Effect of Land Use Type on Soil Moisture Dynamics in the Sloping Lands of the Black Soil (Mollisols) Region of Northeast China
Abstract
1. Introduction
2. Materials and Methods
2.1. Study Area
2.2. Research Methods
2.2.1. Experimental Setting and Soil Sampling
2.2.2. Meteorological Factors
2.2.3. Soil Property Sampling and Analysis
2.3. Statistical Analysis
3. Results
3.1. Characteristics of Soil Moisture under Different Land Use Types
3.2. Spatial Variation Characteristics of Soil Moisture under Different Slope Positions
3.3. Differences in Soil Water Storage among Different Land Use Types
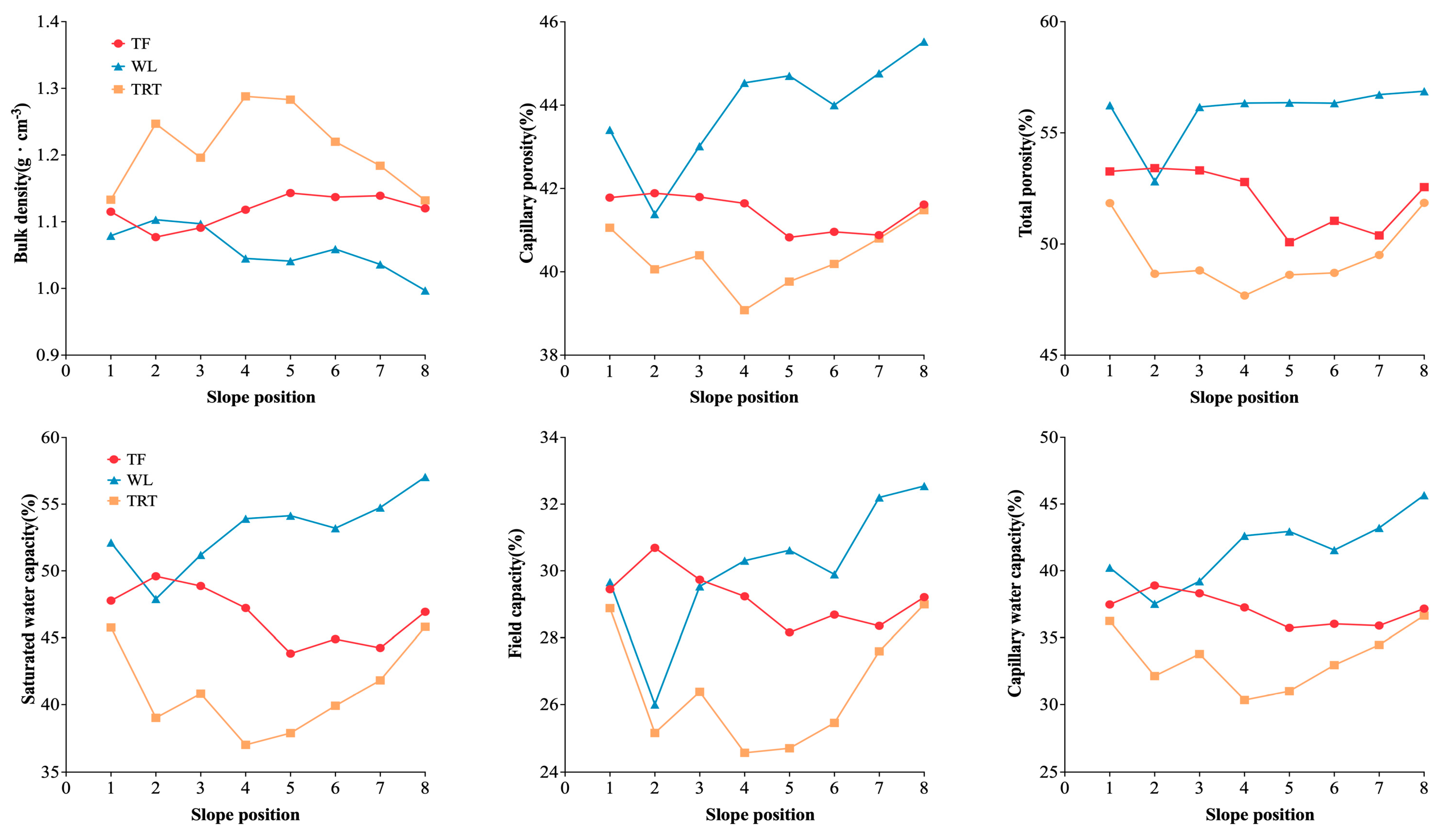
3.4. Differences in Physical Properties among Land Use Types
4. Discussion
4.1. Analysis of Differences in Soil Moisture Content and Moisture Benefits among Different Land Use Types
4.2. Analysis of Spatial Variations in Soil Moisture by Slope Position
5. Conclusions
- (1)
- In both the dry and rainy seasons, the soil moisture content and SWS in the 0–60 cm soil layer were highest in TF, followed by TRT, and lowest in WL. In terms of soil physical properties (such as bulk density, porosity, and water-holding capacity), WL performed better than TF, while TRT performed the worst. In general, there is a complex relationship between soil moisture and physical properties, which varies with different land use types (vegetation cover and terrain adjustments).
