Spatial Characteristics and Driving Forces of the Water Footprint of Spring Maize Production in Northern China
Abstract
1. Introduction
2. Materials and Methods
2.1. Study Area
2.2. Data Sources
2.3. CROPWAT Model
2.4. Calculation of WF
2.5. Spatial Autocorrelation Analysis (SAA)
2.6. Driving Factors
3. Results
3.1. WF Characteristics of Spring Maize Production
3.1.1. Characteristics of the Spring Maize GWF
3.1.2. Characteristics of the Spring Maize BWF
3.1.3. Characteristics of the Spring Maize GYWF
3.1.4. Total Water Footprint (TWF)
3.2. Spatial Characteristics of WFs of Spring Maize Production
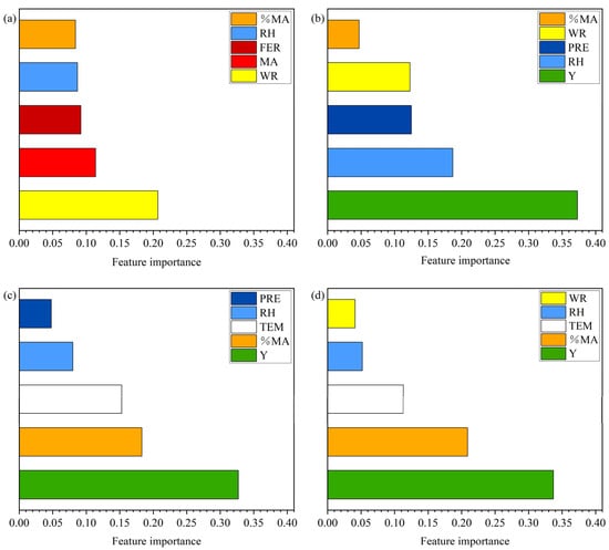
3.3. Driving Force Analysis
4. Discussion
4.1. Analysis of Spatial Differences in the Water Footprint of Spring Maize Production in Northeast China
4.2. Driving Factors and Spring Maize WF
4.3. Recommendations for the Future Development of Spring Maize Production in Northeast China Based on Water Footprint
5. Conclusions
Author Contributions
Funding
Institutional Review Board Statement
Data Availability Statement
Conflicts of Interest
References
- Greve, P.; Kahil, T.; Mochizuki, J.; Schinko, T.; Satoh, Y.; Burek, P.; Fischer, G.; Tramberend, S.; Burtscher, R.; Langan, S.; et al. Global Assessment of Water Challenges under Uncertainty in Water Scarcity Projections. Nat. Sustain. 2018, 1, 486–494. [Google Scholar] [CrossRef]
- Cai, B.; Zhang, W.; Hubacek, K.; Feng, K.; Li, Z.; Liu, Y.; Liu, Y. Drivers of Virtual Water Flows on Regional Water Scarcity in China. J. Clean. Prod. 2019, 207, 1112–1122. [Google Scholar] [CrossRef]
- Li, C.; Jiang, T.T.; Luan, X.B.; Yin, Y.L.; Wu, P.T.; Wang, Y.B.; Sun, S.K. Determinants of Agricultural Water Demand in China. J. Clean. Prod. 2021, 288, 125508. [Google Scholar] [CrossRef]
- Zhao, J.; Han, T.; Wang, C.; Shi, X.; Wang, K.; Zhao, M.; Chen, F.; Chu, Q. Combined Application of the EM-DEA and EX-ACT Approaches for Integrated Assessment of Resource Use Efficiency, Sustainability and Carbon Footprint of Smallholder Maize Production Practices in Sub-Saharan Africa. Sustain. Prod. Consum. 2022, 263, 60366–60382. [Google Scholar] [CrossRef]
- Hoekstra, A.Y.; Chapagain, A.K.; Aldaya, M.M.; Hoekstra, M. The Water Footprint Assessment Manual: Setting the Global Standard; Routledge: London, UK, 2011. [Google Scholar]
- Holmatov, B.; Schyns, J.F.; Krol, M.S.; Gerbens-Leenes, P.W.; Hoekstra, A.Y. Can Crop Residues Provide Fuel for Future Transport? Limited Global Residue Bioethanol Potentials and Large Associated Land, Water and Carbon Footprints. Renew. Sustain. Energy Rev. 2021, 149, 111417. [Google Scholar] [CrossRef]
- Wen, M.; Chen, L. Global Food Crop Redistribution Reduces Water Footprint without Compromising Species Diversity. J. Clean. Prod. 2023, 383, 135437. [Google Scholar] [CrossRef]
- Zhao, H.; Miller, T.R.; Ishii, N.; Kawasaki, A. Global Spatio-Temporal Change Assessment in Interregional Water Stress Footprint in China by a High Resolution MRIO Model. Sci. Total Environ. 2022, 841, 156682. [Google Scholar] [CrossRef]
- Arunrat, N.; Sereenonchai, S.; Chaowiwat, W.; Wang, C. Climate Change Impact on Major Crop Yield and Water Footprint under CMIP6 Climate Projections in Repeated Drought and Flood Areas in Thailand. Sci. Total Environ. 2022, 807, 150741. [Google Scholar] [CrossRef]
