Next Article in Journal
Evidence of Cooperative Interactions between Rhizobacteria and Wood-Decaying Fungi and Their Effects on Maize Germination and Growth
Previous Article in Journal
Optimizing the Nitrogen Fertilizer Management to Maximize the Benefit of Straw Returning on Early Rice Yield by Modulating Soil N Availability
 
 
Font Type:
Arial Georgia Verdana
Font Size:
Aa Aa Aa
Line Spacing:
Column Width:
Background:
Article

Design and Experiment of In-Situ Bionic Harvesting Device for Edible Sunflower

1
College of Mechanical and Electrical Engineering, Xinjiang Agricultural University, Urumqi 830052, China
2
Xinjiang Key Laboratory of Intelligent Agricultural Equipment, Urumqi 830052, China
3
School of Agricultural Engineering, Jiangsu University, Zhenjiang 212013, China
4
College of Engineering, South China Agricultural University, Guangzhou 510642, China
*
Author to whom correspondence should be addressed.
Agriculture 2024, 14(7), 1169; https://doi.org/10.3390/agriculture14071169
Submission received: 16 June 2024 / Revised: 5 July 2024 / Accepted: 15 July 2024 / Published: 17 July 2024
(This article belongs to the Section Agricultural Technology)

Abstract

In view of the low degree of mechanization and poor quality of harvesting of edible sunflower after drying, an in situ bionic harvesting device was designed, which can achieve low-loss harvesting of edible sunflower without removing the edible sunflower disc. According to the physical characteristics of sunflower stalks in the field, influencing factors of in situ low-loss feeding were obtained, and the structural parameters of the in situ feeding mechanism were determined. Based on bionic technology and static analysis, the influencing factors on the performance of the bionic threshing mechanism were obtained. By analyzing the mechanical characteristics of edible sunflower seed, the operation parameters of the seed collection mechanism were determined. Based on the structural analysis results of the harvesting device, a response surface optimization test was carried out. The test results show that when the average rotation speed of the bionic loosening roller was 113.57 rpm, the average rotation speed of the simulated artificial striking roller was 230.80 rpm, the average forward speed of the harvesting device was 0.58 m/s, the working quality of the harvesting device was the best, the seed loss rate was 2.12%, and the edible sunflower disc threshing rate was 98.96%. A field verification test further confirms that under the optimal working parameters, the relative deviation between test indexes and response surface optimization test results was less than 2%. During the operation process, the movement of key components of the harvesting device was coordinated and stable. The research results can provide new ideas for the mechanized harvesting of the edible sunflower disc after drying.

1. Introduction

Edible sunflower is drought resistant and salinity tolerant, and can be planted in the poor production conditions of salt-alkali land and thin dry land [1].
Due to differences in climate, varieties, agronomy, and commercialization, the methods of harvesting edible sunflower are different around the world. European and American countries mainly use the combined harvest method to harvest edible sunflower. This involves adding a special edible sunflower cutting table to the combined harvester, which is used in conjunction with the machine’s own threshing parts to harvest seeds. The special edible sunflower cutting table has been the focus of research. The American Capello Company [2] designed the Capello Helianthus 9400 series of sunflower cutting tables, which use a flexible reel paddle to transport the edible sunflower discs backwards, and use a grain lifter to guide and collect the falling seeds. Fantini, an Italian company [3], designed a foldable edible sunflower cutting tables, which uses chains to drive a flexible conveyor belt for feeding. The Germany Claas company [4] developed the Lexion 560/750 sunflower cutting table, in which the reel paddle was changed to a cylinder with a flexible dial plate and equipped with an arc-shaped shield to reduce seed splashing. Shaforostov et al. [5] developed a special cutting table for sunflower harvesting with spiral cutting and belt conveying. Nalobina et al. [6] developed a sunflower cutting table with a stalk pulled roller type and stalk-crushing knife attached. Chaplygin et al. [7] compared the performance of different structures of special cutting tables for sunflower combined harvest.
The method of combined harvest of edible sunflower is efficient and saves labor and time [8], but in large-scale planting areas such as Xinjiang and Inner Mongolia in China, there is a large temperature difference between day and night, the frost-free period is short, and there is limited drying space, which leads to a high water content in the edible sunflower at maturity, poor seed quality, and mold susceptibility after combined harvest [9]. Therefore, these planting areas are not suitable for combined harvesting and threshing, and the main method of harvesting is to cut off the sunflower disc first, and then stick the sunflower disc on the truncated stalk to dry, and finally remove the sunflower disc for threshing.
At present, edible sunflower discs after drying are mostly harvested by manually removing the sunflower disc and then mechanically threshing. This method is labor-intensive and expensive. With the increasing proportion of rural labor force migrating out of the country and most crops maturing in the same period, the labor force is tight during the harvesting period, which means the best harvesting time of edible sunflower is easy to miss, resulting in a decrease in the yield and quality of edible sunflower [10,11]. Therefore, it is of great significance to develop harvesting machinery suitable for the harvesting of edible sunflower discs after drying, so as to improve the harvesting efficiency and promote the development of the edible sunflower industry.
Experts and scholars have also studied the mechanized harvesting of sunflower after drying. Han Changjie et al. [12] used an inclined conveyor chain to simulate the manual removal of the edible sunflower disc, and designed a bionic removal mechanism. Hanlin [13] designed a control system for the removal of edible sunflower discs in harvesters, which can replace the manual operation and reduce seed loss effectively. However, their studies only focused on the removal of the edible sunflower disc, without conducting subsequent threshing research, which resulted in a high mechanization cost. Xinjiang Fengda Machinery Manufacturing Company [14] developed the 5TK-1400 mobile sunflower thresher, which has a high threshing efficiency and stable working performance, but still needs manual cooperation to remove the sunflower discs, and the harvest costs are high.
As for research on the mechanized harvest of edible sunflower discs after drying, most experts and scholars have only studied the operation of edible sunflower disc removal, or only studied the subsequent threshing operation. On the whole, the degree of labor participation is high, and the degree of mechanization is low.
In the field of threshing and harvesting, Jiang Yiyuan et al. [15] developed a rice harvesting machine system for threshing prior to cutting, and Xu Changsu [16] designed a concave comb with an increasing-flow header for stripping prior to cutting, all of which adopted threshing prior to cutting technology. This kind of technology does not need to cut the head of crops before threshing, and can directly thresh the crops standing in the field. The mechanism design involves less workload than a traditional harvester, which is a great competitive advantage. The method of in situ threshing can provide reference for mechanized harvesting of the edible sunflower disc after drying.
In the field of bionic harvesting, Li Xinping et al. [17] drew inspiration from the phenomenon of roosters pecking at corn and designed a bionic threshing unit for corn, which decreased the damage rate and improved the threshing rate of corn. Fu Jun et al. [18] designed bionic wheat threshing teeth based on the design principle of a low-loss and high-efficiency contact mechanism on the surface of the tongue tip of cattle, and the machine can obtain a higher threshing rate. Liu Shihao [19] optimized the cassava bionic digging shovel by using the mole claw as the bionic prototype, which improved the cassava harvesting efficiency. It is a new way to study low-loss threshing by means of the excellent morphological and functional characteristics of biological species.
This study aims to realize the mechanized harvest of the edible sunflower disc after drying and solve the problems of low mechanization degree and poor harvest quality in harvesting operations. In this study, by analyzing the technology of removing the grain before cutting, changing the harvest agronomy of removing the edible sunflower disc after drying, and combining with bionic threshing technology, an in situ bionic harvesting device for edible sunflower was designed to achieve low-loss harvesting of edible sunflower without removing the edible sunflower disc. This study provides a new way for mechanized harvesting of edible sunflower.

2. Materials and Methods

2.1. Overall Structure and Working Principle

2.1.1. Overall Structure of Harvesting Device

The in situ bionic harvesting device for edible sunflower is shown in Figure 1, which mainly consists of an in situ feeding mechanism, a bionic threshing mechanism, and a seed collection mechanism. The in situ feeding mechanism mainly includes a guider, an auxiliary conveying module of the sunflower disc, and a frame. The bionic threshing mechanism mainly includes a bionic loosening roller, a simulated artificial striking roller, and a seed-sweeping roller. The seed collecting mechanism mainly includes a seed-conveying module, anti-falling seed brush, anti-falling seed air-blowing system, and collection box. The guider is installed in front of the frame, and the auxiliary conveying module of the sunflower disc is located behind the guider. To make the edible sunflower stalk pass smoothly in situ, a frame with the function of stalk passing in situ was designed. Two groups of auxiliary conveying modules of the sunflower disc are arranged side-by-side on the frame, with a gap between them for the stalk to pass through. The seed drop gap is provided for each group of auxiliary conveying modules of the sunflower disc, so that the seeds can easily fall into the seed collection mechanism. The bionic threshing mechanism is installed above the auxiliary conveying modules of the sunflower disc, and the bionic loosening roller, the simulated artificial striking roller, and the seed-sweeping roller are arranged in sequence on the frame, and the seeds are removed from the edible sunflower disc by multiple threshing processes. The main function of the seed collecting mechanism is to complete the transportation and collection of seeds, and the loss-preventing brush and the air-blowing system can transport the seeds falling into the gap to the seed conveying module to avoid losing seeds. The seed-conveying module is located under the auxiliary conveying modules of the sunflower disc, collecting and conveying seeds to the seed collection box. The outside and top of the harvesting device are sealed with thin metal plates, and the transmission mechanism, traction frame, ground wheel, and other components are connected and installed on the frame.

2.1.2. Working Principle of Harvesting Device

The harvesting device moves forward with the traction of the tractor, and the power output shaft of the tractor provides power for the bionic threshing mechanism. The ground wheel provides power for the auxiliary conveying module of sunflower discs and the seed-conveying module, and ensures that the feeding speed of the edible sunflower disc matches the forward speed of the harvesting device. When the harvester starts working, the edible sunflower is fed through the guider, and the edible sunflower stalk enters the harvester device along the gap in the middle of the auxiliary conveying module of sunflower discs. Under the condition of the edible sunflower stalk standing in situ, the auxiliary conveying module of sunflower discs carries the sunflower disc in situ to the threshing area. The bionic loosening roller destroys the dense structure between the seeds on the sunflower disc, loosening some of the edible sunflower seeds. The simulated artificial striking roller beats the sunflower disc to disconnect the seeds from the sunflower disc after loosening. The seed-sweeping roller cleans the remaining seeds on the surface of the sunflower disc. After the seeds are removed from the sunflower disc, most of the seeds fall on the seed-conveying module through the seed drop gap, and a small part of the seeds fall into the gap for the stalk to pass through. The seeds falling into the gap for the stalk to pass through are sent to the seed-conveying module through the combination of the loss-preventing brush and the air-blowing system. The seeds are transported to the seed collection box behind the harvesting device by the seed-conveying module. After threshing, the edible sunflower disc and stalk are discharged from the rear of the harvesting device, and the harvesting device continues to move forward.