- (2)
- The soil moisture content and water storage in the dry season for WL were significantly higher, while those for TRT and TF were significantly lower than in the rainy season. Compared to the rainy season, the soil moisture content in WL increased by 1.69%, and water storage increased by 10.13 mm, whereas in TF and TRT, soil moisture content decreased by 1.84% and 4.84%, and water storage decreased by 11.05 mm and 29.04 mm, respectively, in the dry season.
- (3)
- The impact of land use types on soil moisture content is more pronounced in the rainy season than in the dry season. In the rainy season, there are significant differences in soil moisture content in the 0–40 cm soil layer among the three land use types; in the 40–60 cm soil layer, while the difference between TRT and TF decreases, the difference between the farmland types and WL is still significant. In the dry season, the impact is mainly concentrated in the 30–60 cm soil layer. Although there is no obvious difference between TF and TRT, the difference between the farmland types and WL gradually increases at deeper soil layers.
- (4)
- Both TRT and TF exhibit a trend of decreasing and then slightly increasing soil moisture along the slope during the dry and rainy seasons. Among them, TF consistently shows higher soil moisture content and SWS at all slope positions compared to TRT and WL. TF effectively improves soil quality, reduces erosion and sedimentation, and shifts the lowest water level point downslope. In the rainy season, WL shows a gradual increase in soil moisture along the slope. The moisture differences between TRT and WL at various slope positions diminish during the dry season.
Author Contributions
Funding
Institutional Review Board Statement
Data Availability Statement
Conflicts of Interest
References
- Bochet, E. The fate of seeds in the soil: A review of the influence of overland flow on seed removal and its consequences for the vegetation of arid and semiarid patchy ecosystems. Soil 2015, 1, 131–146. [Google Scholar] [CrossRef]
- Chen, L.D.; Huang, Z.L.; Gong, J.; Fu, B.J.; Huang, Y.L. The effect of land cover/vegetation on soil water dynamic in the hilly area of the loess plateau, China. Catena 2007, 70, 200–208. [Google Scholar] [CrossRef]
- Shi, H.; Shao, M. Soil and water loss from the Loess Plateau in China. J. Arid Environ. 2000, 45, 9–20. [Google Scholar] [CrossRef]
- Wang, Y.Q.; Shao, M.A.; Zhang, C.C.; Han, X.W.; Mao, T.X.; Jia, X.X. Choosing an optimal land-use pattern for restoring eco-environments in a semiarid region of the Chinese Loess Plateau. Ecol. Eng. 2015, 74, 213–222. [Google Scholar] [CrossRef]
- Zou, W.; Han, X.; Li, L.; Wang, F. Study on Soil Moisture Characteristic of Different Land Use Types in Black Soil. J. Soil Water Conserv. 2009, 23, 236–239. [Google Scholar]
- Rosenbaum, U.; Bogena, H.R.; Herbst, M.; Huisman, J.A.; Peterson, T.J.; Weuthen, A.; Western, A.W.; Vereecken, H. Seasonal and event dynamics of spatial soil moisture patterns at the small catchment scale. Water Resour. Res. 2012, 48, 22. [Google Scholar] [CrossRef]
