Next Article in Journal
Effects of Watermelon Cropping Management on Soil Bacteria and Fungi Biodiversity
Previous Article in Journal
Genetic Differentiation of Red Clover (Trifolium pratense L.) Cultivars and Their Wild Relatives
 
 
Font Type:
Arial Georgia Verdana
Font Size:
Aa Aa Aa
Line Spacing:
Column Width:
Background:
Article

Coordination of Density and Nitrogen Fertilization Improves Stalk Lodging Resistance of Strip-Intercropped Maize with Soybeans by Affecting Stalk Quality Traits

Sichuan Engineering Research Center for Crop Strip Intercropping System, Key Laboratory of Crop Ecophysiology and Farming System in Southwest China (Ministry of Agriculture), College of Agronomy, Sichuan Agricultural University, Chengdu 611130, China
*
Author to whom correspondence should be addressed.
These authors contributed equally to this work.
Agriculture 2023, 13(5), 1009; https://doi.org/10.3390/agriculture13051009
Submission received: 3 April 2023 / Revised: 27 April 2023 / Accepted: 28 April 2023 / Published: 4 May 2023
(This article belongs to the Section Crop Production)

Abstract

To ensure yield in strip-intercropped maize with soybeans (SM), it is crucial to plant at a density comparable to that of monoculture maize (MM). This requires reducing spacing by more than half, increasing intraspecific competition, and altering stalk lodging resistance traits compared with MM. Nitrogen fertilization can effectively mediate stalk lodging resistance. However, it is still unclear how nitrogen rates influence SM’s stalk lodging resistance under high-density conditions and how that resistance compares to MM. The experiment involved four N fertilizer treatments with two planting densities: medium density (60,000 plants/ha) and high density (75,000 plants/ha). Additionally, different planting patterns of strip-cropped (S) and monoculture (M) were implemented. The N fertilizer application rates were N0 (0 kg/ha), N225 (225 kg/ha), N300 (300 kg/ha), and N375 (375 kg/ha). The stalk lodging resistance was represented by the breaking strength of the third basal internode. The study revealed that, at the same planting density, the third basal internode of the stalk exhibited consistent results in terms of its diameter, crushing strength, total number and area of vascular bundles, and N content. Notably, all these traits exhibited a significant positive relationship with breaking strength. The highest values for these parameters and yield were observed under N225 and N300 fertilization rates for medium-density monoculture and strip-cropped maize, respectively. In contrast, the high-density monoculture and strip-cropped maize showed peak performance under N300 and N375 fertilization rates. At both medium and high planting densities, the strip-cropped maize exhibited 8.9% and 10.9% lower breaking strength than the monoculture maize under N225 treatment. However, increasing the N fertilizer application resulted in comparable lodging resistance between the strip-cropped maize and the maximum values of the monoculture maize, at N300 treatment for medium density and N375 treatment for high density. Hence, strip-cropped maize planted at high density (75,000 plants/ha) with a lower nitrogen rate had lower lodging resistance than monoculture maize, but it can be improved to match the monoculture maize by increasing the nitrogen rate.

1. Introduction

With the expansion of the world’s population, the amount of arable land available per capita is gradually decreasing. Thus, pursuing a path towards sustainable and productive development is crucial to ensuring an adequate food and oil supply [1]. Maize is one of the world’s top three staple foods, playing a crucial role in global food security [2]. However, maize and other staples compete for land, which has intensified with the increased use of soybeans. This conflict is expected to persist in the short term [3]. One potential solution to this issue is intercropping planting patterns that promote planting additional crops without reducing the maize acreage or yields, thereby safeguarding food security [4].
Strip-cropping is a traditional planting method, frequently employed in the hilly regions of southwestern China, which is recognized for its high productivity and efficiency [5]. By integrating various crops, the strip-crop generates distinctive spatial and temporal variations that complement the utilization of aboveground light and temperature resources while reducing the groundwater and nutrient requirements. Consequently, this pattern leads to more efficient utilization of agricultural resources and higher group yields [6,7,8]. However, increasing the density of crops is still one of the key measures for the high output of maize in China and the world [9]. Nonetheless, the competition between the crops for light and soil resources increases, increasing the risk of lodging and reducing crop yield when the density is too high [10].
Reducing the spacing of strip-cropped maize can intensify interplant competition, impacting the material accumulation and agronomic traits [8,11,12]. Regarding agronomic characteristics, the strip-cropped maize exhibited significantly lower plant and ear height, contributing to its improved lodging resistance [13]. However, the stem diameter of the strip-cropped maize was found to be smaller compared with the monoculture maize [14]. Dry-matter accumulation was more deficient in the strip-cropped maize than in the monoculture maize. Additionally, the dry-matter accumulation in the stalk was lower in the strip-cropped maize than in the monoculture maize [15]. Nitrogen accumulation was also lower in the strip-cropped maize than in the monoculture maize for the entire plant [12] and for the stalk specifically [16]. Considering the significant positive correlations between stalk diameter, nitrogen content, dry-matter accumulation, and lodging resistance [17,18,19], strip-cropped maize may show lower stalk lodging resistance.
A moderate nitrogen fertilizer application in high-density cultivation can increase maize yield and improve its lodging resilience [17,20,21]. High-density planting significantly decreases the maize stalk penetration force, breaking strength, and the number of vascular bundles [18,22,23], but N application increases these indices and improves stalk quality traits [17,20,21]. Additionally, the total N content [18] and dry weight per unit length [17] increase, enhancing the stalks’ lodging resistance. It is clear that the main factors determining the compressive strength of maize stalks are cellulose content, lignin content, and the number of vascular bundles in the basal internodes [17,18,19]. Therefore, it is also possible to directly or indirectly improve the stalk lodging resistance of strip-cropped maize at high density through appropriate N fertilizer application, enhancing the stalk quality traits and increasing the content of related substances.
Increasing plant density is crucial to enhancing maize yield, although it may also increase lodging. Previous studies have primarily focused on field management practices, including nitrogen application, fertilization, and chemical regulation, to improve lodging resistance in monoculture maize. However, it remains to be seen how the nitrogen rate affects the stalk lodging resistance of maize in strip-cropping systems and the differences between the two cropping patterns. Additionally, strip-cropped maize may be less lodging resistant than monoculture maize due to increased interspecific competition.
Therefore, we hypothesized that an optimal nitrogen rate could improve the stalk quality traits of strip-cropped maize to demonstrate superior or equivalent lodging resistance compared with monoculture maize. In this study, we examined the stalk lodging resistance of strip-cropped and monoculture maize with varying levels of nitrogen applications. Our objective was to determine how nitrogen rates affect the stalk lodging resistance of strip-cropped maize when grown under high-density planting conditions and the difference in lodging resistance between strip-cropped and monoculture planting patterns. The findings of this research can offer a theoretical foundation and technical assistance for the safe and sustainable production of strip-cropped maize in high-density planting.