- Bocchiola, D.; Nana, E.; Soncini, A. Impact of Climate Change Scenarios on Crop Yield and Water Footprint of Maize in the Po Valley of Italy. Agric. Water Manag. 2013, 116, 50–61. [Google Scholar] [CrossRef]
- Cao, X.; Wang, Y.; Wu, P.; Zhao, X. Water Productivity Evaluation for Grain Crops in Irrigated Regions of China. Ecol. Indic. 2015, 55, 107–117. [Google Scholar] [CrossRef]
- Huang, H.; Zhuo, L.; Wang, R.; Shang, K.; Li, M.; Yang, X.; Wu, P. Agricultural Infrastructure: The Forgotten Key Driving Force of Crop-Related Water Footprints and Virtual Water Flows in China. J. Clean. Prod. 2021, 309, 127455. [Google Scholar] [CrossRef]
- Zoumides, C.; Bruggeman, A.; Hadjikakou, M.; Zachariadis, T. Policy-Relevant Indicators for Semi-Arid Nations: The Water Footprint of Crop Production and Supply Utilization of Cyprus. Ecol. Indic. 2014, 43, 205–214. [Google Scholar] [CrossRef]
- Jiang, C.M.; Yu, W.T.; Ma, Q.; Xu, Y.G.; Zou, H. Alleviating Global Warming Potential by Soil Carbon Sequestration: A Multi-Level Straw Incorporation Experiment from a Maize Cropping System in Northeast China. Soil Tillage Res. 2017, 170, 77–84. [Google Scholar] [CrossRef]
- Noya, I.; González-García, S.; Berzosa, J.; Baucells, F.; Feijoo, G.; Moreira, M.T. Environmental and Water Sustainability of Milk Production in Northeast Spain. Sci. Total Environ. 2018, 616–617, 1317–1329. [Google Scholar] [CrossRef]
- Park, J.; Baik, J.; Choi, M. Satellite-Based Crop Coefficient and Evapotranspiration Using Surface Soil Moisture and Vegetation Indices in Northeast Asia. Catena 2017, 156, 305–314. [Google Scholar] [CrossRef]
- Gobin, A.; Kersebaum, K.C.; Eitzinger, J.; Trnka, M.; Hlavinka, P.; Takáč, J.; Kroes, J.; Ventrella, D.; Marta, A.D.; Deelstra, J.; et al. Variability in the Water Footprint of Arable Crop Production across European Regions. Water 2017, 9, 93. [Google Scholar] [CrossRef]
- Deihimfard, R.; Rahimi-Moghaddam, S.; Collins, B.; Azizi, K. Future Climate Change Could Reduce Irrigated and Rainfed Wheat Water Footprint in Arid Environments. Sci. Total Environ. 2022, 807, 150991. [Google Scholar] [CrossRef] [PubMed]
- Cao, X.; Bao, Y.; Li, Y.; Li, J.; Wu, M. Unravelling the Effects of Crop Blue, Green and Grey Virtual Water Flows on Regional Agricultural Water Footprint and Scarcity. Agric. Water Manag. 2023, 278, 108165. [Google Scholar] [CrossRef]
- Gao, J.; Xie, P.; Zhuo, L.; Shang, K.; Ji, X.; Wu, P. Water Footprints of Irrigated Crop Production and Meteorological Driving Factors at Multiple Temporal Scales. Agric. Water Manag. 2021, 255, 107014. [Google Scholar] [CrossRef]
- Hu, M.; Wu, W.; Yu, Q.; Tang, H.; Wen, Y.; Zhao, F. Spatial-Temporal Variations in Green, Blue and Gray Water Footprints of Crops: How Do Socioeconomic Drivers Influence? Environ. Res. Lett. 2022, 17, 124024. [Google Scholar] [CrossRef]
- Gao, X.; Gu, F.; Hao, W.; Mei, X.; Li, H.; Gong, D.; Mao, L.; Zhang, Z. Carbon Budget of a Rainfed Spring Maize Cropland with Straw Returning on the Loess Plateau, China. Sci. Total Environ. 2017, 586, 1193–1203. [Google Scholar] [CrossRef]
- Jiang, T.; Sun, S.; Li, Z.; Li, Q.; Lu, Y.; Li, C.; Wang, Y.; Wu, P. Vulnerability of Crop Water Footprint in Rain-Fed and Irrigation Agricultural Production System under Future Climate Scenarios. Agric. For. Meteorol. 2022, 326, 109164. [Google Scholar] [CrossRef]
- Yeşilköy, S.; Şaylan, L. Yields and Water Footprints of Sunflower and Winter Wheat under Different Climate Projections. J. Clean. Prod. 2021, 298, 126780. [Google Scholar] [CrossRef]