- Zhu, W.; Niu, J.; Liu, G.; Liang, H. The influence of vegetation types on the soil moistures during growing season in Loess area. J. Arid Land Resour. Environ. 2016, 30, 152–156. [Google Scholar]
- Ding, B.B.; Zhang, J.M.; Zheng, P.F.; Li, Z.D.; Wang, Y.S.; Jia, G.D.; Yu, X.X. Water security assessment for effective water resource management based on multi-temporal blue and green water footprints. J. Hydrol. 2024, 632, 14. [Google Scholar] [CrossRef]
- Gao, H.; Guo, S.; Liu, W.; Li, M.; Zhang, J. Spatial Variability of Soil Water Retention Curve under Fertilization Practices in Arid-highland of the Loess Plateau. Trans. Chin. Soc. Agric. Mach. 2014, 45, 161–165. [Google Scholar]
- Zhao, H. Discussion on comprehensive practical technology of water storage and water saving in dry farming in Taihang Mountain Area. Chin. Agric. Sci. Bull. 2002, 18, 77–79. [Google Scholar]
- Shi, Z.; Zhu, H.; Chen, J.; Fang, N.; Ai, L. Spatial heterogeneity of soil moisture and its relationships with environmental factors at small catchment level. Chin. J. Appl. Ecol. 2012, 23, 889–895. [Google Scholar]
- Moradi, A.; Sung, C.T.B.; Goh, K.J.; Hanif, A.H.M.; Ishak, C.F. Effect of four soil and water conservation practices on soil physical processes in a non-terraced oil palm plantation. Soil Tillage Res. 2015, 145, 62–71. [Google Scholar] [CrossRef]
- Cantón, Y.; Solé-Benet, A.; Domingo, F. Temporal and spatial patterns of soil moisture in semiarid badlands of SE Spain. J. Hydrol. 2004, 285, 199–214. [Google Scholar] [CrossRef]
- Guo, X.X.; Fu, Q.; Hang, Y.H.; Lu, H.; Gao, F.J.; Si, J.B. Spatial Variability of Soil Moisture in Relation to Land Use Types and Topographic Features on Hillslopes in the Black Soil (Mollisols) Area of Northeast China. Sustainability 2020, 12, 3552. [Google Scholar] [CrossRef]
- Huo, A.; Zhao, Z.; Luo, P.; Zheng, C.; Peng, J.; Abuarab, M.E.-S. Assessment of spatial heterogeneity of soil moisture in the critical zone of gully consolidation and highland protection. Water 2022, 14, 3674. [Google Scholar] [CrossRef]
- Shen, H.; Xin, Z.; Wang, Z. Spatial and temporal dynamics of soil moisture and its influencing factors on the slope of Platycladus orientalis in Beijing mountain area. Acta Ecol. Sin. 2021, 41, 2676–2686. [Google Scholar]
- Ajami, M.; Heidari, A.; Khormali, F.; Zeraatpisheh, M.; Gorji, M.; Ayoubi, S. Spatial Variability of Rainfed Wheat Production Under the Influence of Topography and Soil Properties in Loess-Derived Soils, Northern Iran. Int. J. Plant Prod. 2020, 14, 597–608. [Google Scholar] [CrossRef]
- Bai, Y.; Shao, M. Temporal stability of soil water storage on slope in rain-fed region of Loess Plateau. Trans. Chin. Soc. Agric. Eng. 2011, 27, 45–50. [Google Scholar]
- An, W.; Han, X.; Li, Z.; Wang, S.; Wu, X.; Lv, Y.; Liu, G.; Fu, B. Effects of different vegetation restoration types on the slope difference of soil water content in the Loess Plateau, China. Acta Ecol. Sin. 2018, 38, 4852–4860. [Google Scholar]