2. Materials and Methods

2.1. Experimental Station

The experiment was conducted at the modern agricultural demonstration base in Renshou, Sichuan (30°04′ N, 104°13′ E) in 2019 and 2020. Table 1 presents the meteorological data of the maize fertility period at the test site. The soil in the field is clay loam, and its basic physical and chemical properties can be found in Table 2. The maize variety used in this experiment was Zhongyu 3, a high-yielding semi-compact variety recommended for production, selected by the Nanchong Academy of Agricultural Sciences and Zhongyan Seed Industry Co. (Chengdu, China).

2.2. Experimental Design

Strip-cropped maize and monoculture maize were planted in the same experimental field. The bandwidth of the strip-cropped maize was 2.0 m: two bands were planted, with 60 cm spacing between the maize and soybeans and 40 cm spacing between the maize rows (two rows of soybeans were relay-intercropped with two rows of maize), with a plot area of 40 m2 (4 m × 10 m). The monoculture maize was planted according to 70 cm equal spacing, with a plot area of 35 m2 (3.5 m × 10 m). A short-term locational experiment was applied, with the maize rows of 2020 continuing to be planted on the maize rows of 2019. A three-factor split-split plot design was used for the experiment. The main factor was the cropping pattern (P), which was S: strip crop and M: monoculture, respectively. The secondary factors were N application rate (N) and planting density, N0: 0 kg/ha, N225: 225 kg/ha, N300: 300 kg/ha, N375: 375 kg/ha; D1: 60,000 plants/ha (medium-density level) and D2: 75,000 plants/ha (high-density level), respectively. Sixteen treatments were applied, each replicated three times for 48 plots. The base fertilizer was topdressing (10 days before flowering) = 5:5, with 600 kg/ha of calcium superphosphate (P2O5 12%) and 150 kg/ha of potassium chloride (K2O 60%) as base fertilizer. Fertilizer was applied to the maize wide-row (a distance of 15 cm between the maize plant and fertilizer). In 2019, maize was planted on 31 March and harvested on 1 August. In 2020, maize was planted on 2 April and harvested on 3 August.

2.3. Measurements and Methods

2.3.1. Agronomic Traits

Six plants with consistent growth were chosen from each plot at the silking stage of the maize to determine the height of the ear as well as the plant and stalk diameters at the third basal internode. The ear ratio was calculated using the following formula:
Ear ratio = ear height (cm)/plant height (cm)

2.3.2. Stalk Quality Traits

During the silking stage of the maize, six uniformly grown plants were chosen from each plot. The base’s third, fourth, and fifth internodes were collected, while the leaf sheaths were removed. The internode crushing and breaking strength was measured using a stalk strength meter YYD-1 (Zhejiang Top Instruments Co., Ltd., (Hangzhou, China)).

2.3.3. Stem Vascular Bundle Anatomy

In 2019, three maize plants with consistent growth were chosen from each plot during the silking stage. Hand-sliced stem segments, approximately 20 μm thick, were taken from the middle of the third internode and stained with safranine dye. The segments were counted, photographed, and examined under a DM21-J1200 microscope. The vascular structure was analyzed using the MIAS-1 microscopic image software for the number and size of the large and small vascular bundles.

2.3.4. Nitrogen Content of Stalks

During the silking stage of the maize, six uniformly grown plants were selected from each plot. The plant stalks were separated, and fresh samples were heated at 105 °C for one hour before being dried at 80 °C until a constant weight was reached. The nitrogen content of the stalks was determined using the method described by Zheng et al. [24].

2.3.5. Yield

Before harvesting at maize maturity, the effective ears were examined to investigate their traits. Twenty ears from each plot were chosen using the mean weight method to determine the number of grains and thousand-grain weight. The theoretical yield was calculated with the following formula:
Theoretical yield (kg/ha) = number of effective ears × number of ears’ grains × thousand-grain weight/106.

2.3.6. Data Analysis

The experimental data were summarized and organized using Excel 2017, SPSS 19 software for statistical analysis and ANOVA, origin2019 for plotting, and the significance of differences test was performed using the LSD method with the significance level set at p = 0.05.

3. Results

3.1. Effect of Nitrogen Rate on Agronomic Traits of Strip-Cropped Maize under High-Density Conditions

The optimal nitrogen rate significantly increased the height of the plants, ears, and diameter of the third internode (Table 3). The height of the SM plants in both seasons was lower than that of the MM plants at medium density (60,000 plants/ha) and high density (75,000 plants/ha). However, no significant difference was observed in the ear ratio between the nitrogen rates and planting patterns. The year had a significant effect on the ear ratio. However, there was no significant interaction between the year effect and the nitrogen rate or planting pattern, nor was there a significant three-way interaction. This lack of significance may be due to the high-temperature climate in 2020.
The stem diameter of the third internode in both years exhibited comparable outcomes. In 2019, under moderate plant density (60,000 plants/ha), the highest values of SM and MM were observed at the N300 and N225 treatments, respectively. The SM basal third internode diameter was 18.0% lower than that of the MM at N225 treatment. However, at the N300 treatment, the SM basal third internode stem diameter was significantly higher, by 15.2%, compared with the N225 treatment; the difference with the maximum values of MM (N225 treatment) was insignificant.
At the high-density (75,000 plants/ha) level, the highest values of SM and MM were at the N375 and N300 treatments, respectively. Compared with the N225 treatment, the stem diameter of the SM increased by 10.4% at the N375 treatment and was not significantly different from the highest values of the MM (N300 treatment). The above results indicate that the ear ratio did not differ significantly among the planting patterns. The SM may require a higher nitrogen rate to achieve comparable stalk lodging resistance to MM while maintaining the same planting density.

3.2. Effect of Nitrogen Rate on Quality Traits of Strip-Cropped Maize Stalks under High-Density Planting

3.2.1. Crushing Strength

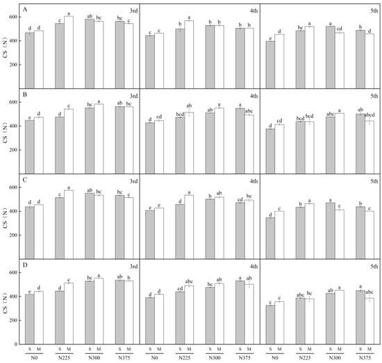
The application of a reasonable amount of nitrogen fertilizer increased the crushing intensity of the maize basal internodes (Figure 1). The maximum values of SM and MM were observed at the N300 and N225 treatments, respectively, with similar results in both years. At the N225 treatment, the crushing strength of the third basal internode of SM was significantly lower than that of MM, by 10.5%. In contrast, at the N300 treatment, the SM basal third internode crushing strength was considerably higher, by 7.1%, and was not significantly different from the maximum value of MM (N225 treatment).
At the high density (75,000 plants/ha), for SM and MM, the maximum values were obtained at the N375 and N300 treatments, respectively. The crushing strength of the third basal internode of SM at the N225 and N300 treatments was 12.5% and 7.8% lower than that of MM, respectively. However, the crushing strength of SM was 18.0% higher with the N375 treatment than with the N225 treatment and was comparable to the maximum value observed in MM with the N300 treatment.

