Mechanism of Centrifugal Force Amplitude–Frequency Decoupling Exciters for Fruit Tree Vibration Harvest
Abstract
1. Introduction
2. Materials and Methods
2.1. Existing Exciter Structures
2.2. Centrifugal Force Amplitude–Frequency Decoupling Methods and Mechanisms Based on Five Separation Principles from TRIZ Theory
2.3. Principle of Different Centrifugal Force Amplitude–Frequency Decoupling Exciters
2.4. Three-Dimensional Modeling and Manufacturing of Symmetric Dual Eccentric Block Exciter for Decoupling Centrifugal Force Amplitude–Frequency
3. Experimental Results and Analysis
3.1. Experiment on the Variation Characteristics of Excitation Force with Slider Displacement Under Fixed Frequency
3.2. Results of Fixed Amplitude with Varying Frequency Vibration Test
3.3. Different Fruit Tree Vibration Harvesting Experiments
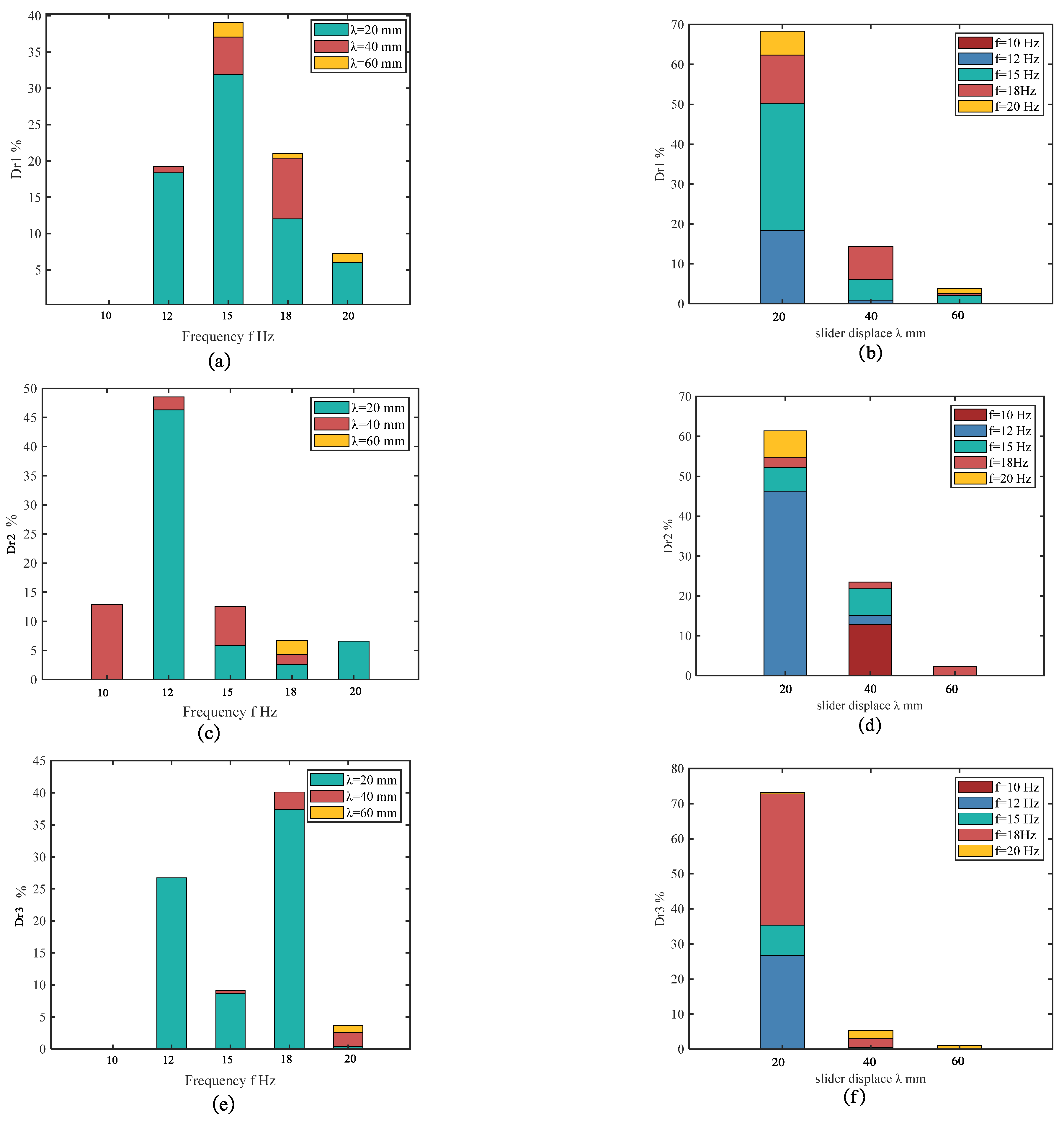
3.4. Amplitude–Frequency Relationship in Vibrational Harvesting of Orchards
4. Conclusions
- (1)
- This approach overcomes the challenge of interdependence between excitation force amplitude and frequency in existing exciters. It lays a foundation for the amplitude–frequency control of exciting force in fruit vibration harvest;
- (2)
- Due to the structural variability among fruit trees, the required excitation frequencies and force amplitudes for vibration harvesting exhibit significant differences. A centrifugal force amplitude–frequency independently adjustable vibrator is capable of adaptively adjusting excitation parameters to suit the diverse structural characteristics of various fruit trees during the harvesting process.
