Calibration and Testing of Parameters for the Discrete Element Simulation of Soil Particles in Paddy Fields
Abstract
1. Introduction
2. Materials and Methods
2.1. Soil Basic Parameters
2.2. Contact Model Theory and Parameters to Be Calibrated
2.3. Characteristics of Soil Layers in Paddy Fields
2.3.1. Tillage Calibration Test
2.3.2. Calibration Test for Plough Base Layer
2.4. Significance of DEM Parameters on Particle Response
2.5. Center Composite Design Experiment
3. Results
3.1. Measurements of Soil Physical Parameters
3.2. Significance of the Effect of DEM Parameters on Particles
3.3. Calibration Parameters
3.3.1. Tillage Parameters
3.3.2. Parameters of the Plough Substrate
3.4. Simulation Verification of an Optimal Parameter Set
3.5. Simulation Results and Discussion
3.5.1. DEM Modelling
3.5.2. Testing for Model Validation
4. Discussion
5. Conclusions
- (1)
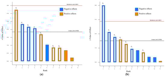
- The results of the Plackett–Burman test showed that the Coefficient of Restitution, Contact Plasticity Ratio, coefficient of rolling friction, and Tangential Stiff Multiplier in the contact model were significant for axial pressure. Contact Plasticity Ratio was highly significant for deflection. The Coefficient of Restitution, surface energy, Contact Plasticity Ratio, and Tensile Exp were significant for deflection. The coefficient of static friction had almost no effect on axial pressure and slump.
- (2)
- The regression model was solved and fitted to the measured values to give the Coefficient of Restitution, Contact Plasticity Ratio, Tensile Exp, and surface energy of 0.49, 0.45, 3.74, and 18.52 J/m2, respectively; The Coefficient of Restitution, Contact Plasticity Ratio, coefficient of rolling friction, and Tangential Stiff Multiplier were 0.47, 0.49, 0.32, and 0.31, respectively. The slump obtained through constructing the discrete element soil model with the optimal parameter set exhibits a relative error of 2.14% compared to the measured value, while the axial pressure demonstrates a relative error of 2.57% from the measured value.
- (3)
- The optimized discrete element model underwent cone penetration tests and validation through field trials. The results of the validation test revealed no significant difference in soil particle compactness, indicating that the model can accurately simulate soil mechanical properties. This model serves as a valuable reference for further research on the dynamic characteristics of the entire traveling wheel of high-speed precision seeding machinery in paddy fields.
Author Contributions
Funding
Institutional Review Board Statement
Data Availability Statement
Conflicts of Interest
References
- Nawaz, A.; Rehman, A.U.; Rehman, A.; Ahmad, S.; Siddique, K.H.M.; Farooq, M. Increasing sustainability for rice production systems. J. Cereal Sci. 2022, 103, 103400. [Google Scholar] [CrossRef]