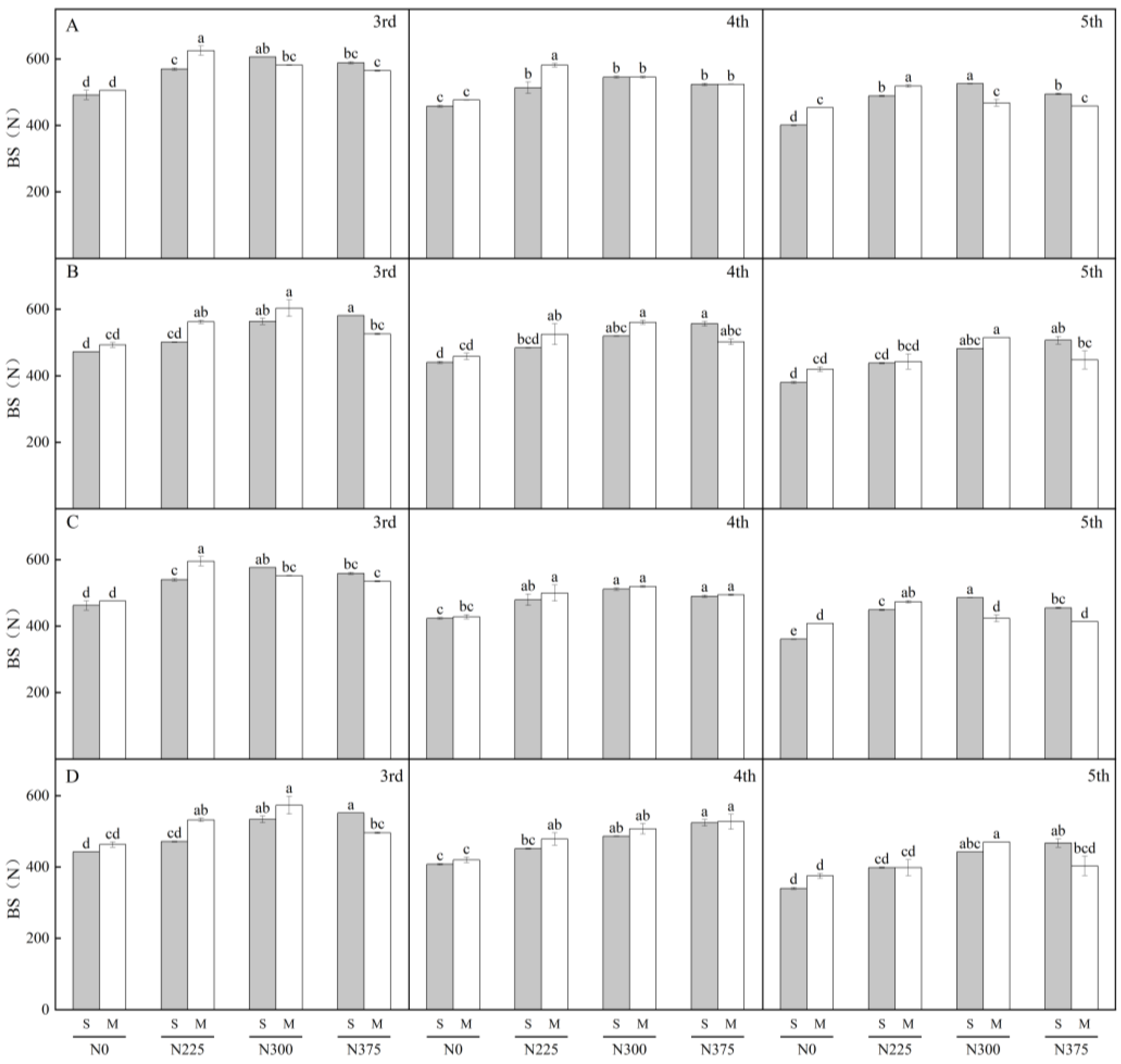
3.2.2. Breaking Strength

The results for breaking strength were similar to those for crushing strength (Figure 2). The highest values of SM and MM at medium-density (60,000 plants/ha) levels were at the N300 and N225 treatments, respectively. The breaking strength of SM was 8.9% lower than that of MM in the N225 treatment. However, in the N300 treatment, the breaking strength of SM increased by 6.4% compared with N225 and was not significantly different from the maximum breaking strength of MM observed in the N225 treatment.
The maximum values of SM and MM at high-density (75,000 plants/ha) levels were found in the N375 and N300 treatments, respectively. The breaking strength of the third basal internode of SM was significantly lower than that of MM 10.9% at the N225 treatment. However, the breaking strength of SM under the N375 treatment increased by 16.0% compared with N225 and was comparable to the maximum value of MM observed in the N300 treatment.
The crushing and breaking strength results indicate that SM necessitates a greater amount of nitrogen application to enhance the basal internode quality traits compared with MM at the same planting density. Furthermore, with a further rise in planting density, more nitrogen application is required.

3.3. Effect of Nitrogen Rate on the Microstructure of Vascular Bundles of Stalks of Strip-Cropped Maize under High-Density Conditions

A moderate increase in the nitrogen fertilizer application substantially increased the total number and area of the vascular bundles within the third basal internode of the maize (Table 4). The total number and area of the vascular bundles in SM increased by 16.3% and 48.9%, respectively. However, under the N225 treatment with a planting density of 60,000 plants/ha, the total number and area of the vascular bundles were significantly lower in SM than in MM, by 16.5% and 30.8%, respectively. As N application increased, the total number and area of the tubular bundles in SM under the N300 treatment became comparable to the maximum values observed in MM at the N225 treatment.
At a high-density level of 75,000 plants/ha, the total vascular bundle area of SM was significantly lower than that of MM, by 11.0% and 18.5% under the N225 and N300 treatments, respectively. However, when treated with N375, the vascular bundle area of SM significantly increased, by 10.3% compared with N225, and it did not differ significantly from the highest value of MM (N300 treatment). These results suggest that to achieve a comparable number and area of vascular bundles as MM at the same planting density, SM requires more nitrogen application.

