The Physiological Mechanism of Low-Temperature Tolerance Following the UV-B Radiation of Eucommia ulmoides Oliver
Abstract
1. Introduction
2. Materials and Methods
2.1. Plant Materials and Experimental Design
2.2. Measurement of Photosynthetic Parameters
2.3. Determination of Pigment Content
2.4. Measurement of Antioxidant Enzyme Activities
2.5. Measurement of Soluble Sugar, Soluble Protein, Proline, Malondialdehyde, and Superoxide Anion Contents
2.6. Measurement of Total Phenol and Total Flavonoid Content
2.7. Measurement of Salicylic Content
2.8. Statistical Analysis
3. Results
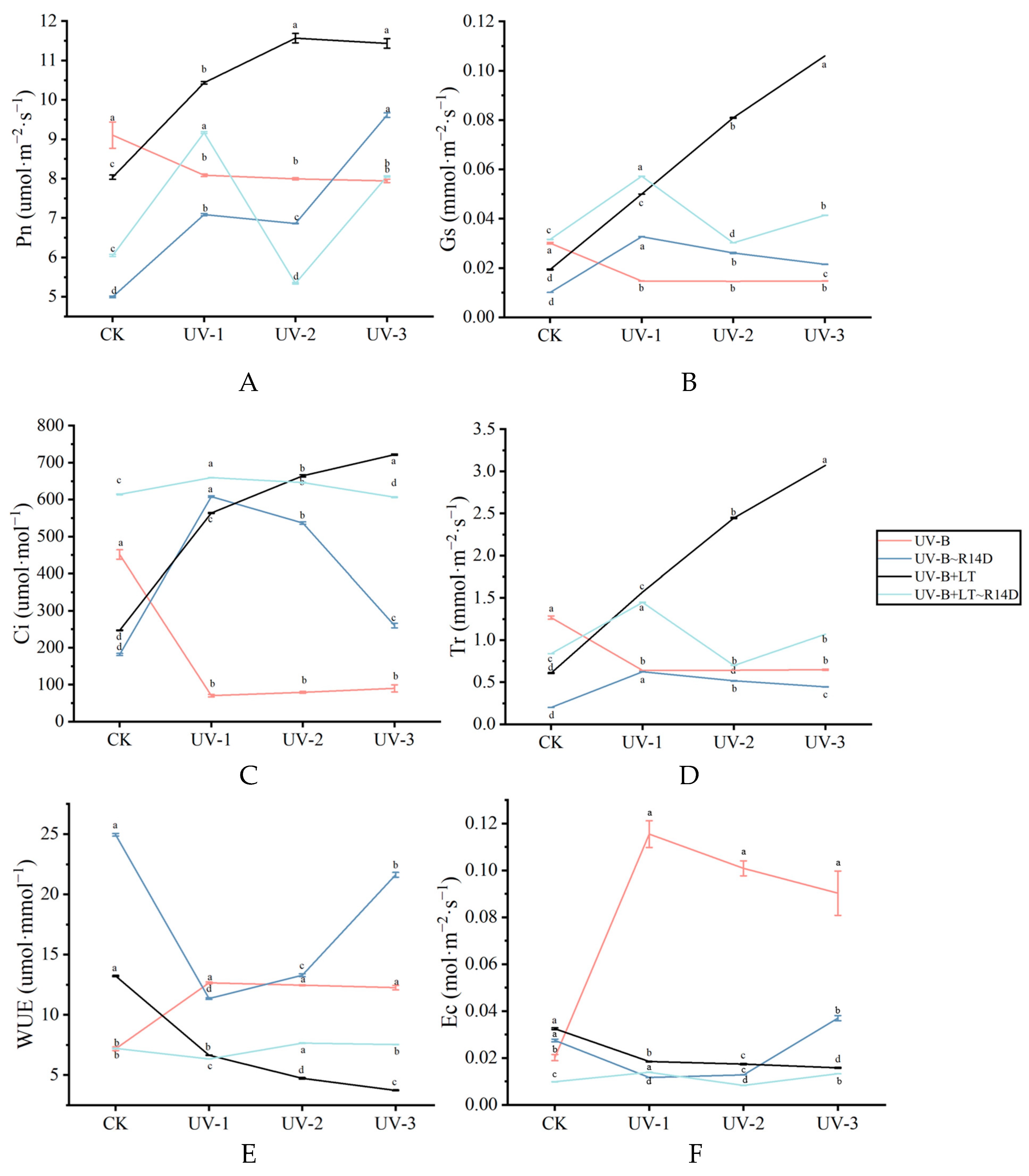
3.1. Photosynthetic Parameters under Different UV-B Doses of Radiation in Different Stages of E. ulmoides
3.2. Leaf Pigment Content under Different UV-B Doses of Radiation in Different Stages of E. ulmoides
3.3. Antioxidant System Analysis under Different UV-B Doses of Radiation in Different Stages of E. ulmoides
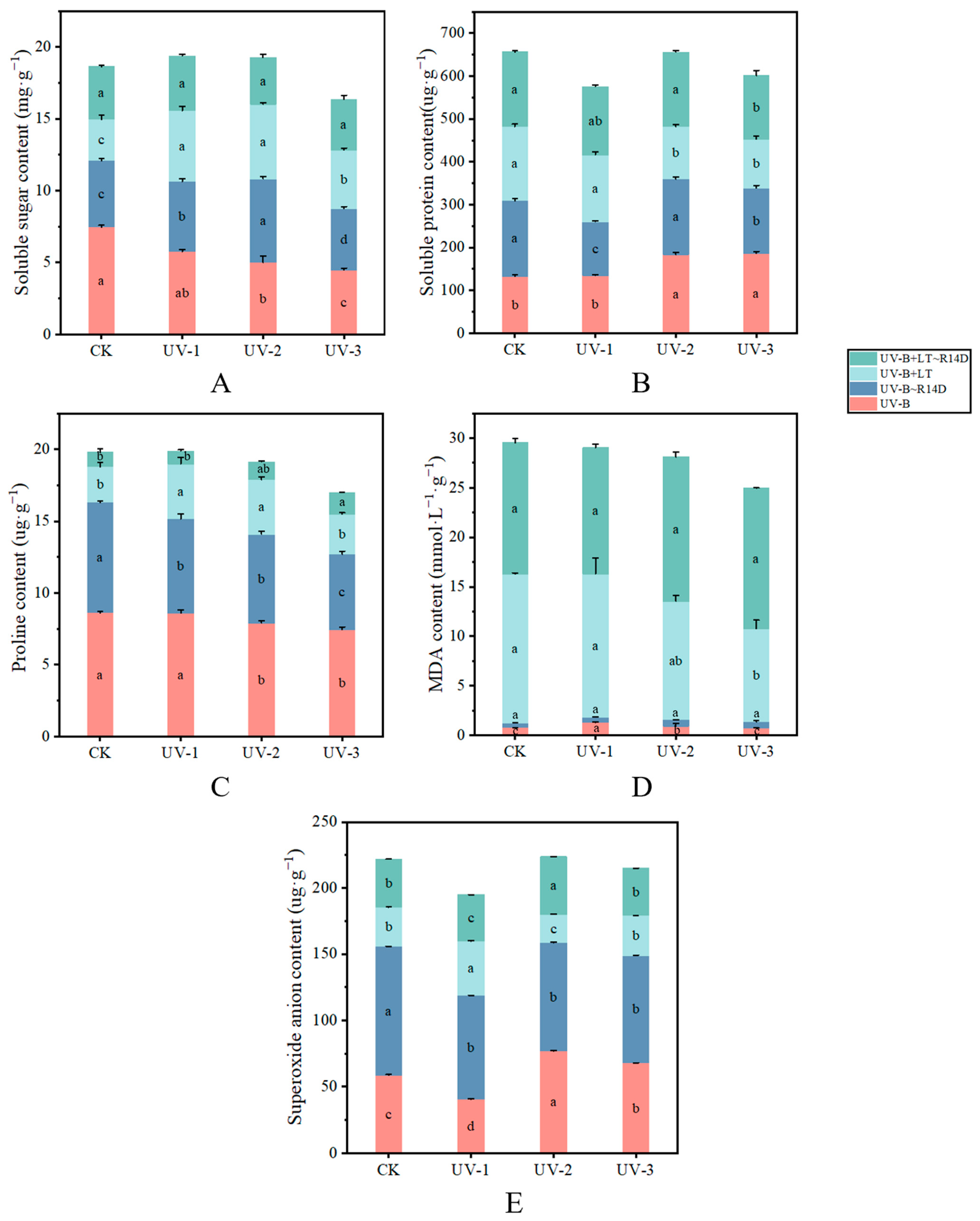
3.4. Osmoregulatory Substance, MDA, and Superoxide Anion Contents under Different UV-B Doses of Radiation in Different Stages of E. ulmoides
3.5. Total Phenol and Total Flavonoid Contents under Different UV-B Doses of Radiation in Different Stages of E. ulmoides
3.6. Salicylic Acid Content under Different UV-B Treatments in Different Stages of E. ulmoides
3.7. Evaluation Model of the Low-Temperature Tolerance of E. ulmoides
4. Discussion
5. Conclusions
Author Contributions
Funding
Institutional Review Board Statement
Data Availability Statement
Conflicts of Interest
References
- Poongodi, S.; Rajesh Babu, M. Analysis of crop suitability using clustering technique in Coimbatore region of Tamil Nadu. Concurr. Comput. Pract. Exp. 2019, 31, e5294. [Google Scholar] [CrossRef]
- Kakani, V.G.; Reddy, K.R.; Zhao, D.; Sailaja, K. Field crop responses to ultraviolet-B radiation: A review. Agric. For. Meteorol. 2003, 120, 191–218. [Google Scholar] [CrossRef]
- Lee, J.; Kwon, M.C.; Jung, E.S.; Lee, C.H.; Oh, M. Physiological and metabolomic responses of kale to combined chilling and UV-A treatment. Int. J. Mol. Sci. 2019, 20, 4950. [Google Scholar] [CrossRef] [PubMed]
- Hussain, S.; Khan, F.; Hussain, H.A.; Nie, L. Physiological and biochemical mechanisms of seed priming-induced chilling tolerance in rice cultivars. Front. Plant Sci. 2016, 7, 178194. [Google Scholar] [CrossRef]
