Foliar Application of Strontium for the Identification of Roots from Specific Wheat Plants
Abstract
1. Introduction
2. Materials and Methods
2.1. Preparation of Experimental Materials
2.2. Effect of Foliar Application of Strontium Solution on Strontium Concentration in Roots
2.3. Study of the Relationship between the Root Strontium Concentration and Biomass and Root Length and Establishment of the Estimation Method
2.4. The Estimation Method Was Verified using Measured Values
2.5. The Estimation Method Was Verified Using the Root Dyeing Method
2.6. Data Analysis
3. Results
3.1. Effect of Strontium Coating on Leaves on Strontium Concentration in Roots
3.2. Establishment of the Estimation Method: The Relationship between the Strontium Concentration and the Root Length and Biomass
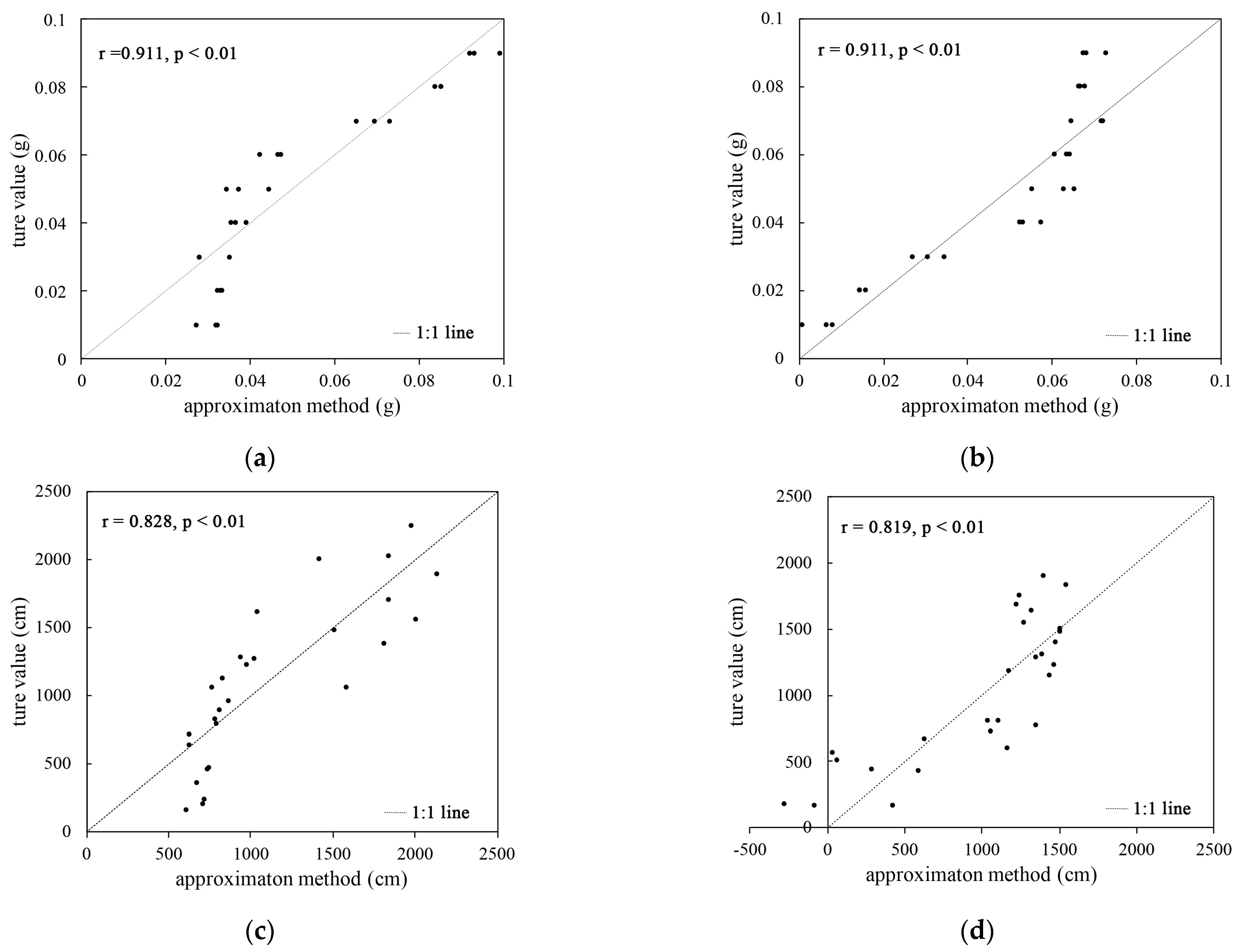
3.3. The Estimation Method Was Validated Using Measured Values
3.4. Root Length Comparison between Dyeing Method and Estimation Method
4. Discussion
5. Conclusions
Author Contributions
Funding
Institutional Review Board Statement
Data Availability Statement
Conflicts of Interest
References
- Freschet, G.T.; Pagès, L.; Iversen, C.M.; Comas, L.H.; Rewald, B.; Roumet, C.; Klimešová, J.; Zadworny, M.; Poorter, H.; Postma, J.A.; et al. A Starting Guide to Root Ecology: Strengthening Ecological Concepts and Standardising Root Classification, Sampling, Processing and Trait Measurements. New Phytol. 2021, 232, 973–1122. [Google Scholar] [CrossRef]
- Semchenko, M.; Saar, S.; Lepik, A. Plant Root Exudates Mediate Neighbour Recognition and Trigger Complex Behavioural Changes. New Phytol. 2014, 204, 631–637. [Google Scholar] [CrossRef]
- Zou, S.; Li, D.; Di, N.; Liu, J.; Li, L.; Liu, Y.; Xi, B.; Coleman, M. Stand Development Modifies Effects of Soil Water Availability on Poplar Fine-Root Traits: Evidence from a Six-Year Experiment. Plant Soil 2022, 480, 165–184. [Google Scholar] [CrossRef]
- Abakumova, M.; Zobel, K.; Lepik, A.; Semchenko, M. Plasticity in Plant Functional Traits Is Shaped by Variability in Neighbourhood Species Composition. New Phytol. 2016, 211, 455–463. [Google Scholar] [CrossRef]
- Hassan, A.; Dresbøll, D.B.; Thorup-Kristensen, K. Naturally Coloured Roots as a Tool for Studying Root Interactions in Mixed Cropping. Plant Soil Environ. 2021, 67, 700–710. [Google Scholar] [CrossRef]
- Cabal, C.; Martínez-García, R.; de Castro Aguilar, A.; Valladares, F.; Pacala, S.W. The Exploitative Segregation of Plant Roots. Science 2020, 370, 1197–1199. [Google Scholar] [CrossRef]
- Murakami, T.; Shimano, S.; Kaneda, S.; Nakajima, M.; Urashima, Y.; Miyoshi, N. Multicolor Staining of Root Systems in Pot Culture. Soil Sci. Plant Nutr. 2006, 52, 618–622. [Google Scholar] [CrossRef]
- Addo-Danso, S.D.; Prescott, C.E.; Smith, A.R. Methods for Estimating Root Biomass and Production in Forest and Woodland Ecosystem Carbon Studies: A Review. For. Ecol. Manag. 2016, 359, 332–351. [Google Scholar] [CrossRef]