- Li, Z.; Wu, H.; Deng, X. Spatial Pattern of Water Footprints for Crop Production in Northeast China. Sustainability 2022, 14, 13649. [Google Scholar] [CrossRef]
- Ma, W.; Opp, C.; Yang, D. Spatiotemporal Supply-Demand Characteristics and Economic Benefits of Crop Water Footprint in the Semi-Arid Region. Sci. Total Environ. 2020, 738, 139502. [Google Scholar] [CrossRef]
- Li, Q.; Huang, W.; Wang, J.; Zhang, Z.; Li, Y.; Han, Y.; Feng, L.; Li, X.; Yang, B.; Wang, G.; et al. Quantitative Evaluation of Variation and Driving Factors of the Regional Water Footprint for Cotton Production in China. Sustain. Prod. Consum. 2023, 35, 684–696. [Google Scholar] [CrossRef]
- Lu, S.; Bai, X.; Zhang, J.; Li, J.; Li, W.; Lin, J. Impact of Virtual Water Export on Water Resource Security Associated with the Energy and Food Bases in Northeast China. Technol. Forecast. Soc. Change 2022, 180, 121635. [Google Scholar] [CrossRef]
- Duan, P.; Qin, L.; Wang, Y.; He, H. Spatial Pattern Characteristics of Water Footprint for Maize Production in Northeast China: Water Footprint for Maize Production in China. J. Sci. Food Agric. 2016, 96, 561–568. [Google Scholar] [CrossRef]
- Dang, Y.; Qin, L.; Huang, L.; Wang, J.; Li, B.; He, H. Water Footprint of Rain-Fed Maize in Different Growth Stages and Associated Climatic Driving Forces in Northeast China. Agric. Water Manag. 2022, 263, 107463. [Google Scholar] [CrossRef]
- Zheng, X.; Qin, L.; He, H. Impacts of Climatic and Agricultural Input Factors on the Water Footprint of Crop Production in Jilin Province, China. Sustainability 2020, 12, 6904. [Google Scholar] [CrossRef]
- Xu, Y.; Huang, K.; Yu, Y.; Wang, X. Changes in Water Footprint of Crop Production in Beijing from 1978 to 2012: A Logarithmic Mean Divisia Index Decomposition Analysis. J. Clean. Prod. 2015, 87, 180–187. [Google Scholar] [CrossRef]
- Li, B.; Jing, Z.; Wei, X.; Sun, J.; Fu, S.; Ge, D. Spatial and Temporal Distribution Characteristics of Spring Maize Coefficients in Northeast China. Trans. Chin. Soc. Agric. Mach. 2020, 51, 279–290. [Google Scholar]
- Liu, L.; Hu, X.; Zhan, Y.; Sun, Z.; Zhang, Q. China’s Dietary Changes Would Increase Agricultural Blue and Green Water Footprint. Sci. Total Environ. 2023, 903, 165763. [Google Scholar] [CrossRef] [PubMed]
- Hoekstra, A.Y.; Hung, P.Q. Globalisation of Water Resources: International Virtual Water Flows in Relation to Crop Trade. Glob. Environ. Change 2005, 15, 45–56. [Google Scholar] [CrossRef]
- Li, B.; Qin, L.; Wang, J.; Dang, Y.; He, H. Multi-Source Data-Based Spatial Variations of Blue and Green Water Footprints for Rice Production in Jilin Province, China. Environ. Sci. Pollut. Res. 2021, 28, 38106–38116. [Google Scholar] [CrossRef] [PubMed]
- Allen, R.G.; Pruitt, W.O.; Wright, J.L.; Howell, T.A.; Ventura, F.; Snyder, R.; Itenfisu, D.; Steduto, P.; Berengena, J.; Yrisarry, J.B.; et al. A Recommendation on Standardized Surface Resistance for Hourly Calculation of Reference ETo by the FAO56 Penman-Monteith Method. Agric. Water Manag. 2006, 81, 1–22. [Google Scholar] [CrossRef]
- Allen, R.G.; Pereira, L.S.; Raes, D.; Smith, M.; FAO—Food and Agriculture Organization of the United Nations. Crop Evapotranspiration—Guidelines for Computing Crop Water Requirements—FAO Irrigation and Drainage Paper 56; Food and Agriculture Organization of the United Nations: Rome, Italy, 1998; ISBN 92-5-104219-5. [Google Scholar]