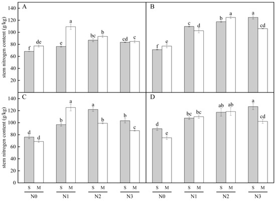
3.4. Effect of Nitrogen Rate on the Nitrogen Content of Stalks of Strip-Cropped Maize under High-Density Conditions

Appropriate applications of additional nitrogen fertilizer significantly increased the nitrogen content in the maize stalks, by 38.8% and 41.2% for SM and MM, respectively (Figure 3), with similar results observed in both years. In 2020, at a medium planting density of 60,000 plants/ha under the N225 treatment, the nitrogen content of the stalks was significantly lower in SM than in MM, by 22.7%. However, SM’s nitrogen content increased by 26.0% under the N300 treatment compared with the N225 treatment, and was not significantly different from the highest nitrogen content of MM (under the N225 treatment).
At a planting density of 75,000 plants/ha, the SM plants in the N375 treatment exhibited the highest nitrogen content. Specifically, the nitrogen content was 17.8% higher than that of the N225 treatment and was comparable to that of the MM plants in the N300 treatment. These findings suggest that SM requires more nitrogen application to achieve a stalk nitrogen content comparable to that of MM under the same planting density. Moreover, an increase in the planting density necessitates additional nitrogen fertilization.

3.5. Correlation Analysis of Each Index with Stalk Lodging Resistance Characteristics

Breaking strength at the third basal internode was used as a comprehensive index of the plant lodging resistance characteristics. The correlations between plant height, ear height, era ratio, stem diameter, stalk nitrogen content, total number and area of the vascular bundles, and breaking strength were analyzed (Figure 4). The analysis showed that plant height, stem diameter, stalk nitrogen content, and total number and area of the vascular bundles were significantly and positively correlated with breaking strength.

3.6. Effect of Nitrogen Rate on Maize Yield in Strip Crop under High-Density Conditions

Proper application of N fertilizer and increased density significantly increased the maize yield (Figure 5). In 2019, the yield of SM at the medium-density (60,000 plants/ha) level was significantly lower than that of MM, by 17.6%, when the N fertilizer level was applied at N225. However, with increasing N application levels, the yield of SM increased by 9.5% at N300, which was similar to the highest yield of MM (N225 treatment).
The yield of SM increased with increasing N applications at a high planting density of 75,000 plants/ha. However, there was no significant difference among the N225, N300, and N375 treatments. Additionally, the highest yield of SM (N375 treatment) was 13.3% lower than the highest yield of MM (N300 treatment). These findings suggest that the yield of SM can be improved to match that of MM by increasing the N fertilizer application at a medium density of 60,000 plants/ha. However, increasing the N fertilizer application at a high density of 75,000 plants/ha did not result in a yield comparable to that of MM.

4. Discussion

The agronomic traits of maize significantly impact stalk lodging resistance as well as stalk quality traits and nitrogen content. Previous research has demonstrated that plant height, ear height, ear ratio, and stem diameter are closely linked to maize lodging. In particular, the negative correlation between ear ratio and lodging resistance is widely recognized [20,21,22]. Stalk quality traits, such as stalk crushing, breaking, and rind penetration strength, serve as crucial indicators of the resistance of stalk lodging. According to Dy et al. [23], varieties with weaker lodging resistance demonstrated reduced rind penetration and breaking strength, while a positive correlation was observed between lodging rate and stalk quality traits. Previous studies have shown that the microstructure of the vascular bundles in the basal internodes is associated with maize stalk quality traits. Specifically, scholars discovered a noteworthy negative correlation between the lodging rate and the total number and area of the vascular bundles in the basal internodes [23,25]. Meanwhile, a study showed a significant negative correlation between the number of vascular bundles per unit field of view in the third basal internode and the lodging rate [26]. Several studies suggest that the nitrogen content of the maize stem may be associated with quality traits of the maize stalks. The results of Wang et al. [17] and Zhai et al. [18] showed that as nitrogen application increased, so did the nitrogen content in the stem, which led to improvements in the basal internode diameter, stem puncture strength, stem crushing strength, and stem carbohydrate content. In addition, significant correlations were found between stem quality traits and stem nitrogen content. Moreover, nitrogen fertilizer effectively increases maize yields. Gao et al. [27] found that intercropping maize with an increased nitrogen fertilizer application resulted in a 15.0–31.2% yield increase compared with the control group without nitrogen fertilizer application. In this study, we conducted experiments similar to those of a previous study. Our results revealed significant correlations between the stalk quality traits and several variables, including ear ratio, stem diameter, total number and area of vascular bundles, and stalk nitrogen content. However, it is worth noting that the ear ratio did not correlate with the stalk quality traits, which may be attributed to varietal differences.
Strip-cropped maize exhibits differences in stalk lodging resistance compared with monoculture maize. To ensure equivalent plant densities, strip-cropped maize requires reduced plant spacing, leading to increased competition for environmental resources [8]. This competition affects plant agronomic traits and dry-matter accumulation, ultimately impacting the lodging resistance of the maize. Chen et al. [13] showed that strip-cropped maize experienced significant reductions in plant height, ear height, and center of gravity height. The study showed that strip-cropped maize had a 5.5% and 4.7% lower plant and ear height, respectively, compared with monoculture maize. Additionally, the stem diameter of the strip-cropped maize was smaller than that of the monoculture maize, in agreement with Ma et al.’s findings [14]. Therefore, the strip-cropped maize exhibited reduced plant and ear position height compared with the monoculture maize. However, the risk of lodging was higher due to insignificant differences in the ear ratio and planting pattern, as well as a smaller stem diameter. Lower N fertilizer treatments (N225) resulted in strip-cropped maize having reduced basal third internode stem thickness, crushing strength, breaking strength, total number and area of vascular bundles, and stalk nitrogen content compared with monoculture maize at medium (60,000 plants/ha) and high densities (75,000 plants/ha). This indicates weaker lodging resistance in strip-cropped maize than in monoculture maize. The competition for environmental resources was intensified at the lower nitrogen rates by reducing plant spacing in the strip-cropped maize, which resulted in weaker stalk lodging resistance than in the monoculture maize.
Strip-cropped maize, when planted under high-density conditions and an appropriate nitrogen rate, can increase stalk lodging resistance. High-density planting conditions lead to an increased stalk lodging rate [9], which in turn reduces seed quality and increases costs [28]. Research shows that varieties sensitive to planting density exhibit higher lodging rates and earlier periods of stalk lodging at planting densities above 75,000 plants/ha [29]. The reason behind this is the shortened time for basal internode elongation and dry-matter buildup following augmented planting densities, along with a decreased buildup of cellulose and lignin in the stalks, resulting in a detrimental impact on the quality traits of the stalks [22]. However, an appropriate nitrogen rate can significantly improve the stalk lodging resistance. High-density planting significantly reduced the breaking strength [17] of basal internodes and the number of vascular bundles [23]. Applying an appropriate nitrogen rate can effectively improve the breaking strength [18] of the basal internodes and significantly reduce the stalk lodging rate [30,31]. Dy et al. [23] found that a moderate increase in the nitrogen rate positively affects the number of vascular bundles and the rind thickness of the stalk. The results from this experiment support these findings, demonstrating that an appropriate nitrogen rate leads to a significant increase in the total number and area of the vascular bundles at the basal internodes of strip-cropped and monoculture maize. As a result, the strength of the stalk increases, improving its resistance to lodging. Chen et al. [16] found that strip-cropped maize had a lower number, volume, and surface area of the root system than monoculture maize, leading to reduced nitrogen accumulation in the stalk. Furthermore, there was a significant correlation between stalk nitrogen content and lodging resistance. The study found that applying lower nitrogen fertilizer (N225) levels resulted in decreased nitrogen content and lodging resistance of maize grown in strip-cropping systems compared with monoculture. Monoculture maize displayed higher values for stalk diameter, crushing and breaking strength, total number and area of vascular bundles, and nitrogen content when treated with N225 at a medium planting density (60,000 plants/ha) and with N300 at a high planting density (75,000 plants/ha). However, at higher nitrogen rates, such as N300 with medium-density planting and N375 with high-density planting, all indicators significantly improved in the strip-cropped maize and were comparable to the optimal nitrogen rate for monoculture maize. Thus, incrementing nitrogen rates appropriately in strip-cropped maize can enhance its lodging resistance, making it comparable to monoculture maize.