- Chen, S.; Lin, S.; Reinsch, T.; Loges, R.; Hasler, M.; Taube, F. Comparison of Ingrowth Core and Sequential Soil Core Methods for Estimating Belowground Net Primary Production in Grass–Clover Swards. Grass Forage Sci. 2016, 71, 515–528. [Google Scholar] [CrossRef]
- Maeght, J.-L.; Rewald, B.; Pierret, A. How to Study Deep Roots—And Why It Matters. Front. Plant Sci. 2013, 4, 56547. [Google Scholar] [CrossRef]
- Mohamed, A.; Monnier, Y.; Mao, Z.; Lobet, G.; Maeght, J.-L.; Ramel, M.; Stokes, A. An Evaluation of Inexpensive Methods for Root Image Acquisition When Using Rhizotrons. Plant Methods 2017, 13, 11. [Google Scholar] [CrossRef]
- Rewald, B.; Meinen, C. Plant Roots and Spectroscopic Methods—Analyzing Species, Biomass and Vitality. Front. Plant Sci. 2013, 4, 66166. [Google Scholar] [CrossRef]
- Bates, G.H. A Device for the Observation of Root Growth in the Soil. Nature 1937, 139, 966–967. [Google Scholar] [CrossRef]
- Pflugfelder, D.; Kochs, J.; Koller, R.; Jahnke, S.; Mohl, C.; Pariyar, S.; Fassbender, H.; Nagel, K.A.; Watt, M.; van Dusschoten, D. The Root System Architecture of Wheat Establishing in Soil Is Associated with Varying Elongation Rates of Seminal Roots: Quantification Using 4D Magnetic Resonance Imaging. J. Exp. Bot. 2022, 73, 2050–2060. [Google Scholar] [CrossRef]
- Oram, N.J.; Ravenek, J.M.; Barry, K.E.; Weigelt, A.; Chen, H.; Gessler, A.; Gockele, A.; de Kroon, H.; van der Paauw, J.W.; Scherer-Lorenzen, M.; et al. Below-Ground Complementarity Effects in a Grassland Biodiversity Experiment Are Related to Deep-Rooting Species. J. Ecol. 2018, 106, 265–277. [Google Scholar] [CrossRef]
- Kulmatiski, A.; Beard, K.H. Root Niche Partitioning among Grasses, Saplings, and Trees Measured Using a Tracer Technique. Oecologia 2013, 171, 25–37. [Google Scholar] [CrossRef]
- Putz, B.; Drapela, T.; Wanek, W.; Schmidt, O.; Frank, T.; Zaller, J.G. A Simple Method for In Situ-labelling with 15N and 13C of Grassland Plant Species by Foliar Brushing. Methods Ecol. Evol. 2011, 2, 326–332. [Google Scholar] [CrossRef]
- Quinlan, J.D.; Sagar, G.R. An autoradiographic study of the movement of 14C-Labelled assimilates in the developing wheat plant. Weed Res. 1962, 2, 264–273. [Google Scholar] [CrossRef]
- Fox, R.L.; Lipps, R.C. A Comparison of Stable Strontium and P32 as Tracers for Estimating Alfalfa Root Activity. Plant Soil 1964, 20, 337–350. [Google Scholar] [CrossRef]
- Bonanomi, G.; Rietkerk, M.; Dekker, S.C.; Mazzoleni, S. Negative Plant–Soil Feedback and Positive Species Interaction in a Herbaceous Plant Community. Plant Ecol. 2005, 181, 269–278. [Google Scholar] [CrossRef]
- Pimentel, C.; Pina, C.M.; Müller, N.; Lara, L.A.; Melo Rodriguez, G.; Orlando, F.; Schoelkopf, J.; Fernández, V. Mineral Particles in Foliar Fertilizer Formulations Can Improve the Rate of Foliar Uptake. Plants 2023, 13, 71. [Google Scholar] [CrossRef]