2.2. Main Components and Parameter Design

2.2.1. Design of In Situ Feeding Mechanism

The in situ feeding mechanism is divided into three stages according to its functions, namely, the feeding stage, auxiliary conveying stage, and threshing stage. The main in situ feeding mechanism is shown in Figure 2. The main function is to gather, guide, and transport the edible sunflower stalk, so that the edible sunflower disc can enter the harvester smoothly and be threshed and discharged. In this study, the in situ feeding mechanism also has the function of feeding the sunflower stalk without separating it from the sunflower disc during the feeding process, straightening the sunflower disc, and transporting the sunflower disc and the sunflower stalk to the threshing area at the same speed.
According to preliminary investigation and research [20], the height of the edible sunflower stalk after truncation is generally within the range of 700–900 mm, and the thickness of the edible sunflower disc is generally 50–80 mm during the appropriate harvest period. In order to ensure that the edible sunflower disc can be efficiently threshed by the threshing device, the height of the auxiliary conveyor belt of the sunflower disc from the ground in the threshing area was set to 800 mm.
  • Design of guider
The guider is arranged symmetrically at the front of the harvesting device, with the function of gathering and feeding the sunflower stalk in the field to the machinery. In order to avoid colliding with adjacent rows of sunflower plants, the width of a single guider should meet the following requirement:
l g k S 0
where lg is the width of a single divider, mm; S0 is the planting row spacing of edible sunflower, mm; k is the anti-interference coefficient, which is a real number less than 1.
The planting pattern in most Xinjiang regions is 400 mm (narrow rows) × 800 mm (wide rows). To ensure that the harvesting device can pass and harvest under all row spacing conditions, S0 was selected to be 400 mm. Considering the planting mode of the edible sunflower and the working width of the machine, k was selected as 0.5, and lg was determined to be 200 mm.
In the feeding process, the sunflower stalk inevitably collides with the guider, and the force after the collision between the sunflower stalk and the guider is shown in Figure 3. In order to make the sunflower stalk feed smoothly, that is, to make the sunflower stalk slide on the guider, the front cone angle should be consistent with Equation (2).
{ f g s = μ g s F N F s sin α = F N F s cos α f g s
where μgs is the friction factor between the guider and the edible sunflower stalk during the appropriate harvest period; fgs is the friction force between the guider and the edible sunflower stalk, N; Fs is the bending force of the mallow stalk, N; FN is the supporting force of the guider on the edible sunflower stalk, N; α is the front cone angle, °.
The front cone angle is calculated as follows:
α arctan 1 μ g s
The material of the guider is Q235 steel, the friction coefficient between the guider and the edible sunflower stalk during the appropriate harvest period is in the range of 0.2–0.6 [21,22], and α ≤ 59° was obtained.
The front cone angle of the guider is an important factor affecting the resistance of the collision system. The smaller the front cone angle, the smaller the feeding resistance. However, if the front cone angle is too small, it can easily damage the sunflower stalk. In this paper, the front cone angle of the guider was set to α = 30°.
  • Design of the auxiliary conveying module of the sunflower disc
In situ threshing is the threshing process in which the sunflower disc is in situ relative to the sunflower stalk. During the movement of the harvesting device, the sunflower disc is transported at the same speed on the sunflower stalk. The function of the auxiliary conveying module of the sunflower disc is to straighten and assist in conveying the sunflower disc into the threshing area. The auxiliary conveying module of the sunflower disc is mainly composed of the auxiliary conveyor belt, driven roller, driving roller, the transmission parts, etc. It is driven by the ground wheel, and in the horizontal direction, the conveying speed of the sunflower disc is synchronized with that of the conveyor belt. The auxiliary conveyor belt uses a synchronization belt which is equipped with spike teeth to increase the friction between the sunflower disc and the conveyor belt. In the threshing area, the bionic threshing mechanism squeezes the sunflower disc, and the spike teeth are inserted into the sunflower disc to temporarily fix the sunflower disc on the conveyor belt, so that the sunflower disc is not easily knocked away by the threshing mechanism.
When the sunflower disc is conveyed to the auxiliary conveying area, the sunflower disc on the sunflower stalk needs to be straightened and the height of the sunflower disc should be regulated to facilitate subsequent threshing. Therefore, the conveyor belt was designed as a sloped surface in the auxiliary conveying area, as shown in Figure 4.
The auxiliary conveyor belt design needs to meet the following:
sin θ = Δ d L 2
where L2 is the sloped surface length of the auxiliary conveyor belt, mm; θ is the slope angle, °; Δd is the sloped surface height, mm.
The height of the edible sunflower stalk after truncation is in the range of 700–900 mm, and the design of the auxiliary conveyor belt is 800 mm from the ground in the threshing area. The sunflower disc is usually inserted on the sunflower stalk at a certain angle. In order to ensure the sunflower disc feeds smoothly, the lowest point of the auxiliary conveyor belt sloped surface was set to 600 mm from the ground during the auxiliary conveying stage, and Δd was 200 mm.
The straightening process of the sunflower disc on the conveyor belt needs to be smooth, and an excessively steep slope angle can lead to poor synchronization between the machine forward speed and the sunflower disc conveying speed; therefore, the slope angle θ could not be too large. However, if the slope angle θ is too small, it will make the slope surface length L2 too long, resulting in a too large machine shape size, increasing manufacturing costs. Taking the above problems into consideration, the slope angle θ was designed to be 15°, which entails that the sloped surface length L2 is 772 mm.
  • Design of the gap for the stalk to pass through
To ensure that the sunflower disc enters the threshing area while the sunflower disc is attached to the sunflower stalk, it is necessary to design a gap for the stalk to pass through.
The design of the gap for the stalk to pass through should not only enable the sunflower stalk to pass in an upright state, but also enable the sunflower stalk to pass after the displacement caused by the impact of the frame.
The contact between the sunflower stalk and the frame can be simplified as a cantilever beam model, and the coordinate system was established as shown in Figure 5.
The displacement equation of top B is as follows:
{ x = l 1 ω B = F l 2 2 2 E s I s = θ B ω B = F l 2 2 6 E s I s ( 3 l 1 l 2 )
where Es is the elastic modulus of the sunflower stalk, GPa; Is is the moment of inertia of the sunflower stalk, mm4.
The closer the contact position between the frame and the sunflower stalk is to the ground, the greater the displacement of the top of the stalk. The minimum distance between the frame and the ground was 200 mm, so the extreme value of l2 was 200 mm. According to the previous investigation and test, the diameter of the sunflower stalk ranges from 20 to 50 mm, the height of the edible sunflower stalk after truncation is generally from 700 to 900 mm, the elastic modulus Es of the edible sunflower stalk is about 0.319 GPa [23], and the impact force F of the sunflower stalk by the frame is from 0 to 50 N. All the above parameters were taken as extreme values and calculated by substituting them into Equation (5), through which ωB ≤ 8.5 mm could be obtained.
The design of the gap for the stalk to pass through needs to meet the following:
d D s + ω B
where Ds is the diameter of the sunflower stalk, mm.
From Equation (6), d ≥ 58.5 mm was obtained, and was set to 60 mm.