- Li, X.; Liu, M.; Lu, S.; Wang, W.; Yi, J.; Wan, J. Spatial Distribution Characteristics of Soil Moisture on Tea Garden Slope and Its Response to Rainfall Replenishment in the Three Gorges Reservoir Area. J. Soil Water Conserv. 2023, 37, 137–144. [Google Scholar]
- Yin, D.; Song, X.; Zhu, X.; Guo, H.; Zhang, Y.; Zhang, Y. Spatiotemporal Analysis of Soil Moisture Variability and Its Driving Factor. Remote Sens. 2023, 15, 5768. [Google Scholar] [CrossRef]
- Farahani, S.S.; Fard, F.S.; Asoodar, M.A. Effects of contour farming on runoff and soil erosion reduction: A review study. Elixir Agric. 2016, 101, 44089–44093. [Google Scholar]
- Chen, X.W.; Liang, A.Z.; Jia, S.X.; Zhang, X.P.; Wei, S.C. Impact of tillage on physical characteristics in a Mollisol of Northeast China. Plant Soil Environ. 2014, 60, 309–313. [Google Scholar] [CrossRef]
- Tang, M.; Zhang, C.; Gao, X.; Wu, P. Effects of Different Land Use Patterns on Soil Water in Loess Hilly and Gully Regions of China. Plants 2022, 12, 21. [Google Scholar] [CrossRef] [PubMed]
- Hengl, T.; Heuvelink, G.B.M.; Rossiter, D.G. About regression-kriging: From equations to case studies. Comput. Geosci. 2007, 33, 1301–1315. [Google Scholar] [CrossRef]
- Zhu, H.D.; Shi, Z.H.; Fang, N.F.; Wu, G.L.; Guo, Z.L.; Zhang, Y. Soil moisture response to environmental factors following precipitation events in a small catchment. Catena 2014, 120, 73–80. [Google Scholar] [CrossRef]
- Han, J.; Duan, X.; Zhao, Y.; Xiong, H. Spatial and Temporal Variability of Soil Moisture on Sloping Lands of Different Land Use Types in a Dry-hot Valley. J. Soil Water Conserv. 2017, 31, 129–136. [Google Scholar]
- Fu, T.; Gao, Y.; Liu, L.; Gao, H.; Qi, F.; Wang, F.; Liu, J. Factors influencing soil water content during dry period in the middle part of the Taihang Mountain. Chin. J. Eco-Agric. 2022, 30, 1054–1063. [Google Scholar]
- Wen, L.; Xu, H.; Qin, W.; Xu, W. Preservation Status and Problems of Key Soil and Water Conservation Projects in Black Soil Region of Northeast China. Bull. Soil Water Conserv. 2023, 43, 417–423. [Google Scholar]
- Zhang, G.; Yang, Y.; Liu, Y.; Wang, Z. Advances and Prospects of Soil Erosion Research in the Black Soil Region of Northeast China. J. Soil Water Conserv. 2022, 36, 1–12. [Google Scholar]
- Zhang, X.; Liang, A.; Shen, Y.; Li, W.; Zhang, X.; Wang, Y.; Xie, Y.; Liu, F.; Yang, X. Erosion Characteristics of Black Soils in Northeast China. Sci. Geogr. Sin. 2006, 26, 687–692. [Google Scholar]
- Rasheed, M.W.; Tang, J.L.; Sarwar, A.; Shah, S.; Saddique, N.; Khan, M.U.; Khan, M.I.; Nawaz, S.; Shamshiri, R.R.; Aziz, M.; et al. Soil Moisture Measuring Techniques and Factors Affecting the Moisture Dynamics: A Comprehensive Review. Sustainability 2022, 14, 11538. [Google Scholar] [CrossRef]
- Bouchoms, S.; Wang, Z.G.; Vanacker, V.; Van Oost, K. Evaluating the effects of soil erosion and productivity decline on soil carbon dynamics using a model-based approach. Soil 2019, 5, 367–382. [Google Scholar] [CrossRef]
- Xu, Y.; Wang, J.; Cai, S.; Zhou, M. Spatial variability of soil moisture in horizontal terrace on slightly sloping land. Trans. Chin. Soc. Agric. Eng. 2008, 24, 16–19. [Google Scholar]