Author Contributions
Funding
Institutional Review Board Statement
Data Availability Statement
Acknowledgments
Conflicts of Interest
References
- Cao, P.; Tang, J.; Xiong, X.Y.; Niu, L.K. Synchronous control strategy of double excitation motors inertial flip-flow screen. ISA Trans. 2022, 131, 566–578. [Google Scholar] [CrossRef] [PubMed]
- Chen, M.D.; Liu, X.T.; Hu, P.X.; Zhai, X.T.; Han, Z.L.; Shi, Y.L.; Zhu, W.J.; Wang, D.W.; He, X.N.; Shang, S.Q. Study on rotor vibration potato-soil separation device for potato harvester using DEM-MBD coupling simulation. Comput. Electron. Agric. 2024, 218, 108638. [Google Scholar] [CrossRef]
- Zou, M.; Fang, P.; Hou, Y.J.; Peng, H. Investigation on multiple-frequency synchronization experiment of vibration system with dual-rotor actuation. Mech. Syst. Signal Process. 2022, 164, 108261. [Google Scholar] [CrossRef]
- Cetinkaya, C.; Polat, R.; Ozalp, A.F. Investigation of the vibration effect of using single or double eccentric mass in the trunk shakers used in fruit harvesting. Eng. Sci. Technol. Int. J. 2022, 35, 101228. [Google Scholar] [CrossRef]
- He, L.; Zhou, J.F.; Du, X.Q.; Chen, D.; Zhang, Q.; Karkee, M. Energy efficacy analysis of a mechanical shaker in sweet cherry harvesting. Biosyst Eng. 2013, 116, 309–315. [Google Scholar] [CrossRef]
- Du, X.Q.; Jiang, F.; Li, S.T.; Xu, N.N.; Li, D.W.; Wu, C.Y. Design and experiment of vibratory harvesting mechanism for Chinese hickory nuts based on orthogonal eccentric masses. Comput. Electron. Agric 2019, 156, 178–186. [Google Scholar] [CrossRef]
- Yu, C.; Lin, D.D.; Xu, N.N.; Wang, X.W.; Pu, K.W.; Wang, Z.H.; Zhao, G.F.; Geng, R.H.; Gong, S.P. DEM simulation of particle flow and separation in a vibrating flip-flow screen. Particuology 2023, 73, 113–127. [Google Scholar] [CrossRef]
- Lu, W.; Zhang, L.; Li, J.; Jiang, R.; Li, B. Energy analysis of vibratory penetration of large-scale steel cylinders. Ocean Eng. 2024, 292, 11649. [Google Scholar] [CrossRef]
- Hu, W.C.; Zhang, X.L.; Chen, C.; Zhang, W.; Wen, B.C. Stability and Sommerfeld effect in a multi-resonant types vibrating system with isolated rigid frame driven by four exciters. Mech. Syst. Signal Process. 2023, 204, 110751. [Google Scholar] [CrossRef]
- Huang, Z.L.; Song, G.Q.; Li, Y.M.; Sun, M.N. Synchronous control of two counter-rotating eccentric rotors in nonlinear coupling vibration system. Mech. Syst. Signal Process. 2019, 114, 68–83. [Google Scholar] [CrossRef]
- Ma, Z.S.; Ding, Q.; Tang, Y. Operational modal analysis of a liquid-filled cylindrical structure with decreasing filling mass by multivariate stochastic parameter evolution methods. Int. J. Mech. Sci. 2020, 172, 105420. [Google Scholar] [CrossRef]
- Basta, E.; Ghommem, M.; Emam, S. Vibration suppression of nonlinear rotating metamaterial beams. Nonlinear Dyn. 2020, 101, 311–332. [Google Scholar] [CrossRef]
- Xuan, Y.; Xu, L.Y.; Liu, G.H.; Zhou, J. The Potential Influence of Tree Crown Structure on the Ginkgo Harvest. Forests 2021, 12, 366. [Google Scholar] [CrossRef]
- Fan, K.Q.; Hao, J.Y.; Wang, C.Y.; Zhang, C.; Wang, W.D.; Wang, F. An eccentric mass-based rotational energy harvester for capturing ultralow-frequency mechanical energy. Energy Convers. Manag. 2021, 241, 114301. [Google Scholar] [CrossRef]
- Hu, W.C.; Zhang, X.L.; Chen, C.; Li, Z.Q.; Zhang, J.X.; Li, M. Stability and self-balancing characteristic of an internal drive vibrating system with three unbalanced rotors. J. Sound Vib. 2024, 574, 118232. [Google Scholar] [CrossRef]
- Spreafico, C. Quantifying the advantages of TRIZ in sustainability through life cycle assessment. J. Clean Prod. 2021, 303, 17. [Google Scholar] [CrossRef]
- Uzoka, C.; Mishra, R. Integration of TRIZ and CFD to New Product Development Process. Int. J. Comput. Fluid Dyn. 2020, 34, 418–437. [Google Scholar] [CrossRef]
