Comparative Analysis of Mechanical In-Field Corn Residue Shredding Methods: Evaluating Particle Size Distribution and Rating of Structural Integrity of Corn Stalk Segments
Abstract
1. Introduction
2. Materials and Methods
2.1. Experimental Approach
2.2. Sample Collection and Preparation
2.3. Sieve Analysis
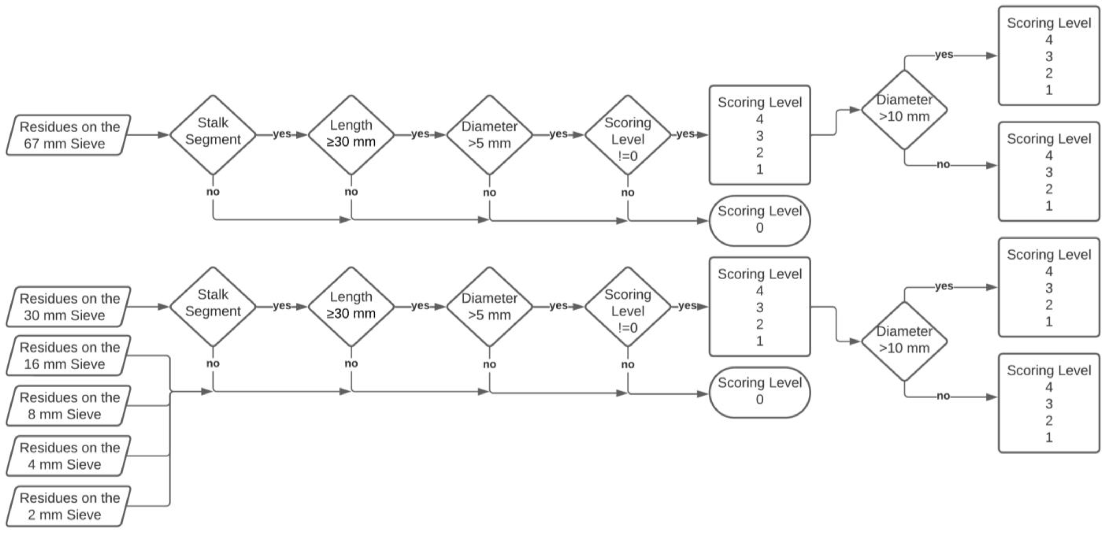
2.4. Scoring of the Structural Integrity of Corn Stalk Segments
2.5. Statistical Analysis
- Mean particle size
- Median
- 10th percentile
- 90th percentile
- Interpercentile range
- Total sample weight
- Percentage mass of incompletely destroyed stalk segments
- Number of incompletely destroyed stalk segments (diameter > 5–10 mm)
3. Results
3.1. Sieve Analysis
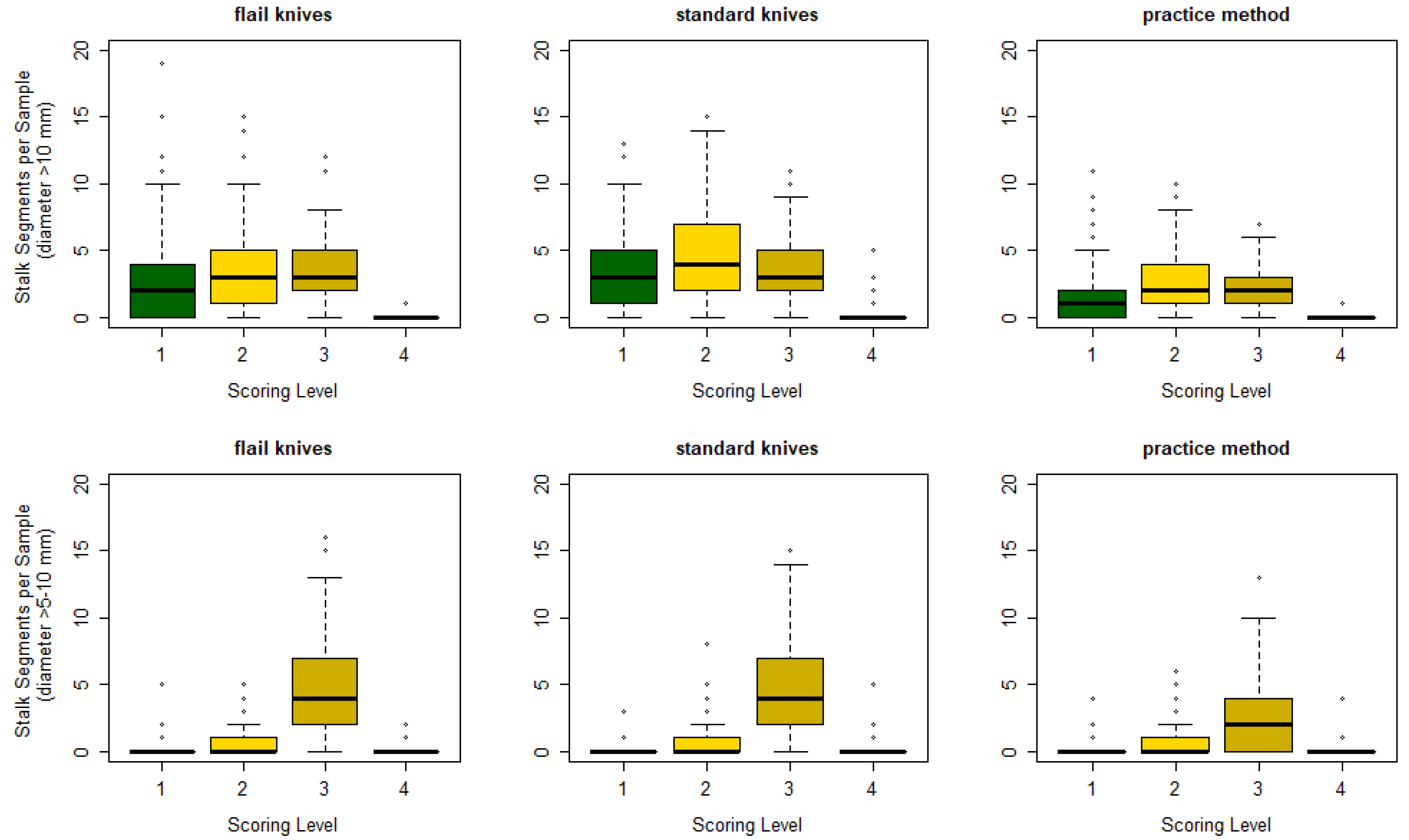
3.2. Rating of the Structural Integrity of Corn Stalk Segments
4. Discussion
4.1. Discussion of the Experimental Approach
4.2. Methods of Corn Stover Shredding
5. Conclusions
- Shredding intensity improvement: The HS3 with flail knives reduced the coarse plant material (>30 mm sieve residues) by 5.4% and achieved a 3.6 mm smaller mean particle size compared to standard knives.
- Benchmark comparison: Against the two-step practice method, the HS3’s flail knives showed lower shredding intensity. The tractor-driven flail mowers further reduced the mean particle size of corn stover by 11.28 mm and 7.65 mm compared to the standard and flail knives treatments, respectively. In terms of coarse material reduction, it achieved 23.4% and 18.0% less coarse plant material compared to the standard and flail knives treatments, respectively.
- Assessment of incompletely destroyed stalk segments: The flail knives, standard knives, and practical method treatments left an average of 5.36, 5.70, and 3.73 stalk segments (diameter > 5 mm and ≤10 mm), and 10.37, 12.42, and 6.10 stalk segments (diameter > 10 mm) per corn stover sample, respectively. Notably, no treatment resulted in a significant number of undamaged stalk segments (scoring level 4), with a median of 0 across all treatments and diameter ranges.