- Liu, H.; Fu, J.; Du, H.; Hu, J.; Wuyun, T. De novo sequencing of Eucommia ulmoides flower bud transcriptomes for identification of genes related to floral development. Genom. Data 2016, 9, 105–110. [Google Scholar] [CrossRef] [PubMed]
- Li, L.; Liu, M.; Shi, K.; Yu, Z.; Zhou, Y.; Fan, R.; Shi, Q. Dynamic changes in metabolite accumulation and the transcriptome during leaf growth and development in Eucommia ulmoides. Int. J. Mol. Sci. 2019, 20, 4030. [Google Scholar] [CrossRef] [PubMed]
- Wu, X.; Zhao, D. Cloning, characterization, and functional analysis of EuTIL1, a gene-encoding temperature-induced lipocalin in Eucommia ulmoides Oliv. Horticulturae 2023, 9, 950. [Google Scholar] [CrossRef]
- Ghorbani, B.; Pakkish, Z.; Khezri, M. Nitric oxide increases antioxidant enzyme activity and reduces chilling injury in orange fruit during storage. N. Z. J. Crop Hortic. Sci. 2018, 46, 101–116. [Google Scholar] [CrossRef]
- Peppino Margutti, M.; Reyna, M.; Meringer, M.V.; Racagni, G.E.; Villasuso, A.L. Lipid signalling mediated by PLD/PA modulates proline and H2O2 levels in barley seedlings exposed to short- and long-term chilling stress. Plant Physiol. Biochem. 2017, 113, 149–160. [Google Scholar] [CrossRef]
- Theocharis, A.; Clément, C.; Barka, E.A. Physiological and molecular changes in plants grown at low temperatures. Planta 2012, 235, 1091–1105. [Google Scholar] [CrossRef]
- Neugart, S.; Majer, P.; Schreiner, M.; Hideg, É. Blue light treatment but not green light treatment after pre-exposure to UV-B stabilizes flavonoid glycoside changes and corresponding biological effects in three different Brassicaceae sprouts. Front. Plant Sci. 2021, 11, 611247. [Google Scholar] [CrossRef] [PubMed]
- He, Y.; Pan, L.; Yang, T.; Wang, W.; Li, C.; Chen, B.; Shen, Y. Metabolomic and confocal laser scanning microscopy (CLSM) analyses reveal the important function of flavonoids in Amygdalus pedunculata pall leaves with temporal changes. Front. Plant Sci. 2021, 12, 648277. [Google Scholar] [CrossRef] [PubMed]
- Subramanian, P.; Kim, K.; Krishnamoorthy, R.; Mageswari, A.; Selvakumar, G.; Sa, T. Cold stress tolerance in Psychrotolerant soil bacteria and their conferred chilling resistance in tomato (Solanum lycopersicum Mill.) Under low temperatures. PLoS ONE 2016, 11, e161592. [Google Scholar] [CrossRef] [PubMed]