- Wang, Y.; Jiao, L.; Zhao, F. The Soil Moisture Determination and Analysis in The Summer in the Ebinur Lake Basin. J. Xinjiang Norm. Univ. (Nat. Sci. Ed.) 2011, 30, 4–8. [Google Scholar]
- Zou, W.; Jiang, B.; Gu, L. Measurement of Soil Moisture Constants. J. China Hydrol. 2015, 35, 62–66. [Google Scholar]
- Zeng, H.H.; Wu, J.N.; Zhu, X.A.; Singh, A.K.; Chen, C.F.; Liu, W.J. Jungle rubber facilitates the restoration of degraded soil of an existing rubber plantation. J. Environ. Manag. 2021, 281, 11. [Google Scholar] [CrossRef] [PubMed]
- Liu, D.; Li, W. A simple method for determining soil bulk density and porosity. Chin. J. Soil Sci. 1983, 27, 44–47. [Google Scholar]
- Zhang, Y.W.; Shangguan, Z.P. The change of soil water storage in three land use types after 10 years on the Loess Plateau. Catena 2016, 147, 87–95. [Google Scholar] [CrossRef]
- Wei, W.; Chen, D.; Wang, L.X.; Daryanto, S.; Chen, L.D.; Yu, Y.; Lu, Y.L.; Sun, G.; Feng, T.J. Global synthesis of the classifications, distributions, benefits and issues of terracing. Earth-Sci. Rev. 2016, 159, 388–403. [Google Scholar] [CrossRef]
- Ghorbani, M.; Amirahmadi, E.; Konvalina, P.; Moudry, J.; Kopecky, M.; Hoang, T.N. Carbon Pool Dynamic and Soil Microbial Respiration Affected by Land Use Alteration: A Case Study in Humid Subtropical Area. Land 2023, 12, 459. [Google Scholar] [CrossRef]
- Yang, S.; Kang, T.T.; Bu, J.Y.; Chen, J.H.; Gao, Y.C. Evaluating the Impacts of Climate Change and Vegetation Restoration on the Hydrological Cycle over the Loess Plateau, China. Water 2019, 11, 2241. [Google Scholar] [CrossRef]
- Han, X.; Yu, Y.; Cai, J.; Li, Z.; Xu, H.; Li, W.; Guo, Y.; Wan, H.; Wang, Y.; Dong, L.; et al. Spatial variability of soil moisture in Zhongzhuang small watershed, loess hilly region, southern Ningxia and influencing factors. Sci. Soil Water Conserv. 2022, 20, 44–52. [Google Scholar]
- Zhang, R.; Cao, H.; Wang, Y.; Huang, C.; Tan, W. Spatial Variability of Soil Moisture and Its Influence Factors in Watershed of Gully Region on the Loess Plateau. Res. Soil Water Conserv. 2012, 19, 52–58. [Google Scholar]
- Fiorucci, M.; Pepe, G.; Marmoni, G.M.; Pecci, M.; Di Martire, D.; Guerriero, L.; Bausilio, G.; Vitale, E.; Raso, E.; Raimondi, L.; et al. Long-term hydrological monitoring of soils in the terraced environment of Cinque Terre (north-western Italy). Front. Earth Sci. 2023, 11, 17. [Google Scholar] [CrossRef]
- Oren, R.; Pataki, D.E. Transpiration in response to variation in microclimate and soil moisture in southeastern deciduous forests. Oecologia 2001, 127, 549–559. [Google Scholar] [CrossRef] [PubMed]
- Yi, Y.; Xin, Z.; Qin, Y.; Xiao, Y.; Zhao, R. Study on Physical Characteristics of Soil Water in Different Land Uses in Loess Hilly Region. Res. Soil Water Conserv. 2013, 20, 45. [Google Scholar]
- Gao, J.; Luo, F.; Liu, H.; Qiao, J.; Yu, M.; Xu, Y. Effects of typical ecological projects of desertification combating on soil physical properties in Ulan Buh Desert. Arid Zone Res. 2023, 40, 737–746. [Google Scholar]