- Khodadadi, A.; von Buelow, P. Design exploration by using a genetic algorithm and the Theory of Inventive Problem Solving (TRIZ). Autom. Constr. 2022, 141, 104354. [Google Scholar] [CrossRef]
- Yang, C.; Xu, T.; Ye, J. Applying TRIZ and Kansei engineering to the eco-innovative product design towards waste recycling with latent Dirichlet allocation topic model analysis. Eng. Appl. Artif. Intell. 2024, 133, 107962. [Google Scholar] [CrossRef]
- Wang, B.S.; He, M.; Li, C.S.; Wang, L.H.; Meng, H.W. Microstructure and biomechanical characterisation of jujube branches. Biosyst. Eng. 2020, 194, 165–176. [Google Scholar] [CrossRef]
- Coelho, A.L.D.; Santos, F.L.; Pinto, F.D.D.; de Queiroz, D.M. Dynamic test for determining the elastic modulus of coffee fruit-stem-branch system. Acta Sci.Technol. 2017, 39, 579–586. [Google Scholar] [CrossRef][Green Version]
- Jiao, H.; Luo, J.; Tang, A.; Wang, L.; Ma, C.; Li, Y.; Li, C. Design and Testing of the Double-Symmetric Eccentric Exciter for Fruit Tree Vibration Harvest. Agriculture 2024, 14, 570. [Google Scholar] [CrossRef]
- Niu, Z.J.; Xu, Z.; Deng, J.T.; Zhang, J.; Pan, S.J.; Mu, H.T. Optimal vibration parameters for olive harvesting from finite element analysis and vibration tests. Biosyst. Eng. 2022, 215, 228–238. [Google Scholar] [CrossRef]
- He, L.; Liu, X.; Du, X.; Wu, C. In-situ identification of shaking frequency for adaptive vibratory fruit harvesting. Comput. Electron. Agric 2020, 170, 105245. [Google Scholar] [CrossRef]
- Zhou, J.; Xu, L.Y.; Zhao, J.W.; Hang, X.C.; Zhou, H.P. Effective excitation conditions for the intense motion of the ginkgo seed-stem system during mechanical vibration harvesting. Biosyst. Eng. 2022, 215, 239–248. [Google Scholar] [CrossRef]
- Wang, Y.F.; Wang, W.Z.; Fu, H.; Yang, Z.; Lu, H.Z. Detachment patterns and impact characteristics of litchi fruit during vibrational harvesting. Sci. Hortic. 2022, 295, 110836. [Google Scholar] [CrossRef]
















| Numbering of Fruit Tree | Citrus Tree 1 | Citrus Tree 2 | Citrus Tree 3 |
|---|---|---|---|
| Line spacing/m | 5.6 | 5.6 | 5.6 |
| Spacing between trees/m | 4.8 | 4.8 | 4.8 |
| Trunk diameter/cm | 11.0 | 12.5 | 15.6 |
| Fruit tree height/m | 3.6 | 4.3 | 3.8 |
| Crown radius/m | 2.2 | 2.8 | 3.1 |
| Fruit quantity Na | 325 | 287 | 309 |
Disclaimer/Publisher’s Note: The statements, opinions and data contained in all publications are solely those of the individual author(s) and contributor(s) and not of MDPI and/or the editor(s). MDPI and/or the editor(s) disclaim responsibility for any injury to people or property resulting from any ideas, methods, instructions or products referred to in the content. |
© 2024 by the authors. Licensee MDPI, Basel, Switzerland. This article is an open access article distributed under the terms and conditions of the Creative Commons Attribution (CC BY) license (https://creativecommons.org/licenses/by/4.0/).
Share and Cite
Jiao, H.; Luo, J.; Wang, L.; Tang, A.; Li, C. Mechanism of Centrifugal Force Amplitude–Frequency Decoupling Exciters for Fruit Tree Vibration Harvest. Agriculture 2024, 14, 1858. https://doi.org/10.3390/agriculture14111858
Jiao H, Luo J, Wang L, Tang A, Li C. Mechanism of Centrifugal Force Amplitude–Frequency Decoupling Exciters for Fruit Tree Vibration Harvest. Agriculture. 2024; 14(11):1858. https://doi.org/10.3390/agriculture14111858
Chicago/Turabian StyleJiao, Haobo, Juming Luo, Lihong Wang, Aifei Tang, and Chengsong Li. 2024. "Mechanism of Centrifugal Force Amplitude–Frequency Decoupling Exciters for Fruit Tree Vibration Harvest" Agriculture 14, no. 11: 1858. https://doi.org/10.3390/agriculture14111858
APA StyleJiao, H., Luo, J., Wang, L., Tang, A., & Li, C. (2024). Mechanism of Centrifugal Force Amplitude–Frequency Decoupling Exciters for Fruit Tree Vibration Harvest. Agriculture, 14(11), 1858. https://doi.org/10.3390/agriculture14111858