Author Contributions
Funding
Institutional Review Board Statement
Data Availability Statement
Acknowledgments
Conflicts of Interest
Appendix A








| Parameter | Contrast | Estimate | Lower Bound | Upper Bound |
|---|---|---|---|---|
| Total sample weight (g) | standard knives − flail knives | 7.54 | −37.53 | 52.62 |
| practice method − flail knives | −30.36 | −75.44 | 14.72 | |
| practice method − standard knives | −37.91 | −82.98 | 7.17 | |
| Percentage mass of incompletely destroyed stalk segments | standard knives − flail knives | 1.00 | 0.17 | 1.84 |
| practice method − flail knives | −2.65 | −3.37 | −1.93 | |
| practice method − standard knives | −3.65 | −4.38 | −2.92 | |
| Number of incompletely destroyed stalk segments (diameter > 5–10 mm) | standard knives − flail knives | 0.31 | −0.73 | 1.36 |
| practice method − flail knives | −1.63 | −2.54 | −0.72 | |
| practice method − standard knives | −1.94 | −2.89 | −0.99 | |
| Number of incompletely destroyed stalk segments (diameter > 10 mm) | standard knives − flail knives | 2.09 | 0.53 | 3.65 |
| practice method − flail knives | −4.27 | −5.61 | −2.93 | |
| practice method − standard knives | −6.36 | −7.76 | −4.97 |
References
- Trnka, M.; Muška, F.; Semerádová, D.; Dubrovský, M.; Kocmánková, E.; Žalud, Z. European Corn Borer life stage model: Regional estimates of pest development and spatial distribution under present and future climate. Ecol. Model. 2007, 207, 61–84. [Google Scholar] [CrossRef]
- Gagnon, A.-È.; Bourgeois, G.; Bourdages, L.; Grenier, P.; Blondlot, A. Impact of climate change on Ostrinia nubilalis (Lepidoptera: Crambidae) phenology and its implications on pest management. Agr. Forest Entomol. 2019, 214, 253–264. [Google Scholar] [CrossRef]
- Deutsch, C.A.; Tewksbury, J.J.; Tigchelaar, M.; Battisti, D.S.; Merrill, S.C.; Huey, R.B.; Naylor, R.L. Increase in crop losses to insect pests in a warming climate. Science 2018, 361, 916–919. [Google Scholar] [CrossRef]
- Pintilie, P.L.; Trotuș, E.; Tălmaciu, N.; Irimia, L.M.; Herea, M.; Mocanu, I.; Amarghioalei, R.G.; Popa, L.D.; Tălmaciu, M. European Corn Borer (Ostrinia nubilalis Hbn.) Bioecology in Eastern Romania. Insects 2023, 14, 738. [Google Scholar] [CrossRef] [PubMed]
- Mason, C.E.; Rice, M.E.; DiFonzo, C.D.; Porter, R.P.; Sappington, T.W.; Hunt, T.E.; Hellmich, R.L.; Bauté, T.S.; Andow, D.A.; Buntin, G.D.; et al. European Corn Borer Ecology, Management, and Association with Other Corn Pests; NCR 0327; Iowa State University Extension and Outreach: Ames, IA, USA, 2018. [Google Scholar]
- Meissle, M.; Mouron, P.; Musa, T.; Bigler, F.; Pons, X.; Vasileiadis, V.P.; Otto, S.; Antichi, D.; Kiss, J.; Pálinkás, Z.; et al. Pests, pesticide use and alternative options in European maize production: Current status and future prospects. J. Appl. Entomol. 2010, 134, 357–375. [Google Scholar] [CrossRef]
- Freier, B.; Wendt, C.; Neukampf, R. Zur Befallssituation des Maiszünslers (Ostrinia nubilalis) und Westlichen Maiswurzelbohrers (Diabrotica virgifera virgifera) in Deutschland und deren Bekämpfung. J. Für Kult. 2015, 67, 113–123. [Google Scholar] [CrossRef]
