Optimizing the Nitrogen Fertilizer Management to Maximize the Benefit of Straw Returning on Early Rice Yield by Modulating Soil N Availability
Abstract
1. Introduction
2. Materials and Methods
2.1. Experimental Set-Up
2.2. Measurements
2.2.1. Rice Yield and Yield Components
2.2.2. The Content of Soil Ammonium N and Nitrate N
2.2.3. Rice Root Characteristics
2.2.4. The N Uptake of Rice Aboveground Biomass
2.2.5. Rice Crop Biomass Accumulation and Translocation
2.3. Data Analysis
3. Results
3.1. Rice Grain Yield
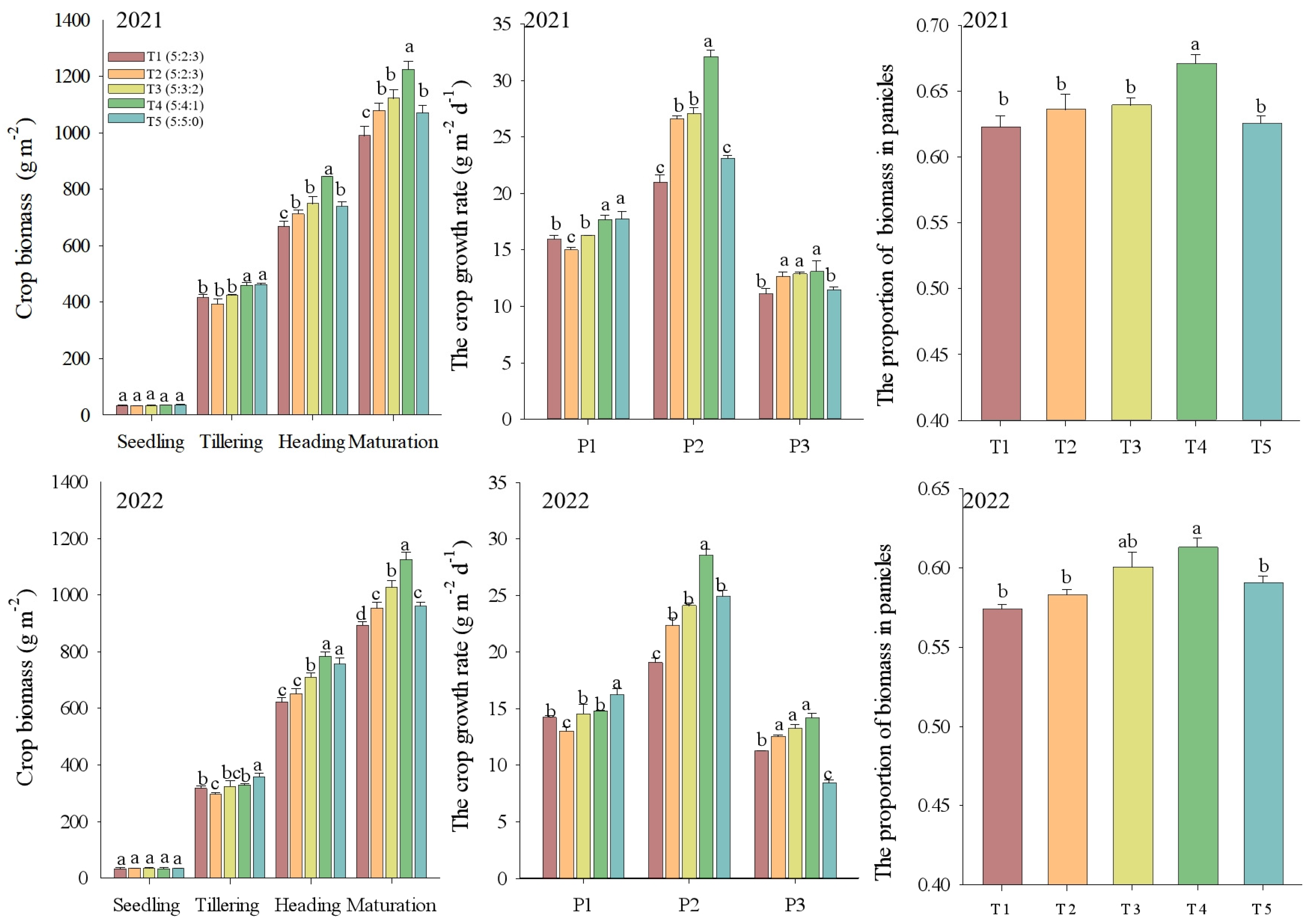
3.2. Rice Biomass Accumulation and Translocation
3.3. Rice N Uptake
3.4. Rice Root Weigh and Root Characteristics
3.5. Soil Nitrate and Ammonium Nitrogen Content
3.6. Relationships among Rice Yield, Root Characteristics, and Soil Available Nitrogen
4. Discussion
4.1. Increasing the N Fertilizer Ratio at the Rice Tillering Stage with Straw Returning Increased the Grain Yields of Rice
4.2. Increasing the N Fertilizer Ratio at the Tillering Stage with Straw Returning Synchronized the Soil Available Nutrients and Crop Demand
5. Conclusions
Author Contributions
Funding
Institutional Review Board Statement
Data Availability Statement
Conflicts of Interest
References
- Zhang, Z.Y.; Li, Y.; Wang, Y.Z.; Niu, B.; Liu, D.L.; He, J.Q.; Meng, Q.T. Impact of climate change and planting date shifts on growth and yields ofdouble cropping rice in southeastern China in future. Agric. Syst. 2023, 205, 103581. [Google Scholar] [CrossRef]
- Guo, J.H.; Liu, X.J.; Zhang, Y.; Shen, J.L.; Han, W.X.; Zhang, W.F.; Christie, P.; Goulding, K.W.T.; Vitousek, P.M.; Zhang, F.S. Significant Acidification in Major Chinese Croplands. Science 2010, 327, 1008–1010. [Google Scholar] [CrossRef] [PubMed]
- Yin, H.J.; Zhao, W.Q.; Li, T.; Cheng, X.Y.; Liu, Q. Balancing straw returning and chemical fertilizers in China: Role of straw nutrient resources. Renew. Sustain. Energy Rev. 2018, 81, 2695–2702. [Google Scholar] [CrossRef]
- Comino, E.; Rosso, M.; Riggio, V. Investigation of increasing organic loading rate in the co-digestion of energy crops and cow manure mix. Bioresour. Technol. 2010, 101, 3013–3019. [Google Scholar] [CrossRef] [PubMed]
- Li, H.D.; Liu, Y.; Jiao, X.Y.; Li, J.; Liu, K.H.; Wu, T.N.; Zhang, Z.Z.; Luo, D.H. Response of soil nutrients retention and rice growth to biochar in straw returning paddy fields. Chemosphere 2023, 312, 137244. [Google Scholar] [CrossRef] [PubMed]
