Technology for Distribution and Control of Agrobacterium tumefaciens in Cherry Tree Soil
Abstract
1. Introduction
2. Materials and Methods
2.1. Experimental Materials and Reagents
2.1.1. Bacterial Strains
2.1.2. Test Kit
2.2. Methods
2.2.1. Quantitative Primer Screening
2.2.2. Quantitative PCR of Soil Bacteria
2.3. Field Experiments
2.3.1. Overview of the Experimental Site
2.3.2. Experimental Agents
2.3.3. Experimental Methods
2.4. Data Statistics
3. Results
3.1. Screening of Specific Primers for A. tumefaciens
3.2. Quantitative Calibration Detection of Absolute Fluorescence
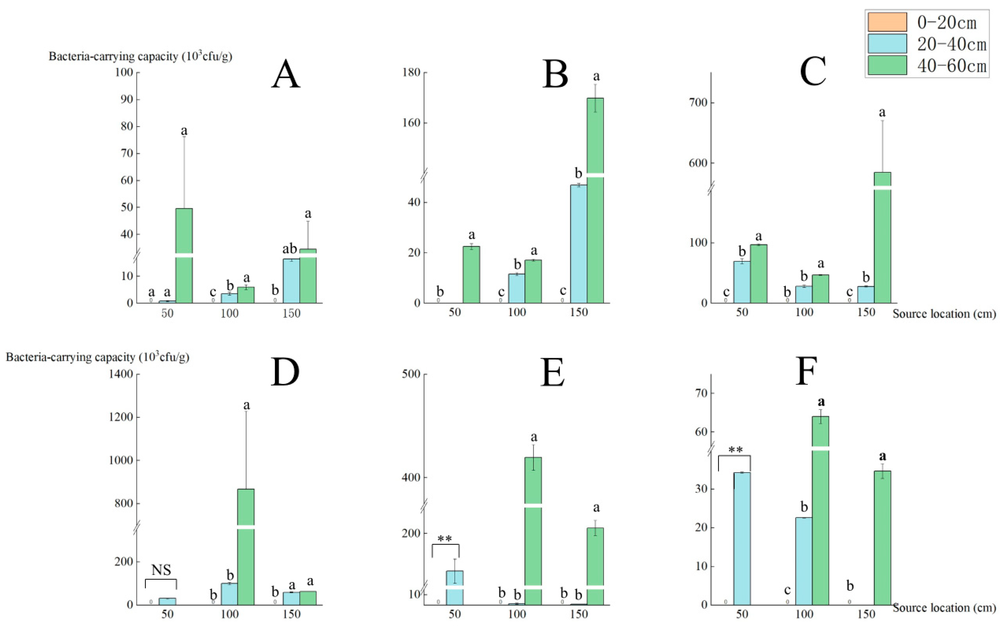
3.3. Distribution of Agrobacterium tumefaciens in Cherry Tree Root Soil
3.4. The Inhibitory Effect of Dazomet Fumigation on Agrobacterium tumefaciens
3.5. Effect of Root Drenching on Controlling Agrobacterium tumefaciens
4. Discussion
4.1. Detection and Distribution of Soil Bacteria
4.2. Control Methods for Agrobacterium tumefaciens in Cherry Tree Soil
5. Conclusions
Author Contributions
Funding
Institutional Review Board Statement
Data Availability Statement
Acknowledgments
Conflicts of Interest
References
- Ni, D.; Zhang, B. Identification and control of pathogenic bacteria of sakura crown gall in Japan. Microbiol. China 1999, 26, 4. [Google Scholar]
- Shen, J.; Yang, P.; Wang, Q.; Mao, C. Occurrence and risk assessment of domestic forest plant quarantine objects in Zhejiang Province. Plant Quar. 1998, 12, 4. [Google Scholar]
- Xie, Y.; Peng, Q.; Ji, Y.; Xie, A.; Yang, L.; Mu, S.; Li, Z.; He, T.; Xiao, Y.; Zhao, J.; et al. Isolation and Identification of Antibacterial Bioactive Compounds from Bacillus megaterium L2. Front. Microbiol. 2021, 12, 645484. [Google Scholar] [CrossRef]
- Yu, S. Occurrence conditions and prevention methods of crown gallosis. Hebei Fruit Tree 2016, 1. [Google Scholar]
- Ma, D.; Wang, H. Root cancer of fruit trees and its biological control. Chin. Fruit Tree 1995, 42–44. [Google Scholar]
- You, J.; Ma, D. Study on prevention and treatment of grape root cancerosis by radiosoil Bacillus. Chin. Fruit Tree 1993, 3. [Google Scholar]
- Zhang, C.; Lu, S.; Qian, G. Screening of antagonistic strains of peach root cancer. Shanghai J. Agric. Sci. 1988, 40–45. [Google Scholar]
- Wang, H.; Liang, Y.; Yun, T. Introduction of biocontrol agents to control the root cancer of fruit trees in China I. Basic investigation of the disease and isolation and identification of pathogenic bacteria. J. Beijing Agric. Univ. 1991. [Google Scholar]
- Li, S.; Zhang, Y. The occurrence and prevention of root cancerosis of fruit trees. Southwest Hortic. 2004, 32, 2. [Google Scholar]