- Melchinger, A.E.; Kreps, R.; Späth, R.; Klein, D.; Schulz, B. Evaluation of early-maturing European maize inbreds for resistance to the European corn borer. Euphytica 1998, 99, 115–125. [Google Scholar] [CrossRef]
- Saß, M.; Schorling, M.; Goßmann, M.; Büttner, C. Artenspektrum und Befallshäufigkeit von Fusarium spp. in Bt- und konventionellem Mais im Maiszünsler-Befallsgebiet Oderbruch. Gesunde Pflanze 2007, 59, 119–125. [Google Scholar] [CrossRef]
- Lenz, M. Auftreten des Maiszünslers in Hessen. Nachrichtenblatt Des Dtsch. Pflanzenschutzdienstes 2007, 59, 261–263. [Google Scholar]
- Götzke, G.; Schröder, G. Der Maiszünsler (Ostrinia nubilalis Hbn.) in Brandenburg—Besonderheiten und Versuchsergebnisse aus dem Oderbruch. Nachrichtenblatt Des Dtsch. Pflanzenschutzdienstes 2007, 59, 275. [Google Scholar]
- Blandino, M.; Scarpino, V.; Vanara, F.; Sulyok, M.; Krska, R.; Reyneri, A. Role of the European corn borer (Ostrinia nubilalis) on contamination of maize with 13 Fusarium mycotoxins. Food Addit. Contam. Part A Chem. Anal. Control Expo. Risk Assess. 2015, 32, 533–543. [Google Scholar] [CrossRef] [PubMed]
- Gatch, E.W.; Munkvold, G.P. Fungal Species Composition in Maize Stalks in Relation to European Corn Borer Injury and Transgenic Insect Protection. Plant Dis. 2002, 86, 1156–1162. [Google Scholar] [CrossRef] [PubMed]
- Scarpino, V.; Reyneri, A.; Vanara, F.; Scopel, C.; Causin, R.; Blandino, M. Relationship between European Corn Borer injury, Fusarium proliferatum and F. subglutinans infection and moniliformin contamination in maize. Field Crops Res. 2015, 183, 69–78. [Google Scholar] [CrossRef]
- Sobek, E.A.; Munkvold, G.P. European Corn Borer (Lepidoptera: Pyralidae) Larvae as Vectors of Fusarium moniliforme, Causing Kernel Rot and Symptomless Infection of Maize Kernels. J. Econ. Entomol. 1999, 92, 503–509. [Google Scholar] [CrossRef]
- Ferrigo, D.; Raiola, A.; Causin, R. Fusarium Toxins in Cereals: Occurrence, Legislation, Factors Promoting the Appearance and Their Management. Molecules 2016, 21, 627. [Google Scholar] [CrossRef] [PubMed]
- Kaçar, G.; Butrón, A.; Kontogiannatos, D.; Han, P.; Peñaflor, M.F.G.V.; Farinós, G.P.; Huang, F.; Hutchison, W.D.; de Souza, B.H.S.; Malvar, R.A.; et al. Recent trends in management strategies for two major maize borers: Ostrinia nubilalis and Sesamia nonagrioides. J. Pest Sci. 2023, 96, 879–901. [Google Scholar] [CrossRef]
- Gassmann, A.J.; Reisig, D.D. Management of Insect Pests with Bt Crops in the United States. Annu. Rev. Entomol. 2023, 68, 31–49. [Google Scholar] [CrossRef] [PubMed]
- Schröder, G.; Goetzke, G.; Kuntzke, D. Perspektiven der Kontrolle des Maiszünslers (Ostrinia nubilalis Hbn.) mit Insektiziden—Versuchsergebnisse aus dem Oderbruch. Gesunde Pflanzen 2006, 58, 143–151. [Google Scholar] [CrossRef]