- Li, P.; Li, L.; Du, Y.; Hampton, M.A.; Nguyen, A.V.; Huang, L.; Rudolph, V.; Xu, Z.P. Potential Foliar Fertilizers with Copper and Zinc Dual Micronutrients in Nanocrystal Suspension. J. Nanoparticle Res. 2014, 16, 2669. [Google Scholar] [CrossRef]
- Fernández, V.; Pimentel, C.; Bahamonde, H.A. Salt Hydration and Drop Drying of Two Model Calcium Salts: Implications for Foliar Nutrient Absorption and Deposition. J. Plant Nutr. Soil Sci. 2020, 183, 592–601. [Google Scholar] [CrossRef]
- Yue, D.; Qiu, N.; Zhang, W.; Du, M.; Fang, X.; Zhou, F. Research progress on plant biological effects of strontium. Plant Physiol. J. 2022, 58, 52–60. [Google Scholar] [CrossRef]
- Burger, A.; Lichtscheidl, I. Strontium in the Environment: Review about Reactions of Plants towards Stable and Radioactive Strontium Isotopes. Sci. Total Environ. 2019, 653, 1458–1512. [Google Scholar] [CrossRef]
- Ali, S.; Wang, D.; Kaleri, A.R.; Baloch, S.B.; Brtnicky, M.; Kucerik, J.; Mustafa, A. Physiological Responses and Phytoremediation Abilities of Cucumber (Cucumis Sativus L.) under Cesium and Strontium Contaminated Soils. Agronomy 2022, 12, 1311. [Google Scholar] [CrossRef]
- Zhang, W.; Kang, Z.; Wang, Q.; Qiu, N.; Chen, M.; Zhou, F. The Biological Effects of Strontium (88Sr) on Chinese Cabbage. Plant Soil Environ. 2020, 66, 149–154. [Google Scholar] [CrossRef]
- Chen, M.; Tang, Y.L.; Ao, J.; Wang, D. Effects of Strontium on Photosynthetic Characteristics of Oilseed Rape Seedlings. Russ J. Plant Physiol. 2012, 59, 772–780. [Google Scholar] [CrossRef]
- Zheng, G.; Pemberton, R.; Li, P. Bioindicating Potential of Strontium Contamination with Spanish Moss Tillandsia usneoides. J. Environ. Radioact. 2016, 152, 23–27. [Google Scholar] [CrossRef]
- Moyen, C.; Roblin, G. Uptake and Translocation of Strontium in Hydroponically Grown Maize Plants, and Subsequent Effects on Tissue Ion Concentration, Growth and Chlorophyll a/b Ratio: Comparison with Ca Effects. Environ. Exp. Bot. 2010, 68, 247–257. [Google Scholar] [CrossRef]
- Moyen, C.; Roblin, G. Occurrence of Interactions between Individual Sr2+- and Ca2+-Effects on Maize Root and Shoot Growth and Sr2+, Ca2+ and Mg2+ Concentrations, and Membrane Potential: Consequences on Predicting Sr2+-Impact. J. Hazard. Mater. 2013, 260, 770–779. [Google Scholar] [CrossRef]
- Zhang, X.; Li, C.; Lu, W.; Wang, X.; Ma, B.; Fu, K.; Li, C.; Li, C. Comparative Analysis of Combined Phosphorus and Drought Stress-Responses in Two Winter Wheat. PeerJ 2022, 10, e13887. [Google Scholar] [CrossRef]
- Gunter, C.C.; Whipker, B.E.; McCall, I.; Garzón, J. Characterization of nutrient disorders of lettuct in silica sand culture. Acta Hortic. 2009, 843, 171–176. [Google Scholar] [CrossRef]
- Qi, L.; Qin, X.; Li, F.-M.; Siddique, K.H.M.; Brandl, H.; Xu, J.; Li, X. Uptake and Distribution of Stable Strontium in 26 Cultivars of Three Crop Species: Oats, Wheat, and Barley for Their Potential Use in Phytoremediation. Int. J. Phytoremediation 2015, 17, 264–271. [Google Scholar] [CrossRef]