- Martel, A.B.; Qaderi, M.M. Does salicylic acid mitigate the adverse effects of temperature and ultraviolet-B radiation on pea (Pisum sativum) plants? Environ. Exp. Bot. 2016, 122, 39–48. [Google Scholar] [CrossRef]
- León-Chan, R.G.; López-Meyer, M.; Osuna-Enciso, T.; Sañudo-Barajas, J.A.; Heredia, J.B.; León-Félix, J. Low temperature and ultraviolet-B radiation affect chlorophyll content and induce the accumulation of UV-B-absorbing and antioxidant compounds in bell pepper (Capsicum annuum) plants. Environ. Exp. Bot. 2017, 139, 143–151. [Google Scholar] [CrossRef]
- Dhanya, T.T.; Dinakar, C.; Puthur, J.T. Effect of UV-B priming on the abiotic stress tolerance of stress-sensitive rice seedlings: Priming imprints and cross-tolerance. Plant Physiol. Biochem. 2020, 147, 21–30. [Google Scholar] [CrossRef] [PubMed]
- Yang, S.; Wang, L.; Li, S. Ultraviolet-B irradiation-induced freezing tolerance in relation to antioxidant system in winter wheat (Triticum aestivum L.) Leaves. Environ. Exp. Bot. 2007, 60, 300–307. [Google Scholar] [CrossRef]
- Jiang, Z.; Xu, M.; Dong, J.; Zhu, Y.; Lou, P.; Han, Y.; Hao, J.; Yang, Y.; Ni, J.; Xu, M. UV-B pre-irradiation induces cold tolerance in tomato fruit by SIUVR8-mediated upregulation of superoxide dismutase and catalase. Postharvest Biol. Technol. 2022, 185, 111777. [Google Scholar] [CrossRef]
- Beyer, W.F., Jr.; Fridovich, I. Assaying for superoxide dismutase activity: Some large consequences of minor changes in conditions. Anal. Biochem. 1987, 161, 559–566. [Google Scholar] [CrossRef]
- Zheng, X.; Tian, S.; Meng, X.; Li, B. Physiological and biochemical responses in peach fruit to oxalic acid treatment during storage at room temperature. Food Chem. 2007, 104, 156–162. [Google Scholar] [CrossRef]
- Hugo, A. [13] Catalase in vitro. Methods Enzymol. 1984, 105, 121–126. [Google Scholar]
- Nakano, Y.K.U.U.; Asada, K. Purification of ascorbate peroxidase in Spinach chloroplasts; Its inactivation in ascorbate-depleted medium and reactivation by monodehydroascorbate radical. Plant Cell Physiol. 1987, 28, 131–140. [Google Scholar]
- Li, X.; Hao, C.; Zhong, J.; Liu, F.; Cai, J.; Wang, X.; Zhou, Q.; Dai, T.; Cao, W.; Jiang, D. Mechano-stimulated modifications in the chloroplast antioxidant system and proteome changes are associated with cold response in wheat. BMC Plant Biol. 2015, 15, 1–13. [Google Scholar] [CrossRef] [PubMed]