- Li, H.; Cao, Y.; Wang, X.M.; Ge, X.; Li, B.Q.; Jin, C.Q. Evaluation on the Production of Food Crop Straw in China from 2006 to 2014. Bioenergy Res. 2017, 10, 949–957. [Google Scholar] [CrossRef]
- Cong, H.; Yao, Z.; Zhao, L.; Meng, H.; Wang, J.; Huo, L.; Yuan, Y.; Jia, J.; Xie, T.; Wu, Y. Distribution of crop straw resources and its industrial system and utilization path in China. Trans. Chin. Soc. Agric. Eng. 2019, 35, 132–140. [Google Scholar] [CrossRef]
- Li, Z.K.; Shen, Y.; Zhang, W.Y.; Zhang, H.; Liu, L.J.; Wang, Z.Q.; Gu, J.F.; Yang, J.C. Effects of long-term straw returning on rice yield and soil properties and bacterial community in a rice-wheat rotation system. Field Crop. Res. 2023, 291, 108800. [Google Scholar] [CrossRef]
- Deligios, P.A.; Farina, R.; Tiloca, M.T.; Francaviglia, R.; Ledda, L. C-sequestration and resilience to climate change of globe artichoke cropping systems depend on crop residues management. Agron. Sustain. Dev. 2021, 41, 20. [Google Scholar] [CrossRef]
- Liu, B.; Xia, H.; Jiang, C.; Riaz, M.; Yang, L.; Chen, Y.; Fan, X.; Xia, X. 14 year applications of chemical fertilizers and crop straw effects on soil labile organic carbon fractions, enzyme activities and microbial community in rice-wheat rotation of middle China. Sci. Total Environ. 2022, 841, 156608. [Google Scholar] [CrossRef]
- Hu, Q.Y.; Liu, T.Q.; Ding, H.N.; Li, C.F.; Yu, M.; Liu, J.; Cao, C.G. The effects of straw returning and nitrogen fertilizer application on soil labile organic carbon fractions and carbon pool management index in a rice–wheat rotation system. Pedobiol.-J. Soil Ecol. 2023, 101, 150913. [Google Scholar] [CrossRef]
- Witt, C.; Cassman, K.G.; Olk, D.C.; Biker, U.; Liboon, S.P.; Samson, M.I.; Ottow, J.C.G. Crop rotation and residue management effects on carbon sequestration, nitrogen cycling and productivity of irrigated rice systems. Plant Soil 2000, 225, 263–278. [Google Scholar] [CrossRef]
- Xu, Y.Z.; Nie, L.X.; Buresh, R.J.; Huang, J.L.; Cui, K.H.; Xu, B.; Gong, W.H.; Peng, S.B. Agronomic performance of late-season rice under different tillage, straw, and nitrogen management. Field Crop. Res. 2010, 115, 79–84. [Google Scholar] [CrossRef]
- Gao, F.; Li, B.; Ren, B.; Zhao, B.; Liu, P.; Zhang, J.W. Achieve simultaneous increase in straw resources efficiency and nitrogen efficiency under crop yield stabilization—A case study of NCP in China for up to 8 years. Field Crop. Res. 2022, 278, 108431. [Google Scholar] [CrossRef]
- Li, R.C.; Ti, Y.G.; Wang, F.; Sun, Y.F.; Lin, B.J.; Dang, Y.P.; Zhao, X.; Zhang, H.L.; Xu, Z.Y. Optimizing the rate of straw returning to balance trade-offs between carbon emission budget and rice yield in China. Sustain. Prod. Consum. 2024, 47, 166–177. [Google Scholar] [CrossRef]
