 53 | 5 | |
| Compound feed | kgFM ewe−1 year−1 | 3 | 13 | 0 | 0 | 0 | 0 | |
| kgFM lamb−1 year−1 | 37 | 65 | 8 | 43 | 62 | 23 | ||
| Grazing | % DM ingested | 57% | 29% | 57% | 73% | 26% | 79% | |
| Productive data | Lambs | Number | 696 | 503 | 550 | 386 | 360 | 300 |
| Average weight | kg lamb−1 | 13.7 | 1.8 | 13.5 | 25.0 | 11.1 | 20.0 | |
| Average age | days of life | 70 | 11 | 75 | 120 | 1 | 4 | |
| Farms Categorised by Productivity (n = 27) | |||||||||
|---|---|---|---|---|---|---|---|---|---|
| 75th Percentile (n = 7) | Remaining Farms (n = 13) | 25th Percentile (n = 7) | |||||||
| Variable | Unit | p-Value | MEAN | SD | MEAN | SD | MEAN | SD | |
| General information | Flock size | Ewe heads | 808 | 655 | 991 | 491 | 707 | 254 | |
| Reposition females | Heads | 108 | 79 | 122 | 68 | 89 | 34 | ||
| Rams | Heads | 32 | 24 | 35 | 29 | 22 | 12 | ||
| Ewe Ram−1 | Head head−1 | 30 | 17 | 34 | 10 | 41 | 26 | ||
| Stocking rate | LU ha−1 | 0.23 | 0.09 | 0.29 | 0.12 | 0.34 | 0.18 | ||
| Reproductive information | Fertility | % Ewe lambing year−1 | 0.002 | 0.94 a | 0.07 | 0.92 a | 0.04 | 0.81 b | 0.09 |
| parities ewe−1 year−1 | 0.000 | 1.13 a | 0.10 | 0.98 b | 0.08 | 0.74 c | 0.04 | ||
| Prolificacy | Lamb born ewe−1 year−1 | 0.000 | 1.27 a | 0.07 | 1.05 b | 0.09 | 0.81 c | 0.06 | |
| Lamb sold ewe−1 year−1 | 0.000 | 1.08 a | 0.06 | 0.86 b | 0.09 | 0.60 c | 0.10 | ||
| Weaned Lamb (n = 25) | Fattened Lamb (n = 7) | Culled Animals (n = 24) | Wool (n = 27) | |||||||||||||
|---|---|---|---|---|---|---|---|---|---|---|---|---|---|---|---|---|
| Organic (n = 20) | Conventional (n = 5) | Organic (n = 3) | Conventional (n = 4) | Organic (n = 19) | Conventional (n = 5) | Organic (n = 21) | Conventional (n = 6) | |||||||||
| MEAN | SD | MEAN | SD | MEAN | SD | MEAN | SD | MEAN | SD | MEAN | SD | MEAN | SD | MEAN | SD | |
| CH4 enteric fermentation | 19.8 | 4.1 | 20.3 | 5.3 | 15.7 | 5.8 | 13.6 | 4.0 | 3.3 | 2.2 | 2.6 | 1.3 | 1.6 | 0.5 | 1.7 | 0.4 |
| N2O pasture deposition | 0.6 | 0.2 | 0.6 | 0.2 | 0.5 | 0.2 | 0.4 | 0.2 | 0.1 | 0.1 | 0.1 | 0.0 | 0.1 | 0.0 | 0.0 | 0.0 |
| N2O manure management | 0.6 | 0.1 | 0.6 | 0.1 | 0.6 | 0.3 | 0.4 | 0.1 | 0.1 | 0.1 | 0.1 | 0.0 | 0.0 | 0.0 | 0.0 | 0.0 |
| Feeding | 3.9 | 3.7 | 3.2 | 2.6 | 6.5 | 6.3 | 3.4 | 2.3 | 0.6 | 0.8 | 0.2 | 0.2 | 0.3 | 0.2 | 0.2 | 0.2 |
| Machinery use | 2.0 | 2.0 | 2.9 | 2.8 | 0.5 | 0.5 | 1.3 | 1.3 | 0.1 | 0.2 | 0.2 | 0.3 | 0.2 | 0.2 | 0.2 | 0.2 |
| Other * | 0.5 | 0.2 | 0.4 | 0.2 | 0.3 | 0.1 | 0.4 | 0.2 | 0.1 | 0.0 | 0.0 | 0.0 | 0.0 | 0.0 | 0.0 | 0.0 |
| TOTAL | 27.4 | 6.6 | 27.9 | 8.2 | 24.1 | 11.6 | 19.5 | 3.8 | 4.4 | 2.8 | 3.2 | 1.4 | 2.1 | 0.7 | 2.2 | 0.4 |
| Farms Producing Weaned Lambs Categorised by Carbon Footprint (n = 25) | |||||||||
|---|---|---|---|---|---|---|---|---|---|