5. Conclusions

The stalk lodging resistance of strip-cropped maize was weaker than that of monoculture maize at the regular nitrogen rate (225 kg/ha) due to increased competition from reduced spacing. However, additional nitrogen improved the stalk lodging resistance of the strip-cropped maize, making it comparable to the monoculture at the appropriate nitrogen rate. Moreover, it needs more nitrogen at denser planting. Therefore, nitrogen rates of 300 kg/ha at 60,000 plants/ha and 375 kg/ha at 75,000 plants/ha were similar in terms of stalk lodging resistance and had the highest yield compared with monoculture.

Author Contributions

Conceptualization, X.Z. and X.W.; methodology, L.F.; software, T.P.; validation, F.Y., J.L. and W.L.; formal analysis, T.Y. and X.S.; investigation, W.Y.; resources, J.D.; data curation, Y.H., B.L. and G.C.; writing—original draft preparation, X.Z.; writing—review and editing, X.W.; visualization, X.W.; supervision, W.Y.; project administration, X.W.; funding acquisition, X.W. All authors have read and agreed to the published version of the manuscript.

Funding

This research was funded by the Ministry of Science and Technology of the People’s Republic of China (2022YFD1100203) and the Science and Technology Department of Sichuan Province (2021YFYZ0005), and the APC was funded by Sichuan Agricultural University.

Institutional Review Board Statement

Not applicable.

Data Availability Statement

Not applicable.

Conflicts of Interest

The authors declare no conflict of interest.