- Razinger, J.; Vasileiadis, V.P.; Giraud, M.; van Dijk, W.; Modic, S.; Sattin, M.; Urek, G. On-farm evaluation of inundative biological control of Ostrinia nubilalis (Lepidoptera: Crambidae) by Trichogramma brassicae (Hymenoptera: Trichogrammatidae) in three European maize-producing regions. Pest Manag. Sci. 2016, 72, 246–254. [Google Scholar] [CrossRef]
- Bzowska-Bakalarz, M.; Bulak, P.; Beres, P.K.; Czarnigowska, A.; Czarnigowski, J.; Karamon, B.; Pniak, M.; Bieganowski, A. Using gyroplane for application of Trichogramma spp. against the European corn borer in maize. Pest Manag. Sci. 2020, 76, 2243–2250. [Google Scholar] [CrossRef]
- Folcher, L.; Weissenberger, A.; Delos, M. Quantitative relationships between Ostrinia nubilalis activity and deoxynivalenol contamination in French maize. Int. J. Pest Manag. 2012, 58, 302–309. [Google Scholar] [CrossRef]
- Schneider, M.; Lenz, M. Möglichkeiten zur Bekämpfung von Maiszünsler und Fusarium: Vorteile der Strohzerkleinerung und Stoppelbearbeitung nutzen. Stroh- und Stoppelmanagement nach Mais; Deutsches Maiskomitee e.V., Ed.; Bonn, Germany, 2017; pp. 3–11. Available online: https://www.maiskomitee.de/web/upload/pdf/produktion/Sonderheft_Strohmanagement.pdf (accessed on 1 February 2024).
- Uppenkamp, N. Zerkleinern von Maisstoppeln und Maisstroh. Innovation 2012, 3, 20–22. [Google Scholar]
- D’Amours, L.; Savoie, P.; Lavoie, F.; Lefsrud, M. Vertical partition of corn stover fractions prior to harvest. In Proceedings of the 2008 ASABE Annual International Meeting, St. Joseph, MI, USA, 29 June–2 July 2008. [Google Scholar]
- Pordesimo, L.O.; Edens, W.C.; Sokhansanj, S. Distribution of aboveground biomass in corn stover. Biomass Bioenergy 2004, 26, 337–343. [Google Scholar] [CrossRef]
- Shinners, K.J.; Binversie, B.N. Fractional yield and moisture of corn stover biomass produced in the Northern US Corn Belt. Biomass Bioenergy 2007, 31, 576–584. [Google Scholar] [CrossRef]
- Shinners, K.J.; Boettcher, G.C.; Hoffman, D.S.; Munk, J.T.; Muck, R.E.; Weimer, P.J. Single-Pass Harvest of Corn Grain and Stover: Performance of Three Harvester Configurations. Trans. ASABE 2009, 52, 51–60. [Google Scholar] [CrossRef]
- Lizotte, P.-L.; Savoie, P.; Lefsrud, M.; Ouellet-Plamondon, C. Corn Stover Fractions during Extended Harvest. In 2009 Reno, Nevada, June 21–June 24, 2009; American Society of Agricultural and Biological Engineers: St. Joseph, MI, USA, 2009. [Google Scholar]
- Schaafsma, A.W.; Melochie, F.; Pitblado, R.E. Effect of Mowing Corn Stalks and Tillage on Overwintering Mortality of European Corn Borer (Lepidoptera: Pyralidae) in Field Corn. J. Econ. Entomol. 1996, 89, 1587–1592. [Google Scholar] [CrossRef]
- Grosa, A.; Bögel, T.; Edler von der Planitz, B. Mulchen von Maisstoppeln: Optimierung des Mulchereinsatzes zur wirksamen Bekämpfung von Fusariumerkrankungen und Maiszünslerbefall im pfluglosen Ackerbau. Sächsisches Landesamt für Umwelt, Landwirtschaft und Geologie (LfULG), Ed.: Dresden, Germany Schriftenreihe des LfULG 2016, 15. Available online: https://publikationen.sachsen.de/bdb/artikel/26768/documents/37360 (accessed on 1 February 2024).