- Zhou, Y.; Wang, W.; Wei, R.; Jiang, G.; Li, F.; Chen, X.; Wang, X.; Long, S.; Ma, D.; Xi, L. Serum bradykinin levels as a diagnostic marker in cervical cancer with a potential mechanism to promote VEGF expression via BDKRB2. Int. J. Oncol. 2019, 55, 131–141. [Google Scholar] [CrossRef] [PubMed]
- Bates, L.S.; Waldren, R.P.; Teare, I.D. Rapid determination of free proline for water-stress studies. Plant Soil 1973, 39, 205–207. [Google Scholar] [CrossRef]
- Du, Z.; Bramlage, W.J. Modified thiobarbituric acid assay for measuring lipid oxidation in sugar-rich plant tissue extracts. J. Agric. Food Chem. 1992, 40, 1566–1570. [Google Scholar] [CrossRef]
- Wu, Y.X.; von Tiedemann, A. Impact of fungicides on active oxygen species and antioxidant enzymes in spring barley (Hordeum vulgare L.) exposed to ozone. Environ. Pollut. 2002, 116, 37–47. [Google Scholar] [CrossRef]
- Pang, L.; Adeel, M.; Shakoor, N.; Guo, K.; Ma, D.; Ahmad, M.A.; Lu, G.; Zhao, M.; Li, S.; Rui, Y. Engineered nanomaterials suppress the soft rot disease (Rhizopus stolonifer) and slow down the loss of nutrient in sweet potato. Nanomaterials 2021, 11, 2572. [Google Scholar] [CrossRef]
- Luximon-Ramma, A.; Bahorun, T.; Soobrattee, M.A.; Aruoma, O.I. Antioxidant activities of phenolic, proanthocyanidin, and flavonoid components in extracts of Cassia fistula. J. Agric. Food. Chem. 2002, 50, 5042–5047. [Google Scholar] [CrossRef]
- Chen, J.; Wu, F.; Shang, Y.; Wang, W.; Hu, W.; Simon, M.; Liu, X.; Shangguan, Z.; Zheng, H. Hydrogen sulphide improves adaptation of Zea mays seedlings to iron deficiency. J. Exp. Bot. 2015, 66, 6605–6622. [Google Scholar] [CrossRef]
- Sangtarash, M.H.; Qaderi, M.M.; Chinnappa, C.C.; Reid, D.M. Differential responses of two Stellaria longipes ecotypes to ultraviolet-b radiation and drought stress. Flora Morphol. Distrib. Funct. Ecol. Plants 2009, 204, 593–603. [Google Scholar] [CrossRef]
- Koti, S.; Reddy, K.R.; Kakani, V.G.; Zhao, D.; Gao, W. Effects of carbon dioxide, temperature and ultraviolet-B radiation and their interactions on soybean (Glycine max L.) Growth and development. Environ. Exp. Bot. 2007, 60, 1–10. [Google Scholar] [CrossRef]