- Zhang, M.H.; Luo, X.W.; Wang, Z.M.; Wang, B.; Xue, Z. Optimization design and experiment of profiling and slide board mechanism of precision rice hill-drop drilling machine. Trans. Chin. Soc. Agric. Eng. 2017, 33, 18–26. [Google Scholar]
- Zeng, Z.W.; Ma, X.; Cao, X.L. Critical review of applications of discrete element method in agricultural engineering. Trans. Chin. Soc. Agric. Mach. 2021, 52, 1–20. [Google Scholar]
- Ding, Q.S.; Ren, J.; Belal, E.A. DEM Analysis of Subsoiling Process in Wet Clayey Paddy Soil. Trans. Chin. Soc. Agric. Mach. 2017, 48, 38–48. [Google Scholar]
- Li, F.Y.; Ma, X.; Tan, S.Y. Simulative Calibration and Experiment on Main Contact Parameters of Discrete Elements for Rice Bud Seeds. Trans. Chin. Soc. Agric. Mach. 2018, 49, 93–99, (In Chinese with English abstract). [Google Scholar]
- Zhao, J.K.; Ding, Q.S.; Zhang, W.Y. Coupling Analysis of Transplanter Wheel and Paddy Soil in Steering Process. Chin. J. Soil Sci. 2018, 49, 1319–1325. [Google Scholar]
- Mak, J.; Chen, Y.; Sadek, M.A. Determining parameters of a discrete element model for soil-tool interaction. Soil Tillage Res. 2012, 118, 117–122. [Google Scholar] [CrossRef]
- Li, B.; Chen, Y.; Chen, J. Modeling of soil-claw interaction using the discrete element method (DEM). Soil Tillage Res. 2016, 158, 177–185. [Google Scholar] [CrossRef]
- Chen, Y.; Munkholm, L.J.; Nyord, T. A discrete element model for soil-sweep interaction in three different soils. Soil Tillage Res. 2013, 126, 34–41. [Google Scholar] [CrossRef]
- Xiao, X.W.; Tan, Y.Q.; Zhang, H. Experimental and DEM studies on the particle mixing performance in rotating drums: Effect of area ratio. Powder Technol. 2017, 314, 182–194. [Google Scholar] [CrossRef]
- Liu, W.Z.; He, J.; Li, H.W. Calibration of Simulation Parameters for Potato Minituber Based on EDEM. Trans. Chin. Soc. Agric. Mach. 2018, 49, 125–135. [Google Scholar]
- Shi, L.R.; Zhao, W.Y.; Sun, W. Parameter calibration of soil particles contact model of farmland soil in northwest arid region based on discrete element method. Trans. Chin. Soc. Agric. Eng. 2017, 33, 181–187. [Google Scholar]
- Zhang, R.; Han, D.L.; Ji, Q.L. Calibration methods of sandy soil parameters in simulation of discrete element method. Trans. Chin. Soc. Agric. Mach. 2017, 48, 49–56. [Google Scholar]
- Li, J.W.; Tong, J.; Hu, B. Calibration of parameters of interaction between clayey black soil with different moisture content and soil-engaging component in northeast China. Trans. Chin. Soc. Agric. Eng. 2019, 35, 130–140. [Google Scholar]
- Xiang, W.; Wu, M.L.; Lü, J.N. Calibration of simulation physical parameters of clay loam based on soil accumulation test. Trans. Chin. Soc. Agric. Eng. 2019, 35, 116–123. [Google Scholar]
- Zhou, H.; Zhou, T.M.; Wang, X.Z. Determination of Discrete Element Modelling Parameters of a Paddy Soil with a High Moisture Content (>40%). Agriculture 2022, 12, 2000. [Google Scholar] [CrossRef]