2.2.2. Design of Bionic Threshing Mechanism

On the intact sunflower disc, the interaction between seeds forms a dense structure which is difficult to destroy. When the threshing element with a large contact area with seeds exerts force on the seeds, the force on the seeds is buffered by the inter-seed force transfer, and the dense structure is not easily destroyed. When the threshing element with a small contact area with seeds exerts force on the seeds, the stress effect on the seeds is concentrated, and the dense structure is easily damaged. However, to fully remove the sunflower seeds requires more sets of the threshing element, making the structural design more complex. The determination of the threshing method requires comprehensive consideration.
In this study, a two-stage threshing method was adopted for threshing. First, a threshing element with a small contact area with the seeds is used to destroy the dense structure between the seeds of the sunflower disc, reducing the efficiency of force transmission between the seeds and reducing the buffering effect. Second, a threshing element with a large contact area with the seeds is used to thresh the seeds, making it easier for the seeds to be removed from the sunflower disc. The bionic threshing mechanism is shown in Figure 6.
The bionic threshing mechanism was adopted to realize the two-stage threshing method. The bionic loosening roller, the bionic striking seed roller, and the seed-sweeping roller are arranged on the frame successively. The power of the rollers is provided by the tractor power output shaft. The speed of the threshing mechanism is matched by adjusting the drive ratio of the sprocket. After the sunflower disc is fed into the threshing area, the bionic loosening roller first destroys the dense structure of the sunflower disc’s seeds, loosening them. Continuing to feed, the bionic striking seed roller beats the sunflower disc to remove the loose seeds from the sunflower disc. Finally, the seed-sweeping roller brushes the seeds that have been removed from the sunflower disc but remain on the surface of the sunflower disc to the outside of the sunflower disc.
  • Design of bionic loosening roller
The upper jaw bone of the chicken beak has undergone long-term natural evolution, forming a semi-conical shape at the tip and a relatively flat triangular structure at the tail end. This structural feature not only has an excellent ability for reaching into the seed gap, but also has a better ability for loosening seeds with almost no damage to the seeds, which provides a research foundation for bionic threshing research.
The dense structure between sunflower seeds is shown in Figure 7. When the chicken’s beak pecks the seeds, the first seeds that come into contact with the chicken’s beak are subjected to forces and are the first to break away from the sunflower disc. The adjacent seeds are subjected to the force of the first contacted seed and move forward or backward. The adjacent seeds continue to apply force to their neighboring seeds, and the thrust is transmitted until the gap superposition between the seeds compensates for the displacement caused by the force. In this process, the superposition of gaps between the seeds gradually reduces the force of the chicken’s beak on the seeds. The process of the chicken’s beak pecking of sunflower seeds can be similar to the concentrated force exerted by threshing elements on a single seed, which can effectively destroy the dense structure between seeds and remove the seeds from the sunflower disc.
The pecking process of the chicken’s beak is mainly accomplished by the coordination of the upper jaw and the lower jaw. When pecking the sunflower seeds from the sunflower disc, the chicken’s beak squeezes the seeds around the target seeds through the upper jaw, and the target seeds are shoveled out of the sunflower disc. The lower jaw mainly plays the role of auxiliary clamping, so the bionic loosening element is designed to simulate the upper jaw.
The main function of the bionic loosening element is to destroy the dense structure of the whole sunflower disc, facilitating subsequent threshing. The design requirements of the bionic loosening element are high efficiency in loosening seeds and a low seed damage rate.
The structure sampling and data processing of the chicken’s beak were carried out by reverse engineering technology. The three-dimensional reconstruction model of the chicken beak obtained by reverse engineering technology was substituted into AutoCAD software (2016, Autodesk, San Rafael, CA, USA) to obtain the coordinate data of the contour curve. Then two-dimensional coordinate data were imported into Origin software (2017, OriginLab, Northampton, MA, USA). for polynomial fitting to obtain the fitting equation of the chicken beak contour in the x/y/z direction.
{ x 1 = 46.47533 4.351 x × 10 2 + 1.12 x 2 × 10 3 + 4.00463 x 3 × 10 6 1.3033 x 4 × 10 7 y 1 = 20.99485 + 5.33096 x 2.562 x 2 × 10 2 3.29576 x 3 × 10 4 + 1.65214 x 4 × 10 6 z 1 = 1.80536 + 8.54756 x 1.25146 x 2 + 8.286 x 3 × 10 2 2.05 x 4 × 10 3 z 2 = 1.85668 + 4.12742 x 1.11426 x 2 × 10 1 + 1.68 x 3 × 10 3 1.07292 x 4 × 10 5 z 3 = 4.35136 + 2.99249 x 3.299 x 2 × 10 2 + 1.57995 x 3 × 10 4 7.10571 x 4 × 10 7
Based on the fitting equation of the chicken beak contour, the bionic loosening element was designed, as shown in Figure 8. The length in the x-axis direction is 25.16 mm, the width of the tail end in the y-axis direction is 19.89 mm, and the height of the tail end in the z-axis direction is 14.03 mm.
The static model of the process of seed loosening by the bionic loosening element is shown in Figure 9.
The process of loosening the seeds by the bionic loosening element includes three stages, namely, initial contact, wedge contact, and exit contact. In the initial contact stage, the tip of the bionic loosening element is in contact with the seeds, and the contact position is generally close to the gap between the seeds. The active force of the seeds is Fi, the seeds have a tendency to tilt away from the bionic loosening element, and the tip of the bionic loosening element has a good ability to wedge into the gap.
In the wedge contact stage, the bionic loosening element enlarges the gap between seeds, and the seeds tilt at a certain angle. The horizontal component of the active force Fi on the seeds is far away from the bionic loosening element, the seeds have a horizontal movement tendency, and the connection between the seeds and the sunflower disc is easily disconnected. Due to the shape of the bionic loosening element being irregular, the force applied to different contact points is different. The seeds in contact with the convex surface of the bionic loosening element are subject to thrust, and the seeds in contact with the concave surface of the bionic loosening element are subject to pressure.
In the exit contact stage, the horizontal component of the active power Fi on the seeds is still far away from the bionic loosening element. The vertical component of the active power Fi on the seeds is different from that in the wedge contact stage. The vertical component of the active power Fi on the seeds in the wedge contact stage is vertically downward, while during the exit contact stage, the vertical component of the active force Fi on the seeds is vertically upward, causing the seeds to fly upward from the sunflower disc.
During the process of loosening the seeds of the sunflower disc, the bionic loosening element has a long contact time with the seeds at its tip. The tip design of the bionic loosening element needs to wedge into the gap between seeds efficiently without causing seed damage. In this study, under the condition of ensuring normal wedging, the tip was designed to be smooth and rounded, and the tip radius of the bionic loosening element was set to 3 mm.
After drying the sunflower dish, the middle of the sunflower disc is raised, and the shape is similar to the spherical crown. To fully loosen and distribute the seeds, this study adopted the roller body copying design. The roller body is a concave arc in appearance, with a small diameter in the middle and large diameters at both ends.
Referring to the design requirements of the threshing cylinder [24,25], the diameter and length of the bionic loosening roller should meet the following requirements:
{ D b l 1.5 D a d π L b l 1.1 D d max
where Dbl is the diameter of the bionic loosening roller, mm; Dad is the average diameter of the sunflower disc, mm; Lbl is the length of the bionic loosening roller, mm; Ddmax is the maximum diameter of the sunflower disc, mm.
According to the previous investigation [20], the average diameter of the sunflower disc is 279.64 mm, and the maximum diameter of the sunflower disc is 345.8 mm. The bionic loosening roller diameter Dbl is greater than 133.51 mm, and the length Lbl should be greater than 380.38 mm. According to the design requirements of the whole machine, the roller body length was set to 420 mm, and the minimum section diameter of the bionic loosening roller was designed to be 180 mm.
The sunflower disc was approximated as a standard spherical crown, and the average height of the spherical crown measured by the preliminary test was 22.5 mm. The high protrusion in the middle of the sunflower disc is compressed by the roller body, which has little effect on the loosening process of the seeds. Therefore, the maximum height difference of the bionic loosening roller section could be slightly less than the average height of the spherical crown, and was chosen to be 20 mm. Combined with the minimum section diameter of the bionic loosening roller designed above, the maximum section diameter of the bionic loosening roller was calculated to be 200 mm.
When the sunflower disc is placed on the sunflower stalk to dry, some of the sunflower discs are penetrated by the sunflower stalk due to drying shrinkage and gravity, making the head of the sunflower stalk exposed to the surface of the sunflower disc. In order to completely loosen the sunflower disc seeds, it is necessary to avoid the exposed sunflower stalk head. Therefore, the middle part of the bionic loosening roller needs to be cut to leave a gap for the stalk head to pass through.
The maximum diameter of the exposed sunflower stalk was 40 mm, and the width of the designed cutting part was 45 mm. To ensure the loosening effect on the sunflower seed, it is necessary to arrange many and dense bionic loosening elements. The number of rows of bionic loosening elements is 12, and there are 18 bionic loosening elements in each row.
  • Design of simulated artificial striking roller
The traditional way of threshing the sunflower disc is to beat the surface of the sunflower disc with a stick in hand. The process of beating the surface of the sunflower disc with a stick in hand is shown in Figure 10. The manual striking action can be approximated as an underactuated three-link mechanism. The shoulder joint is the driving joint which drives the upper arm to swing. The elbow joint is a non-driving joint, which connects the upper arm and the forearm, and transmits power to the lower arm. The wrist joint is also a non-driving joint that connects the forearm and the hand. The hand and the stick are integrated, and the wrist joint transmits power to the stick. The potential energy of the arm and the stick, and the driving kinetic energy of the shoulder joint are finally converted into the kinetic energy of the stick, and the kinetic energy value of the stick directly determines the impact value on the sunflower seeds.
When the stick collides with the sunflower seeds, the impact force on the sunflower seeds has both a normal component and tangential component towards the arm side. If the dense structure between the seeds is not destroyed, it is difficult to tilt the seeds, and the tilt angle cannot easily reach the critical angle of the seed–disc connection fracture, the seeds are not easily removed. If the dense structure between the seeds is destroyed, the seeds are easy to tilt, and the tilt angle easily reaches the critical angle of the seed–disc connection fracture, the seeds are easily removed
In this study, by simulating the manual threshing method, the simulated artificial striking roller is designed for threshing. The simulated artificial striking roller is an underactuated three-link mechanism composed of the roller body, the connecting rod, and the striking rod. The roller body corresponds to the upper arm, and the rotating shaft of the roller body corresponds to the shoulder joint. The connecting rod corresponds to the forearm, and the hinged point of the roller body and connecting rod corresponds to the elbow joint. The striking rod corresponds to the combination of the hand and the stick, and the hinged point of the connecting rod and the striking rod corresponds to the wrist joint. The driving mechanism drives the roller body rotating shaft to rotate the roller body, and the roller body transfers power through the hinged point to rotate the connecting rod, and the connecting rod also transfers power through the hinged point to rotate the striking rod.
Similar to the design of the bionic loosening roller, the diameter of the simulated artificial striking roller is greater than 133.51 mm and the length is greater than 380.38 mm. To make the whole machine compact, the length of the simulated artificial striking roller was designed to be equal to that of the bionic loosening roller, which is 420 mm, and the diameter of the outer ring of the simulated artificial striking roller was set to 220 mm. The striking rod is directly in contact with the surface of the sunflower disc, and its function is to completely remove the seeds that have not been removed after being loosened by the bionic loosening roller.
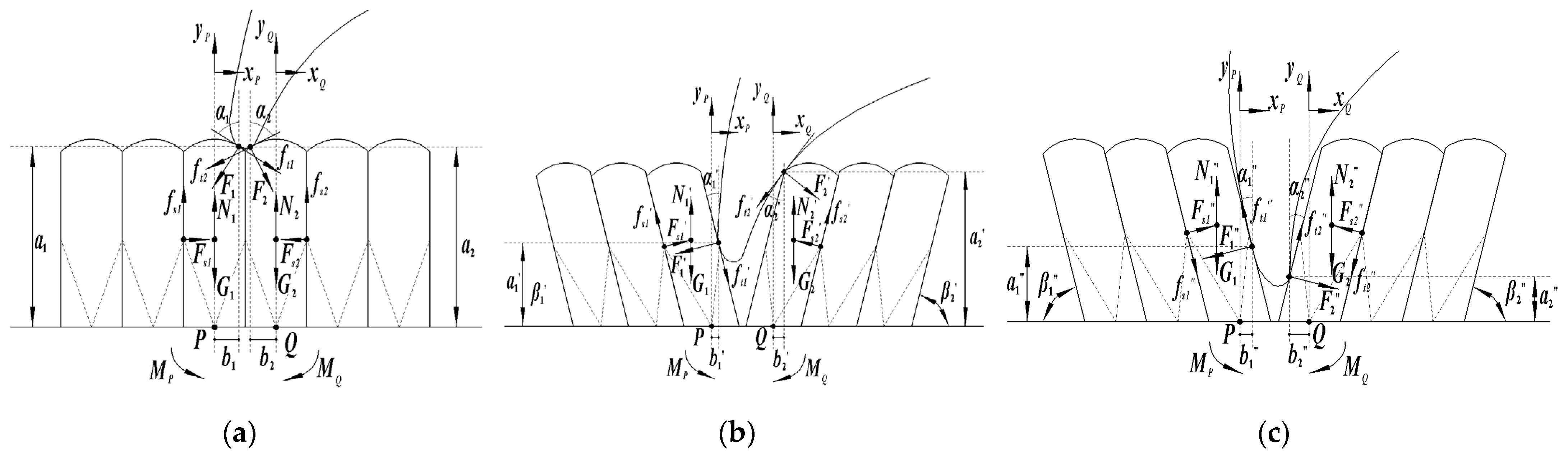
The contact process between the striking rod and the seeds is shown in Figure 11. Taking a single seed as the research object, a coordinate system is established to carry out static analysis.
The seeds are turned around point H, and with H as the research object, the static equations are obtained, as follows:
{ x H = F s 1 F s 2 f f g m y H = N G F f f g 1 + f f g 2 M H = a 2 ( F s 1 F s 2 ) + b 2 ( f f g 1 + f f g 2 ) + a f f g m
{ x H = ( F s 1 F s 2 ) sin β f f g m + ( f f g 1 f f g 2 ) cos β y H = N G F + ( F s 1 F s 2 ) cos β ( f f g 1 f f g 2 ) sin β M H = a 2 ( N G ) cos β + a F cos β + a f f g m sin β a 2 ( F s 1 F s 2 ) + b 2 ( f f g 1 + f f g 2 ) sin β
After the striking rod comes into contact with the seed, the direction of the active force F* and ft* received by the seed are vertically down and horizontally left, respectively. At the beginning of contact, the torque of the active force F* in the vertical direction to the turning origin H is 0, and only the active force in the horizontal direction has a torque effect on the turning origin H, causing the seeds to start turning. When the seed is tilted at a certain angle, the main force in both vertical and horizontal directions have a torque effect on the turning point H, the seed is more likely to tilt, and then the link between the seed and the sunflower disc is broken. The continuity of the seed group is poor after it is loosened, the buffering power of the seed group is reduced, and the seeds are more likely to tilt and fall off from the sunflower disc.
In the actual operation, it is necessary to consider the optimal design of the mechanism and the impact of vibration of the machine. Through the preliminary test, the threshing effects of different types and shapes of striking rods were compared. The material of the striking rod was selected as rubber with a rectangular shape, length of 120 mm, width of 40 mm, and thickness of 20 mm.
In order to improve the striking effect, the adjacent rows of striking rods are arranged in a staggered arrangement. To prevent the interference in the process of operation of the adjacent row of striking rods and ensure threshing efficiency, the number of striking rods in a single row was set to 6 groups.
  • Design of seed-sweeping roller
The seed-sweeping roller consists of cylindrical roller body and uniform arrangement of brush bristles. Its main function is to brush the seeds remaining on the surface of the sunflower disc after threshing through the bristles, so that the removed seeds can fall into the seed collection mechanism.
Considering the diameter and thickness of the edible sunflower disc, combining with the frame structure, the radius of the sunflower disc cleaning roller was designed to be 120 mm, with a maximum cleaning width of 400 mm. The brush bristles need to have good flexibility, so the brush bristle material is nylon, the brush bristle length was designed to be 100 mm, and the brush bristle diameter was designed to be 0.01 mm. During the operation of the seed-sweeping roller, the brush bristles work in clusters, and the diameter of a cluster of bristles is about 4 mm [26].
After contact with the sunflower disc, the brush bristles begin to deform, and then brush the surface of the sunflower disc. The brush bristles remain deformed until they leave the sunflower disc. The brushing process is shown in Figure 12. Between the brush bristles first contact with the sunflower disc and their leaving the sunflower disc, the seed-sweeping roller turn angle is β. The angle between the brush starting to contact the sunflower disc and the vertical position of the roller body center is β1. According to the empirical equation [27], β = 2.6β1.
The empirical equation for calculating the pressure Fb of the brush bristles on the sunflower disc is as follows [27,28]:
{ F b = 5.3 × 10 2 D b ( E b I b L b ) 2 h 1 3 Z B [ 1 + 0.18 ( v m 2 ) ] arccos ( 1 h R m ) I b = π D b 4 64 Z B = 5.5 W D b β v m v β 1 = arccos R m h R m v m = 2 π n R m 60
where Db is the diameter of a cluster of brush bristles, m; Rm is the radius of the seed-sweeping roller, m; Lb is the length of the brush bristles, m; Eb is the elastic modulus of the brush bristles, which is 1.04 × 109 Pa [26]; Id is the moment of inertia of the brush bristles section, m4; h is the theoretical brushing depth of the brush bristles, m; ZB is the number of brush bristles in the operation; vm is the circumference speed of the brush bristles, m/s; W is the width of the cleaning area, m; v is the forward speed of the machine, m/s; n is the rotation speed of the seed-sweeping roller, rpm.
All parameters in the equation were calculated with extreme values. The action object of the seed-sweeping roller was the sunflower disc, the width of the cleaning area was replaced by the diameter of the sunflower disc, and the maximum diameter of the sunflower disc was 345.8 mm. The forward speed of the harvesting device in this study does not exceed 1 m/s, therefore it could be taken as 1 m/s.
After the seed-sweeping roller is installed on the frame, the distance between the seed-sweeping roller and the auxiliary conveyor belt is fixed. The theoretical brushing depth h is only related to the thickness of the sunflower disc, and the thicker the sunflower disc, the deeper the theoretical brushing depth. To ensure that the sunflower disc is fully cleaned, the brush needs to cover the sunflower disc surface in the deformed area. According to the previous investigation, the thickness of the sunflower disc is within the range of 50–80 mm. The theoretical brushing depth of the brush bristles needs to meet the following condition:
h ( L d max L d min ) + h
where Ldmax is the maximum thickness of the sunflower disc, m; Ldmin is the minimum thickness of the sunflower disc, m; h′ is the height of the rise in the middle of the sunflower disc, m.
The height of the rise in the middle of the sunflower disc of the suitable harvest period is in the range of 5–22.5 mm. Using the extreme value calculation, the theoretical brush depth of the brush bristles was 52.5 mm. Considering the design allowance, the theoretical brushing depth of the brush bristles was 55 mm.
In order to ensure that the pressure of the brush bristles on the sunflower disc can sweep the seeds off the sunflower disc, the pressure P of the brush bristles on the sunflower disc should meet Fb ≥ 3 N. By substituting the above parameters into Equation (11), it could be obtained that the rotation speed of the seed-sweeping roller should not exceed 120 rpm. The higher the rotation speed of the seed-sweeping roller, the better the brushing effect, so the rotation speed of the seed-sweeping roller was selected as 110 rpm in this study. Through the test, it could be seen that when the rotation speed of the seed-sweeping roller was 110 rpm, the brushing efficiency was good.