References

  1. Savary, S.; Waddington, S.; Akter, S.; Almekinders, C.J.M.; Harris, J.; Korsten, L.; Rötter, R.P.; Broeck, G.V.D. Revisiting food security in 2021: An overview of the past year. Food Secur. 2022, 14, 1–7. [Google Scholar] [CrossRef]
  2. Wu, Z.; Hua, W.; Luo, L.; Tanaka, K. Technical Efficiency of Maize Production and Its Influencing Factors in the World’s Largest Groundwater Drop Funnel Area, China. Agriculture 2022, 12, 649. [Google Scholar] [CrossRef]
  3. Jing, B. Analysis of the development status of the maize industry and trends in supply and demand. China Prices 2022, 08, 117–120. [Google Scholar]
  4. Wang, X.; Deng, X.; Pu, T.; Song, C.; Yong, T.; Yang, F.; Sun, X.; Liu, W.; Yan, Y.; Du, J.; et al. Contribution of interspecific interactions and phosphorus application to increasing soil phosphorus availability in relay intercropping systems. Field Crops Res. 2017, 204, 12–22. [Google Scholar] [CrossRef]
  5. Zhou, T.; Xu, K.; Wang, K.; Huang, W.; Zhang, C.; Chen, Y. Study on the effect of phosphorus fertilizer on yield and efficiency of soybean in wheat-soybean and wheat/maize/soybean systems. J. Plant Nutr. Fertil. 2015, 21, 336–345. [Google Scholar]
  6. Du, J.B.; Han, T.F.; Gai, J.Y.; Yong, T.W.; Sun, X.; Wang, X.C.; Yang, F.; Liu, J.; Shu, K.; Liu, W.G.; et al. Maize-soybean strip intercropping: Achieved a balance between high productivity and sustainability. J. Integr. Agric. 2018, 17, 747–754. [Google Scholar] [CrossRef]
  7. Zhou, T.; Wang, L.; Sun, X.; Wang, X.; Pu, T.; Yang, H.; Rengel, Z.; Liu, W.; Yang, W. Improved post-silking light interception increases yield and P-use efficiency of maize in maize/soybean relay strip intercropping. Field Crops Res. 2021, 262, 108054. [Google Scholar] [CrossRef]
  8. Yang, F.; Liao, D.; Fan, Y.; Gao, R.; Wu, X.; Rahman, T.; Yong, T.; Liu, W.; Liu, J.; Du, J.; et al. Effect of narrow-row planting patterns on crop competitive and economic advantage in maize–soybean relay strip intercropping system. Plant Prod. Sci. 2016, 20, 1–11. [Google Scholar] [CrossRef]
  9. Zhao, Y.; Huang, Y.; Li, S.; Chu, X.; Ye, Y. Improving the growth, lodging and yield of different density-resistance maize by optimising planting density and nitrogen fertilization. Plant Soil Environ. 2020, 66, 453–460. [Google Scholar] [CrossRef]
  10. Zhang, D.; Sun, Z.; Feng, L.; Bai, W.; Yang, N.; Zhang, Z.; Du, G.; Feng, C.; Cai, Q.; Wang, Q.; et al. Maize plant density affects yield, growth and source-sink relationship of crops in maize/peanut intercropping. Field Crops Res. 2020, 257, 107926. [Google Scholar] [CrossRef]
  11. Wang, B.; Liao, D.; Fan, Y.; Fan, Y.; Wang, Z.; Zhang, J.; Yong, T.; Wang, X.; Liu, W.; Yang, W.; et al. Effects of narrow row spacing in maize-soybean strip relay-intercropping on crop competition impacts and material allocation. Chin. J. Oilseed Crops 2020, 42, 734–742. [Google Scholar]
  12. Raza, M.A.; Feng, L.Y.; van der Werf, W.; Iqbal, N.; Khan, I.; Khan, A.; Din, A.M.U.; Naeem, M.; Meraj, T.A.; Hassan, M.J.; et al. Optimum strip width increases dry matter, nutrient accumulation, and seed yield of intercrops under the relay intercropping system. Food Energy Secur. 2020, 9, e199. [Google Scholar] [CrossRef]
  13. Chen, X.; Sun, N.; Gu, Y.; Liu, Y.; Li, J.; Wu, C.; Wang, Z. Maize-Soybean Strip Intercropping Improved Lodging Resistance and Productivity of Maize. Int. J. Agric. Biol. 2020, 24, 1383–1392. [Google Scholar]
  14. Ma, Y.; Pu, T.; Li, L.; Zeng, J.; Peng, X.; Chen, C.; Feng, J.; Yang, W.; Wang, X. Morphological characteristics of high-yielding maize varieties for maize-soybean strip relay-intercropping. Maize Sci. 2019, 27, 93–99. [Google Scholar]
  15. Raza, M.A.; Bin Khalid, M.H.; Zhang, X.; Feng, L.Y.; Khan, I.; Hassan, M.J.; Ahmed, M.; Ansar, M.; Chen, Y.K.; Fan, Y.F.; et al. Effect of planting patterns on yield, nutrient accumulation and distribution in maize and soybean under relay intercropping systems. Sci. Rep. 2019, 9, 4947. [Google Scholar] [CrossRef]
  16. Chen, G.; Liang, B.; Bawa, G.; Chen, H.; Shi, K.; Hu, Y.; Chen, P.; Fan, Y.; Pu, T.; Sun, X.; et al. Gravity Reduced Nitrogen Uptake via the Regulation of Brace Unilateral Root Growth in Maize Intercropping. Front. Plant Sci. 2021, 12, 724909. [Google Scholar] [CrossRef] [PubMed]
  17. Wang, Q.; Xue, J.; Zhang, G.; Chen, J.; Xie, R.; Ming, B.; Hou, P.; Wang, K.; Li, S. Nitrogen Split Application Can Improve the Stalk Lodging Resistance of Maize Planted at High Density. Agriculture 2020, 10, 364. [Google Scholar] [CrossRef]
  18. Zhai, J.; Zhang, Y.; Zhang, G.; Tian, M.; Xie, R.; Ming, B.; Hou, P.; Wang, K.; Xue, J.; Li, S. Effects of Nitrogen Fertilizer Management on Stalk Lodging Resistance Traits in Summer Maize. Agriculture 2022, 12, 162. [Google Scholar] [CrossRef]
  19. Wang, Q.; Xue, J.; Chen, J.-l.; Fan, Y.-h.; Zhang, G.-q.; Xie, R.-z.; Ming, B.; Hou, P.; Wang, K.-r.; Li, S.-k. Key indicators affecting maize stalk lodging resistance of different growth periods under different sowing dates. J. Integr. Agric. 2020, 19, 2419–2428. [Google Scholar] [CrossRef]
  20. Ahmad, I.; Batyrbek, M.; Ikram, K.; Ahmad, S.; Kamran, M.; Misbah; Khan, R.; Hou, F.; Han, Q. Nitrogen management improved lodging resistance and production of maize (Zea mays L.) in dense plant density. J. Integr. Agric. 2023, 22, 417–433. [Google Scholar] [CrossRef]
  21. Liu, X.-M.; Gu, W.-R.; Li, C.-F.; Li, J.; Wei, S. Effects of nitrogen fertilizer and chemical regulation on spring maize lodging characteristics, grain filling and yield formation under high planting density in Heilongjiang Province, China. J. Integr. Agric. 2021, 20, 511–526. [Google Scholar] [CrossRef]
  22. Xue, J.; Zhao, Y.; Gou, L.; Shi, Z.; Yao, M.; Zhang, W. How High Plant Density of Maize Affects Basal Internode Development and Strength Formation. Crop Sci. 2016, 56, 3295–3306. [Google Scholar] [CrossRef]
  23. Shi, D.Y.; Li, Y.H.; Zhang, J.W.; Liu, P.; Zhao, B.; Dong, S.T. Effects of plant density and nitrogen rate on lodging-related stalk traits of summer maize. Plant Soil Environ. 2016, 62, 299–306. [Google Scholar] [CrossRef]
  24. Zheng, X.; Xin, R. Automatic Kjeldahl nitrogen tester to determine the nitrogen content in fertilizers. Chem. Anal. Meas. 2014, 23, 41–43. [Google Scholar]
  25. Feng, H.; Zhang, S.; Ma, C.; Liu, P.; Dong, S.; Zhao, B.; Zhang, J.; Yang, J. Effect of planting density on the structure of vascular bundles and stem flow characteristics of summer maize stalks. J. Crop Sci. 2014, 40, 1435–1442. [Google Scholar]
  26. Wang, N.; Li, F.; Wang, Z.; Wang, H.; Lu, X.; Zhou, Y.; Shi, Z. Stalk traits of different dense-tolerant maize varieties in response to density and stalk lodging. Crop Mag. 2011, 33, 67–70. [Google Scholar]
  27. Gao, Y.; Wu, P.; Zhao, X.; Wang, Z. Growth, yield, and nitrogen use in the wheat/maize intercropping system in an arid region of northwestern China. Field Crops Res. 2014, 167, 19–30. [Google Scholar] [CrossRef]
  28. Zhang, Q.; Zhang, L.; Evers, J.; van der Werf, W.; Zhang, W.; Duan, L. Maize yield and quality in response to plant density and application of a novel plant growth regulator. Field Crops Res. 2014, 164, 82–89. [Google Scholar] [CrossRef]
  29. Gou, L.; Huang, J.; Zhang, B.; Li, T.; Sun, R.; Zhao, M. Effect of population density on stalk resistance mechanics and agronomic traits in maize. Field Crops Res. 2007, 33, 1688–1695. [Google Scholar]
  30. Liu, S.; Song, F.; Li, X.; Wang, Y.; Zhu, X. Effect of Nitrogen Application on Nodal Root Characteristics and Root Lodging Resistance in Maize. Pak. J. Bot. 2018, 50, 949–954. [Google Scholar]
  31. Sun, N.; Chen, X.; Zhao, H.; Meng, X.; Bian, S. Effects of Plant Growth Regulators and Nitrogen Management on Root Lodging Resistance and Grain Yield under High-Density Maize Crops. Agronomy 2022, 12, 2892. [Google Scholar] [CrossRef]
Figure 1. Effect of nitrogen fertilizer regulation on the crushing strength of the 3rd, 4th, and 5th basal internode of maize in 2019 and 2020, respectively. S: strip crop, M: monoculture, N0:0 kg/ha, N225:225 kg/ha, N300:300 kg/ha, N375:375 kg/ha. Lowercase letters indicate a significant difference at the 0.05 level. (A,B): crushing strength of the basal internode of maize at a planting density of 60,000 plants and 75,000 plants per hectare, respectively, in 2019. (C,D): crushing strength of the basal internode of maize at a planting density of 60,000 plants and 75,000 plants per hectare, respectively, in 2020. Lowercase letters indicate a significant difference at the p < 0.05 under all treatments.
Figure 1. Effect of nitrogen fertilizer regulation on the crushing strength of the 3rd, 4th, and 5th basal internode of maize in 2019 and 2020, respectively. S: strip crop, M: monoculture, N0:0 kg/ha, N225:225 kg/ha, N300:300 kg/ha, N375:375 kg/ha. Lowercase letters indicate a significant difference at the 0.05 level. (A,B): crushing strength of the basal internode of maize at a planting density of 60,000 plants and 75,000 plants per hectare, respectively, in 2019. (C,D): crushing strength of the basal internode of maize at a planting density of 60,000 plants and 75,000 plants per hectare, respectively, in 2020. Lowercase letters indicate a significant difference at the p < 0.05 under all treatments.