- Yadav, A.; Singh, D.; Lingwan, M.; Yadukrishnan, P.; Masakapalli, S.K.; Datta, S. Light signaling and UV-B-mediated plant growth regulation. J. Integr. Plant Bio. 2020, 62, 1270–1292. [Google Scholar] [CrossRef]
- Ri, I.; Pak, S.; Pak, U.; Yun, C.; Tang, Z. How does UV-B radiation influence the photosynthesis and secondary metabolism of Schisandra chinensis leaves? Ind. Crop Prod. 2024, 208, 117832. [Google Scholar] [CrossRef]
- Deng, S.; Ma, J.; Zhang, L.; Chen, F.; Sang, Z.; Jia, Z.; Ma, L. De novo transcriptome sequencing and gene expression profiling of Magnolia wufengensis in response to cold stress. BMC Plant Biol. 2019, 19, 1–23. [Google Scholar]
- Zafari, S.; Vanlerberghe, G.C.; Igamberdiev, A.U. The Role of Alternative Oxidase in the Interplay between Nitric Oxide, Reactive Oxygen Species, and Ethylene in Tobacco (Nicotiana tabacum L.) Plants Incubated under Normoxic and Hypoxic Conditions. Int. J. Mol. Sci. 2022, 23, 7153. [Google Scholar] [CrossRef] [PubMed]
- Kumar, M.; Yusuf, M.A.; Yadav, P.; Narayan, S.; Kumar, M. Overexpression of chickpea defensin gene confers tolerance to water-deficit stress in Arabidopsis thaliana. Front. Plant Sci. 2019, 10, 290. [Google Scholar] [CrossRef] [PubMed]
- Zhang, J.; An, H.; Zhang, X.; Xu, F.; Zhou, B. Transcriptomic analysis reveals potential gene regulatory networks under cold stress of loquat (Eriobotrya japonica Lindl.). Front. Plant Sci. 2022, 13, 944269. [Google Scholar] [CrossRef]
- Vuković, R.; Amagajevac, I.Š; Vuković, A.; Aunić, K.; Begović, L.; Mlinarić, S.; Sekulić, R.; Sabo, N.; Apanić, V. Physiological, biochemical and molecular response of different winter wheat varieties under drought stress at germination and seedling growth stage. Antioxidants 2022, 11, 693. [Google Scholar] [CrossRef]
- Rao, Y.; Jiao, R.; Wang, S.; Wu, X.; Ye, H.; Pan, C.; Li, S.; Xin, D.; Zhou, W.; Dai, G.; et al. SPL36 encodes a receptor-like protein kinase that regulates programmed cell death and defense responses in rice. Rice 2021, 14, 34. [Google Scholar]
- Liu, S.; Fang, S.; Liu, C.; Zhao, L.; Cong, B.; Zhang, Z. Transcriptomics integrated with metabolomics reveal the effects of ultraviolet-b radiation on flavonoid biosynthesis in antarctic moss. Front. Plant Sci. 2021, 12, 788377. [Google Scholar] [CrossRef] [PubMed]