- Hu, Q.; Liu, T.; Jiang, S.; Cao, C.; Li, C.; Chen, B.; Liu, J. Combined Effects of Straw Returning and Chemical N Fertilization on Greenhouse Gas Emissions and Yield from Paddy Fields in Northwest Hubei Province, China. J. Soil Sci. Plant Nutr. 2020, 20, 392–406. [Google Scholar] [CrossRef]
- Tang, J.C.; Zhang, R.Y.; Li, H.C.; Tan, J.L.; Song, W.J.; Wen, X.; Lu, B.L.; Hu, Z.R. The combination of different nitrogen fertilizer types could promote rice growth by alleviating the inhibition of straw decomposition. Food Energy Secur. 2021, 10, e298. [Google Scholar] [CrossRef]
- Yuan, Y.; Wang, M.; Feng, X.; Li, Q.; Qin, Y.; Sun, B.; Li, C.; Zhang, J.; Liu, H. Effects of nitrogen fertilizer on nitrospira- and nitrobacter-like nitrite-oxidizing bacterial microbial communities under mulched fertigation system in semi-arid area of Northeast China. Agronomy 2023, 13, 2909. [Google Scholar] [CrossRef]
- Cai, G.; Su, X.; Li, Y.; Wang, X. Comparisons between diversified multicropping systems in terms of crop productivity, economic benefits and carbon footprint in the Pearl River Delta region of South China. Farming Syst. 2023, 1, 100051. [Google Scholar] [CrossRef]
- Bossuyt, H.; Denef, K.; Six, J.; Frey, S.D.; Merckx, R.; Paustian, K. Influence of microbial populations and residue quality on aggregate stability. Appl. Soil Ecol. 2001, 16, 195–208. [Google Scholar] [CrossRef]
- Soon, K.Y.; Lupwayi, Z.N. Straw management in a cold semi-arid region: Impact on soil quality and crop productivity. Field Crop. Res. 2012, 139, 39–46. [Google Scholar] [CrossRef]
- Xia, L.; Lam, S.K.; Wolf, B.; Kiese, R.; Chen, D.; Butterbach-Bahl, K. Trade-offs between soil carbon sequestration and reactive nitrogen losses under straw return in global agroecosystems. Glob. Chang. Biol. 2018, 24, 5919–5932. [Google Scholar] [CrossRef] [PubMed]
- Shao, J.; Gao, C.; Afi, S.P.; Xie, J.; Zhao, L.; Bi, Y.; Wang, Y. Analysis of the available straw nutrient resources and substitution of chemical fertilizers with straw returned directly to the field in China. Agriculture 2023, 13, 1187. [Google Scholar] [CrossRef]
- Eiland, F.; Klamer, M.; Lind, A.M.; Leth, M.; Baath, E. Influence of initial C/N ratio on chemical and microbial compositionduring long term composting of straw. Microb. Ecol. Int. J. 2001, 41, 272–280. [Google Scholar] [CrossRef] [PubMed]