Agriculture 13 01009 g001
Figure 2. Effect of nitrogen fertilizer regulation on bending strength of the 3rd, 4th, and 5th basal internode of maize in 2019 and 2020. S: strip crop, M: monoculture, N0:0 kg/ha, N225:225 kg/ha, N300:300 kg/ha, N375:375 kg/ha. Lowercase letters indicate a significant difference at the 0.05 level. (A,B): bending strength of the basal internode of maize at a planting density of 60,000 plants and 75,000 plants per hectare, respectively, in 2019. (C,D): bending strength of the basal internode of maize at a planting density of 60,000 plants and 75,000 plants per hectare, respectively, in 2020. Lowercase letters indicate a significant difference at the p < 0.05 under all treatments.
Figure 2. Effect of nitrogen fertilizer regulation on bending strength of the 3rd, 4th, and 5th basal internode of maize in 2019 and 2020. S: strip crop, M: monoculture, N0:0 kg/ha, N225:225 kg/ha, N300:300 kg/ha, N375:375 kg/ha. Lowercase letters indicate a significant difference at the 0.05 level. (A,B): bending strength of the basal internode of maize at a planting density of 60,000 plants and 75,000 plants per hectare, respectively, in 2019. (C,D): bending strength of the basal internode of maize at a planting density of 60,000 plants and 75,000 plants per hectare, respectively, in 2020. Lowercase letters indicate a significant difference at the p < 0.05 under all treatments.
Agriculture 13 01009 g002
Figure 3. Effect of nitrogen fertilizer regulation on nitrogen content of the stems of maize in 2019 and 2020. S: strip crop, M: monoculture, N0:0 kg/ha, N1:225 kg/ha, N2:300 kg/ha, N3:375 kg/ha. Lowercase letters indicate a significant difference at the 0.05 level. (A,B): nitrogen content of stems of maize at a planting density of 60,000 plants and 75,000 plants per hectare, respectively, in 2019. (C,D): nitrogen content of stems of maize at a planting density of 60,000 plants and 75,000 plants per hectare, respectively, in 2020. Lowercase letters indicate a significant difference at the p < 0.05 under all treatments.
Figure 3. Effect of nitrogen fertilizer regulation on nitrogen content of the stems of maize in 2019 and 2020. S: strip crop, M: monoculture, N0:0 kg/ha, N1:225 kg/ha, N2:300 kg/ha, N3:375 kg/ha. Lowercase letters indicate a significant difference at the 0.05 level. (A,B): nitrogen content of stems of maize at a planting density of 60,000 plants and 75,000 plants per hectare, respectively, in 2019. (C,D): nitrogen content of stems of maize at a planting density of 60,000 plants and 75,000 plants per hectare, respectively, in 2020. Lowercase letters indicate a significant difference at the p < 0.05 under all treatments.
Agriculture 13 01009 g003
Figure 4. Correlation analysis of indicators affecting stalk lodging resistance. (A,B): correlation analysis of indicators of SM at a planting density of 60,000 plants and 75,000 plants per hectare, respectively. (C,D): correlation analysis of indicators of MM at a planting density of 60,000 plants and 75,000 plants per hectare, respectively. “*” was significantly correlated at p = 0.05.
Figure 4. Correlation analysis of indicators affecting stalk lodging resistance. (A,B): correlation analysis of indicators of SM at a planting density of 60,000 plants and 75,000 plants per hectare, respectively. (C,D): correlation analysis of indicators of MM at a planting density of 60,000 plants and 75,000 plants per hectare, respectively. “*” was significantly correlated at p = 0.05.
Agriculture 13 01009 g004
Figure 5. Effect of nitrogen rate on yield of maize in 2019 and 2020. S: strip crop, M: monoculture, N0:0 kg/ha, N225:225 kg/ha, N300:300 kg/ha, N375:375 kg/ha. Lowercase letters indicate a significant difference at the 0.05 level. (A,B): yield of maize at a planting density of 60,000 plants and 75,000 plants per hectare in 2019, respectively. (C,D): yield of maize at a planting density of 60,000 plants and 75,000 plants per hectare in 2020, respectively.
Figure 5. Effect of nitrogen rate on yield of maize in 2019 and 2020. S: strip crop, M: monoculture, N0:0 kg/ha, N225:225 kg/ha, N300:300 kg/ha, N375:375 kg/ha. Lowercase letters indicate a significant difference at the 0.05 level. (A,B): yield of maize at a planting density of 60,000 plants and 75,000 plants per hectare in 2019, respectively. (C,D): yield of maize at a planting density of 60,000 plants and 75,000 plants per hectare in 2020, respectively.
Agriculture 13 01009 g005
Table 1. Meteorological data during the growing seasons.
Table 1. Meteorological data during the growing seasons.
YearAccumulative Temperature
(°C)
Precipitation
(mm)
Photosynthetically
Active Radiation (MJ/m2)
20192196.001042.301377.36
20201672.80987.601676.16
Table 2. Nutrients and characteristics of soil before the controlled experiment conducted.
Table 2. Nutrients and characteristics of soil before the controlled experiment conducted.
PHTN
(g/kg)
TP
(g/kg)
TK
(g/kg)
OM
(g/kg)
AK
(mg/kg)
AP
(mg/kg)
AN
(mg/kg)
6.350.730.8622.428.6499.007.3569.85
TN: total nitrogen, TP: total phosphorus, TK: total potassium, OM: organic matter, AK: available potassium, AP: available phosphorus, AN: available nitrogen.
Table 3. Effects of nitrogen rate on plant height, ear height, ear ratio, and third internode stem diameter of maize.
Table 3. Effects of nitrogen rate on plant height, ear height, ear ratio, and third internode stem diameter of maize.
YearNitrogen Application RatePlanting
Pattern
Plant Height
(cm)
Ear Height
(cm)
Ear Ratio
%
Third Internode Stem Diameter (cm)
D1D2D1D2D1D2D1D2
2019N0S264 c265 d102 c106 d38.5 e40.1 ab19.14 b18.16 c
M272 bc289 b118 b117 bc43.4 a40.6 ab19.35 b19.10 abc
N225S271 bc271 cd110 bc111 cd40.4 cd41.2 ab19.73 b18.83 bc
M306 a292 ab130 a123 a42.5 ab41.9 a21.31 a20.68 ab
N300S288 ab280 bc114 b113 cd39.6 de40.2 ab20.61 ab19.73 abc
M291 ab306 a115 b121 ab39.4 de39.5 b20.69 ab20.94 a
N375S281 bc290 b110 bc119 bc39.3 de40.9 ab20.32 ab20.78 ab
M289 ab290 b114 b116 bc39.3 de40.1 ab19.88 ab19.54 abc
Pattern (P)********nsnsns**
Nitrogen rate (N)******nsns*ns
P × N********nsns***
2020N0S220 f225 d87 c80 c39.5 b35.8 b15.35 f14.95 e
M219 f242 bc69 c89 bc31.5 d37.0 ab16.83 de15.85 de
N225S233 d227 d93 b81 c40.1 ab35.8 b16.11 ef15.87 de
M249 a252 ab88 c103 a35.4 c40.9 a19.65 a17.19 bc
N300S237 c232 cd86 c95 ab36.2 c40.7 a18.56 b16.75 cd
M243 b258 a85 c97 ab35.0 c37.8 ab18.30 bc19.28 a
N375S226 e245 b95 ab96 ab42.1 a39.2 ab16.74 de18.10 ab
M242 b249 ab98 a93 b40.6 ab37.3 ab17.44 cd17.95 bc
Pattern (P)********nsns****
Nitrogen rate (N)********nsns****
P × N**************
Year (Y)****************
Pattern (P)********nsns****
Nitrogen rate (N)********nsns****
Y × Pnsnsnsnsnsns**ns
Y × Nnsnsnsnsnsnsnsns
P × N****************
Y × P × Nnsnsnsnsnsnsnsns
S: strip crop, M: monoculture, N0:0 kg/ha, N225:225 kg/ha, N300:300 kg/ha, N375:375 kg/ha, D1: 60,000 plants/ha, D2: 75,000 plants/ha. Lowercase letters indicate a significant difference at the 0.05 level. * and ** represent significant levels of p = 0.05 and p = 0.01, respectively; ns represents no significant difference.
Table 4. Effects of nitrogen rate on number and area (×10−3 mm2)of vascular bundles of the third basal internode of maize in 2019.
Table 4. Effects of nitrogen rate on number and area (×10−3 mm2)of vascular bundles of the third basal internode of maize in 2019.
DensityNitrogen
Application Rate
Planting
Pattern
Number of Small
Vascular Bundles
Number of Big
Vascular Bundles
Total Number of
Vascular Bundles
Area of Small
Vascular Bundles
Area of Big
Vascular Bundles
Total Area of
Vascular Bundles
D1N0S377 d211 c588 cd18.93 ef13.02 d31.95 c
M296 e213 c509 e15.59 f16.7 cd32.29 c
N225S398 cd224 c622 bc22.74 de16.02 cd38.76 c
M476 a269 a745 a31.51 ab24.53 a56.04 a
N300S455 ab261 a716 a35.06 a25.59 a60.65 a
M394 cd256 ab650 b24.91 cd22.79 ab47.70 b
N375S425 bc228 bc653 b27.89 bc18.34 bc46.23 b
M320 e221 c541 de16.95 f18.6 bc35.55 c
Pattern (P)**ns******ns
Nitrogen rate (N)************
P × N************
D2N0S341 c181 d522 d15.43 bc13.37 cd28.80 d
M264 d198 cd462 e13.68 c13.14 d26.82 d
N225S395 ab202 cd597 c22.19 ab16.05 bc38.24 c
M364 c240 ab604 c22.37 ab20.59 ab42.96 ab
N300S411 a214 bc625 bc25.21 a14.47 cd39.68 bc
M418 a256.00 a674 a26.41 a22.25 a48.66 a
N375S408 a250 a658 ab27.82 a20.09 ab47.91 a
M368 bc234 ab602 c22.12 ab17.85 bc39.97 bc
Pattern (P)*****ns**ns
Nitrogen rate (N)************
P × N******ns****
S: strip crop, M: monoculture, N0:0 kg/ha, N225:225 kg/ha, N300:300 kg/ha, N375:375 kg/ha, D1: 60,000 plants/ha, D2: 75,000 plants/ha. Lowercase letters indicate a significant difference at the 0.05 level. * and ** represent significant levels of p = 0.05 and p = 0.01, respectively; ns represents no significant difference.
Disclaimer/Publisher’s Note: The statements, opinions and data contained in all publications are solely those of the individual author(s) and contributor(s) and not of MDPI and/or the editor(s). MDPI and/or the editor(s) disclaim responsibility for any injury to people or property resulting from any ideas, methods, instructions or products referred to in the content.