- Moges, A.; Dagnachew, M.; Yimer, F. Land Use Effects on Soil Quality Indicators: A Case Study of Abo-Wonsho Southern Ethiopia. Appl. Environ. Soil Sci. 2013, 2013, 784989. [Google Scholar] [CrossRef]
- Ciric, V.; Manojlovic, M.; Nesic, L.; Belic, M. Soil dry aggregate size distribution: Effects of soil type and land use. J. Soil Sci. Plant Nutr. 2012, 12, 689–703. [Google Scholar] [CrossRef]
- Jourgholami, M.; Ghassemi, T.; Labelle, E.R. Soil physio-chemical and biological indicators to evaluate the restoration of compacted soil following reforestation. Ecol. Indic. 2019, 101, 102–110. [Google Scholar] [CrossRef]
- Wei, H.; Li, R.; Yang, Q. Research advances of vegetation effect on soil and water conservation in China. Acta Phytoecol. Sin. 2002, 26, 489–496. [Google Scholar]
- Tan, K.; Su, Y.; Liu, B. Influence of Shelterbelt on Soil Aggregate Composition and Stability of Slope Farmland in Black Soil. J. North-East For. Univ. 2022, 50, 93. [Google Scholar]
- Liu, Z.; Wang, Y.; Xu, L.; Deng, X.; Tian, A. Spatial-temporal Variations and Scale Effect of Soil Moisture on Larix Principis-ruprechtii Plantation Slope in Semihumid Liupan Mountains, China. Mt. Res. 2018, 36, 43–52. [Google Scholar]
- Liu, M.; Jiang, D.; Huang, G.; Cai’e, C. An analysis to the differences of soil. Bull. Soil Water Conserv. 1990, 19, 16–20. [Google Scholar]
- Liu, J.; Ai, N.; Zong, Q.; Hao, B.; Li, Y.; Qiang, D.; Liu, C. Spatial Distribution Characteristics of Soil Moisture in Sabina vulgaris Ant. Community in the Southern Edge of Mu Us Sandland. J. Soil Water Conserv. 2019, 33, 79–84. [Google Scholar]
- Wang, L.; Liu, G.; Feng, X.; Niu, J. The characteristics of water deficit in various vegetation soils in northwestern Shanxi Province. Acta Sci. Nat. Univ. Sunyatseni 2018, 57, 102–109. [Google Scholar]
- Shi, Y.Z.; Wang, Y.H.; Cui, Y.L.; Wang, S.W.; Zhang, Y.S. A new rainwater harvesting and recycling system for transforming sloping land into terraced farmland. J. Mt. Sci. 2014, 11, 205–214. [Google Scholar] [CrossRef]
- Klaassen, W.; Lankreijer, H.J.M.; Veen, A.W.L. Rainfall interception near a forest edge. J. Hydrol. 1996, 185, 349–361. [Google Scholar] [CrossRef]
- Baldocchi, D.D.; Verma, S.B.; Anderson, D.E. Canopy Photosynthesis and Water-Use Efficiency in a Deciduous Forest. J. Appl. Ecol. 1987, 24, 251–260. [Google Scholar] [CrossRef]
- Zhu, Q.; Nie, X.F.; Zhou, X.B.; Liao, K.H.; Li, H.P. Soil moisture response to rainfall at different topographic positions along a mixed land-use hillslope. Catena 2014, 119, 61–70. [Google Scholar] [CrossRef]
- Han, F.; Liu, X.; Ma, C. Characteristics of soil water infiltration in sloping land and level terrace under different rainfall duration. Agric. Res. Arid Areas 2012, 30, 14. [Google Scholar]
- Defersha, M.B.; Quraishi, S.; Melesse, A. The effect of slope steepness and antecedent moisture content on interrill erosion, runoff and sediment size distribution in the highlands of Ethiopia. Hydrol. Earth Syst. Sci. 2011, 15, 2367–2375. [Google Scholar] [CrossRef]