| 25th Percentile (n = 6) | Remaining Farms (n = 13) | 75th Percentile (n = 6) | |||||||
| Variable | Unit | p-Value | MEAN | SD | MEAN | SD | MEAN | SD | |
| General information | Flock size | Ewe heads | 912 | 573 | 873 | 581 | 919 | 206 | |
| Reposition females | Heads | 103 | 43 | 110 | 78 | 122 | 62 | ||
| Rams | Heads | 42 | 42 | 27 | 18 | 32 | 12 | ||
| Ewe Ram−1 | Head head−1 | 32 | 18 | 34 | 10 | 31 | 7 | ||
| Stocking rate | LU ha−1 | 0.22 a | 0.12 | 0.27 a | 0.12 | 0.39 b | 0.16 | ||
| Reproductive information | Fertility | %Ewe lambing year−1 | 0.015 | 0.96 a | 0.04 | 0.91 ab | 0.05 | 0.85 b | 0.09 |
| parities ewe−1 year−1 | 0.011 | 1.07 a | 0.13 | 1.00 a | 0.14 | 0.82 b | 0.14 | ||
| Prolificacy | Lamb born ewe−1 year−1 | 0.002 | 1.20 a | 0.14 | 1.10 a | 0.14 | 0.88 b | 0.14 | |
| Lamb sold ewe−1 year−1 | 0.004 | 1.01 a | 0.12 | 0.89 a | 0.15 | 0.70 b | 0.15 | ||
| Feeding information | Grazing | % DM ingested | 72 | 18 | 52 | 29 | 58 | 13 | |
| Carbon footprint | kg CO2eq kgLW−1 | 0.000 | 19.8 a | 2.1 | 26.7 b | 3.6 | 36.9 c | 2.3 | |
Disclaimer/Publisher’s Note: The statements, opinions and data contained in all publications are solely those of the individual author(s) and contributor(s) and not of MDPI and/or the editor(s). MDPI and/or the editor(s) disclaim responsibility for any injury to people or property resulting from any ideas, methods, instructions or products referred to in the content. |
© 2024 by the authors. Licensee MDPI, Basel, Switzerland. This article is an open access article distributed under the terms and conditions of the Creative Commons Attribution (CC BY) license (https://creativecommons.org/licenses/by/4.0/).
Share and Cite
Reyes-Palomo, C.; Díaz-Gaona, C.; Sanz-Fernández, S.; Muñoz-Cobos, I.; Aguilera, E.; Rodríguez-Estévez, V. Carbon Footprint of an Extensively Raised, Low-Productivity Sheep Population. Agriculture 2024, 14, 1304. https://doi.org/10.3390/agriculture14081304
Reyes-Palomo C, Díaz-Gaona C, Sanz-Fernández S, Muñoz-Cobos I, Aguilera E, Rodríguez-Estévez V. Carbon Footprint of an Extensively Raised, Low-Productivity Sheep Population. Agriculture. 2024; 14(8):1304. https://doi.org/10.3390/agriculture14081304
Chicago/Turabian StyleReyes-Palomo, Carolina, Cipriano Díaz-Gaona, Santos Sanz-Fernández, Isabel Muñoz-Cobos, Eduardo Aguilera, and Vicente Rodríguez-Estévez. 2024. "Carbon Footprint of an Extensively Raised, Low-Productivity Sheep Population" Agriculture 14, no. 8: 1304. https://doi.org/10.3390/agriculture14081304
APA StyleReyes-Palomo, C., Díaz-Gaona, C., Sanz-Fernández, S., Muñoz-Cobos, I., Aguilera, E., & Rodríguez-Estévez, V. (2024). Carbon Footprint of an Extensively Raised, Low-Productivity Sheep Population. Agriculture, 14(8), 1304. https://doi.org/10.3390/agriculture14081304