- Wang, J.; Wang, D.; Zhang, G.; Wang, Y.; Wang, C.; Teng, Y.; Christie, P. Nitrogen and phosphorus leaching losses from intensively managed paddy fields with straw retention. Agric. Water Manag. 2014, 141, 66–73. [Google Scholar] [CrossRef]
- Alvaro-Fuentes, J.; Morell, F.J.; Madejon, E.; Lampurlanes, J.; Arrue, J.L.; Cantero-Martinez, C. Soil biochemical properties in a semiarid Mediterranean agroecosystem as affected by long-term tillage and N fertilization. Soil Tillage Res. 2013, 129, 69–74. [Google Scholar] [CrossRef]
- Guo, T.; Zhang, Q.; Ai, C.; Liang, G.; He, P.; Zhou, W. Nitrogen enrichment regulates straw decomposition and its associated microbial community in a double-rice cropping system. Sci. Rep. 2018, 8, 1847. [Google Scholar] [CrossRef]
- Yang, R.; Huang, L.; Zhang, X.; Zhu, C.; Xu, L. Mapping the distribution, trends, and drivers of soil organic carbon in China from 1982 to 2019. Geoderma 2023, 429, 116232. [Google Scholar] [CrossRef]
- Poeplau, C.; Kätterer, T.; Bolinder, M.A.; Börjesson, G.; Berti, A.; Lugato, E. Low stabilization of aboveground crop residue carbon in sandy soils of Swedish long-term experiments. Geoderma 2015, 237, 246–255. [Google Scholar] [CrossRef]
- Yan, F.; Sun, Y.; Hui, X.; Jiang, M.; Xiang, K.; Wu, Y.; Zhang, Q.; Tang, Y.; Yang, Z.; Sun, Y. The effect of straw mulch on nitrogen, phosphorus and potassium uptake and use in hybrid rice. Paddy Water Environ. 2019, 17, 23–33. [Google Scholar] [CrossRef]
- Henriksen, T.M.; Breland, T.A. Nitrogen availability effects on carbon mineralization, fungal and bacterial growth, and enzyme activities during decomposition of wheat straw in soil. Soil Biol. Biochem. 1999, 31, 1121–1134. [Google Scholar] [CrossRef]
- Tian, Z.W.; Ge, Y.X.; Zhu, Q.; Yu, J.H.; Zhou, Q.; Cai, J.; Jiang, D.; Cao, W.X.; Dai, T.B. Soil nitrogen balance and nitrogen utilization of winter wheat affected by straw management and nitrogen application in the Yangtze river basin of China. Arch. Agron. Soil Sci. 2019, 65, 1–15. [Google Scholar] [CrossRef]
- Zhai, L.C.; Xu, P.; Zhang, Z.B.; Wei, B.H.; Jia, X.L.; Zhang, L.H. Improvements in Grain Yield and Nitrogen Use Efficiency of Summer Maize by Optimizing Tillage Practice and Nitrogen Application Rate. Agron. J. 2019, 111, 666–676. [Google Scholar] [CrossRef]
- Truong, H.H.T.; Marschner, P. Plant Growth and Nutrient Uptake in Soil Amended with Mixes of Organic Materials Differing in C/N Ratio and Decomposition Stage. J. Soil Sci. Plant Nutr. 2019, 19, 512–523. [Google Scholar] [CrossRef]