- Amin, B.; Atif, M.J.; Meng, H.; Ali, M.; Li, S.; Alharby, H.F.; Majrashi, A.; Hakeem, K.R.; Cheng, Z. Melatonin rescues photosynthesis and triggers antioxidant defense response in Cucumis sativus plants challenged by low temperature and high humidity. Front. Plant Sci. 2022, 13, 855900. [Google Scholar] [CrossRef] [PubMed]
- Neira, G.; Vergara, E.; Cortez, D.; Holmes, D.S. A large-scale multiple genome comparison of acidophilic archaea (pH ≤ 5.0) extends our understanding of oxidative stress responses in polyextreme environments. Antioxidants 2022, 11, 59. [Google Scholar] [CrossRef] [PubMed]
- Zhou, Z.; Guo, K.; Elbaz, A.; Yang, Z. Salicylic acid alleviates mercury toxicity by preventing oxidative stress in roots of Medicago sativa. Environ. Exp. Bot. 2009, 65, 27–34. [Google Scholar] [CrossRef]
- Shao, L.; Cao, Y.; Jones, T.; Santosh, M.; Silva, L.F.O.; Ge, S.; Da Boit, K.; Feng, X.; Zhang, M.; Bérubé, K. COVID-19 mortality and exposure to airborne PM2.5: A lag time correlation. Sci. Total Environ. 2022, 806, 151286. [Google Scholar] [CrossRef]







| Treatment | Plant Height | Pn | SS Content | SP Content | Pro Content | SOD Activity | POD Activity | MDA Content | SA Content |
|---|---|---|---|---|---|---|---|---|---|
| CK | −0.567 | 1.789 | −0.341 | 0.103 | −1.734 | 1.167 | −1.434 | −0.685 | −1.109 |
| CK* | −0.921 | −0.461 | −1.427 | 1.275 | 0.725 | −0.431 | 1.109 | 1.131 | −0.754 |
| UV-1 | −0.610 | −0.470 | 0.803 | 0.593 | 0.616 | 0.849 | 0.194 | 0.891 | −0.211 |
| UV-2 | 0.692 | −0.429 | 1.089 | −0.802 | 0.275 | −0.305 | 0.643 | −0.139 | 1.080 |
| UV-3 | 1.407 | −0.429 | −0.124 | −1.170 | 0.118 | −1.280 | −0.513 | −1.199 | 0.995 |
| Component 1 | Component 2 | Component 3 | ||||
|---|---|---|---|---|---|---|
| Feature Vector | Load Value | Feature Vector | Load Value | Feature Vector | Load Value | |
| Plant height | 0.468 | 0.949 | −0.156 | −0.295 | −0.098 | −0.106 |
| Pn | −0.280 | −0.568 | −0.427 | −0.807 | −0.036 | −0.039 |
| SS content | 0.234 | 0.474 | −0.076 | −0.143 | 0.802 | 0.869 |
| SP content | −0.415 | −0.842 | 0.282 | 0.534 | −0.054 | −0.059 |
| Pro content | 0.180 | 0.365 | 0.485 | 0.917 | 0.046 | 0.050 |
| SOD activity | −0.376 | −0.763 | −0.154 | −0.292 | 0.532 | 0.577 |
| POD activity | 0.072 | 0.146 | 0.502 | 0.949 | 0.023 | 0.025 |
| MDA content | −0.246 | −0.499 | 0.433 | 0.838 | 0.201 | 0.218 |
| SA content | 0.486 | 0.985 | 0.033 | 0.063 | 0.135 | 0.146 |