- Klingenhagen, G.; Furth, U.; Johnen, A.; Götz, R. Attacke gegen Maiszünsler. Top Agrar. 2014, 5, 70–75. [Google Scholar]
- Schorling, M. Ökologische und Phytomedizinische Untersuchungen zum Anbau von Bt-Mais im Maiszünsler-Befallsgebiet Oderbruch. Ph.D. Thesis, Universität Potsdam, Potsdam, Germany, 2005. [Google Scholar]
- University of Minnesota. European Corn Borer. Available online: https://ipm.missouri.edu/pestmonitoring/ecb/images/ecb.pdf (accessed on 14 January 2024).
- Brunotte, J.; Voßhenrich, H. Neues Bonitursystem für Maisstoppelbearbeitung zur Anwendung in der Praxis. Stroh- und Stoppelmanagement nach Mais; Deutsches Maiskomitee e.V., Ed.; Bonn, Germany, 2017; pp. 18–23. Available online: https://www.thuenen.de/de/themenfelder/pflanzenproduktion (accessed on 1 February 2024).
- Voßhenrich, H.; Anter, J.; Brunotte, J. Neues Bonitursystem für die Maisstoppelbearbeitung zur Anwendung in der Wissenschaft. DMK-Schwerpunkt: Stroh-und Stoppelmanagement Nach Mais; Deutsches Maiskomitee e.V. (DMK), Ed.; Bonn, Germany, 2017; pp. 24–26. Available online: https://www.thuenen.de/de/fachinstitute/agrartechnologie (accessed on 1 February 2024).
- Nigon, C.M.; Shinners, K.J.; Friede, J.C. An Apparatus and Method for Evaluating Particle-Size Distribution of Small Grain Crop Residues. AgriEngineering 2022, 4, 1016–1029. [Google Scholar] [CrossRef]
- Dutzi, S. Körnermaisanbau weltweit: Maispflücker dominieren. Innovation 2019, 3, 18–19. [Google Scholar]
- Handler, F.; Nadlinger, M.; Paar, J. Comparison of different systems of stalk choppers for corn headers. In Tagung Landtechnik 2005, Proceedings of the International Conference on Agricultural Engineering, Hannover, Germany, 4–5 November 2005; Max-Eyth-Gesellschaft für Agrartechnik, Ed.; VDI-Verl.: Düsseldorf, Germany, 2005; pp. 417–423. ISBN 3180918950. [Google Scholar]
- Uppenkamp, N. Stroh- und Stoppelmanagement bei und nach der Maisernte: Neue technische Lösungen ergänzen bisherige Geräte. Mais 2016, 43, 108–112. [Google Scholar]
- Zhang, Z.; McHugh, A.D.; Li, H.; Ma, S.; Wang, Q.; He, J.; Zheng, K. Global Overview of Research and Development of Crop Residue Management Machinery. Appl. Eng. Agric. 2017, 33, 329–344. [Google Scholar] [CrossRef]
- Okyere, F.G.; Kim, H.T.; Basak, J.K.; Khan, F.; Bhujel, A.; Park, J.; Lee, D. Influence of operational properties and material’s physical characteristics on mechanical cutting properties of corn stalks. J. Biosyst. Eng. 2022, 47, 197–208. [Google Scholar] [CrossRef]
- Uppenkamp, N.; Demmel, M.; Kirchmeier, H. Maisstoppeln und Maisstroh—Den Mulchern gehört die Zukunft: Mulchgeräte verschiedener Bauart und Zerkleinerungswerkzeuge im Test. Mais 2011, 38, 30–33. [Google Scholar]
- Langenbruch, G.-A.; Lorenz, N. Maiszünslerreduzierung bei der Körnermaisernte. Nachrichtenblatt Des Dtsch. Pflanzenschutzdienstes 1989, 41, 140–144. [Google Scholar]
- Ramm, S.; Hasler, M.; Reckleben, Y.; Hartung, E. Single-Pass Grain Corn Harvest and Stubble Shredding: Performance of Three Corn Header Configurations as Effected by Harvesting Speed and Cutting Height. Agriculture 2023, 13, 833. [Google Scholar] [CrossRef]
- Herter, F.; Schwaer, S. Valuation Method for Corn head integrated Stubble Cracker System. In International Conference on Agricultural. AgEng-Land.Technik 2022, Berlin, Germany, 22–23 November 2022; Max-Eyth-Gesellschaft für Agrartechnik, Ed.; VDI Verlag GmbH: Düsseldorf, Germany, 2022; pp. 173–177. ISBN 978-3-18092406-9. [Google Scholar]
- Kirchmeier, H.; Demmel, M. Wirkung von Maisstrohzerkleinerung und Bodenbearbeitung auf Fusariuminfektionen des Winterweizens nach Körnermais. 2018. Available online: https://www.lfl.bayern.de/publikationen/informationen/040164/ (accessed on 14 November 2023).