- Lai, E.-M.; Kado, C. Processes VirB2 is the major subunit of promiscuous pilus of Agrobacterium tumefaciens. J. Bacteriol. 1998, 180, 2711. [Google Scholar] [CrossRef]
- Hatoh, K.; Izumitsu, K.; Morita, A.; Shimizu, K.; Ohta, A.; Kawai, M. Transformation of the mushroom species Hypsizigus marmoreus, Flammulina velutipes, and Grifola frondosa by an Agrobacterium-mediated method using a universal transformation plasmid. Mycoscience 2013, 54, 8–12. [Google Scholar] [CrossRef]
- Lee, H.; Humann, J.L.; Pitrak, J.S.; Cuperus, J.T.; Parks, T.D.; Whistler, C.A. translation start sequences affect the efficiency of silencing of Agrobacterium tumefaciens t- dna oncogenes. Plant Physiol. 2019, 133, 966–977. [Google Scholar] [CrossRef][Green Version]
- Yakabe, L.E.; Parker, S.R.; Kluepfel, D.A. Role of Systemic Agrobacterium tumefaciens Populations in Crown Gall Incidence on the Walnut Hybrid Rootstock Paradox. Plant Dis. 2012, 96, 1415–1421. [Google Scholar] [CrossRef]
- Feng, Z. Identification of Pathogen of Apple Crown Gall and Establishment of Rapid Detection System of Soil Bacterium for Crown Gall; China Agricultural University: Beijing, China, 2022. [Google Scholar]
- Tan, B.S.; Yabuki, J.; Matsumoto, S.; Kageyama, K.; Fukui, H. PCR primers for identification of opine types of Agrobacterium tumefaciens in Japan. J. Gen. Plant Pathol. 2003, 69, 258–266. [Google Scholar] [CrossRef]
- Haas, J.H.; Moore, L.W.; Ream, W.; Manulis, S. Universal PCR primers for detection of phytopathogenic Agrobacterium strains. Appl. Environ. Microbiol. 1995, 61, 2879–2884. [Google Scholar] [CrossRef]
- Weisburg, W.G.; Barns, S.M.; Pelletier, D.A.; Lane, D.J. 16S ribosomal DNA amplification for phylogenetic study. J. Bacteriol. 1991, 173, 697–703. [Google Scholar] [CrossRef]
- Shi, J. Molecular Detection Technology of Kiwifruit Crown Gall Bacteria; Guizhou University: Guiyang, China, 2022. [Google Scholar]
- Barker, R.F.; Idler, K.B.; Thompson, D.V.; Kemp, J.D. Nucleotide sequence of the T-DNA region from the Agrobacterium tumefaciens octopine Ti plasmid pTi15955. Plant Mol. Biol. 1983, 2, 335–350. [Google Scholar] [CrossRef]
- Li, Q.; Guo, R.J.; Li, S.D.; Li, S.F.; Wang, H.Q. Determination of tumorigenic Agrobacterium density in soil by real-time PCR assay and its effect on crown gall disease severity. Eur. J. Plant Pathol. 2015, 142, 25–36. [Google Scholar] [CrossRef]
- Yang, S.; Sun, Y.; Zhao, X.; Wang, Q.; Bai, Q.; Fang, W.; Cao, A. Soil Quality Investigation and Improvement Measures in Cerasus Plantations in Beijing Yuyuantan Park. Zhejiang For. Sci. Technol. 2023, 43, 38–44. [Google Scholar]
- Ren, X.; Luo, C.; Yang, G. Identification of new biological varieties of Agrobacterium tumefaciens. J. Plant Pathol. 1990, 37–42. [Google Scholar]