2.2.3. Design of Seed Collecting Mechanism

The seed collecting mechanism mainly includes the seed-conveying module, the loss-preventing brush, the air-blowing system, and the seed collecting box. The main function of the seed collection mechanism is to transport the seeds to the seed collection box and prevent the loss of seeds. The seed collecting mechanism is shown in Figure 13.
The seed-conveying belt was made of PVC material with a non-slip pattern on the surface, powered by the ground wheels. The transmission mechanism transmits power to the conveyor rollers, which then drive the grain conveyor belt through friction.
The loss-preventing brush is arranged in the gap for the stalk to pass through. In order for the seeds to slide smoothly on the brush to the conveyor belt and for the sunflower stalk to pass smoothly through the brush, the brush tilt angle needs to meet the following condition:
μ b < tan α b
where μb is the friction coefficient between the brush and the seed; αb is the brush tilt angle, °.
The material of the loss-preventing brush is also made of nylon. The test results showed that the sliding friction angle between the seed and the brush during the proper harvest period was 27°, so the brush tilt angle should be greater than 27°, and 30° should be taken to ensure the seeds slide smoothly. According to the above calculation, the gap for the stalk to pass through is 60 mm, so the brush length was set to 65 mm. In order to ensure the smooth passage of the sunflower stalk, the brush thickness was set to 4 mm.
After the seeds are removed from the sunflower disc, some of them fall into the brush bristle gap of the loss-preventing brush and cannot slide onto the seed conveyor belt. When the stalks pass by, the brush bristles are disturbed, and the seeds fall to the ground in the brush bristle gap, resulting in seed loss. In order to solve this problem, an air-blowing system was installed above the installation position of the loss-preventing brush.
The air-blowing system is mainly composed of an air outlet pipe, air supply pipe and fan. The fan blows out air, and the air flow is sent to the air outlet pipe through the air supply pipe. There is a slender gap on the air outlet pipe, and the air flows out of the gap on the air outlet pipe. The force of the wind exerts an oblique downward force on the upper surface of the bristles. The seeds are affected by the wind and fall onto the seed conveyor belt, thereby reducing seed loss.

2.3. Test Design

2.3.1. Equipment and Materials for Test

To verify the working effect of the in situ bionic harvesting device for edible sunflower, a soil tank test was conducted in Xinjiang Key Laboratory of Intelligent Agricultural Equipment.
The test instruments and equipment included the following: a TCC3.0 intelligent soil–machine–plant system technology platform (Scientific Research Institute of Agricultural Mechanical Engineering in Heilongjiang, Harbin, China); a UNI-T UT371 infrared tachometer (UNI-T, Nanjing, China), measuring range: 1~99,999 rpm, resolution: 0.01 rpm, accuracy: 0.02% (reading); an OHAUSCP3102 precision electronic balance (UNI-T, Nanjing, China), measuring range: 0~3100 g, accuracy: 0.01 g; steel tape, measuring range 3 m; tape, measuring range 50 m; storage bag, label paper, etc.
The experimental material was SH363, a variety of edible sunflower picked from Gongsheng village, Urumqi County, Xinjiang Uygur Autonomous Region. The time of inserting the sunflower disc on the stalk to dry was 20 September 2023, and the sampling time was 25 September 2023. The moisture content of the edible sunflower stalk was 60–70%, the moisture content of edible sunflower disc was 65–77%, and the moisture content of the seeds was 15–23%. The diameters of the sunflower discs were 150–330 mm, and the weights of the single sunflower discs were 400–1100 g. A total of 300 sunflower discs and 30 sunflower stalks were collected.