- Ju, J.; Cai, Y.; Zuo, W.; Hai-Tao, Z.; Yang, H.; Mao, W.; Yu-Hua, S.; Ke, F. Effects of Nitrogen Management on Soil Nitrogen Content and Rice Grain Yield in Double Cropping Rice Production Area with Continuous Full Amount of Straw Returning. Commun. Soil Sci. Plant Anal. 2019, 50, 2655–2668. [Google Scholar] [CrossRef]
- Yang, H.S.; Xu, M.M.; Koide, R.T.; Liu, Q.; Dai, Y.J.; Liu, L.; Bian, X.M. Effects of ditch-buried straw return on water percolation, nitrogen leaching and crop yields in a rice-wheat rotation system. J. Sci. Food Agric. 2016, 96, 1141–1149. [Google Scholar] [CrossRef] [PubMed]
- Liao, P.; Huang, S.; van Gestel, N.C.; Zeng, Y.; Wu, Z.; van Groenigen, K.J. Liming and straw retention interact to increase nitrogen uptake and grain yield in a double rice-cropping system. Field Crop. Res. 2018, 219, 217. [Google Scholar] [CrossRef]
- Rock, L.; Ellert, B.; Mayer, B. Tracing sources of soil nitrate using the dual isotopic composition of nitrate in 2 M KCl-extracts. Soil Biol. Biochem. 2011, 43, 2397–2405. [Google Scholar] [CrossRef]
- Huang, M.; Chen, J.N.; Cao, F.B.; Jiang, L.G.; Zou, Y.B. Rhizosphere processes associated with the poor nutrient uptake in no-tillage rice (Oryza sativa L.) at tillering stage. Soil Tillage Res. 2016, 163, 10–13. [Google Scholar] [CrossRef]
- Lu, R.K. Analysis Method of Soil Agricultural Chemistry; China Agricultural Science and Technology Press: Beijing, China, 2000. [Google Scholar]
- Huang, M.; Fang, S.L.; Cao, F.B.; Chen, J.N.; Shan, S.L.; Liu, Y.; Lei, T.; Tian, A.L.; Tao, Z.; Zou, Y.B. Early sowing increases grain yield of machine-transplanted late-season rice under single-seed sowing. Field Crop. Res. 2020, 253, 107832. [Google Scholar] [CrossRef]
- Yang, J.; Zhang, J. Grain-filling problem in ‘super’ rice. J. Exp. Bot. 2010, 61, 1–5. [Google Scholar] [CrossRef] [PubMed]
- Cécile, V.; Eugenia, R.; Christophe, R. Boosting crop yields with plant steroids. Plant Cell 2012, 24, 842–857. [Google Scholar] [CrossRef]
- Zhang, W.Y.; Fu, L.D.; Men, C.B.; Yu, J.X.; Yao, J.Y.; Sheng, J.Y.; Xu, Y.J.; Wang, Z.Q.; Liu, L.J.; Yang, J.C.; et al. Response of brassinosteroids to nitrogen rates and their regulation on rice spikelet degeneration during meiosis. Food Energy Secur. 2020, 9, e201. [Google Scholar] [CrossRef]
- Wang, L.; Guo, M.; Li, Y.; Ruan, W.; Mo, X.; Wu, Z.; Sturrock, C.J.; Yu, H.; Lu, C.; Peng, J. Large root ANGLE1,encoding OsPIN2, is involved in root system architecture in rice. J. Exp. Bot. 2018, 69, 385–397. [Google Scholar] [CrossRef]