- Losey, J.E.; Carter, M.E.; Silverman, S.A. The effect of stem diameter on European corn borer behavior and survival: Potential consequences for IRM in Bt-corn. Entomol. Exp. Et Appl. 2002, 105, 89–96. [Google Scholar] [CrossRef]
- R Core Team. R: A Language and Environment for Statistical Computing; R Foundation for Statistical Computing: Vienna, Austria, 2022; ISBN 3-900051-07-0. [Google Scholar]
- Pinheiro, J.C.; Bates, D.M. Mixed-Effects Models in S and S-PLUS; Springer: New York, NY, USA, 2000; ISBN 978-0-387-22747-4. [Google Scholar]
- Carroll, R.J.; Ruppert, D. Transformation and Weighting in Regression; Chapman and Hall: London, UK, 1988. [Google Scholar]
- Sándor, K.; Holló, G. Evaluation of influencing factors on the location and displacement of Ostrinia nubilalis larvae in maize stalks measured by computed tomography. J. Plant Prot. Res. 2019, 59, 95–101. [Google Scholar]










| Corn Stover Shredding Method | First Pass: Harvest (Configuration of the HS3 Corn Header) | Second Pass: Post-Harvest Residue Management | |
|---|---|---|---|
| Cutting Tools | Cutting Height Setting | ||
| Flail Knives | Flail Knives | Lowest possible for stubble shredding | None |
| Standard Knives | Standard Knives | 15–25 cm corn stubble height | None |
| Practice Method | Standard Knives | 15–25 cm corn stubble height | Tractor-driven Flail Mowers |
| Year | Site | Flail Mower | Plot Length [m] | Blocks (Replications) | Samples per Plot | Total Samples |
|---|---|---|---|---|---|---|
| 2018 | Zeutern (49.1786, 8.6587) | Sauerburger (Y-Blades) | 125 | 3 | 6 | 54 |
| 2018 | Steinheim (51.8460, 9.1316) | Müthing (Hammer flails) | 125 | 3 | 6 | 54 |
| 2019 | Stettfeld (49.1858, 8.6343) | Maschio (Hammer flails) | 75 | 6 | 3 | 54 |
| 2019 | Bückeburg (52.2676, 9.0851) | Müthing (Hammer flails) | 75 | 6 | 3 | 54 |
| 2020 | Kraichtal (49.1442, 8.7332) | Sauerburger (Y-Blades) | 75 | 6 | 3 | 54 |
| 2020 | Timmaspe (54.1348, 9.8916) | Sauerburger (Hammer flails) | 75 | 5 | 3 | 45 |
| Scoring Level | Definition |
|---|---|
| 0 | stalk segment is completely frayed or sidewall at least 50% opened |
| 1 | between 30% and 50% of the stalk segments’ sidewall is opened |
| 2 | less than 30% of the stalk segments’ sidewall is opened, yet clearly damaged |
| 3 | frontal section of the stalk opened, nodes missing, sidewall mostly undamaged |
| 4 | stalk segment is intact, both the frontal section and sidewall are undamaged |
| Flail Knives | Standard Knives | Practice Method | |
|---|---|---|---|
| 31.90 | 35.50 | 23.74 | |
| 29.98 | 33.60 | 22.33 | |
| 11.82 | 13.73 | 8.90 | |
| 54.47 | 59.67 | 40.44 | |
| 42.65 | 45.91 | 31.58 |
| Parameter | Contrast | Estimate | Lower Bound | Upper Bound |
|---|---|---|---|---|
| standard knives − flail knives | 3.60 | 2.07 | 5.12 | |