Share and Cite

MDPI and ACS Style

Zhao, X.; Hu, Y.; Liang, B.; Chen, G.; Feng, L.; Pu, T.; Sun, X.; Yong, T.; Liu, W.; Liu, J.; et al. Coordination of Density and Nitrogen Fertilization Improves Stalk Lodging Resistance of Strip-Intercropped Maize with Soybeans by Affecting Stalk Quality Traits. Agriculture 2023, 13, 1009. https://doi.org/10.3390/agriculture13051009

AMA Style

Zhao X, Hu Y, Liang B, Chen G, Feng L, Pu T, Sun X, Yong T, Liu W, Liu J, et al. Coordination of Density and Nitrogen Fertilization Improves Stalk Lodging Resistance of Strip-Intercropped Maize with Soybeans by Affecting Stalk Quality Traits. Agriculture. 2023; 13(5):1009. https://doi.org/10.3390/agriculture13051009

Chicago/Turabian Style

Zhao, Xuyang, Yun Hu, Bing Liang, Guopeng Chen, Liang Feng, Tian Pu, Xin Sun, Taiwen Yong, Weiguo Liu, Jiang Liu, and et al. 2023. "Coordination of Density and Nitrogen Fertilization Improves Stalk Lodging Resistance of Strip-Intercropped Maize with Soybeans by Affecting Stalk Quality Traits" Agriculture 13, no. 5: 1009. https://doi.org/10.3390/agriculture13051009

APA Style

Zhao, X., Hu, Y., Liang, B., Chen, G., Feng, L., Pu, T., Sun, X., Yong, T., Liu, W., Liu, J., Du, J., Yang, F., Wang, X., & Yang, W. (2023). Coordination of Density and Nitrogen Fertilization Improves Stalk Lodging Resistance of Strip-Intercropped Maize with Soybeans by Affecting Stalk Quality Traits. Agriculture, 13(5), 1009. https://doi.org/10.3390/agriculture13051009

Note that from the first issue of 2016, this journal uses article numbers instead of page numbers. See further details here.

Article Metrics

Back to TopTop