- Gui, R.F.; Chen, Y.J.; Jiang, Y.; Li, L.; Wang, Z.M.; Pan, S.G.; Zhang, M.H.; Tang, X.R.; Mo, Z.W. Deep placement of liquid fertilizer at tillering stage influences grain quality, 2-acetyl-1-pyrroline synthesis, and antioxidant response of fragrant rice. Field Crop. Res. 2022, 289, 108716. [Google Scholar] [CrossRef]
- Zhang, Z.; Wang, Y.; Wang, Z.; Ashraf, U.; Mo, Z.; Tian, H.; Duan, M.; Li, Y.; Tang, X.; Pan, S. Precise delivery of nitrogen at tillering stage enhances grain yield and nitrogen use efficiency in double rice cropping systems of South China. Field Crop. Res. 2022, 289, 108736. [Google Scholar] [CrossRef]
- Wang, X.J.; Yang, G.H.; Feng, Y.Z.; Ren, G.X.; Han, X.H. Optimizing feeding composition and carbon–nitrogen ratios for improved methane yield during anaerobic co-digestion of dairy, chicken manure and wheat straw. Bioresour. Technol. 2012, 120, 78–83. [Google Scholar] [CrossRef] [PubMed]
- Shafi, S.; Shafi, I.; Zaffar, A.; Zargar, S.M.; Shikari, A.B.; Ranjan, A.; Prasad, P.V.; Sofi, P.A. The resilience of rice under water stress will be driven by better roots: Evidence from root phenotyping, physiological, and yield experiments. Plant Stress 2023, 10, 100211. [Google Scholar] [CrossRef]
- Lynch, J.P. Harnessing root architecture to address global challenges. Plant J. 2022, 109, 415–431. [Google Scholar] [CrossRef]





| Treatments | Straw Returning or Not | The N Rate (kg ha−1) | ||
|---|---|---|---|---|
| Basal Fertilizer | Tillering Fertilizer | Panicle Fertillzizer | ||
| T1 | No straw returning | 82.5 | 33.0 | 49.5 |
| T2 | Straw returning | 82.5 | 33.0 | 49.5 |
| T3 | 82.5 | 49.5 | 33.0 | |
| T4 | 82.5 | 66.0 | 16.5 | |
| T5 | 82.5 | 82.5 | 0.0 | |
| Year | Treatments | Effective Panicle Number (104 ha−1) | Cofficient of Variation | Spikelet Number/Panicle | Cofficient of Variation | Seed Setting Rate (%) | Cofficient of Variation | 1000-Grain Weight (g) | Cofficient of Variation | Grain Yield (t ha−1) | Cofficient of Variation |
|---|---|---|---|---|---|---|---|---|---|---|---|
| 2021 | T1 (5:2:3) * | 302.75 b | 0.031 | 84.28 b | 0.022 | 88.87 a | 0.004 | 25.37 a | 0.012 | 6.68 c | 0.019 |
| T2 (5:2:3) | 275.00 c | 0.030 | 93.14 ab | 0.015 | 90.78 a | 0.002 | 25.72 a | 0.011 | 6.95 c | 0.001 | |
| T3 (5:3:2) | 302.75 b | 0.016 | 97.80 a | 0.013 | 90.75 a | 0.001 | 25.50 a | 0.017 | 7.96 b | 0.012 | |
| T4 (5:4:1) | 319.42 a | 0.040 | 101.90 a | 0.018 | 91.75 a | 0.004 | 24.86 a | 0.011 | 8.62 a | 0.010 | |
| T5 (5:5:0) | 283.67 c | 0.059 | 87.69 b | 0.032 | 89.48 a | 0.004 | 25.13 a | 0.006 | 6.49 c | 0.007 | |