- Xie, F.P.; Wu, Z.Y.; Wang, X.S. Calibration of discrete element parameters of soils based on unconfined compressive strength test. Trans. Chin. Soc. Agric. Eng. 2020, 39, 39–47. [Google Scholar]
- Thakur, S.C.; Morrissey, J.P.; Sun, J. Micromechanical analysis of cohesive granular materials using the discrete element method with an adhesive elasto-plastic contact model. Granul. Matter 2014, 16, 383–400. [Google Scholar] [CrossRef]
- Wang, X.L.; Zhong, X.K.; Geng, Y.L. Construction and parameter calibration of the nonlinear elastoplastic discrete element model for no-tillage soil compaction. Trans. Chin. Soc. Agric. Eng. 2021, 37, 100–107. [Google Scholar]
- Long, Q.; Ying, C.; Mohammad, S. Simulations of soil flow properties using the discrete element method (DEM). Comput. Electron. Agric. 2019, 157, 254–260. [Google Scholar]
- Thomas, R.; André, K. DEM parameter calibration of cohesive bulk materials using a simple angle of repose test. Particuology 2019, 45, 105–115. [Google Scholar]
- Marcos, A.M.; José, M.F.; Francisco, A. Determination of the Angle of Repose and Coefficient of Rolling Friction for Wood Pellets. Agronomy 2022, 12, 424. [Google Scholar]
- Ren, J.H.; Wu, T.; Mo, W.Y. Discrete Element Simulation Modeling Method and Parameters Calibration of Sugarcane Leaves. Agronomy 2022, 12, 1796. [Google Scholar] [CrossRef]
- Wu, Z.Y.; Wang, X.S.; Liu, D.W. Calibration of discrete element parameters and experimental verification for modelling subsurface soils. Biosyst. Eng. 2021, 212, 215–227. [Google Scholar] [CrossRef]
- Choi, S.R.; Bansal, N.P. Mechanical Properties of SOFC Sealglass Composites; John Wiley & Sons: Hoboken, NJ, USA, 2008. [Google Scholar]
- Poulsen, R.; Nielsen, B.N.; Ibsen, L.B. Correlation between cone penetration rate and measured cone penetration parameters in silty soils. In Proceedings of the 18th International Conference on Soil Melchanics and Geotechnical Engineering (18th ICSMGE), Paris, France, 2–6 September 2013; Volume 1. [Google Scholar]
- Wang, S.; Yu, Z.H.; Aorigele; Zhang, W.J. Study on the modeling method of sunflower seed particles based on the discrete element method. Comput. Elect. Agric. 2022, 198, 107012. [Google Scholar] [CrossRef]
- Su, Y.; Xu, Y.; Cui, T.; Gao, X.J.; Xia, G.Y.; Li, Y.B.; Qiao, M.M. Determination and interpretation of bonded particle model parameters for simulation of maize kernels. Biosyst. Eng. 2021, 210, 193–205. [Google Scholar] [CrossRef]









| Materials | Parameter | Unit | Value | Source |
|---|---|---|---|---|
| Tillage soil-soil | Poisson’ s Ratio (ν) | 0.3 | [9] | |
| Solids Density () | g/cm3 | 1.7 | measurement | |
| Shear Modulus (G) | Pa | 5.0 × 105 | [9] | |
| Plow subsoil—soil | ν | 0.38 | [24] | |
| g/cm3 | 2.2 | measurement | ||