2.3.2. Methods and Indexes for Test

Before the test, the in situ bionic harvesting device for edible sunflower was connected to the suspension point of the TCC3.0 intelligent soil–machine–plant system technology platform. The operation platform of the TCC3.0 intelligent soil–machine–plant system technology platform was used to control and monitor the forward speed of the machine. The ground wheel drove the auxiliary conveyor belt and the seed conveyor belt, and the speed of the auxiliary conveyor belt matched the forward speed of the harvesting device to ensure a consistent linear speed, so that the sunflower disc could be fed in situ. The rotational speed of the bionic loosening roller, the simulated artificial striking roller, and the seed-sweeping roller were controlled by changing the transmission ratio between sprockets, respectively. Their actual rotational speed was measured by the UNI-T UT371 infrared tachometer. The measured value was the average value of the three measurement results after the rotational speed was stabilized. The soil tank test of the harvesting device is shown in Figure 14.
To simulate the field condition, the edible sunflower stalks were inserted in the soil tank, and the edible sunflower disc was inserted on the edible sunflower stalk after truncation. Before starting, the distance from the harvester to the edible sunflower stalk was 3 m, which was used for acceleration and adjustment of the machine. After the test began, the test parameters were first adjusted to the preset state, then the machine started to complete the process of feeding, threshing, conveying, and collecting.
The weight of the sunflower stalk before threshing was measured before each test, and the weight of the sunflower plate after threshing was measured after the test. After manually removing the unremoved seeds from the sunflower disc, the weight of the unremoved seeds was measured. In addition, the weight of seeds and impurities in the seed collection box was measured, and the weight of damaged seeds and skin scratch seeds was measured, respectively, from the seed collection box. During the test, the seeds that fell to the ground were collected and weighed after being picked up.
The calculation method of the test index is as follows:
Y 1 = m l m l + m a + m c g × 100 %
where Y1 is the seed loss rate, %; ml is the loss of seeds weight, g; ma is the weight of unremoved seeds on the sunflower disc, g; mcg is the weight of the seeds in the seed collection box, g.
Y 2 = m a m l + m a + m c g × 100 %
where Y2 is the edible sunflower disc threshing rate, %.
Y 3 = m c i m c g + m c i × 100 %
where Y3 is the impurity rate, %; mci is the weight of impurities in the seed collection box (most of which are the debris of the sunflower disc), g.
Y 4 = m c m c g × 100 %
where Y4 is the seed damage rate, %; mc is the weight of damaged seeds in the seed collection box, g.
Y 5 = m s m c g × 100 %
where Y5 is the seed skin scratch rate, %; ms is the weight of the skin scratched seeds of the seed collection box, g.
  • Single Factor Test
According to the preliminary theoretical analysis, the rotation speed of the bionic loosening roller, the rotation speed of the simulated artificial striking roller, and the forward speed of the harvesting device were selected as the test factors, and the range of values for each factor was determined by a single factor test.
In the threshing process, the rotation speed of the bionic loosening roller has a great influence on the edible sunflower disc threshing rate and the seed damage rate. The influence trend of the rotation speed of the bionic loosening roller on the edible sunflower disc threshing rate and the seed damage rate was obtained by a single factor test. During the test, the average forward speed of the harvesting device was 0.6 m/s and the average rotation speed of the simulated artificial striking roller was 180 rpm. The test results are shown in Figure 15a. With the increasing rotation speed of the bionic loosening roller, both the edible sunflower disc threshing rate and the seed damage rate showed an increasing trend. When the rotation speed of the bionic loosening roller was less than 60 rpm, the edible sunflower disc threshing rate was low. When the rotation speed of the bionic loosening roller was greater than 120 rpm, the seed damage rate increased rapidly. Therefore, the rotation speed of the bionic loosening roller range was determined to be 60–120 rpm, and, in this operating range, the threshing effect was better.
The rotation speed of the simulated artificial striking roller has a significant influence on the edible sunflower disc threshing rate and the impurity rate. The influence trend of the rotation speed of the simulated artificial striking roller on the edible sunflower disc threshing rate and the impurity rate was obtained by a single factor test. During the test, the average forward speed of the harvesting device was 0.6 m/s and the average rotation speed of the bionic loosening roller was 90 rpm. The test results are shown in Figure 15b. With the increasing rotation speed of the simulated artificial striking roller, the edible sunflower disc threshing rate and the impurity rate both showed an increasing trend. When the rotation speed of the simulated artificial striking roller was greater than 120 rpm, the edible sunflower disc threshing rate rose gently, and the value was at a high level. When the rotation speed of the simulated artificial striking roller was less than 240 rpm, the impurity rate rose gently, and the value was at a low level. Therefore, the rotation speed of the simulated artificial striking roller range was selected to be 120–240 rpm.
The forward speed of the harvesting device has a great influence on the edible sunflower disc threshing rate and the seed loss rate. The influence trend of the forward speed of the harvesting device on the edible sunflower disc threshing rate and the seed loss rate was obtained by a single factor test. During the test, the average rotation speed of the bionic loosening roller was 90 rpm and the average rotation speed of the simulated artificial striking roller was 90 rpm. The test results are shown in Figure 15c. With the increasing forward speed of the harvesting device, the edible sunflower disc threshing rate showed a downward trend. When the forward speed of the harvesting device was less than 0.8 m/s, the edible sunflower disc threshing rate decreased gently, and the harvesting effect was good. With the increasing forward speed of the harvesting device, the seed loss rate increased first and then decreased. The increase in the seed loss rate was due to the acceleration of the forward speed of the harvesting device, which caused machine vibration, and made the seeds more susceptible to falling to the ground. The decrease in the seed loss rate was because when the forward speed of the harvesting device was too fast, the edible sunflower disc threshing rate was low, the total amount of seeds removed from the sunflower plate was reduced, and the loss of seed was relatively reduced, so the forward speed of the harvesting device should not be too high. However, if the forward speed of the harvesting device is too low, the working efficiency of the machine is low. After comprehensive consideration, the forward speed of the harvesting device was selected as 0.4–0.8 m/s.
  • Response Surface Test
According to the single factor test results, the value range of each factor was determined. The response surface optimization test of the in situ bionic harvesting device for edible sunflower was carried out with the indexes of impurity rate, seed loss rate, seed damage rate, seed skin scratch rate, and edible sunflower disc threshing rate. The coding of factor levels is shown in Table 1.
The test was repeated 3 times in each group, and the average value of the test results was taken. After the test, the values of each test index were calculated according to the test results.

3. Results

3.1. Results of Response Surface Test

The soil tank test results are shown in Table 2, with X1, X2, and X3 as factor numbers. As shown in Table 2, under the specified test conditions, the impurity rate was in the range of 1.22–3.94%, the seed loss rate was in the range of 2.18–9.19%, the seed damage rate was in the range of 0.40–2.63%, the seed skin scratch rate was in the range of 0.16–1.69%, and the edible sunflower disc threshing rate was in the range of 88.07–98.69%.
Variance analysis was carried out on the test results, and the analysis results showed that the regression model with impurity rate, the seed damage rate, and the seed skin scratch rate (p > 0.05) were not significant. However, the impurity rate was much lower than the industry standard value of 18%, and the seed damage rate and the seed skin scratch rate were also lower than the industry standard [29,30], which met the design requirements, so it was not be considered in the subsequent optimization analysis.
The results of variance analysis of the seed loss rate and the edible sunflower disc threshing rate are shown in Table 3. The p values of the lack of fit were 0.2390 and 0.4591 (both greater than 0.05), indicating that the model had a great fitting effect, and the p values of the regression models were all less than 0.01, indicating that the regression models were highly significant.
Factor items p were compared to find out the influence degree of each factor on the seed loss rate. Factor items X2, X3, X1X3, and X32 had an extremely significant impact on the seed loss rate, factor items X12 and X22 had a significant impact on the seed loss rate, and other items had no significant impact on the seed loss rate. Comparing the influence degree of each factor on the edible sunflower disc threshing rate, the factor items X1, X2, X3, X1X2, X1X3, X12, X12, and X32 had extremely significant influence on the edible sunflower disc threshing rate, while other factors had no significant influence on the edible sunflower disc threshing rate. The influence of each factor on the seed loss rate and the edible sunflower disc threshing rate ranged from large to small, respectively, with the average forward speed of the harvesting device, the average rotation speed of the simulated artificial striking roller, and the average rotation speed of the bionic loosening roller have the largest influence.
The non-significant items (p > 0.5) in the regression model were removed, and the regression equations of the seed loss rate Y1 and the edible sunflower disc threshing rate Y2 expressed by coded values were obtained, as follows:
Y 1 = 3.22 0.7787 X 2 + 2.17 X 3 0.8175 X 1 X 3 0.7385 X 1 2 + 0.8040 X 2 2 + 2.55 X 3 2
Y 2 = 97.08 + 0.7188 X 1 + 2.16 X 2 3.32 X 3 + 0.870 X 1 X 2 + 1.03 X 1 X 3 0.8002 X 1 2 1.18 X 2 2 2.13 X 3 2
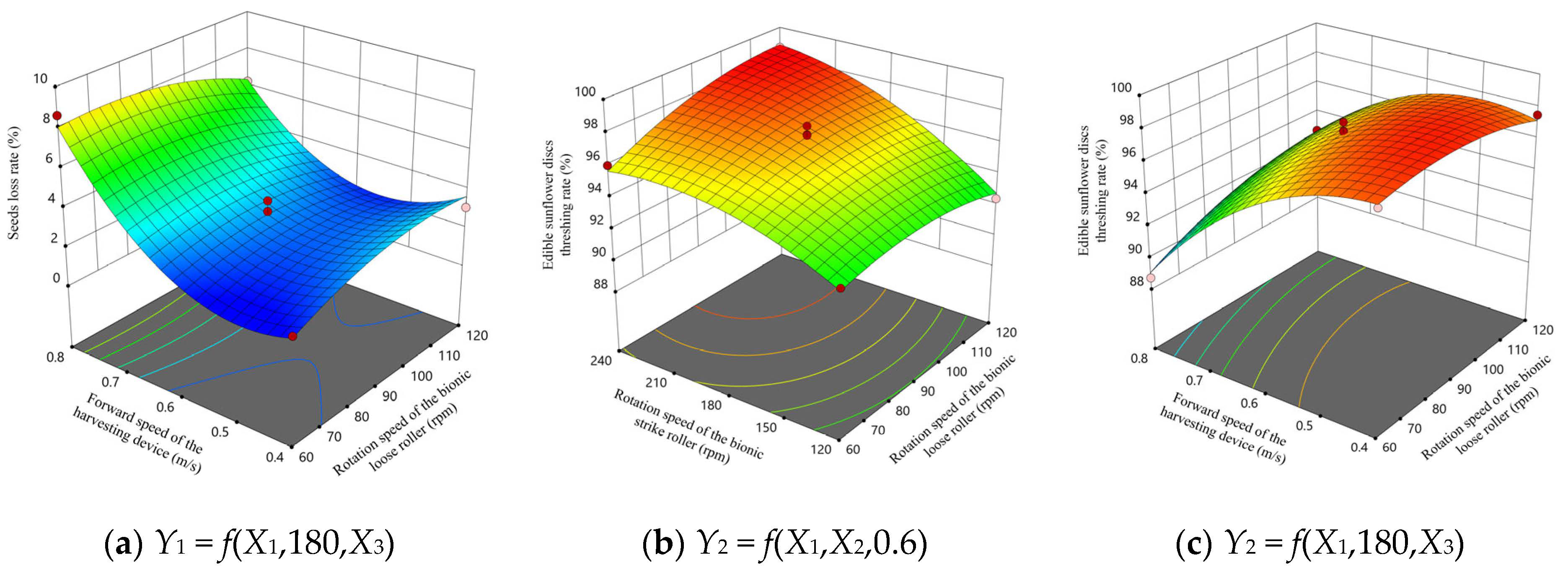
According to the results of the variance analysis, the response surfaces of the significant interaction between the average rotation speed of the bionic loosening roller X1, the average rotation speed of the simulated artificial striking roller X2, and the average forward speed of the harvesting device X3 on the seed loss rate Y1 and the edible sunflower disc threshing rate Y2 were obtained, as shown in Figure 16.
The effects of the rotation speed of the bionic loosening roller and forward speed of the harvesting device on the seed loss rate are shown in Figure 16a. According to Figure 16a, the overall reduction in the rotation speed of the bionic loosening roller and the forward speed of the harvesting device was helpful to reduce the seed loss rate.
When the forward speed of the harvesting device was slow, the seed loss rate increased slightly with the increase in the rotation speed of the bionic loosening roller. The higher the rotation speed of the bionic loosening roller, the larger the edible sunflower disc threshing rate and the higher the proportion of removed seeds, and the seed loss rate also increased. When the forward speed of the harvesting device was fast, the seed loss rate decreased with the increase in the rotation speed of the bionic loosening roller. With the increase in the forward speed of the harvesting device, the edible sunflower disc threshing rate decreased, and the effect of the forward speed of the harvesting device on the edible sunflower disc threshing rate was more significant than that of the rotation speed of the bionic loosening roller. The increase in the rotation speed of the bionic loosening roller did not fully compensate for the decrease in the edible sunflower disc threshing rate caused by the increase in the forward speed of the harvesting device, and the proportion of the removed seeds decreased, which meant that the number of seeds to be collected decreased, and the seed loss rate decreased.
When the rotation speed of the bionic loosening roller was constant, the seed loss rate decreased first and then increased with the increase in the forward speed of the harvesting device. When the forward speed of the harvesting device was relatively low, the vibration of the harvesting device was relatively low, and the seeds were not easily vibrated to the ground when they fell on the loss-preventing brush. With the increase in the forward speed of the harvesting device, the working time of the machine was shortened, the time of the seed loss process was shortened, and the seed loss rate was slightly reduced. When the forward speed of the harvesting device was large to a certain extent, the faster the forward speed of the harvesting device, the greater the vibration of the harvesting device and seeds falling on the loss-preventing brush were more easily shaken to the ground, the collection of seeds was reduced, and the seed loss rate was increased.
The effects of rotation speed of the bionic loosening roller and rotation speed of the simulated artificial striking roller on the edible sunflower disc threshing rate are shown in Figure 16b. The overall increase in rotation speed of the bionic loosening roller and rotation speed of the simulated artificial striking roller was helpful to improve the edible sunflower disc threshing rate.
When the rotation speed of the bionic loosening roller was constant, the faster the rotation speed of the simulated artificial striking roller, the higher the edible sunflower disc threshing rate, the reason being that the faster the rotation speed of the simulated artificial striking roller, the more times the sunflower disc is hit, making it easier to remove the seeds.
When the rotation speed of the simulated artificial striking roller was faster, the rotation speed of the bionic loosening roller was faster and the edible sunflower disc threshing rate was also higher. When the rotation speed of the simulated artificial striking roller was slow, the edible sunflower disc threshing rate did not change much with the increase in the rotation speed of the bionic loosening roller. The reason is that the faster the rotation speed of the bionic loosening roller, the more contacts there are between the bionic loosening element and the sunflower disc, making it easier to loosen the seeds. If the rotation speed of the simulated artificial striking roller was faster and the striking efficiency was higher, the higher the edible sunflower disc threshing rate would be. However, if the rotation speed of the simulated artificial striking roller was slow, the seeds were not easily removed. The main function of the bionic loosening roller is to loosen the seeds of the sunflower disc, and the bionic loosening roller had a poor threshing effect under these conditions, so the rotation speed of the bionic loosening roller did not change much with the increase in the rotation speed of the simulated artificial striking roller.
The effects of rotation speed of the bionic loosening roller and forward speed of the harvesting device on the edible sunflower disc threshing rate are shown in Figure 16c. Increasing the rotation speed of the bionic loosening roller and reducing the forward speed of the harvesting device was helpful to improve the edible sunflower disc threshing rate.
When the rotation speed of the bionic loosening roller was constant, the slower the forward speed of the harvesting device and the higher the edible sunflower disc threshing rate, the reason being that the slower the forward speed of the harvesting device, the more contacts between the seed and the bionic loosening element, resulting in a more thorough seed loosening.
When the forward speed of the harvesting device was slow, the change in the rotation speed of the bionic loosening roller had little effect on the removal rate. When the forward speed of the harvesting device was faster, the faster the rotation speed of the bionic loosening roller and the higher the edible sunflower disc threshing rate. The reasons are as follows: When the forward speed of the harvesting device is slow, it takes a long time for the sunflower disc to pass through the threshing area. Even if the rotation speed of the bionic loosening roller was low, the seeds were fully loosened by the bionic loosening roller, therefore the edible sunflower disc threshing rate did not change much. When the forward speed of the harvesting device was fast, the time of the sunflower disc passing through the threshing area was short, the faster the rotation speed of the bionic loosening roller, and the more fully the seeds was loosened by the bionic loosening roller. Therefore, the faster the rotation speed of the bionic loosening roller, the higher the edible sunflower disc threshing rate.