| practice method − flail knives | −8.17 | −9.69 | −6.64 | |
| practice method − standard knives | −11.76 | −13.29 | −10.24 | |
| standard knives − flail knives | 3.62 | 2.26 | 4.99 | |
| practice method − flail knives | −7.65 | −9.02 | −6.28 | |
| practice method − standard knives | −11.28 | −12.64 | −9.91 | |
| standard knives − flail knives | 1.91 | 1.33 | 2.49 | |
| practice method − flail knives | −2.92 | −3.50 | −2.34 | |
| practice method − standard knives | −4.82 | −5.41 | −4.24 | |
| standard knives − flail knives | 5.20 | 2.24 | 8.16 | |
| practice method − flail knives | −14.03 | −17.00 | −11.07 | |
| practice method − standard knives | −19.24 | −22.20 | −16.27 | |
| standard knives − flail knives | 3.27 | 0.55 | 5.98 | |
| practice method − flail knives | −11.07 | −13.79 | −8.35 | |
| practice method − standard knives | −14.33 | −17.05 | −11.61 |
Disclaimer/Publisher’s Note: The statements, opinions and data contained in all publications are solely those of the individual author(s) and contributor(s) and not of MDPI and/or the editor(s). MDPI and/or the editor(s) disclaim responsibility for any injury to people or property resulting from any ideas, methods, instructions or products referred to in the content. |
© 2024 by the authors. Licensee MDPI, Basel, Switzerland. This article is an open access article distributed under the terms and conditions of the Creative Commons Attribution (CC BY) license (https://creativecommons.org/licenses/by/4.0/).
Share and Cite
Ramm, S.; Voßhenrich, H.H.; Hasler, M.; Reckleben, Y.; Hartung, E. Comparative Analysis of Mechanical In-Field Corn Residue Shredding Methods: Evaluating Particle Size Distribution and Rating of Structural Integrity of Corn Stalk Segments. Agriculture 2024, 14, 263. https://doi.org/10.3390/agriculture14020263
Ramm S, Voßhenrich HH, Hasler M, Reckleben Y, Hartung E. Comparative Analysis of Mechanical In-Field Corn Residue Shredding Methods: Evaluating Particle Size Distribution and Rating of Structural Integrity of Corn Stalk Segments. Agriculture. 2024; 14(2):263. https://doi.org/10.3390/agriculture14020263
Chicago/Turabian StyleRamm, Sebastian, Hans Heinrich Voßhenrich, Mario Hasler, Yves Reckleben, and Eberhard Hartung. 2024. "Comparative Analysis of Mechanical In-Field Corn Residue Shredding Methods: Evaluating Particle Size Distribution and Rating of Structural Integrity of Corn Stalk Segments" Agriculture 14, no. 2: 263. https://doi.org/10.3390/agriculture14020263
APA StyleRamm, S., Voßhenrich, H. H., Hasler, M., Reckleben, Y., & Hartung, E. (2024). Comparative Analysis of Mechanical In-Field Corn Residue Shredding Methods: Evaluating Particle Size Distribution and Rating of Structural Integrity of Corn Stalk Segments. Agriculture, 14(2), 263. https://doi.org/10.3390/agriculture14020263