| G | Pa | 1.3 × 106 | measurement | |
| EquipMlaterial | ν | 0.3 | [25] | |
| g/cm3 | 1.2 | [25] | ||
| G | Pa | 3.16 × 109 | [25] | |
| Tillage soil-soil | Coefficient of Restitution e | To be calibrated | ||
| Coefficient of static friction (μs) | To be calibrated | |||
| Coefficient of rolling friction (μr) | To be calibrated | |||
| Plow subsoil—soil | e | To be calibrated | ||
| μs | To be calibrated | |||
| μr | To be calibrated | |||
| Soil-EquipMlaterial | e | 0.3 | [15] | |
| μs | 0.6 | [15] | ||
| μr | 0.1 | [15] | ||
| Contact model | Surface energy (∆γ) | To be calibrated | ||
| Contact Plasticity Ratio () | To be calibrated | |||
| Tensile Exp (Rm) | To be calibrated | |||
| Tangential Stiff Multiplier (Ktm) | To be calibrated |
| Parameter | Factors | Levels | |
|---|---|---|---|
| −1 | 1 | ||
| X1 | Coefficient of Restitution | 0.2 | 0.6 |
| X2 | coefficient of static friction | 0.3 | 0.9 |
| X3 | coefficient of rolling friction | 0.2 | 0.6 |
| X4 | surface energy | 10 | 30 |
| X5 | Contact Plasticity Ratio | 0.2 | 0.6 |
| X6 | Tensile Exp | 1.5 | 4 |
| X7 | Tangential Stiff Multiplier | 0.3 | 0.9 |
| X8–X11 | Virtual parameter | —— | —— |
| Levels | X1 | X4 | X5 | X6 |
|---|---|---|---|---|
| γ | 0.68 | 34.14 | 0.68 | 4.5 |
| 1 | 0.6 | 30 | 0.6 | 4 |
| 0 | 0.41 | 20 | 0.41 | 2.75 |
| −1 | 0.22 | 10 | 0.22 | 1.5 |
| −γ | 0.14 | 5.86 | 0.14 | 0.98 |
| Levels | X1 | X3 | X5 | X7 |
|---|---|---|---|---|
| γ | 0.68 | 0.68 | 0.68 | 0.95 |
| 1 | 0.6 | 0.6 | 0.6 | 0.9 |
| 0 | 0.41 | 0.41 | 0.41 | 0.6 |
| −1 | 0.22 | 0.22 | 0.22 | 0.3 |
| −γ | 0.14 | 0.14 | 0.14 | 0.26 |
| No. | X1 | X4 | X5 | X6 | Slump (mm) |
|---|---|---|---|---|---|
| 1 | 0.22 | 10 | 0.22 | 1.5 | 195 |
| 2 | 0.6 | 10 | 0.22 | 1.5 | 185 |
| 3 | 0.22 | 10 | 0.6 | 1.5 | 190 |
| 4 | 0.6 | 10 | 0.6 | 1.5 | 155 |
| 5 | 0.22 | 30 | 0.22 | 1.5 | 200 |
| 6 | 0.6 | 30 | 0.22 | 1.5 | 180 |
| 7 | 0.22 | 30 | 0.6 | 1.5 | 230 |
| 8 | 0.6 | 30 | 0.6 | 1.5 | 40 |
| 9 | 0.22 | 10 | 0.22 | 4 | 200 |
| 10 | 0.6 | 10 | 0.22 | 4 | 195 |
| 11 | 0.22 | 10 | 0.6 | 4 | 160 |
| 12 | 0.6 | 10 | 0.6 | 4 | 145 |
| 13 | 0.22 | 30 | 0.22 | 4 | 205 |
| 14 | 0.6 | 30 | 0.22 | 4 | 195 |
| 15 | 0.22 | 30 | 0.6 | 4 | 215 |
| 16 | 0.6 | 30 | 0.6 | 4 | 50 |
| 17 | 0.14 | 20 | 0.41 | 4 | 170 |
| 18 | 0.68 | 20 | 0.41 | 2.75 | 145 |
| 19 | 0.41 | 20 | 0.14 | 2.75 | 210 |
| 20 | 0.41 | 20 | 0.68 | 2.75 | 160 |
| 21 | 0.41 | 5.86 | 0.41 | 2.75 | 190 |
| 22 | 0.41 | 34.14 | 0.41 | 2.75 | 147 |
| 23 | 0.41 | 20 | 0.41 | 1 | 153 |
| 24 | 0.41 | 20 | 0.41 | 4.5 | 155 |
| 25 | 0.41 | 20 | 0.41 | 2.75 | 150 |
| 26 | 0.41 | 20 | 0.41 | 2.75 | 152 |
| 27 | 0.41 | 20 | 0.41 | 2.75 | 148 |
| No. | X1 | X3 | X5 | X7 | Axial Force (N) |
|---|---|---|---|---|---|
| 1 | 0.22 | 0.22 | 0.22 | 0.3 | 246.5 |
| 2 | 0.22 | 0.22 | 0.22 | 0.3 | 249.7 |
| 3 | 0.22 | 0.22 | 0.6 | 0.3 | 187.3 |