3.2. Optimization of Parameters

In order to obtain the optimal parameter combination of each factor, the parameters were optimized using the multi-objective optimization algorithm in Design-Expert software (11, Stat-Ease Inc., Minneapolis, MN, USA) according to the optimization constraints selected in the actual operation. The objectives and constraints were as follows:
{ min Y 1 ( X 1 , X 2 , X 3 ) max Y 2 ( X 1 , X 2 , X 3 ) s . t . { 60   rpm X 1 120   rpm 120   rpm X 2 240   rpm 0.4   m / s X 3 0.8   m / s
The results of parameter optimization showed that when the average rotation speed of the bionic loosening roller was 113.57 rpm, the average rotation speed of the simulated artificial striking roller was 230.80 rpm, and the average forward speed of the harvesting device was 0.58 m/s, the working quality of the anemone harvester was the best, the seed loss rate was 2.12% and the edible sunflower disc threshing rate was 98.96%.

3.3. Field Validation Test

Under the optimal combination of working parameters, a field test was carried out on the in situ bionic harvesting device for edible sunflower. The test was carried out on 1 October 2023 in the edible sunflower planting park of Yongfeng Town, Urumqi County, Xinjiang Uygur Autonomous Region. The variety of edible sunflower planted in the experimental field was SH363.The planting pattern in the experimental field was 400 mm (narrow rows) × 700 mm (wide rows). The plant spacing was 500 mm, the height of the edible sunflower stalk after truncation was in the range of 700–900 mm. The harvesting device was side-mounted on the tractor, and the test process is shown in Figure 17.
According to the national standard [31], the test was carried out in randomly selected areas with good growth of edible sunflowers in the test field. The test area was divided according to a 3 m preparation area, 10 m test area, and 3 m parking area, and three groups of repeated tests were carried out. During the test process, it was necessary to ensure that each group of tests were carried out under the optimal working parameter conditions, and timely data collection was carried out after each group of tests.
The test results are shown in Table 4. During the field test, it was found that due to the dryness of the field seeds and the hardness of the seed skin, the number of skin scratch seeds was very small and could be ignored. The average impurity rate in the field experiment was 5.97%, which was slightly higher than that of the soil tank test. The reason was that the leaves on the stalks used in the soil tank test had been removed, while the leaves on the field sunflower stalks were still intact. The leaves were prone to be broken after drying, and the leaves were easily brought into the machine when the sunflower discs were fed, could be broken after entering the machine, and then collected together with the seeds, thus increasing the impurity rate. However, the impurity rate of the field test was still far lower than the industry standard requirement of 15% [29], meeting the operational needs. The average seed damage rate was 1.36%, which was within the range of the soil tank test. The average damage rate and average edible sunflower disc threshing rate were 2.94% and 97.40%, respectively, which were close to the response surface optimization results of 2.12% and 98.96%, and the relative deviation was less than 2%. The results of parameter optimization were generally reliable, and each index met the design requirements.

4. Discussion

In the soil tank test, the variance analysis of the test results showed that the regression model of the impurity rate, the seed damage rate, and the seed skin scratch rate was not significant. According to the index of impurity rate, the impurities in the seeds mainly came from the connecting cylinder of the sunflower disc and seeds, the debris after breaking the sunflower disc, and a small amount of dried flower crowns. In the traditional mechanical harvesting method it is easy to break the whole sunflower disc and it is easy to mix the seeds with impurities during the process of seed collection. In this study, the threshing of sunflower could be achieved in situ without taking the dish, and the rate of broken sunflower discs was low, avoiding the intermingling of the seeds and the sunflower disc debris, so the impurity rate was low. In this study, the impurity rate was related to the force of the bionic loosening element on the sunflower disc. The greater the force of the bionic loosening element on the sunflower disc, the more easily the connected cylinder would be destroyed and fall off, and the impurity rate would increase correspondingly. But the total amount of impurities remained small, which meets the design requirements. As for the indexes of seed damage rate and seed skin scratch rate, the experimental factors had poor significance to them. The reason was that the seed damage rate and the seed skin scratch rate of the harvest device in this study were very low under different test conditions, which was not enough to show obvious rules. During the test, it was found that the damaged and skin scratch seeds were the result of the process of loosening seeds in the bionic loosening element, and the damaged and skin scratch seeds were mainly the chaff seeds in the center of the sunflower disc. The skin hardness of the chaff seeds was low, and they were more likely to be damaged when in contact with the bionic loosening element, but the damaged and skin scratch chaff seeds had little impact on the harvest quality. The test results were consistent with the theoretical analysis results, and the design was reasonable.
The harvesting device designed in this study is a new way to harvest edible sunflower, which uses the method of threshing without removing the edible sunflower disc. Here, we compare the device in this study with existing edible sunflower harvesting devices, taking the 5TK-1400 mobile sunflower thresher as an example, which is relatively widely used in Xinjiang. From the perspective of threshing effect, because the threshing element does not directly act on the edible sunflower disc, the edible sunflower disc is not easily broken, so the edible rate is lower than that of the existing edible sunflower harvesting devices, which reduces the difficulty of subsequent cleaning. From the perspective of manual participation, the design of the edible sunflower harvesting device in this study has low manual participation and does not require manual removal of the sunflower disc, so it saves labor cost more than the existing edible sunflower harvesting devices. From the perspective of harvesting efficiency, because the harvesting device is still in the research and development stage and has not been commercialized, the harvesting device can only carry out single line operation, so the harvesting efficiency is lower than that of the existing multi-line edible sunflower harvesting device.

5. Conclusions

In this study, an in situ bionic harvesting device for edible sunflower was designed. The structure parameters of the in situ feeding mechanism, the bionic threshing mechanism, and the seed collection mechanism were determined, and the key components were analyzed statically. The harvesting device can achieve the low-loss threshing of the edible sunflower without removing the edible sunflower disc.
Taking the average rotation speed of the bionic loosening roller, the average rotation speed of the simulated artificial striking roller, and the average forward speed of the harvesting device as the test factors, a response surface optimization test was carried out. The test results showed that the optimal working parameters of the harvester were as follows: The average rotation speed of the bionic loosening roller was 113.57 rpm, the average rotation speed of the simulated artificial striking roller was 230.80 rpm, and the average forward speed of the harvesting device was 0.58 m/s. Under these conditions, the seed loss rate was 2.12%, and the edible sunflower disc threshing rate was 98.96%.
Field experiments were carried out to verify the optimal working parameters combination, and the test results were as follows: the average seed loss rate was 2.94%, the average edible sunflower disc threshing rate was 97.40%, the relative deviation between them and the response surface optimization test results was less than 2%; the average impurity rate and the average seed damage rate were 5.97% and 1.36%, respectively; and the seed skin scratch rate was very small and negligible. All the test indexes met the requirements of edible sunflower harvesting.