- Ainley, W.M.; Mcneil, K.J.; Hill, J.W.; Lingle, W.L.; Simpson, R.B.; Brenner, M.L.; Nagao, R.T.; Key, J.L. Regulatable endogenous production of cytokinins up to toxic levels in transgenic plants and plant tissues. Plant Mol. Biol. 1993, 22, 13–23. [Google Scholar] [CrossRef]
- Wang, H.; Li, J.; Sui, X.; Wang, J. Rose crown gall pathogens and their sensitive bio-control bacteria. J. China Agric. Univ. 1998, 5. [Google Scholar]
- Zhang, J.; Zhou, J.; Xiang, W. Study on the types of Agrobacterium and its sensitivity to agrobacillin in Populus populus root carcinoma in China. J. Microbiol. 1988, 16–22+103. [Google Scholar]
- Wang, Z.; Jin, Y.; Tian, Z.; Wang, G.; Lin, L. Identification of the pathogen from Cerasus crown gall in Ningbo. J. Plant Prot. 2014, 40, 147–150+164. [Google Scholar]
- Zhao, X.; Hou, S.; Sun, Y.; Zhang, G.; Gao, J. Investigation on the Incidence of Cerasus Tree Root Nodule Disease and Evaluation of Dfferent Treatments on Cerasus Tree Root Nodule Disease in Yuyuantan Park. J. Anhui Agric. Sci. 2022, 50, 138–139+142. [Google Scholar]
- Wang, Y. First Report of Crown Gall, Caused by Agrobacterium tumefaciens on Soapberry in China. Plant Dis. 2013, 97, 685. [Google Scholar] [CrossRef]
- Carstens, E.; Dawood, Z.; Mansvelt, E.L.; Serfontein, S.; Malan, D.G. First Report of Crown Gall, Caused by Agrobacterium tumefaciens on Geraldton Wax (Chamelaucium uncinatum) in South Africa. Plant Dis. 1999, 83, 783. [Google Scholar] [CrossRef]
- Yang, W.; Zhang, Z.; Li, S. In henan province and gansu province pear tree crown gall pathogen identification. J. Plant Prot. 2020, 46, 55–59. [Google Scholar]
- Li, S.; Zhang, P.; Li, J.; Sun, Q.; Zhang, F. Analysis of cherry three major diseases—Crown gall, root neck rot, flow gum. Fruit Trees Yantai 2017, 27–30. [Google Scholar]
- Yuan, Z.; Zhang, Q.; Zhao, J.; Jiang, X.; Li, Y.; Zhang, X. Progress in cherry crown gall disease. Fruit Trees China 2024, 41–46+57. [Google Scholar] [CrossRef]
- He, Y.; Chi, S.; Zhao, B.; Li, B.; Wang, Y.; Wang, Z. Evaluation of Effect of Methyl Bromide Soil Fumigation & Pesticide Root Soaking in Control of Agrobacterium tumefaciens. Zhejiang For. Sci. Technol. 2011, 31, 60–62. [Google Scholar]
- Yua, P.; Wang, G.; Chen, Z.; Jin, W. The preliminary research on the degassing velocity of container fumigation with methyl bromide. Phytoquarantine 2006, 209–212. [Google Scholar] [CrossRef]
- Dang, A.; Pei, Z. Study on the Dynamics of Environmental Concentrations of Methyl Bromide and Other Fumigants. Port Health Control 2024, 29, 10–13. [Google Scholar]
- Yang, S.; Fang, W.; Bai, Q.; Wang, Q.; Yan, D.; Cao, A. Effect of dazomet fumigation on nitrogen uptake and utilization in tobacco. J. Plant Prot. 2024, 50, 100–110. [Google Scholar]