- Klimešová, J.; Martínková, J.; Ottaviani, G. Belowground Plant Functional Ecology: Towards an Integrated Perspective. Funct. Ecol. 2018, 32, 2115–2126. [Google Scholar] [CrossRef]
- Cahill, J.F.; McNickle, G.G. The Behavioral Ecology of Nutrient Foraging by Plants. Annu. Rev. Ecol. Evol. Syst. 2011, 42, 289–311. [Google Scholar] [CrossRef]
- Malek, M.A.; Hinton, T.G.; Webb, S.B. A Comparison of 90Sr and 137Cs Uptake in Plants via Three Pathways at Two Chernobyl-Contaminated Sites. J. Environ. Radioact. 2002, 58, 129–141. [Google Scholar] [CrossRef]
- Singhal, R.K.; Narayanan, U.; Bhat, I.S. Investigations on Interception and Translocation of Airboren 85Sr, 131I, 137Cs in Beans, Spinach and Radish Plants. Water Air Soil Pollut. 1998, 101, 163–176. [Google Scholar] [CrossRef]
- Zehnder, H.J.; Kopp, P.; Eikenberg, J.; Feller, U.; Oertli, J.J. Uptake and Transport of Radioactive Cesium and Strontium into Grapevines after Leaf Contamination. Radiat. Phys. Chem. 1995, 46, 61–69. [Google Scholar] [CrossRef]
- Ambler, J.E. Translocation of Strontium from Leaves of Bean and Corn Plants. Radiat. Bot. 1964, 4, 259–265. [Google Scholar] [CrossRef]




| Mixed Group | Biomass of Plant A (g) | Biomass of Plant B (g) | Proportion of Mixture |
|---|---|---|---|
| 1 | 0.01 | 0.09 | 1:9 |
| 2 | 0.02 | 0.08 | 2:8 |
| 3 | 0.03 | 0.07 | 3:7 |
| 4 | 0.04 | 0.06 | 4:6 |
| 5 | 0.05 | 0.05 | 5:5 |
| 6 | 0.06 | 0.04 | 6:4 |
| 7 | 0.07 | 0.03 | 7:3 |
| 8 | 0.08 | 0.02 | 8:2 |
| 9 | 0.09 | 0.01 | 9:1 |
Disclaimer/Publisher’s Note: The statements, opinions and data contained in all publications are solely those of the individual author(s) and contributor(s) and not of MDPI and/or the editor(s). MDPI and/or the editor(s) disclaim responsibility for any injury to people or property resulting from any ideas, methods, instructions or products referred to in the content. |
© 2024 by the authors. Licensee MDPI, Basel, Switzerland. This article is an open access article distributed under the terms and conditions of the Creative Commons Attribution (CC BY) license (https://creativecommons.org/licenses/by/4.0/).
Share and Cite
Fu, S.; Liu, D.; Tian, Y.; Xu, X.; Shi, Z. Foliar Application of Strontium for the Identification of Roots from Specific Wheat Plants. Agriculture 2024, 14, 877. https://doi.org/10.3390/agriculture14060877
Fu S, Liu D, Tian Y, Xu X, Shi Z. Foliar Application of Strontium for the Identification of Roots from Specific Wheat Plants. Agriculture. 2024; 14(6):877. https://doi.org/10.3390/agriculture14060877
Chicago/Turabian StyleFu, Senlin, Di Liu, Yanjiao Tian, Xiaofeng Xu, and Zhaoyong Shi. 2024. "Foliar Application of Strontium for the Identification of Roots from Specific Wheat Plants" Agriculture 14, no. 6: 877. https://doi.org/10.3390/agriculture14060877
APA StyleFu, S., Liu, D., Tian, Y., Xu, X., & Shi, Z. (2024). Foliar Application of Strontium for the Identification of Roots from Specific Wheat Plants. Agriculture, 14(6), 877. https://doi.org/10.3390/agriculture14060877