| 4 | 0.6 | 0.22 | 0.6 | 0.3 | 179.5 |
| 5 | 0.22 | 0.6 | 0.22 | 0.3 | 234.1 |
| 6 | 0.6 | 0.6 | 0.22 | 0.3 | 216.6 |
| 7 | 0.22 | 0.6 | 0.6 | 0.3 | 174.12 |
| 8 | 0.6 | 0.6 | 0.6 | 0.3 | 143.8 |
| 9 | 0.22 | 0.22 | 0.22 | 0.8 | 235.6 |
| 10 | 0.6 | 0.22 | 0.22 | 0.8 | 223.95 |
| 11 | 0.22 | 0.22 | 0.6 | 0.8 | 146.3 |
| 12 | 0.6 | 0.22 | 0.6 | 0.8 | 135.7 |
| 13 | 0.22 | 0.6 | 0.22 | 0.8 | 240.4 |
| 14 | 0.6 | 0.6 | 0.22 | 0.8 | 212 |
| 15 | 0.22 | 0.6 | 0.6 | 0.8 | 169.5 |
| 16 | 0.6 | 0.6 | 0.6 | 0.8 | 126.36 |
| 17 | 0.14 | 0.41 | 0.41 | 0.55 | 223.13 |
| 18 | 0.68 | 0.41 | 0.41 | 0.55 | 190.5 |
| 19 | 0.41 | 0.41 | 0.14 | 0.55 | 225.2 |
| 20 | 0.41 | 0.41 | 0.68 | 0.55 | 113.7 |
| 21 | 0.41 | 0.14 | 0.41 | 0.55 | 168.5 |
| 22 | 0.41 | 0.68 | 0.41 | 0.55 | 154.68 |
| 23 | 0.41 | 0.41 | 0.41 | 0.2 | 176.1 |
| 24 | 0.41 | 0.41 | 0.41 | 0.9 | 153.9 |
| 25 | 0.41 | 0.41 | 0.41 | 0.55 | 155.2 |
| 26 | 0.41 | 0.41 | 0.41 | 0.55 | 153.9 |
| 27 | 0.41 | 0.41 | 0.41 | 0.55 | 155.3 |
Disclaimer/Publisher’s Note: The statements, opinions and data contained in all publications are solely those of the individual author(s) and contributor(s) and not of MDPI and/or the editor(s). MDPI and/or the editor(s) disclaim responsibility for any injury to people or property resulting from any ideas, methods, instructions or products referred to in the content. |
© 2024 by the authors. Licensee MDPI, Basel, Switzerland. This article is an open access article distributed under the terms and conditions of the Creative Commons Attribution (CC BY) license (https://creativecommons.org/licenses/by/4.0/).
Share and Cite
Zhong, P.; Jia, W.; Yang, W.; He, J.; Zhang, E.; Yu, D.; Xu, Y.; Chen, J.; Peng, F.; Zeng, G.; et al. Calibration and Testing of Parameters for the Discrete Element Simulation of Soil Particles in Paddy Fields. Agriculture 2024, 14, 118. https://doi.org/10.3390/agriculture14010118
Zhong P, Jia W, Yang W, He J, Zhang E, Yu D, Xu Y, Chen J, Peng F, Zeng G, et al. Calibration and Testing of Parameters for the Discrete Element Simulation of Soil Particles in Paddy Fields. Agriculture. 2024; 14(1):118. https://doi.org/10.3390/agriculture14010118
Chicago/Turabian StyleZhong, Peizhao, Weiqing Jia, Wenwu Yang, Jianfei He, Erli Zhang, Dongyang Yu, Yuhang Xu, Jianpeng Chen, Feihu Peng, Guoxiang Zeng, and et al. 2024. "Calibration and Testing of Parameters for the Discrete Element Simulation of Soil Particles in Paddy Fields" Agriculture 14, no. 1: 118. https://doi.org/10.3390/agriculture14010118
APA StyleZhong, P., Jia, W., Yang, W., He, J., Zhang, E., Yu, D., Xu, Y., Chen, J., Peng, F., Zeng, G., Zhang, C., Zeng, S., Gao, B., Pei, H., & Wang, Z. (2024). Calibration and Testing of Parameters for the Discrete Element Simulation of Soil Particles in Paddy Fields. Agriculture, 14(1), 118. https://doi.org/10.3390/agriculture14010118