- Fang, W.; Wang, Q.; Yan, D.; Cao, B.; Xu, J.; Jin, X. Research progresses and future development trends of soil fumigant dazomet in control of soil-borne diseases. J. Plant Prot. 2023, 50, 40–49. [Google Scholar]
- Fang, W.; Cao, A.; Wang, Q.; Li, Y.; Jin, X.; Qiu, Y.; Zhao, Q.; Zhao, H. A New Integrated Soil Disinfection Machine Improves the Uniformity of Dazomet in Soil. Sci. Agric. Sin. 2021, 54, 2570–2580. [Google Scholar]







| Bacterial Strain | Source | Code Name |
|---|---|---|
| A. tumefaciens standard strain | BNA Biological Strain Preservation Center | BN-1 |
| A. tumefaciens | Soil in Beijing | YY-1 |
| Kit | Name | Manufacturer |
|---|---|---|
| Bacterial Genomic DNA Purification Kit (including RnaseA) | EasyPure Bacteria Genomic DNA Kit | TRAN (Beijing, China) |
| Fluorescence dye | SsoFast EvaGreen Supermix | BIO-RAD (USA) |
| Plasmid mini extraction kit | EasyPure Plasmid MiniPrep Kit | TRAN (Beijing, China) |
| PCR Product Purification Kit | FastPure Gel DNA Extraction Mini Kit | Novizan (Nanjing, China) |
| Soil genomic DNA purification kit | FastDNA TM SPIN Kit for Soil | MP (USA) |
| T1 Gene Cloning Kit (dual antibodies) | pEASY-T1 Cloning Kit | TRAN (Beijing, China) |
| Primer Name | Base Sequence (5′to 3′) | Annealing Temperature and Cycle Number | Target Gene Size (bp) | Reference Literature |
|---|---|---|---|---|
| B1R8 | CGATAAAGGGAGTGAGAGACTCC | 60 °C | 178 | Feng Zekun [14] |
| B1F8 | CCAGTAAGAATGTACAACACACGA | 36 cycles | ||
| virD2.F | TTGGAATATCTGTCCCGGAAG | 60 °C | 224 | Yakabe and Parker [12] |
| virD2.R | CTTGTACCAGCAGGGAAGCTTA | 36 cycles | ||
| tms 2F1 | TTTCAGCTGCTAGGGCCACATCAG | 60 °C | 220 | Tan and Yabuki [15] |
| tms 2R2 | TCGCCATGGAAACGCCGGAGTAGG | 36 cycles | ||
| ipt 3F | CGGACGACCAACAGTGAAGA | 50 °C | 247 | Haas and Moore [16] |
| ipt 3R | TTCGGGTAACTTGTGGCGAA | 35 cycles | ||
| F primer | TCCTACGGGAGGCAGCAGT | 50 °C | 466 | Weisburg [17] |
| R primer | GGACTACCAGGGTATCTAATCCTGTT | 35 cycles | ||
| Aar F | GTTACGAGCTGATGATGGAAAGC | 53 °C | 579 | Shi Jinqiao [18] |
| Aar R | CACCATCCTTCTTCATAATCGCG | 35 cycles | ||
| Afa F | GTCAACACCATGCTGGATATGAG | 55.9 °C | 505 | Shi Jinqiao [18] |
| Afa R | CAGGCAACATGATCGTTACGAC | 40 cycles | ||
| CYT | GATCGGGTCCAATGCTGT | 55 °C | 427 | Barker and Idler [19] |
| CYT | GATATCCATCGATCTCTT | 35cycles |
| Chemical Used | Dosage | Use | Manufacturer | Sampling Point Names |
|---|---|---|---|---|
| 1.8% avermectin emulsion | 1 mL/m2 | spray | Shandong Yijia Agrochemical Co., Ltd. (Jinan, China) | 1 (Great Lawn), 11 (Wan Ying Garden), 17 (Li Ying Garden) |