Author Contributions

Conceptualization, X.Z. (Xuefeng Zhu) and C.H.; methodology, X.Z. (Xuefeng Zhu), H.M. and X.M.; software, X.Z. (Xuefeng Zhu); validation, X.Z. (Xuefeng Zhu) and Y.X.; formal analysis, C.H. and X.Z.(Xuejun Zhang); data curation, Y.X. and J.Y.; writing—original draft preparation, X.Z. (Xuefeng Zhu) and C.H.; writing—review and editing, C.H. and X.Z. (Xuefeng Zhu); supervision, C.H. and X.Z. (Xuejun Zhang); project administration, C.H. and X.Z. (Xuejun Zhang); funding acquisition, C.H. and X.Z. (Xuefeng Zhu). All authors have read and agreed to the published version of the manuscript.

Funding

This research was funded by the National Natural Science Foundation of China (31960367, 32360441); Natural Science Foundation of Xinjiang Uygur Autonomous Region (2020D01A51); Tianshan Innovation team project of Xinjiang Uygur Autonomous Region (2021D14010); National Key Research and Development Program of China (2016YFD0702104); Graduate innovation project of Xinjiang Uygur Autonomous Region (XJ2023G123).

Institutional Review Board Statement

Not applicable.

Data Availability Statement

Data are contained within the article.

Conflicts of Interest

The authors declare no conflicts of interest.

References

  1. Li, B.; Gao, X.; Chen, X.; Liu, Y.; Wang, S.; Dong, Y. Design and Performance Analysis of a Sunflower Cutting Table Based on the Principle of Manual Disk Pick-Up. Agriculture 2024, 14, 446. [Google Scholar] [CrossRef]
  2. New Helianthus Multi-Crop Eads. Available online: https://www.capelloworld.com/cereal-harvesting-equipment-technologies/sunflower-attachment-helianthus-pro/ (accessed on 15 June 2024).
  3. G3 Sunflower Harvesting Headers. Available online: https://www.fantiniworld.com/it/prods-128-1.aspx.html (accessed on 15 June 2024).
  4. Pahoni, C. Research regarding the performances obtained by the 560 and the 750 Claas Lexion combines in sunflower harvesting. Bull. UASVM Agric. 2012, 69, 152–156. [Google Scholar]
  5. Shaforostov, V.D.; Makarov, S.S. The Header for a Breeding Plot Combine for Sunflower Harvesting. Acta Technol. Agric. 2019, 22, 60–63. [Google Scholar] [CrossRef]
  6. Nalobina, O.O.; Gerasymchuk, O.P.; Puts, V.S.; Martyniuk, V.L.; Shovkomyd, O.V.; Vasylchuk, N.V.; Bundza, O.Z.; Holotiuk, M.V.; Serilko, D.L. Analytical investigation of the interaction of the sunflower stem with the lateral surface of the header lifter. Inmateh Agric. Eng. 2018, 55, 171–180. [Google Scholar]
  7. Chaplygin, M.; Bespalova, O.; Podzorova, M. Results of tests of devices for sunflower harvesting in economic conditions. E3S Web Conf. EDP Sci. 2019, 126, 00063. [Google Scholar] [CrossRef]
  8. Pari, L.; Latterini, F.; Walter, S.W. Herbaceous Oil Crops, a Review on Mechanical Harvesting State of the Art. Agriculture 2020, 10, 309. [Google Scholar] [CrossRef]
  9. Liu, W.; Ma, L.; Zong, W.; Liu, J.; Li, M.; Lian, G. Design and Experimentation of a Longitudinal Axial Flow Sunflower Oil Threshing Device. Agriculture 2023, 13, 876. [Google Scholar] [CrossRef]
  10. Zong, W.; Liu, Y.; Huang, X.; Ma, L.; Tang, S. Present situation and developmental strategies for sunflower mechanized harvest in China. Acta Agric. Univ. Jiangxiensis 2017, 39, 600–606. [Google Scholar]
  11. Wang, H.; Ye, T.; Liu, X.; Zhang, F.; Yang, J.; Xing, L.; Lan, H.; Chang, J. Harvest Status and Development Trend of Sunflower in China. Agric. Mach. Using Maint. 2021, 1, 19–21. [Google Scholar]
  12. Han, C.; Diao, H.; Qiu, S.; Zhu, X.; Zhang, J.; Yuan, P. Design and Experiment of Edible Sunflower Plate Taking Device Based on Manual Plate Taking Principle. Trans. Chin. Soc. Agric. Mach. 2022, 53, 123–131. [Google Scholar]
  13. Han, L. Design and Research on the Control System of Sunflower Harvester. Master’s Thesis, Shihezi University, Shihezi, China, 2003. [Google Scholar]
  14. Liu, Q. 5TK-1400 mobile sunflower thresher has been developed successfully. Agric. Mach. Tech. Extension 2014, 5, 60. [Google Scholar]
  15. Han, B.; Jiang, Y.; Wu, W. Experiments on stripping header for harvesting lodging super rice. Trans. CSAE 2011, 27, 90–94. [Google Scholar]
  16. Xu, C. Research and Experiment on the Stripping Mechanism of Concave Combs and Increasing Flow Header for Strip Prior to Cutting. Doctoral Thesis, Northeast Agricultural University, Harbin, China, 2023. [Google Scholar]
  17. Li, X.; Ma, Y.; Jin, X.; Gao, L. Design and Test of Corn Seed Bionic Thresher. Trans. Chin. Soc. Agric. Mach. 2015, 46, 97–101. [Google Scholar]
  18. Fu, J.; Zhang, Y.; Chen, Z.; Ren, L.; Cheng, C. Bionic Design and Experiment of Threshing Tooth Based on Structure of Cattle Apex Tongue Filiform Papillae. Trans. Chin. Soc. Agric. Mach. 2019, 50, 167–176. [Google Scholar]
  19. Liu, S.; Weng, S.; Liao, Y. Structural bionic design for digging shovel of cassava harvester considering soil mechanics. Biomech. AB 2014, 11, 1–11. [Google Scholar] [CrossRef]
  20. Han, C.; Song, D.; Zhu, X.F.; Zhu, X.L.; Yuan, P.; Diao, H. Design and Experiment of Principle Machine for In-situ Harvesting of Edible Sunflower discs on Stalks. Trans. Chin. Soc. Agric. Mach. 2022, 53, 181–192, 222. [Google Scholar]
  21. Lian, G.; Zong, W.; Feng, W.; Ma, L.; Cheng, Y.; Wei, X. Design and Experiment of Cutting Threshing Integrated Type Header for Harvesting of Edible Sunflower. Trans. Chin. Soc. Agric. Mach. 2023, 54, 122–131, 154. [Google Scholar]
  22. Huang, X.; Fu, J.; Ma, L.; Zong, W.; Liu, W.; Liu, Y. Design and bench test of the dividing and supporting collecting tank on oil sunflower disc. J. Anhui Agric. Univ. 2020, 47, 664–673. [Google Scholar]
  23. Lian, G.; Ma, L.; Feng, W.; Wei, X.; Cheng, Y.; Zong, W. Design and experiment of the cleaning device with double-layer vibrating air-sieve for edible sunflower seeds. Trans. CSAE 2023, 39, 55–65. [Google Scholar]
  24. Chen, L. Design and Experiment of Threshing Teeth Single Acting Variable Diameter Threshing Drum for Grain Combine Harvester. Master’s Thesis, Jiangsu University, Zhenjiang, China, 2021. [Google Scholar]
  25. Wang, Z.; Cui, T.; Zhang, D.; Yang, L.; He, X.; Zhang, Z. Design and Experiment of Low Damage Corn Threshing Drum with Gradually Changing Diameter. Trans. Chin. Soc. Agric. Mach. 2021, 52, 98–105. [Google Scholar]
  26. Pan, D.; Wu, X.; Su, G.; Cheng, Y.; Wang, Y.; Zhang, F. Brush hairs parameters and structure design of the roller brush type tobacco leaves paving device. J. Chin. Agric. Mech. 2016, 37, 91–95. [Google Scholar]
  27. Wang, J. Design of a Small Sweeping and Suction Sweeper. Master’s Thesis, Shandong University, Jinan, China, 2018. [Google Scholar]
  28. Wang, H. Design and Analysis of Trailed Lawn Sweeper. Master’s Thesis, Beijing University of Technology, Beijing, China, 2021. [Google Scholar]
  29. DB65/T 3541-2013; Technical Regulations for Mechanization Operation of Sunflower Production. Xinjiang Uygur Autonomous Region Agricultural and Animal Husbandry Machinery Administration: Urumqi, China, 2013.
  30. DB15/T 2317-2021; Technical Code of Practice for Whole Mechanized Operation of Edible Sunflower. Inner Mongolia Autonomous Region Market Supervision and Administration: Hohhot, China, 2021.
  31. GB/T 8097-2008; Test Methods for Harvesting Machinery Combine Harvester. China Standard Press: Beijing, China, 2009.
Figure 1. Whole machine structure diagram: 1. auxiliary conveying module of sunflower disc, 2. bionic loosening roller, 3. simulated artificial striking roller, 4. seed-sweeping roller, 5. seed-conveying module, 6. seed collection box, 7. transmission mechanism, 8. ground wheel, 9. frame, 10. edible sunflower, 11. air-blowing system, and 12. guider.
Figure 1. Whole machine structure diagram: 1. auxiliary conveying module of sunflower disc, 2. bionic loosening roller, 3. simulated artificial striking roller, 4. seed-sweeping roller, 5. seed-conveying module, 6. seed collection box, 7. transmission mechanism, 8. ground wheel, 9. frame, 10. edible sunflower, 11. air-blowing system, and 12. guider.
Agriculture 14 01169 g001
Figure 2. Schematic diagram of in situ feeding mechanism: 1. frame, 2. auxiliary conveying module of sunflower disc, 3. edible sunflower, 4. Guider; v is the travelling speed of the machine, m/s.
Figure 2. Schematic diagram of in situ feeding mechanism: 1. frame, 2. auxiliary conveying module of sunflower disc, 3. edible sunflower, 4. Guider; v is the travelling speed of the machine, m/s.
Agriculture 14 01169 g002
Figure 3. Schematic diagram of the collision between the sunflower stalk and the guider.
Figure 3. Schematic diagram of the collision between the sunflower stalk and the guider.
Agriculture 14 01169 g003
Figure 4. Schematic diagram of the auxiliary conveyor module: 1. driven roller (1), 2. driven roller (2), 3. auxiliary conveyor belt, 4. driving roller; R is the radius of the driving roller, mm; v1 is the linear speed of the auxiliary conveyor belt, m/s; ω1 is the rotation speed of the conveyor belt, rpm; v1′ is the horizontal component of the conveyor belt linear speed, m/s; v1” is the vertical component of the conveyor belt linear velocity, m/s; L1 is the horizontal surface length of the auxiliary conveyor belt, mm.
Figure 4. Schematic diagram of the auxiliary conveyor module: 1. driven roller (1), 2. driven roller (2), 3. auxiliary conveyor belt, 4. driving roller; R is the radius of the driving roller, mm; v1 is the linear speed of the auxiliary conveyor belt, m/s; ω1 is the rotation speed of the conveyor belt, rpm; v1′ is the horizontal component of the conveyor belt linear speed, m/s; v1” is the vertical component of the conveyor belt linear velocity, m/s; L1 is the horizontal surface length of the auxiliary conveyor belt, mm.
Agriculture 14 01169 g004
Figure 5. Schematic diagram of cantilever beam model: F is the impact force of the sunflower stalk by the frame, N; l2 is the distance between the impact point and the ground, mm; l1 is the height of the edible sunflower stalk after truncation, mm; θB is the angle of rotation of the cross section, °; ωB is the displacement of the cross section, mm; d is the width of the gap for the stalk to pass through, mm; A is the fixed position of the sunflower stalk; B is the top position of the sunflower stalk; C is the impact position of the sunflower stalk.
Figure 5. Schematic diagram of cantilever beam model: F is the impact force of the sunflower stalk by the frame, N; l2 is the distance between the impact point and the ground, mm; l1 is the height of the edible sunflower stalk after truncation, mm; θB is the angle of rotation of the cross section, °; ωB is the displacement of the cross section, mm; d is the width of the gap for the stalk to pass through, mm; A is the fixed position of the sunflower stalk; B is the top position of the sunflower stalk; C is the impact position of the sunflower stalk.
Agriculture 14 01169 g005
Figure 6. Schematic diagram of bionic threshing mechanism: 1. bionic loosening roller, 2. simulated artificial striking roller, 3. seed-sweeping roller, 4. brush bristle, 5. striking rod, 6. bionic loosening element.
Figure 6. Schematic diagram of bionic threshing mechanism: 1. bionic loosening roller, 2. simulated artificial striking roller, 3. seed-sweeping roller, 4. brush bristle, 5. striking rod, 6. bionic loosening element.
Agriculture 14 01169 g006
Figure 7. Schematic diagram of dense structure between seeds.
Figure 7. Schematic diagram of dense structure between seeds.
Agriculture 14 01169 g007
Figure 8. Design drawing of bionic loosening element.
Figure 8. Design drawing of bionic loosening element.
Agriculture 14 01169 g008
Figure 9. Static model of the process of seed loosening: (a) initial contact stage; (b) wedge contact stage; (c) exit contact stage; Gi is seed gravity, N; Ni is the support force of the seeds by the sunflower disc, N; fti is the tangential friction force of the bionic loosening element on the seeds, N; Fi is the normal pressure of the bionic loosening element on the seeds, N; Fsi is the extrusion force between the seeds, N; fsi is the friction force between the seeds, N; ai is the vertical distance from the contact point to the rotating support point, mm; bi is the horizontal distance from the contact point to the rotating support point, mm; αi is the angle between fti and the vertical direction, °; βi is the seed rotation angle, °; P and Q are the rotating support points; MP is the rotational torque of point P, N·m; MQ is the rotational torque of point Q, N·m. (i = 1, 2).
Figure 9. Static model of the process of seed loosening: (a) initial contact stage; (b) wedge contact stage; (c) exit contact stage; Gi is seed gravity, N; Ni is the support force of the seeds by the sunflower disc, N; fti is the tangential friction force of the bionic loosening element on the seeds, N; Fi is the normal pressure of the bionic loosening element on the seeds, N; Fsi is the extrusion force between the seeds, N; fsi is the friction force between the seeds, N; ai is the vertical distance from the contact point to the rotating support point, mm; bi is the horizontal distance from the contact point to the rotating support point, mm; αi is the angle between fti and the vertical direction, °; βi is the seed rotation angle, °; P and Q are the rotating support points; MP is the rotational torque of point P, N·m; MQ is the rotational torque of point Q, N·m. (i = 1, 2).
Agriculture 14 01169 g009
Figure 10. Process of beating the surface of the sunflower disc with a stick in hand.
Figure 10. Process of beating the surface of the sunflower disc with a stick in hand.
Agriculture 14 01169 g010
Figure 11. Contact process between the striking rod and the seeds: G* is seed gravity, N; N* is the support force of the seeds by the sunflower disc, N; ft* is the tangential friction force of the striking rod on the seeds, N; F* is the normal pressure of the striking rod on the seeds, N; Fsi* is the extrusion force between the seeds, N; fsi* is the friction force between the seeds, N; a* is seed length, mm; b* is a single seed width, mm; β* is the seed rotation angle, °; H is the rotating support points; MH is the rotational torque of point H, N·m. (i = 1, 2).
Figure 11. Contact process between the striking rod and the seeds: G* is seed gravity, N; N* is the support force of the seeds by the sunflower disc, N; ft* is the tangential friction force of the striking rod on the seeds, N; F* is the normal pressure of the striking rod on the seeds, N; Fsi* is the extrusion force between the seeds, N; fsi* is the friction force between the seeds, N; a* is seed length, mm; b* is a single seed width, mm; β* is the seed rotation angle, °; H is the rotating support points; MH is the rotational torque of point H, N·m. (i = 1, 2).
Agriculture 14 01169 g011
Figure 12. The brushing process of the seed-sweeping roller: O1 is the rotating center of the seed-sweeping roller.
Figure 12. The brushing process of the seed-sweeping roller: O1 is the rotating center of the seed-sweeping roller.
Agriculture 14 01169 g012
Figure 13. Schematic diagram of the seed collecting mechanism: 1. fan, 2. air supply pipe, 3. air outlet pipe, 4. seed-conveying belt, 5. loss-preventing brush, 6. seed collecting box.
Figure 13. Schematic diagram of the seed collecting mechanism: 1. fan, 2. air supply pipe, 3. air outlet pipe, 4. seed-conveying belt, 5. loss-preventing brush, 6. seed collecting box.
Agriculture 14 01169 g013
Figure 14. Soil tank test of harvesting device.
Figure 14. Soil tank test of harvesting device.
Agriculture 14 01169 g014
Figure 15. Results of single factor tests: (a) influence of the rotation speed of the bionic loosening roller on test indexes; (b) influence of the rotation speed of the simulated artificial striking roller on test indexes; (c) influence of the forward speed of the harvesting device on test indexes.
Figure 15. Results of single factor tests: (a) influence of the rotation speed of the bionic loosening roller on test indexes; (b) influence of the rotation speed of the simulated artificial striking roller on test indexes; (c) influence of the forward speed of the harvesting device on test indexes.
Agriculture 14 01169 g015
Figure 16. Response surface of the interaction of each factor to the test index.
Figure 16. Response surface of the interaction of each factor to the test index.
Agriculture 14 01169 g016
Figure 17. Field validation test of harvesting device: (a) harvesting process of the harvesting device; (b) edible sunflower discs after harvest.
Figure 17. Field validation test of harvesting device: (a) harvesting process of the harvesting device; (b) edible sunflower discs after harvest.
Agriculture 14 01169 g017
Table 1. Coding table of factors and levels: X1 is the average rotation speed of the bionic loosening roller; X2 is the average rotation speed of the simulated artificial striking roller; X3 is the average forward speed of the harvesting device.
Table 1. Coding table of factors and levels: X1 is the average rotation speed of the bionic loosening roller; X2 is the average rotation speed of the simulated artificial striking roller; X3 is the average forward speed of the harvesting device.
CodesFactors
X1/rpmX2/rpmX3/m·s−1
−1601200.4
0901800.6
11202400.8
Table 2. Scheme and results of response surface test.
Table 2. Scheme and results of response surface test.
Serial NumberCoding FactorsY1/%Y2/%Y3/%Y4/%Y5/%
X1/rpmX2/rpmX3/m·s−1
1−1−103.2193.262.591.40.51
21−10592.431.220.750.77
3−1102.7496.032.151.621.69
41102.298.683.942.630.66
5−10−12.1897.61.450.641.12
610−13.0997.512.80.520.47
7−1018.6288.732.160.520.4
81016.2692.753.22.021.17
90−1−15.4595.331.911.40.66
1001−13.8498.692.920.41.22
110−119.1988.072.261.060.5
120117.8492.993.930.580.55
130002.7196.652.210.430.43
140003.0496.622.230.571.01
150003.0597.214.180.760.76
160003.3897.171.840.410.16
170003.9397.742.640.640.73
Table 4. Results of field test.
Table 4. Results of field test.
Test GroupImpurity Rate/%Seed Loss Rate/%Seed Damage Rate/%Edible Sunflower Disc Threshing Rate/%
16.202.581.5597.52
25.893.071.2397.29
35.833.191.3197.38
Average Value5.972.941.3697.40
Table 3. Results of analysis of variance.
Table 3. Results of analysis of variance.
Data SourcesY1Y2
Mean SquareF-Valuep-ValueMean SquareF-Valuep-Value
Model8.7827.79<0.0001 **18.6784.96<0.0001 **
X10.00500.01580.90344.1318.810.0034 **
X24.8515.360.0058 **37.41170.26<0.0001 **
X337.63119.10<0.0001 **88.38402.20<0.0001 **
X1X21.364.300.07693.0313.780.0075 **
X1X32.678.460.0227 **4.2219.220.0032 **
X2X30.01690.05350.82370.60842.770.1401
X122.307.270.0308 *2.7012.270.0100 **
X222.728.620.0219 *5.8426.580.0013 **
X3227.4686.94<0.0001 **19.1186.96<0.0001 **
Residual0.3159 0.2197
Lack of Fit0.45352.130.23900.22701.060.4591
** means extremely significant (p < 0.01); * means significant (0.01 < p < 0.05).
Disclaimer/Publisher’s Note: The statements, opinions and data contained in all publications are solely those of the individual author(s) and contributor(s) and not of MDPI and/or the editor(s). MDPI and/or the editor(s) disclaim responsibility for any injury to people or property resulting from any ideas, methods, instructions or products referred to in the content.