| eigenvalues | 4.113 | 3.576 | 1.176 | |||
| Contribution rate (%) | 45.701% | 39.732% | 13.064% | |||
| Cumulative contribution rate (%) | 45.701% | 85.433% | 98.497% | |||
| Treatment | Principal Component Value | Composite Scores | Order | ||
|---|---|---|---|---|---|
| 1 | 2 | 3 | |||
| CK* | −2.114 | −2.701 | −0.067 | −2.048 | 5 |
| CK | −1.437 | 2.259 | −1.152 | 0.090 | 4 |
| UV-1 | −0.729 | 1.055 | 1.324 | 0.259 | 3 |
| UV-2 | 1.801 | 0.244 | 0.847 | 1.031 | 1 |
| UV-3 | 2.479 | −0.858 | −0.952 | 0.668 | 2 |
Disclaimer/Publisher’s Note: The statements, opinions and data contained in all publications are solely those of the individual author(s) and contributor(s) and not of MDPI and/or the editor(s). MDPI and/or the editor(s) disclaim responsibility for any injury to people or property resulting from any ideas, methods, instructions or products referred to in the content. |
© 2024 by the authors. Licensee MDPI, Basel, Switzerland. This article is an open access article distributed under the terms and conditions of the Creative Commons Attribution (CC BY) license (https://creativecommons.org/licenses/by/4.0/).
Share and Cite
Zhang, Y.; Tian, X.; Zhou, W.; Tang, Z.; Yang, J.; Zhang, Y.; Tang, X.; Li, D.; Liu, Y. The Physiological Mechanism of Low-Temperature Tolerance Following the UV-B Radiation of Eucommia ulmoides Oliver. Agriculture 2024, 14, 878. https://doi.org/10.3390/agriculture14060878
Zhang Y, Tian X, Zhou W, Tang Z, Yang J, Zhang Y, Tang X, Li D, Liu Y. The Physiological Mechanism of Low-Temperature Tolerance Following the UV-B Radiation of Eucommia ulmoides Oliver. Agriculture. 2024; 14(6):878. https://doi.org/10.3390/agriculture14060878
Chicago/Turabian StyleZhang, Ying, Xuchen Tian, Wenling Zhou, Zhonghua Tang, Jing Yang, Ye Zhang, Xiaoqing Tang, Dewen Li, and Ying Liu. 2024. "The Physiological Mechanism of Low-Temperature Tolerance Following the UV-B Radiation of Eucommia ulmoides Oliver" Agriculture 14, no. 6: 878. https://doi.org/10.3390/agriculture14060878
APA StyleZhang, Y., Tian, X., Zhou, W., Tang, Z., Yang, J., Zhang, Y., Tang, X., Li, D., & Liu, Y. (2024). The Physiological Mechanism of Low-Temperature Tolerance Following the UV-B Radiation of Eucommia ulmoides Oliver. Agriculture, 14(6), 878. https://doi.org/10.3390/agriculture14060878