| 98% dazomet granules | 35 g/m2 | soil incorporation | Nantong Shizhuang Chemical Co., Ltd. (Nantong, China) | |
| 25% oligosaccharide—ethylicin microemulsion | in a 1:1000 dilution | root drenching | Hainan Zhengye Biotechnology Co., Ltd. | 1, 2, 3 |
| 3% zhongshengmycin | in a 1:600 dilution | root drenching | Jiangsu Wanyuan Biotechnology Co., Ltd. | 4, 5, 6 |
| Sampling Site | Sampling Depth (cm) | Bacterial Load Before Treatment (1 × 103 cfu/g) | Bacterial Load Post-Treatment (1 × 103 cfu/g) | Relative Efficacy (%) |
|---|---|---|---|---|
| 1 | 0–20 | 0 | 0 | 100 a |
| 20–40 | 10.89 ± 0.65 | 0 | 100 a | |
| 40–60 | 28.00 ± 0.145 | 0 | 100 a | |
| 11 | 0–20 | 0 | 0 | 100 a |
| 20–40 | 17.56 ± 0.86 | 0.38 ± 0.15 | 97.84 ± 0.87 a | |
| 40–60 | 20.17 ± 2.81 | 4.18 ± 1.81 | 79.28 ± 6.54 b | |
| 17 | 0–20 | 0 | 0 | 100 a |
| 20–40 | 1.36 ± 0.13 | 0 | 100 a | |
| 40–60 | 5.52 ± 0.43 | 0.47 ± 0.11 | 91.54 ± 1.57 b |
| Pharmaceutical Name | 20~40 (cm) | 40~60 (cm) |
|---|---|---|
| 25% Oligosaccharide–Ethylicin (1000×) | 79.71 ± 13.47 | 0 |
| 3% Zhongshengmycin (600×) | 98.09 ± 1.91 NS | 84.47 ± 3.16 ** |
Disclaimer/Publisher’s Note: The statements, opinions and data contained in all publications are solely those of the individual author(s) and contributor(s) and not of MDPI and/or the editor(s). MDPI and/or the editor(s) disclaim responsibility for any injury to people or property resulting from any ideas, methods, instructions or products referred to in the content. |
© 2024 by the authors. Licensee MDPI, Basel, Switzerland. This article is an open access article distributed under the terms and conditions of the Creative Commons Attribution (CC BY) license (https://creativecommons.org/licenses/by/4.0/).
Share and Cite
Liu, S.; Zheng, Y.; Yu, K.; Gao, S.; Zhao, X.; Cao, A.; Han, Q. Technology for Distribution and Control of Agrobacterium tumefaciens in Cherry Tree Soil. Agriculture 2024, 14, 1857. https://doi.org/10.3390/agriculture14111857
Liu S, Zheng Y, Yu K, Gao S, Zhao X, Cao A, Han Q. Technology for Distribution and Control of Agrobacterium tumefaciens in Cherry Tree Soil. Agriculture. 2024; 14(11):1857. https://doi.org/10.3390/agriculture14111857
Chicago/Turabian StyleLiu, Shenyan, Yiwen Zheng, Kunpeng Yu, Shimeng Gao, Xiaojuan Zhao, Aocheng Cao, and Qingli Han. 2024. "Technology for Distribution and Control of Agrobacterium tumefaciens in Cherry Tree Soil" Agriculture 14, no. 11: 1857. https://doi.org/10.3390/agriculture14111857
APA StyleLiu, S., Zheng, Y., Yu, K., Gao, S., Zhao, X., Cao, A., & Han, Q. (2024). Technology for Distribution and Control of Agrobacterium tumefaciens in Cherry Tree Soil. Agriculture, 14(11), 1857. https://doi.org/10.3390/agriculture14111857