- Zhou, Y.; Li, H.; Xu, Q. Effect of Yunnan Pine forest canopy on soil erosion. Mt. Res. 1999, 17, 324–328. [Google Scholar]
- Zhao, H.; Wu, Q.; Liu, G. Studies on soil and water conservation functions of litter in chinese pine stand on loess plateau. Sci. Silvae Sin. 2003, 39, 168–172. [Google Scholar]
- Wang, G.B.; Liu, B.H.; Henderson, M.; Zhang, Y.; Zhang, Z.; Chen, M.Y.; Guo, H.X.; Huang, W.W. Effect of Terracing on Soil Moisture of Slope Farmland in Northeast China’s Black Soil Region. Agriculture 2023, 13, 1876. [Google Scholar] [CrossRef]
- Xia, L.; Song, X.Y.; Fu, N.; Cui, S.Y.; Li, L.J.; Li, H.Y.; Li, Y.L. Effects of forest litter cover on hydrological response of hillslopes in the Loess Plateau of China. Catena 2019, 181, 11. [Google Scholar] [CrossRef]







| Type | Rainy Season | Dry Season | ||||||
|---|---|---|---|---|---|---|---|---|
| Max (%) | Min (%) | Mean (%) * | CV (%) | Max (%) | Min (%) | Mean (%) * | CV (%) | |
| WL | 21.82 | 10.02 | 16.95 Bc | 17 | 25.50 | 8.88 | 18.64 Ab | 18 |
| TRT | 29.12 | 19.81 | 24.61 Ab | 12 | 28.47 | 15.07 | 22.77 Ba | 12 |
| TF | 33.70 | 23.35 | 27.67 Aa | 10 | 26.92 | 18.85 | 22.83 Ba | 7 |
Disclaimer/Publisher’s Note: The statements, opinions and data contained in all publications are solely those of the individual author(s) and contributor(s) and not of MDPI and/or the editor(s). MDPI and/or the editor(s) disclaim responsibility for any injury to people or property resulting from any ideas, methods, instructions or products referred to in the content. |
© 2024 by the authors. Licensee MDPI, Basel, Switzerland. This article is an open access article distributed under the terms and conditions of the Creative Commons Attribution (CC BY) license (https://creativecommons.org/licenses/by/4.0/).
Share and Cite
Zhang, Z.; Zhang, Y.; Henderson, M.; Wang, G.; Chen, M.; Fu, Y.; Dou, Z.; Zhou, W.; Huang, W.; Liu, B. Effect of Land Use Type on Soil Moisture Dynamics in the Sloping Lands of the Black Soil (Mollisols) Region of Northeast China. Agriculture 2024, 14, 1261. https://doi.org/10.3390/agriculture14081261
Zhang Z, Zhang Y, Henderson M, Wang G, Chen M, Fu Y, Dou Z, Zhou W, Huang W, Liu B. Effect of Land Use Type on Soil Moisture Dynamics in the Sloping Lands of the Black Soil (Mollisols) Region of Northeast China. Agriculture. 2024; 14(8):1261. https://doi.org/10.3390/agriculture14081261
Chicago/Turabian StyleZhang, Zhi, Yanling Zhang, Mark Henderson, Guibin Wang, Mingyang Chen, Yu Fu, Zeyu Dou, Wanying Zhou, Weiwei Huang, and Binhui Liu. 2024. "Effect of Land Use Type on Soil Moisture Dynamics in the Sloping Lands of the Black Soil (Mollisols) Region of Northeast China" Agriculture 14, no. 8: 1261. https://doi.org/10.3390/agriculture14081261
APA StyleZhang, Z., Zhang, Y., Henderson, M., Wang, G., Chen, M., Fu, Y., Dou, Z., Zhou, W., Huang, W., & Liu, B. (2024). Effect of Land Use Type on Soil Moisture Dynamics in the Sloping Lands of the Black Soil (Mollisols) Region of Northeast China. Agriculture, 14(8), 1261. https://doi.org/10.3390/agriculture14081261