- Smith, M.; Food and Agriculture Organization of the United Nations. CROPWAT: A Computer Program for Irrigation Planning and Management; Food & Agriculture Organization: Rome, Italy, 1992; ISBN 978-92-5-103106-3. [Google Scholar]
- Severo Santos, J.F.; Naval, L.P. Spatial and Temporal Dynamics of Water Footprint for Soybean Production in Areas of Recent Agricultural Expansion of the Brazilian Savannah (Cerrado). J. Clean. Prod. 2020, 251, 119482. [Google Scholar] [CrossRef]
- Zeng, W.; Lu, T.; Liu, Z.; Xu, Q.; Peng, H.; Li, C.; Yang, S.; Yao, F. Research on a Laser Ultrasonic Visualization Detection Method for Human Skin Tumors Based on Pearson Correlation Coefficient. Opt. Laser Technol. 2021, 141, 107117. [Google Scholar] [CrossRef]
- Sriram, N. Decomposing the Pearson Correlation; SSRN: Rochester, NY, USA, 2013. [Google Scholar]
- Cao, X.; Shu, R.; Ren, J.; Wu, M.; Huang, X.; Guo, X. Variation and Driving Mechanism Analysis of Water Footprint Efficiency in Crop Cultivation in China. Sci. Total Environ. 2020, 725, 138537. [Google Scholar] [CrossRef]
- Govere, S.; Nyamangara, J.; Nyakatawa, E.Z. Climate Change Signals in the Historical Water Footprint of Wheat Production in Zimbabwe. Sci. Total Environ. 2020, 742, 140473. [Google Scholar] [CrossRef]
- Ding, X.; Wang, S.; Chen, B. The Blue, Green and Grey Water Consumption for Crop Production in Heilongjiang. Energy Procedia 2019, 158, 3908–3914. [Google Scholar] [CrossRef]
- Yuan, B.; Guo, J.; Ye, M.; Zhao, J. Variety Distribution Pattern and Climatic Potential Productivity of Spring Maize in Northeast China under Climate Change. Chin. Sci. Bull. 2012, 57, 3497–3508. [Google Scholar] [CrossRef][Green Version]
- Mekonnen, M.M.; Hoekstra, A.Y. The Green, Blue and Grey Water Footprint of Crops and Derived Crop Products. Hydrol. Earth Syst. Sci. 2011, 15, 1577–1600. [Google Scholar] [CrossRef]
- Duan, P.; Qin, L.; Wang, Y.; He, H. Spatiotemporal Correlations between Water Footprint and Agricultural Inputs: A Case Study of Maize Production in Northeast China. Water 2015, 7, 4026–4040. [Google Scholar] [CrossRef]
- Zhuo, L.; Mekonnen, M.M.; Hoekstra, A.Y. The Effect of Inter-Annual Variability of Consumption, Production, Trade and Climate on Crop-Related Green and Blue Water Footprints and Inter-Regional Virtual Water Trade: A Study for China (1978–2008). Water Res. 2016, 94, 73–85. [Google Scholar] [CrossRef] [PubMed]
- Ma, Y.; Zhang, J.; Zhao, C.; Li, K.; Dong, S.; Liu, X.; Tong, Z. Spatiotemporal Variation of Water Supply and Demand Balance under Drought Risk and Its Relationship with Maize Yield: A Case Study in Midwestern Jilin Province, China. Water 2021, 13, 2490. [Google Scholar] [CrossRef]
- Tan, Q.; Liu, Y.; Pan, T.; Song, X.; Li, X. Changes and Determining Factors of Crop Evapotranspiration Derived from Satellite-Based Dual Crop Coefficients in North China Plain. Crop J. 2022, 10, 1496–1506. [Google Scholar] [CrossRef]
- Tang, Y.X.; Guo, J.P. Risk Assessment of Maize Chilling Injury in Northeast China. J. Appl. Meteorol. Sci. 2016, 27, 352–360. [Google Scholar]
- García Morillo, J.; Rodríguez Díaz, J.A.; Camacho, E.; Montesinos, P. Linking Water Footprint Accounting with Irrigation Management in High Value Crops. J. Clean. Prod. 2015, 87, 594–602. [Google Scholar] [CrossRef]