| 2022 | T1 (5:2:3) | 294.44 b | 0.008 | 80.10 c | 0.012 | 75.83 b | 0.012 | 24.30 a | 0.013 | 5.05 c | 0.023 |
| T2 (5:2:3) | 272.22 b | 0.018 | 94.28 b | 0.007 | 82.07 a | 0.010 | 24.18 a | 0.006 | 5.92 bc | 0.006 | |
| T3 (5:3:2) | 286.11 b | 0.044 | 96.32 b | 0.005 | 86.86 a | 0.008 | 24.15 a | 0.015 | 6.72 b | 0.020 | |
| T4 (5:3:2) | 308.33 a | 0.071 | 101.45 a | 0.016 | 85.18 a | 0.034 | 23.83 a | 0.009 | 7.40 a | 0.076 | |
| T5 (5:3:2) | 275.00 b | 0.030 | 95.43 b | 0.019 | 74.17 b | 0.011 | 23.77 a | 0.000 | 5.38 c | 0.036 |
Disclaimer/Publisher’s Note: The statements, opinions and data contained in all publications are solely those of the individual author(s) and contributor(s) and not of MDPI and/or the editor(s). MDPI and/or the editor(s) disclaim responsibility for any injury to people or property resulting from any ideas, methods, instructions or products referred to in the content. |
© 2024 by the authors. Licensee MDPI, Basel, Switzerland. This article is an open access article distributed under the terms and conditions of the Creative Commons Attribution (CC BY) license (https://creativecommons.org/licenses/by/4.0/).
Share and Cite
Hu, J.; Guan, X.; Liang, X.; Wang, B.; Chen, X.; He, X.; Xie, J.; Deng, G.; Chen, J.; Li, X.; et al. Optimizing the Nitrogen Fertilizer Management to Maximize the Benefit of Straw Returning on Early Rice Yield by Modulating Soil N Availability. Agriculture 2024, 14, 1168. https://doi.org/10.3390/agriculture14071168
Hu J, Guan X, Liang X, Wang B, Chen X, He X, Xie J, Deng G, Chen J, Li X, et al. Optimizing the Nitrogen Fertilizer Management to Maximize the Benefit of Straw Returning on Early Rice Yield by Modulating Soil N Availability. Agriculture. 2024; 14(7):1168. https://doi.org/10.3390/agriculture14071168
Chicago/Turabian StyleHu, Juan, Xianjiao Guan, Xihuan Liang, Binqiang Wang, Xianmao Chen, Xiaolin He, Jiang Xie, Guoqiang Deng, Ji Chen, Xiuxiu Li, and et al. 2024. "Optimizing the Nitrogen Fertilizer Management to Maximize the Benefit of Straw Returning on Early Rice Yield by Modulating Soil N Availability" Agriculture 14, no. 7: 1168. https://doi.org/10.3390/agriculture14071168
APA StyleHu, J., Guan, X., Liang, X., Wang, B., Chen, X., He, X., Xie, J., Deng, G., Chen, J., Li, X., Qiu, C., Qian, Y., Peng, C., Zhang, K., & Chen, J. (2024). Optimizing the Nitrogen Fertilizer Management to Maximize the Benefit of Straw Returning on Early Rice Yield by Modulating Soil N Availability. Agriculture, 14(7), 1168. https://doi.org/10.3390/agriculture14071168