Share and Cite

MDPI and ACS Style

Zhu, X.; Xu, Y.; Han, C.; You, J.; Zhang, X.; Mao, H.; Ma, X. Design and Experiment of In-Situ Bionic Harvesting Device for Edible Sunflower. Agriculture 2024, 14, 1169. https://doi.org/10.3390/agriculture14071169

AMA Style

Zhu X, Xu Y, Han C, You J, Zhang X, Mao H, Ma X. Design and Experiment of In-Situ Bionic Harvesting Device for Edible Sunflower. Agriculture. 2024; 14(7):1169. https://doi.org/10.3390/agriculture14071169

Chicago/Turabian Style

Zhu, Xuefeng, Yang Xu, Changjie Han, Jia You, Xuejun Zhang, Hanping Mao, and Xu Ma. 2024. "Design and Experiment of In-Situ Bionic Harvesting Device for Edible Sunflower" Agriculture 14, no. 7: 1169. https://doi.org/10.3390/agriculture14071169

APA Style

Zhu, X., Xu, Y., Han, C., You, J., Zhang, X., Mao, H., & Ma, X. (2024). Design and Experiment of In-Situ Bionic Harvesting Device for Edible Sunflower. Agriculture, 14(7), 1169. https://doi.org/10.3390/agriculture14071169

Note that from the first issue of 2016, this journal uses article numbers instead of page numbers. See further details here.

Article Metrics

Back to TopTop