- Zhang, D.; Li, D.; Li, H.; Wang, H.; Liu, J.; Ju, H.; Batchelor, W.D.; Li, R.; Li, Y. Strategies to Reduce Crop Water Footprint in Intensive Wheat-Maize Rotations in North China Plain. Agronomy 2022, 12, 357. [Google Scholar] [CrossRef]
- Bai, Y.; Zhang, T.; Zhai, Y.; Shen, X.; Ma, X.; Zhang, R.; Ji, C.; Hong, J. Water Footprint Coupled Economic Impact Assessment for Maize Production in China. Sci. Total Environ. 2021, 752, 141963. [Google Scholar] [CrossRef]
- Liu, W.; Ma, Z.; Lei, B. Spatiotemporal Distribution of Irrigation Water Use Efficiency from the Perspective of Water Footprints in Heilongjiang Province. Water 2022, 14, 1232. [Google Scholar] [CrossRef]
- Wang, J.; Hu, X. Research on Corn Production Efficiency and Influencing Factors of Typical Farms: Based on Data from 12 Corn-Producing Countries from 2012 to 2019. PLoS ONE 2021, 16, e0254423. [Google Scholar] [CrossRef]
- Koelmans, A.A.; Redondo-Hasselerharm, P.E.; Nor, N.H.M.; de Ruijter, V.N.; Mintenig, S.M.; Kooi, M. Risk Assessment of Microplastic Particles. Nat. Rev. Mater. 2022, 7, 138–152. [Google Scholar] [CrossRef]








| 2019 | 2020 | |||||||
|---|---|---|---|---|---|---|---|---|
| TWF | GWF | BWF | GYWF | TWF | GWF | BWF | GYWF | |
| Moran’s Index | 0.280 | 0.187 | 0.197 | 0.324 | 0.218 | 0.323 | 0.237 | 0.318 |
| Expected Index | −0.026 | −0.026 | −0.026 | −0.026 | −0.026 | −0.026 | −0.026 | −0.026 |
| Variance | 0.010 | 0.010 | 0.010 | 0.010 | 0.008 | 0.010 | 0.010 | 0.009 |
| z-score | 3.037 | 2.157 | 2.207 | 3.461 | 2.739 | 3.470 | 2.619 | 3.647 |
| p-value | 0.002 | 0.031 | 0.027 | 0.001 | 0.006 | 0.001 | 0.009 | 0.000 |
Disclaimer/Publisher’s Note: The statements, opinions and data contained in all publications are solely those of the individual author(s) and contributor(s) and not of MDPI and/or the editor(s). MDPI and/or the editor(s) disclaim responsibility for any injury to people or property resulting from any ideas, methods, instructions or products referred to in the content. |
© 2023 by the authors. Licensee MDPI, Basel, Switzerland. This article is an open access article distributed under the terms and conditions of the Creative Commons Attribution (CC BY) license (https://creativecommons.org/licenses/by/4.0/).
Share and Cite
Zhao, X.; Shi, J.; Liu, M.; Zafar, S.U.; Liu, Q.; Mian, I.A.; Khan, B.; Khan, S.; Zhuang, Y.; Dong, W.; et al. Spatial Characteristics and Driving Forces of the Water Footprint of Spring Maize Production in Northern China. Agriculture 2023, 13, 1808. https://doi.org/10.3390/agriculture13091808
Zhao X, Shi J, Liu M, Zafar SU, Liu Q, Mian IA, Khan B, Khan S, Zhuang Y, Dong W, et al. Spatial Characteristics and Driving Forces of the Water Footprint of Spring Maize Production in Northern China. Agriculture. 2023; 13(9):1808. https://doi.org/10.3390/agriculture13091808
Chicago/Turabian StyleZhao, Xueqing, Jin Shi, Meixia Liu, Saud Uz Zafar, Qin Liu, Ishaq A. Mian, Bushra Khan, Shadman Khan, Yan Zhuang, Wenyi Dong, and et al. 2023. "Spatial Characteristics and Driving Forces of the Water Footprint of Spring Maize Production in Northern China" Agriculture 13, no. 9: 1808. https://doi.org/10.3390/agriculture13091808
APA StyleZhao, X., Shi, J., Liu, M., Zafar, S. U., Liu, Q., Mian, I. A., Khan, B., Khan, S., Zhuang, Y., Dong, W., & Liu, E. (2023). Spatial Characteristics and Driving Forces of the Water Footprint of Spring Maize Production in Northern China. Agriculture, 13(9), 1808. https://doi.org/10.3390/agriculture13091808

